Влияние медно-цинковых хелатных комплексов нитрило-трис-метиленфосфоновой кислоты на коррозионно-электрохимическое поведение стали в водной среде
- Authors: Жилин И.А.1,2, Чаусов Ф.Ф.2, Ломова Н.В.2, Казанцева И.С.2, Исупов Н.Ю.2, Воробьёв В.Л.2, Аверкиев И.К.2
-
Affiliations:
- АО «Ижевский электромеханический завод «КУПОЛ»
- Удмуртский федеральный исследовательский центр Уральского отделения РАН
- Issue: Vol 97, No 5 (2024)
- Pages: 367-381
- Section: Прикладная электрохимия и защита металлов от коррозии
- URL: https://ogarev-online.ru/0044-4618/article/view/272583
- DOI: https://doi.org/10.31857/S0044461824050025
- EDN: https://elibrary.ru/GLCIMT
- ID: 272583
Cite item
Full Text
Abstract
Влияние комплексных соединений Na4[(Cu,Zn)N(CH2PO3)3]·13H2O с хелатной структурой на коррозионно-электрохимическое поведение стали 20 в среде боратного буферного раствора при pH 7.4 и естественной аэрации изучено потенциодинамическим методом, методами рентгеновской фотоэлектронной спектроскопии и сканирующей электронной микроскопии поверхности с микроанализом. Установлено, что ингибитор исследованного типа обладает наилучшими защитными свойствами при соотношении Cu:Zn = 1:3. Оптимальная концентрация ингибиторов исследованного типа составляет 1 ммоль·дм–3. Обсужден механизм ингибирующего действия гетерометаллических ингибиторов рассмотренного типа. Синергический эффект действия ионов [CuN(CH2PO3)3]4– и [ZnN(CH2PO3)3]4– проявляется в области потенциалов –0.8÷–0.1 В (х.с.э.). На поверхности стали образуются наночастицы металлической меди, стимулирующие процесс выделения в приповерхностный слой коррозионной среды ионов Fe2+. Взаимодействие ионов Fe2+ с ионами ингибитора [ZnN(CH2PO3)3]4– приводит к формированию на поверхности стали слоя труднорастворимого комплекса [Zn1/2Fe1/2(H2O)3N(CH2PO3)3]n.
Full Text
Хелатный цинковый комплекс нитрило-трис-метиленфосфоновой кислоты Na4[ZnN(CH2PO3)3]·13H2O — эффективный ингибитор коррозии стали в водных средах, и, как таковой, он получил широкое распространение в промышленности [1]. Близкий по структуре хелатный медный комплекс нитрило-трис-метиленфосфоновой кислоты Na4[CuN(CH2PO3)3]·13H2O также является эффективным ингибитором коррозии стали в водных средах [2], однако противокоррозионная эффективность этого комплекса ниже, чем у Na4[ZnN(CH2PO3)3]·13H2O, а интервал концентраций, в котором проявляется противокоррозионная активность, у медного комплекса более узкий, чем у цинкового. Представляет интерес создание смесей, сочетающих эксплуатационные качества двух указанных соединений или даже проявляющих синергизм — явление, при котором полезный эффект смеси двух средств оказывается выше, чем сумма эффектов каждого из компонентов смеси.
Механизм противокоррозионного действия комплекса Na4[CuN(CH2PO3)3]·13H2O существенно отличается от механизма действия Na4[ZnN(CH2PO3)3]× ×13H2O. Ингибитор Na4[ZnN(CH2PO3)3]·13H2O при взаимодействии с ионами Fe2+, высвобождающимися при анодном растворении железа, образует прочный, труднорастворимый гетерометаллический полиядерный комплекс [Zn1/2Fe1/2(H2O)3NH(CH2PO3H)3]n, формирующий защитный слой на поверхности стали [3]. Комплекс Na4[CuN(CH2PO3)3]·13H2O в интервале потенциалов –0.66÷0.05 В (х.с.э.) образует на поверхности стали слой наноразмерных частиц металлической меди, стимулирует переход в раствор ионов Fe2+ и формирование защитного слоя комплекса [Fe(H2O)3NH(CH2PO3H)3]n. В интервале потенциалов 0.05–0.13 В (х.с.э.) металлическая медь окисляется, а при +0.82 В (х.с.э.) на поверхности стали формируется слой смешанных оксидов железа и меди и комплекса [Fe(H2O)3NH(CH2PO3H)3]n [3]. В этом комплексе атомы Fe находятся в высокоспиновом состоянии. Хотя этот комплекс малорастворим в воде, все же его растворимость существенно выше, а стойкость образующегося защитного слоя ниже, чем у комплекса [Zn1/2Fe1/2(H2O)3NH(CH2PO3H)3]n.
Поскольку механизмы защитного действия комплексов Na4[ZnN(CH2PO3)3]·13H2O и Na4[CuN(CH2PO3)3]·13H2O различны и никак не конкурируют друг с другом, можно ожидать, что при совместном введении этих соединений в коррозионную среду стимулирование выделения ионов Fe2+ медным комплексом приведет к ускоренному формированию защитного слоя цинксодержащего комплекса [Zn1/2Fe1/2(H2O)3NH(CH2PO3H)3]n с высокими защитными свойствами. В результате от совместного применения можно ожидать более высокий защитный эффект, чем эффект каждого из комплексов Na4[ZnN(CH2PO3)3]·13H2O и Na4[CuN(CH2PO3)3]·13H2O в отдельности.
Цель работы — исследование влияния хелатных комплексов Na4[(Cu,Zn)N(CH2PO3)3]·13H2O с различным соотношением Cu:Zn на коррозионно-электрохимическое поведение стали 20 в среде боратного буферного раствора при pH 7.4 и естественной аэрации, а также состав и строение поверхностных слоев стали этих условиях.
Экспериментальная часть
Использовали образцы стали 20 (плавка № 316266, ПАО «Магнитогорский металлургический комбинат»), идентичные использованным в работе [2]; образцы были отшлифованы до шероховатости Ra = 0.6–1 мкм, промыты этанолом («Экстра», ООО Спиртзавод «Балезинский»), подвергнуты травлению в 15% HCl (х.ч., АО «Вектон») для удаления деформированного при шлифовании слоя, затем промыты дистиллированной водой (дистиллятор ДЭ-25М, ЗАО «Электромедоборудование»).
Комплекс Na4[CuN(CH2PO3)3]·13H2O синтезировали и выделяли по ранее описанной методике [2], используя нитрило-трис-метиленфосфоновую кислоту, предварительно дважды перекристаллизованную (ч., Wuhan Mulei New Material Co., Ltd, содержание PO43– не более 0.3%); Cu2CO3(OH)2 (ч.д.а., АО «Вектон»), NaOH (х.ч., АО «Башкирская содовая компания»), диметилсульфоксид (х.ч., АО «Купавнареактив») использовали без дополнительной очистки. В качестве комплекса Na4[ZnN(CH2PO3)3]·13H2O использовали ингибитор коррозии «ЭФИКС» (97% основного вещества, АО «Ижевский электромеханический завод «КУПОЛ»). Комплексы Na4[(Cu,Zn)N(CH2PO3)3]× ×13H2O готовили, смешивая друг с другом комплексы меди и цинка в нужной пропорции и выдерживая 72 ч.
Электрохимические коррозионные испытания проводили по методике, полностью идентичной использованной в работе [2]. Выбор среды был сделан на основании тезисов исследования [2]; описанные в настоящей работе исследования выполнены в среде боратного буферного раствора с pH 7.4, приготовленного по методике [4] с использованием Na2B4O7·10H2O (х.ч., АО «Вектон») и H3BO3 (х.ч., АО «Вектон»). Использовали автоматизированный потенциостат с трехэлектродной электрохимической ячейкой. В качестве электрода сравнения использовали Ag,AgCl|KCl-электрод ЭСр-10101, в качестве вспомогательного — платиновый электрод ЭПВ-1. Все измеренные потенциалы в настоящей работе приведены относительно Ag,AgCl|KCl-электрода (х.с.э.). Перед началом измерений образец выдерживали в рабочей среде при потенциале –0.8 В (х.с.э.) в течение 10 мин для разрушения оксидно-гидроксидного слоя на поверхности металла. Поляризационные кривые регистрировали в интервале потенциалов от –1.0 до +1.5 В (х.с.э.) при скорости развертки потенциала 1 мВ·с–1 в условиях естественной аэрации реакционной среды.
Для проведения исследований поверхности методом рентгеновской фотоэлектронной спектроскопии и сканирующей электронной микроскопии после предварительной выдержки в рабочей среде при потенциале –0.8 В (х.с.э.) в течение 10 мин образец выдерживали при заданном потенциале в течение 10 мин. Затем образец извлекали из электрохимической ячейки и помещали в среду бутилацетата (х.ч., АО «Невинномысский Азот»), исключающего контакт с атмосферным воздухом.
Рентгеновские фотоэлектронные спектры получали на автоматизированном рентгеновском электронном спектрометре ЭМС-3 (ФГБУН «Удмуртский федеральный исследовательский центр Уральского отделения РАН») с использованием AlKα-излучения (hν = 1486.6 эВ) при остаточном давлении в рабочей камере спектрометра не более 10–5 Па. Шкалу энергии связи калибровали по максимуму интенсивности спектра C1s, принимая EB(C1s) = 285 эВ. Регистрировали спектры остовных уровней Cu2p, CuL3M45M45, Zn2p, Fe2p, P2p, O1s и N1s.
Рентгеновские фотоэлектронные спектры с послойным травлением образца ионами Ar+ получали на автоматизированном рентгеновском электронном спектрометре ЭС-2401 (Экспериментальный завод Академии наук) с использованием MgKα-излучения (hν = 1253.6 эВ) при остаточном давлении в рабочей камере спектрометра не более 10–7 Па. Шкалу энергии связи калибровали по максимуму интенсивности спектра C1s, принимая EB(C1s) = 285 эВ. Травление поверхности образца проводили при кинетической энергии ионов Ar+, равной 1 кэВ. Линейная скорость травления составила 1 нм·мин–1. Регистрировали спектры остовных уровней Cu2p, Zn2p, Fe2p, P2p, O1s и N1s.
Статистическую обработку полученных экспериментальных данных, включая определение погрешности измерений, вычитание фона неупруго рассеянных электронов по Ширли и определение интегральной интенсивности отдельных составляющих спектра, проводили с использованием программы Fityk 0.9.8.
Микрофотографии поверхности образцов получали при помощи сканирующего электронного микроскопа Thermo Fisher Scientific Quattro S с электронной пушкой с полевой эмиссией при использовании детектора вторичных электронов Эверхарта–Торнли (ETD). Микроанализ поверхности образца проводили при помощи системы энергодисперсионного микроанализа на основе спектрометра EDAX Octane Elect Plus EDS System.
Обсуждение результатов
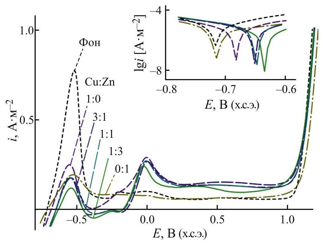
Для всех изученных значений соотношения Cu:Zn введение комплексов в коррозионную среду в концентрации сinh от 0.1 до 1.0 ммоль·дм–3 снижает критическую плотность тока iC, отвечающую началу пассивации металла, что свидетельствует об облегчении начала формирования пассивной пленки, а также повышается потенциал разомкнутой цепи (рис. 1). Снижение критической плотности тока наиболее выражено при соотношении Cu:Zn = 1:3. В интервале E = –0.5÷–0.15 В (х.с.э.) наблюдается также изменение направления тока электрода с анодного на катодное, описанное в литературе как катодная петля пассивации. 1 Этот феномен свидетельствует о том, что в этом интервале потенциалов крутизна вольт-амперной характеристики для катодного процесса выше, чем для анодного, что может вести к самопроизвольной пассивации поверхности стали. Для значений концентрации сinh 0.5 ммоль·дм–3 и более при E = –0.15÷0.05 В (х.с.э.) наблюдается пик плотности тока анодного растворения металла, а при более высоких потенциалах (в условно пассивной области) наблюдается повышение плотности тока анодного растворения металла.
Рис. 1. Анодные ветви поляризационных кривых стали при pH 7.4 и температуре 25°С в присутствии комплексов Na4[(Cu,Zn)N(CH2PO3)3]·13H2O с соотношением Cu:Zn = 3:1 (а), 1:1 (б) и 1:3 (в). Различные кривые соответствуют указанным значениям концентрации Na4[(Cu,Zn)N(CH2PO3)3]·13H2O в реакционной среде сinh.
Можно сделать вывод, что при концентрациях комплексов Na4[(Cu,Zn)N(CH2PO3)3]·13H2O 0.5–1.0 ммоль·дм–3 на поверхности металла протекают процессы, облегчающие и интенсифицирующие формирование пассивной пленки, но, вместе с тем, повышающие ее проницаемость. При более высокой концентрации комплексов процессы пассивации затрудняются, а структура пассивной пленки разрушается.
Процессы формирования пассивной пленки наиболее интенсивно протекают при соотношении Cu:Zn = = 1:3 (рис. 2). При этом составе гетерометаллического комплекса наблюдается наименьший рост плотности анодного тока на участке активного растворения металла, минимальное значение критической плотности тока, отвечающей началу пассивации, наибольший потенциал разомкнутой цепи и наиболее глубокая катодная петля пассивации.
Рис. 2. Анодные ветви поляризационных кривых стали при pH 7.4 и температуре 25°С в присутствии 1.0 ммоль·дм–3 комплексов Na4[(Cu,Zn)N(CH2PO3)3]× ×13H2O с различным соотношением Cu:Zn, а также ранее известных ингибиторов Na4[ZnN(CH2PO3)3]·13H2O (Cu:Zn = 0:1) и Na4[CuN(CH2PO3)3]·13H2O (Cu:Zn = 1:0).
Критерием эффективности защиты металла от коррозии служит условная эффективность ингибирования анодного растворения металла Z* = [(iC0 – iC)/iC0]·100%, где iC0 — критический ток коррозии в отсутствие ингибитора (А·м–2), iC — критический ток коррозии в присутствии ингибитора (А·м–2). Максимум величины Z* достигается (рис. 3) при соотношении Cu:Zn = 1:3. При этом эффективность ингибирования анодного растворения стали гетерометаллическими комплексами Na4[(Cu,Zn)N(CH2PO3)3]·13H2O существенно выше, чем ранее исследованными комплексами Na4[ZnN(CH2PO3)3]·13H2O и Na4[CuN(CH2PO3)3]× ×13H2O. Таким образом, при совместном присутствии в составе гетерометаллического комплекса структурных фрагментов [ZnN(CH2PO3)3]4– и [CuN(CH2PO3)3]4– наблюдается синергический эффект повышения эффективности ингибирования.
Рис. 3. Зависимость условной эффективности ингибирования анодного растворения стали Z* от соотношения Cu:Zn в составе комплекса Na4[(Cu,Zn)N(CH2PO3)3]·13H2O при его концентрации 1 ммоль·дм–3.
Поскольку синергизм действия ингибиторов коррозии стали имеет большое практическое значение, для установления механизма возникновения синергического эффекта были проведены детальные исследования поверхности металла с пассивными пленками, сформированными при различных потенциалах в коррозионной среде с добавкой 1.0 ммоль·дм–3 ингибитора Na4[(Cu,Zn)N(CH2PO3)3]·13H2O с соотношением Cu:Zn = 1:3.
При потенциале образца –0.8 В (х.с.э.), соответствующем катодной поляризации образца, на поверхности наблюдаются небольшие уплощенные малоконтрастные наросты (рис. 4, а), представляющие собой, по-видимому, участки катодного осаждения тонких пленок металлической меди. С повышением потенциала образца до потенциала разомкнутой цепи –0.68 В (х.с.э.), обычно близкого к стационарному потенциалу коррозии, на поверхности формируются выпуклые частицы металлической меди (рис. 4, б), размер которых при этом значительно меньше, чем на описанных ранее [2] образцах, поляризованных в аналогичных условиях в присутствии комплекса Na4[CuN(CH2PO3)3]·13H2O. На поверхности металла фиксируются как гладкие участки, так и области глубокого растравливания. При потенциале начала пассивации образца –0.55 В (х.с.э.) число медных вкраплений значительно увеличивается, размер же их уменьшается (рис. 4, в). Можно отметить, что поверхность металла покрывается оксидным слоем с многочисленными лакунами, трещинами и порами. В области катодной петли пассивации, при потенциале –0.38 В (х.с.э.), размеры частиц металлической меди становятся еще меньше, уменьшается и их число; поверхность металла покрыта равномерным оксидным слоем, в котором почти незаметны дефекты в виде отдельных пор (рис. 4, г). При потенциале образца +0.21 В (х.с.э.), превышающем потенциал второго анодного пика на поляризационных кривых, на поверхности образца почти отсутствуют металлические вкрапления (рис. 4, д), а напластования оксидных слоев при этом становятся более толстыми и многослойными. В области транспассивного состояния поверхности, при потенциале образца +1.20 В (х.с.э.), наблюдаются многочисленные дефекты оксидного слоя в виде пор и трещин.
Рис. 4. Микрофотографии поверхности образцов стали 20, поляризованных при различных потенциалах (х.с.э.) в присутствии 1.0 ммоль·дм–3 ингибитора Na4[(Cu,Zn)N(CH2PO3)3]·13H2O с соотношением Cu:Zn = 1:3; увеличение 40 000×.
Потенциал образца –0.8 (а), –0.68 (б), –0.55 (в), –0.38 (г), +0.21 (д), +1.2 В (е).
На изображениях, полученных с использованием детектора вторичных электронов Эверхарта–Торнли, более светлые места соответствуют содержанию более тяжелых элементов (в первую очередь Cu), а темный фон — содержанию более легких элементов (преимущественно Fe).
При повышении потенциала образца от катодного до потенциала начала пассивации атомная доля меди на поверхности образца возрастает от 0.9 до 3 ат% (рис. 5), а при дальнейшем повышении потенциала до значений, отвечающих пассивному состоянию поверхности образца, атомная доля меди снижается до 1.3–2.6 ат%. Дальнейшее увеличение содержания меди в поверхностном слое образца до 2.1 ат% наблюдается только в области транспассивного состояния поверхности. Можно отметить, что зависимость атомной доли меди в поверхностном слое является симбатной анодной ветви поляризационной кривой, которая отражает интенсивность переноса ионов Fe2+ с поверхности образца в раствор. Содержание кислорода в поверхностном слое образца проходит через минимум (5.19–5.85 ат%) в области стационарного потенциала коррозии и потенциала начала пассивации и является максимальным (7.14–7.42 ат%) в областях пассивного состояния поверхности и транспассивного перехода. С увеличением потенциала образца средний размер частиц металлической меди уменьшается практически антисимбатно увеличению ее содержания в поверхностном слое образца.
Рис. 5. Зависимости среднего размера частиц меди на поверхности образца ⟨d⟩ (а), атомных долей c Fe, O и Cu в составе поверхностного слоя (около 1 мкм) образца и анодного тока i (б) от потенциала образца E в присутствии 1.0 ммоль·дм–3 ингибитора Na4[(Cu,Zn)N(CH2PO3)3]·13H2O с соотношением Cu:Zn = 1:3.
При потенциале образца –0.80 В (х.с.э.) (катодная ветвь поляризационной кривой) осаждение меди на поверхности стали незначительно (рис. 6), что свидетельствует о преобладании вклада кислородной деполяризации в общий катодный процесс. При этом медь присутствует как в виде Cu0, так и в виде Cu2+ (в составе комплекса Na4[(Cu,Zn)N(CH2PO3)3]·13H2O). Вкладу Cu0 соответствует наблюдаемый в спектре спин-орбитальный дублет Cu2p3/2–Cu2p1/2 с максимумами интенсивности при энергии связи EB = 932.5 и 952.3 эВ, характерный для неокисленного состояния меди [5], а вкладу ионов Cu2+ — также характерный спин-орбитальный дублет с максимумами при энергии связи EB = 934.9 и 954.7 эВ [5]. Также на поверхности металла присутствует цинк, проявляющийся пиком спектра Zn2p3/2 с максимумом при EB = 1022.0 эВ, окислительное состояние которого по рентгеновским фотоэлектронным спектрам установить затруднительно из-за незначительных величин химических сдвигов 2 состояний Zn0 и Zn2+. При потенциале разомкнутой цепи [–0.66 В (х.с.э.)], близком к стационарном потенциалу коррозии, на поверхности образца наблюдается интенсивный спектр Cu2p, также содержащий характеристические составляющие окислительных состояний Cu0 и Cu2+, но интенсивность вклада Cu0 существенно преобладает над интенсивностью вклада Cu2+, что свидетельствует о более интенсивном восстановлении меди на поверхности образца. В области начала пассивации [при потенциале –0.55 В (х.с.э)] интенсивность спектров Cu2p несколько возрастает. В присутствии ингибиторов с элементным соотношением Cu:Zn, равным 3:1 и 1:1, спектр Cu2p представлен исключительно составляющими, характерными для металлической меди; при соотношении Cu:Zn = 1:3 на поверхности стали медь присутствует как в виде Cu0, так и в виде Cu2+. В области катодной петли пассивации [потенциал –0.35 В (х.с.э.)] при соотношении Cu:Zn в составе ингибитора, равном 3:1, структура спектра Cu2p в основном сохраняется и приобретает вид, характерный для чистой металлической меди без окисленных состояний. При значении соотношения Cu:Zn = 1:1 в спектре поверхности образца появляется вклад окисленной меди Cu2+; при соотношении Cu:Zn = 1:3 вклад ионов Cu2+ в спектр Cu2p поверхности образца становится преобладающим. При дальнейшем повышении потенциала образца до +0.20 В (х.с.э.) интенсивность спектра меди Cu2p резко падает за счет исчезновения составляющей спектра, соответствующей вкладу Cu0; присутствие меди на поверхности сохраняется только в виде Cu2+. Присутствие цинка на поверхности сохраняется, о чем свидетельствуют спектры Zn2p3/2. При повышении потенциала образца до достижения состояния транспассивности [+1.20 В (х.с.э.)] наблюдаются малоинтенсивные спектры Cu2p со структурой, характерной для ионов Cu2+, интенсивность которых убывает с убыванием содержания меди в составе ингибитора, и сохраняющиеся спектры цинка Zn2p3/2.
Рис. 6. Рентгеновские фотоэлектронные спектры в интервалах энергии связи EB, соответствующих спектрам Cu2p- и Zn2p-фотоэлектронов, полученные с поверхности образцов, поляризованных в коррозионной среде с добавками 1.0 ммоль·дм–3 комплексов Na4[(Cu,Zn)N(CH2PO3)3]·13H2O при Cu:Zn = 3:1 (а) [потенциал образца E = –0.80 (1), –0.66 (2), –0.55 (3), –0.35 (4), +0.20 (5), +1.20 В (х.с.э.) (6)]; Cu:Zn = 1:1 (б) и Cu:Zn = 1:3 (в) [потенциал образца E = –0.66 (1), –0.55 (2), –0.35 (3), +0.20 (4), +1.20 В (х.с.э.) (5)].
В области катодной ветви поляризационной кривой [E = –0.80 В (х.с.э.)], как и при потенциале разомкнутой цепи [E = –0.66 В (х.с.э.)], кислород присутствует на поверхности образца в виде тонкого слоя атомов, связанных с железом; об этом свидетельствует наличие в O1s-спектре (рис. 7) единственного пика с максимумом при EB = 529.8 эВ. 3 Железо на поверхности образца присутствует преимущественно в окисленном состоянии; это проявляется в структуре Fe2p-спектра, в котором наблюдаются максимумы при EB = 709.6 и 711.2 эВ, относящиеся соответственно к окислительным состояниям Fe2+ и Fe3+ [6]. Слой оксидов не является сплошным, о чем свидетельствует наличие в спектре Fe2p плеча при EB = 707.0 эВ, соответствующего вкладу Fe0 [6]. При потенциале начала пассивации [–0.55 В (х.с.э.)] в спектре O1s поверхности образца прослеживается составляющая с максимумом при EB = 531.7 эВ, соответствующая вкладу гидроксидов металлов. 4 Спектр железа Fe2p сохраняет прежний характер, свидетельствующий о наличии наряду с соединениями Fe2+ и Fe3+ участков неокисленной металлической поверхности. В области катодной петли пассивации E = [–0.35 В (х.с.э.)] вклад гидроксидов в спектре O1s возрастает, а спектр железа Fe2p представлен составляющими, соответствующими атомам железа в окислительных состояниях Fe2+ и Fe3+; вклад атомов железа в состоянии Fe0 от участков неокисленной металлической поверхности практически исчезает. С повышением потенциала образца +0.20 В (х.с.э.) и окислением металлической меди интенсивность спектра железа заметно возрастает. При этом в средах с ингибиторами с соотношением Cu:Zn, равным 3:1 и 1:1, в спектре Fe2p прослеживается заметный вклад Fe0, свидетельствующий о наличии участков поверхности стали, не защищенных оксидно-гидроксидной пленкой. В спектре O1s при этом преобладает вклад оксидов металла с небольшой примесью гидроксидов. При составе ингибитора Cu:Zn = 1:3 вклад металлического железа в спектре Fe2p не обнаруживается, что свидетельствует о сплошности оксидно-гидроксидной защитной пленки; в ее составе преобладают соединения Fe3+. Спектр O1s представлен преобладающим вкладом гидроксидов. При повышении потенциала образца до +1.20 В (х.с.э.), что соответствует транспассивному состоянию поверхности металла, в O1s-спектрах исчезает вклад от гидроксидов, а в Fe2p-спектрах появляется значительный вклад металлического железа, что свидетельствует о разрушении защитной пленки.
Рис. 7. Рентгеновские фотоэлектронные спектры в интервалах энергии связи EB, соответствующих спектрам O1s- и Fe2p-фотоэлектронов, полученные с поверхности образцов, поляризованных в коррозионной среде с добавками 1.0 ммоль·дм–3 комплексов Na4[(Cu,Zn)N(CH2PO3)3]·13H2O при Cu:Zn = 3:1 (а) [потенциал образца E = –0.80 (1), –0.66 (2), –0.55 (3), –0.35 (4), +0.20 (5), +1.20 В (х.с.э.) (6)]; Cu:Zn = 1:1 (б) и Cu:Zn = 1:3 (в) [потенциал образца E = –0.66 (1), –0.55 (2), –0.35 (3), +0.20 (4), +1.20 В (х.с.э.) (5)].
При катодном потенциале –0.80 В (х.с.э.), как и при потенциале открытой цепи [–0.66 В (х.с.э.)], и при потенциале начала пассивации [–0.55 В (х.с.э.)], спектр P2p поверхности образца (рис. 8) содержит малоинтенсивную составляющую с максимумом интенсивности при EB = 131.5 эВ, соответствующую исходному ингибитору Na4[(Cu,Zn)N(CH2PO3)3], а также немного более интенсивные составляющие с максимумами при EB = 133.3 и 134.5 эВ, соответствующие гетерометаллическому полиядерному комплексу [Zn1/2Fe1/2(H2O)3NH(CH2PO3H)3]n. В области катодной петли пассивации [–0.38 В (х.с.э.)] интенсивность спектра фосфора на поверхности образца значительно возрастает, что свидетельствует как об интенсивной адсорбции на поверхности образца исходного ингибитора Na4[(Cu,Zn)N(CH2PO3)3] (составляющая спектра с максимумом при EB = 131.5 эВ), так и о его реакции с ионами Fe2+ с образованием комплекса [Zn1/2Fe1/2(H2O)3NH(CH2PO3H)3]n (составляющие спектра с максимумами при EB = 133.1 и 134.5 эВ). При потенциале образца +0.20 В (х.с.э.) интенсивность вклада в спектр P2p комплекса [Zn1/2Fe1/2(H2O)3NH(CH2PO3H)3]n преобладает над интенсивностью вклада исходного ингибитора Na4[(Cu,Zn)N(CH2PO3)3]. Существенный вклад комплекса [Zn1/2Fe1/2(H2O)3NH(CH2PO3H)3]n, представленный составляющими с максимумами при EB = 133.1 и 134.5 эВ, сохраняется в спектре P2p поверхности образца и в области транспассивности, при потенциале образца +1.20 В (х.с.э.), когда основная часть оксидно-гидроксидного слоя на поверхности металла разрушается.
Рис. 8. Рентгеновские фотоэлектронные спектры в интервале энергии связи EB, соответствующем спектру P2p-фотоэлектронов, полученные с поверхности образцов, поляризованных в коррозионной среде с добавками 1.0 ммоль·дм–3 комплексов Na4[(Cu,Zn)N(CH2PO3)3]·13H2O при Cu:Zn = 3:1 (а) [потенциал образца E = –0.80 (1), –0.66 (2), –0.55 (3), –0.35 (4), +0.20 (5), +1.20 В (х.с.э.) (6)]; Cu:Zn = 1:1 (б) и Cu:Zn = 1:3 (в) [потенциал образца E = –0.66 (1), –0.55 (2), –0.35 (3), +0.20 (4), +1.20 В (х.с.э.) (5)].
В области катодной петли пассивации [–0.35 В (х.с.э.)] заметное количество компонентов ингибитора (и Cu) присутствует только в тонком (0–10 нм) поверхностном слое металла (рис. 9). Метод послойного травления не позволяет определить окислительное состояние большинства элементов, 5 так как их соединения разрушаются при бомбардировке ионами Ar+. Однако сопоставление со спектрами поверхностного слоя на рис. 6, в, 7, в и 8, в (кривые 3) показывает, что железо в поверхностном слое присутствует как в состоянии Fe0, так и в оксидах и гидроксидах в состояниях Fe2+ и Fe3+, медь представлена состояниями как Cu0, так и Cu2+, а фосфор присутствует как в исходном комплексе, так и в продукте его реакции с ионами Fe2+ — комплексе [Zn1/2Fe1/2(H2O)3NH(CH2PO3H)3] [1]. С повышением потенциала образца до +0.21 В (х.с.э.) максимум содержания меди смещается в область глубины 5–15 нм; при этом на поверхности содержание меди резко убывает (ср. с кривой 4 на рис. 6, в). Напротив, N, P и Zn присутствуют преимущественно в поверхностном слое (0–10 нм), формируя защитный слой, а содержание Fe в этом слое снижается. При потенциале +0.68 В (х.с.э.), который соответствует наименьшей плотности тока анодного растворения металла в пассивной области при концентрации ингибитора 1.0 ммоль·дм–3 (рис. 1, в), общая структура поверхностного слоя сохраняется. Содержание меди снижается, а в поверхностном слое присутствуют N, P и Zn — компоненты комплекса [Zn1/2Fe1/2(H2O)3NH(CH2PO3H)3]. Резкое падение концентрации кислорода на глубине 16–18 нм свидетельствует о плотности и непроницаемости пассивной пленки, сформированной на поверхности стали.
Рис. 9. Профили состава по глубине поверхностных слоев образцов стали 20, поляризованных в коррозионной среде с добавкой 1.0 ммоль·дм–3 комплекса Na4[(Cu,Zn)N(CH2PO3)3]·13H2O с соотношением Cu:Zn = 1:3 при различных потенциалах: –0.38 (а), +0.21 (б) и +0.68 В (х.с.э.) (в).
Наблюдаемое влияние гетерометаллических комплексов Na4[(Cu,Zn)N(CH2PO3)3]·13H2O и, в особенности, синергического эффекта сочетания медных и цинковых комплексов на коррозионно-электрохимическое поведение углеродистой стали в боратном буферном растворе можно объяснить следующим образом. Гетерометаллический комплексный ион, имеющий димерное строение [7], в растворе диссоциирует на ионы медного и цинкового комплексов (I).
Выделение металлической меди на поверхности стали при обменной реакции железа с ионом [CuN(CH2PO3)3]4– может протекать по двум каналам (II):
В катодной области, при потенциале образца –0.80 В (х.с.э.), восстановление металлической меди протекает менее интенсивно, чем при потенциале разомкнутой цепи [E = –0.66 В (х.с.э.)] и в области начала пассивации [E = –0.55 В (х.с.э.)] (рис. 6). Из этого можно сделать вывод, что реакция (IIА) является медленной и не вносит существенного вклада в катодный процесс; в катодной области потенциалов основным катодным процессом является восстановление растворенного кислорода с образованием гидроксид-ионов (III).
O2 + 2H2O + 4e– → 4OH–. (III)
С ростом потенциала образца повышается интенсивность анодной реакции (IV), которая генерирует ионы Fe2+, участвующие в реакции (IIB). Кроме того, реакция (IIB) сама генерирует ионы Fe2+, что может приводить к ее ускорению. С повышением потенциала образца и повышением интенсивности анодной реакции (IV) возрастает концентрация ионов Fe2+ в приповерхностном слое коррозионной среды, следовательно, по закону действующих масс скорость реакции (IIB) увеличивается, и ее вклад в катодный процесс возрастает. Это приводит к возрастанию суммарного катодного тока и формированию катодной петли на вольтамперометрической кривой. Анодная реакция (IV) наиболее интенсивно протекает, по-видимому, по периметру образовавшихся на поверхности стали островков металлической меди, что обусловлено влиянием контактной разности потенциалов.
Fe0 → Fe2+ + 2e–. (IV)
Вместе с тем в присутствии гетерометаллических ингибиторов Na4[(Cu,Zn)N(CH2PO3)3]·13H2O ускорение реакции (IIB) возможно лишь ограниченно, потому что в присутствии комплексных ионов [ZnN(CH2PO3)3]4– ионы Fe2+ расходуются в реакции
½nFe2+ + n[Zn{N(CH2PO3)3}]4– + 7nH2O =
= [Zn1/2Fe1/2(H2O)3NH(CH2PO3H)3]n↓ + (V)
+ ½nZn(OH)2↓ + 3nOH–
с образованием гетерометаллического комплекса [Zn1/2Fe1/2(H2O)3NH(CH2PO3H)3]n и гидроксида цинка. Образование этих труднорастворимых веществ приводит к уплотнению и повышению стойкости пассивной пленки на поверхности стали. Еще одним каналом расходования ионов Fe2+ является образование гидроксидов и оксидов железа в реакции с гидроксид-ионами, образующимися по реакции (III):
Fe2+ + 2OH– → Fe(OH)2↓,
Fe(OH)2 → FeO↓ + H2O, (VI)
3FeO + 2OH– → Fe3O4↓ + H2O + 2e–.
Продукты этих процессов обнаруживаются на поверхности образца спектроскопически (рис. 6–8) и локализуются в тонком поверхностном слое (рис. 9). Это приводит к формированию в интервале потенциалов –0.55÷–0.3 В (х.с.э.) плотной пассивной пленки, тормозящей поверхностные реакции (III) и (IV). Схематическая модель процессов переноса и химических реакций в области формирования пассивной пленки показана на рис. 10, а.
Рис. 10. Предложенные модели строения поверхностного слоя стали 20 при различных потенциалах. CuZnNTP — Na4[(Cu,Zn)N(CH2PO3)3]·13H2O, FeZnNTP — [Zn1/2Fe1/2(H2O)3NH(CH2PO3H)3]n.
В интервале потенциалов образца –0.3÷–0.1 В (х.с.э.) становится возможным окисление Fe2+ до Fe3+ в твердой фазе оксидов и гидроксидов 6
FeO + H2O + OH– → Fe(OH)3↓ + e–,
2Fe3O4 + 2OH– → 3Fe2O3↓ + H2O + 2e– (VII)
с последующим формированием оксогидроксидов и оксидов железа(III):
Fe(OH)3 → FeO(OH) + H2O,
2FeO(OH) → Fe2O3 + H2O, (VIII)
продукты которых обнаруживаются в спектре железа (рис. 7). При повышении потенциала образца начинает протекать реакция окисления металлической меди на поверхности образца 7
Cu0 → Cu2+ + 2e–, (IX)
которая вольтамперометрически проявляется пиком плотности анодного тока при –0.1÷0.05 В (х.с.э.). Отнесение данного пика к реакции (IX) подтверждается пропорциональностью площади пика содержанию комплекса Na4[(Cu,Zn)N(CH2PO3)3]·13H2O в растворе и смещением пика в сторону повышения потенциала при повышении содержания в растворе комплекса Na4[(Cu,Zn)N(CH2PO3)3]·13H2O, содержащего окисленную форму Cu2+. Реакция (IX) приводит к переходу металлической меди частично в растворенное состояние, а частично — в Cu(OH)2, CuO и, вероятно, в феррит меди CuFe2O4. Все эти процессы приводят к формированию на поверхности образца более толстого оксидно-гидроксидного пассивного слоя, содержащего медь главным образом в окисленном состоянии, что подтверждается согласующимися результатами различных методов исследования (рис. 4, д; 6–8; 9, б и 10, б).
При повышении потенциала образца до +0.68 В (х.с.э.) на поверхности формируется плотный оксидно-гидроксидный пассивный слой, содержащий ионы Cu2+, Fe2+, Fe3+, и комплекс [Zn1/2Fe1/2(H2O)3NH(CH2PO3H)3]n, обнаруживаемые по спектрам (рис. 6–8). Концентрация комплекса [Zn1/2Fe1/2(H2O)3NH(CH2PO3H)3]n максимальна на глубине 1–5 нм, а соединений меди — на глубине около 10 нм (рис. 9, в). Этот слой хорошо защищает поверхность стали, вследствие чего плотность анодного тока растворения металла в этой области минимальна. Схематическая модель строения такого слоя и процессов переноса в нем показана на рис. 10, в.
В области транспассивности [при потенциале образца +1.20 В (х.с.э.)] происходит разрушение оксидно-гидроксидного слоя, обусловленное образованием хорошо растворимых оксидов высших степеней окисления. Pourbaix M. Atlas of Electrochemical Equilibria in Aqueous Solutions. National Association of Corrosion Engineers, Houston, 1974. P. 311–312. 8 При этом медь также полностью переходит в окисленное состояние (рис. 6). Несмотря на разрушение оксидно-гидроксидной части пассивной пленки, комплекс [Zn1/2Fe1/2(H2O)3NH(CH2PO3H)3]n частично сохраняется на поверхности стали, о чем свидетельствуют спектры Zn2p (рис. 6).
Выводы
С использованием комплекса методов, включающего вольтамперометрические измерения, сканирующую электронную микроскопию с микрозондовым элементным анализом, рентгеновскую фотоэлектронную спектроскопию поверхности и рентгеновскую фотоэлектронную спектроскопию с послойным травлением ионами Ar+, удалось детально исследовать влияние гетерометаллических комплексов Na4[(Cu,Zn)N(CH2PO3)3]·13H2O с различным соотношением Cu:Zn на коррозионно-электрохимическое поведение углеродистой стали в водных средах в условиях естественной аэрации.
Исследованные комплексы с соотношением Cu:Zn, равным 3:1, 1:1 и 1:3, являются ингибиторами коррозии. Наиболее эффективным ингибитором является комплекс с соотношением Cu:Zn = 1:3. Оптимальная дозировка его в условиях испытаний составила 1.0 ммоль·дм–3, при этом эффективность ингибирования анодного растворения стали 20, по данным вольтамперометрии, составила 86%.
Этот показатель превышает сумму эффектов соответствующих количеств монометаллических комплексов Na4[CuN(CH2PO3)3]·13H2O и Na4[ZnN(CH2PO3)3]·13H2O, полученных в прежних работах, что свидетельствует о синергическом эффекте при совместном введении в коррозионную среду медь- и цинксодержащих комплексных ионов.
Анализ данных сканирующей электронной микроскопии, рентгеновской фотоэлектронной спектроскопии, в том числе с послойным травлением, показал, что синергизм действия обусловлен стимулированием комплексными ионами [Cu{N(CH2PO3)3}]4– катодного процесса выделения Cu0 на поверхности стали и анодного процесса выделения ионов Fe2+ в коррозионную среду. Выделяющиеся при этом ионы Fe2+, взаимодействуя с комплексными ионами [Cu{N(CH2PO3)3}]4–, образуют труднорастворимые продукты — Zn(OH)2 и комплекс [Zn1/2Fe1/2(H2O)3NH(CH2PO3H)3]n, повышающие плотность и защитные свойства пассивной пленки на поверхности стали.
Благодарности
Работа выполнена с использованием оборудования Центра коллективного пользования «Поверхность и новые материалы» Удмуртского федерального исследовательского центра Уральского отделения РАН.
Финансирование работы
Работа выполнена в соответствии с планом научных исследований FUUE-2022-0010 Министерства науки и высшей школы Российской Федерации. Исследования методом рентгеновской фотоэлектронной спектроскопии выполнены при поддержке Министерства науки и высшего образования России в рамках соглашения № 075-15-2021-1351 в части развития указанного метода.
Конфликт интересов
Авторы заявляют об отсутствии конфликта интересов, требующего раскрытия в данной статье.
Информация о вкладе авторов
И. А. Жилин и Ф. Ф. Чаусов предложили постановку задачи и разработали программу исследований, подготовили исходные реагенты и образцы, провели электрохимические исследования; Н. В. Ломова и Н. Ю. Исупов провели рентгеновскую фотоэлектронную спектроскопию поверхности образцов; И. С. Казанцева интерпретировала результаты электрохимических исследований; В. Л. Воробьев провел рентгеновскую фотоэлектронную спектроскопию образцов с послойным травлением; И. К. Аверкиев провел электронно-микроскопические исследования образцов.
1 Томашов Н. Д., Чернова Г. П. Пассивность и защита металлов от коррозии. М.: Наука, 1965. C. 61–63.
2 Moulder J. F., Stickle W. F., Sobol P. E., Bomben K. D. Handbook of X-ray Photoelectron Spectroscopy. Perkin-Elmer Corp., Eden Prairie, 1992. P. 89.
3 Moulder J. F., Stickle W. F., Sobol P. E., Bomben K. D. Handbook of X-ray Photoelectron Spectroscopy. Perkin-Elmer Corp., Eden Prairie, 1992. P. 45.
4 Там же.
5 Анализ поверхности методами Оже- и рентгеновской фотоэлектронной спектроскопии / Под ред. Д. Бриггса и М. Сиха. М.: Мир, 1987. С. 184.
6 Pourbaix M. Atlas of Electrochemical Equilibria in Aqueous Solutions. National Association of Corrosion Engineers, Houston, 1974. P. 309.
7 Там же. P. 386.
8 Pourbaix M. Atlas of Electrochemical Equilibria in Aqueous Solutions. National Association of Corrosion Engineers, Houston, 1974. P. 311–312.
About the authors
Игорь Александрович Жилин
АО «Ижевский электромеханический завод «КУПОЛ»; Удмуртский федеральный исследовательский центр Уральского отделения РАН
Email: chaus@udman.ru
ORCID iD: 0009-0008-2380-1050
Russian Federation, 426033, г. Ижевск, ул. Песочная, д. 3; 426068, г. Ижевск, ул. Татьяны Барамзиной, д. 34
Фёдор Фёдорович Чаусов
Удмуртский федеральный исследовательский центр Уральского отделения РАН
Author for correspondence.
Email: chaus@udman.ru
ORCID iD: 0000-0003-4950-2370
Scopus Author ID: 6602129105
ResearcherId: ABH-2695-2020
д.х.н.
Russian Federation, 426068, г. Ижевск, ул. Татьяны Барамзиной, д. 34Наталья Валентиновна Ломова
Удмуртский федеральный исследовательский центр Уральского отделения РАН
Email: chaus@udman.ru
ORCID iD: 0000-0002-6568-4736
к.ф.-м.н.
Russian Federation, 426068, г. Ижевск, ул. Татьяны Барамзиной, д. 34Ирина Сергеевна Казанцева
Удмуртский федеральный исследовательский центр Уральского отделения РАН
Email: chaus@udman.ru
ORCID iD: 0000-0003-4556-3854
Russian Federation, 426068, г. Ижевск, ул. Татьяны Барамзиной, д. 34
Никита Юрьевич Исупов
Удмуртский федеральный исследовательский центр Уральского отделения РАН
Email: chaus@udman.ru
ORCID iD: 0000-0002-2515-8117
Russian Federation, 426068, г. Ижевск, ул. Татьяны Барамзиной, д. 34
Василий Леонидович Воробьёв
Удмуртский федеральный исследовательский центр Уральского отделения РАН
Email: chaus@udman.ru
ORCID iD: 0000-0002-9401-0802
к-ф.-м.н.
Russian Federation, 426068, г. Ижевск, ул. Татьяны Барамзиной, д. 34Игорь Кронидович Аверкиев
Удмуртский федеральный исследовательский центр Уральского отделения РАН
Email: chaus@udman.ru
ORCID iD: 0000-0001-9952-8363
Russian Federation, 426068, г. Ижевск, ул. Татьяны Барамзиной, д. 34
References
- Chausov F. F., Kazantseva I. S., Reshetnikov S. M., Lomova N. V., Maratkanova A. N., Somov N. V. Zinc and cadmium nitrilotris(methylenephosphonate)s: A comparative study of different coordination structures for corrosion inhibition of steels in neutral aqueous media // ChemistrySelect. 2020. V. 5. N 43. P. 13711–13719. https://doi.org/10.1002/slct.202003255
- Жилин И. А., Чаусов Ф. Ф., Ломова Н. В., Казанцева И. С., Исупов Н. Ю., Аверкиев И. К. Влияние хелатного комплекса нитрило-трис-метиленфосфоновой кислоты с медью на коррозионно-электрохимическое поведение углеродистой стали в водной среде // ЖПХ. 2023. Т. 96. № 2. С. 184–199. https://doi.org/10.31857/S004446182302007X https://www.elibrary.ru/oulzrw [Zhilin I. A., Chausov F. F., Lomova N. V., Kazantseva I. S., Isupov N. Yu., Averkiev I. K. Impact of the chelate complex of nitrilotris(methylenephosphonic acid) with copper on the corrosion-electrochemical behavior of carbon steel in an aqueous medium // Russ. J. Appl. Chem. 2023. V. 96. N 2. P. 176–189. https://doi.org/10.1134/S1070427223020089].
- Kuznetsov Y. I., Redkina G. V. Thin protective coatings on metals formed by organic corrosion inhibitors in neutral media // Coatings. 2022. V. 12. N 2. ID 149. https://doi.org/10.3390/coatings12020149
- Holmes W. Silver staining of nerve axons in paraffin sections // The Anatomical Record. 1943. V. 86. P. 157–187. https://doi.org/10.1002/ar.1090860205
- Biesinger M. C. Advanced analysis of copper X-ray photoelectron spectra // Surf. Interf. Anal. 2017. V. 49. P. 1325–1334. https://doi.org/10.1002/sia.6239
- Grosvenor A. P., Kobe B. A., Biesinger M. C., McIntyre N. S. Investigation of multiplet splitting of Fe2p XPS spectra and bonding in iron compounds // Surf. Interf. Anal. 2004. V. 36. P. 1564–1574. https://doi.org/10.1002/sia.1984
- Чаусов Ф. Ф., Казанцева И. С., Ломова Н. В., Холзаков А. В., Шабанова И. Н., Суксин Н. Е. Термохимическое поведение кристаллических медно-цинковых комплексов нитрило-трис-метиленфосфоновой кислоты // ЖПХ. 2022. Т. 95. № 4. C. 458–467. https://doi.org/10.31857/S0044461822040065 https://www.elibrary.ru/dgyksg [Chausov F. F., Kazantseva I. S., Lomova N. V., Kholzakov A. V., Shabanova I. N., Suksin N. E. Thermochemical behavior of crystalline copper–zinc complexes of nitrilotris(methylenephosphonic) acid // Russ. J. Appl. Chem. 2022. V. 95. N 4. P. 519–528. https://doi.org/10.1134/S1070427222040073].
Supplementary files














