Термические свойства сополиариленфталидов и полиариленфталид-стирольных сополимеров
- Authors: Юмагулова Р.Х.1, Янгиров Т.А.1, Аюпова А.Р.1, Захарова Е.М.1,2, Крайкин В.А.1
-
Affiliations:
- Уфимский институт химии УФИЦ РАН
- Уфимский университет науки и технологий
- Issue: Vol 97, No 3 (2024)
- Pages: 221-232
- Section: Высокомолекулярные соединения и материалы на их основе
- URL: https://ogarev-online.ru/0044-4618/article/view/265069
- DOI: https://doi.org/10.31857/S0044461824030058
- EDN: https://elibrary.ru/ORKTHJ
- ID: 265069
Cite item
Full Text
Abstract
Методами дифференциальной сканирующей калориметрии и термогравиметрического анализа исследована тепло- и термостойкость серии полиариленфталидов с различным соотношением одиночных (α) и двух смежных [рацемической (β) и мезо- (γ) конфигураций] дифениленоксидфталидных групп и полученных на их основе сополимеров со стиролом. С уменьшением содержания дифталидных групп температура начала разложения полиариленфталидов повышается с 340 до 460°С, а энтальпия деструкции изменяется с –32 Дж·г–1 до 0. Увеличение содержания ариленфталидных звеньев приводит к увеличению температуры разложения сополимеров на 80°С и к снижению их энтальпии распада.
Full Text
Среди полимеров с повышенной тепло- и термостойкостью значительную часть составляют кардовые полигетероарилены [1]. На сегодняшний день было синтезировано множество полигетероариленов различных классов, например кардовые полиарилаты, ароматические простые полиэфиры, полиамиды, полиоксадиазолы и др. [1–3]. Многие из таких полимеров сочетают высокую теплостойкость и растворимость в органических растворителях, которая облегчает их переработку.
В последние два десятилетия проводится синтез и исследование не только самих полигетероариленов, но и их сополимеров с различными виниловыми мономерами, главным образом стиролом и метилметакрилатом. Наиболее подробно изучены сополимеры на основе ароматических полиимидов [4, 5]. Было показано, что введение даже небольших количеств полиимидных фрагментов в цепи виниловых полимеров приводит к улучшению термических и прочностных характеристик по сравнению с виниловыми гомополимерами и их смесями с полигетероариленами. Так, радикальной полимеризацией стирола в присутствии 4–20 мас% фторированного кардового полиимида были получены сополимеры, характеризующиеся теплостойкостью на 10–45°С выше, чем у полистирола [6]. Аналогично сополимеры на основе поли(мет)акрилатов и ароматических полиимидов различного строения демонстрируют более высокие механические и термические характеристики, чем соответствующие (мет)акриловые гомополимеры [7–9]. Полимеризация винилпирролидона, содержащего растворенные полигетероарилены, в частности полиимиды, полиамиды и полиарилаты, позволила получить ряд сополимеров, превосходящих поливинилпирролидон по теплостойкости [10].
Среди прочих классов кардовых полигетероариленов следует выделить полиариленфталиды. Полимеры данного класса обладают механической прочностью, высокой термостойкостью (температура начала разложения достигает 460°С) и устойчивостью к длительному воздействию агрессивных химических сред (концентрированной соляной кислоты, аммиака, щелочей) [11, 12]. Наличие указанных свойств у полиариленфталидов позволяет предположить, что их сополимеры с виниловыми мономерами будут обладать термической и механической стабильностью в широком интервале температур и высокими эксплуатационными характеристиками.
Цель работы — определить температурные границы устойчивости сополиариленфталидов дифенилоксидного ряда с разным соотношением ариленфталидных и арилендифталидных фрагментов и полученных на их основе сополимеров со стиролом, а также охарактеризовать термические свойства сополимеров различного состава.
Экспериментальная часть
В работе была использована серия сополиариленфталидов I-1–I-12, синтезированных методом [13] интербисополиконденсацией псевдохлорангидрида 4,4ʹ-бис(2-карбоксибензоил)дифенилоксида (получен по методике [14]) с взятыми в разных соотношениях дифенилоксидом (99%, Sigma-Aldrich, кат. номер 240834) и 3,3ʹ-бис(4-феноксифенил)-3,3ʹ-дифталидом (получен по методике [15]) в среде нитробензола (99%, Panreac, кат. номер 2161447.1211) в присутствии пятихлористой сурьмы (99%, Alfa Aesar, кат. номер 041978.18) при 70°С. Среднемассовая молекулярная масса Mw полимеров I-1–I-12 составляет (13–99)·103, полидисперсность Mw/Mn = 2.2–6.3.
В основной цепи сополиариленфталидов содержатся дифениленоксидные фрагменты, чередующиеся либо только с одиночными (α) фталидными группами (в q-звеньях), либо с одиночными и двумя смежными фталидными (дифталидными) группами рацемической (β) и мезо- (γ) конфигураций (в p-звеньях). Полимеры I-1–I-12 различаются соотношением p- и q-звеньев, которое определяется мольным соотношением 3,3ʹ-бис(4-феноксифенил)-3,3ʹ-дифталида и дифенилоксида в исходной мономерной смеси (табл. 1). Содержание типов звеньев в полимерных цепях определяли, сравнивая в спектрах ЯМР 13С интенсивности сигналов атомов углерода С3α (~91.0 м. д.), С3β (~90.5 м. д.) и С3γ (~90.0 м. д.).
Таблица 1. Состав (со)полиариленфталидов и характеристики полученных на их основе ариленфталид-стирольных сополимеров*
Сополиариленфталидa | Соотношение сомономеровb | Сополимерc | Средневесовая молекулярная масса Мw·10–3 (полидисперсность Mw/Mn) | Содержание звеньев стирола (фталида), мас% | Содержание стирола,e моль | Температура начала разложения Тн.р, °С | Энтальпия разложения ΔHр, Дж·г–1 |
Сополиариленфталид/стирол = 1:9 | |||||||
I-1 | 1:0 | II-1 II-1 | 68(1.6)d 34(1.7) | 81(19)d 86(14) | 22d 17 | 380d 345 | 852d 1100 |
I-2 | 10:1 | II-2 II-2 (А) II-2 (Б) | 83(1.6)d 70(1.6) — | 80(20)d 88(12) 54(46) | 20d 38 6 | 370d — — | 794d — — |
I-3 | 4:1 | II-3 | 65(1.7) | 85(15) | 25 | 370 | 731 |
I-4 | 2:1 | II-4 (А) II-4 (Б) | 60(1.9) 61(1.7) | 90(10) 53(47) | 37 5 | 365 340 | 797 505 |
I-5 | 1:1 | II-5 II-5 (А) II-5 (Б) | 65(1.6)d 61(1.6) 47(2.1) | 82(18)d 89(11) 46(54) | 17d 30 3 | 380d 370 340 | 752d 928 458 |
I-6 | 1:2 | II-6 | 72(1.7) | 86(14) | 21 | 355 | 925 |
I-7 | 1:4 | II-7 | 64(1.7) | 80(20) | 13 | 360 | 752 |
I-8 | 1:7 | II-8 (А) II-8 (Б) | 71(1.6) 91(1.7) | 94(6) 49(51) | 46 3 | 360 370 | 1373 532 |
I-9 | 1:10 | II-9 II-9 (А) II-9 (Б) | 68(1.6)d 63(1.6) 64(1.6) | 79(21)d 92(8) 45(55) | 12d 35 2 | 360d 350 370 | 752d 803 799 |
I-10 | 1:15 | II-10 (А) II-10 (Б) | 48(1.8) 59(1.6) | 93(7) 56(44) | 40 4 | 340 355 | 815 751 |
I-11 | 1:20 | II-11 | 49(1.9) | 84(16) | 15 | 340 | 913 |
I-12 | 0:1 | II-12 (А) II-12 (Б) | 68(1.7) 57(1.4) | 93(7) 31(69) | 37 1 | 350 375 | 817 338 |
Сополиариленфталидa | Соотношение сомономеровb | Сополимерc | Средневесовая молекулярная масса Мw·10–3 (полидисперсность Mw/Mn) | Содержание звеньев стирола (фталида), мас% | Содержание стирола,e моль | Температура начала разложения Тн.р, °С | Энтальпия разложения ΔHр, Дж·г–1 |
Сополиариленфталид/стирол = 3:2 | |||||||
I-1 | 1:0 | II-13 | 33(1.5) | 19(81) | 1 | 330 | 589 |
I-2 | 10:1 | II-14 | 54(1.4) | 21(79) | 1 | 330 | 203 |
I-5 | 1:1 | II-15 | 31(2.3) | 12(88) | 0.5 | 340 | 125 |
I-12 | 0:1 | II-16 | 52(1.3) | 14(86) | 0.5 | 350 | — |
|
| Полистирол | 56(1.7) | — | — | 300 | 918.9 |
* a — сополиариленфталиды I-1–I-12 получены поликонденсацией псевдохлорангидрида 4,4ʹ-бис(2-карбоксибензоил)дифенилоксида со смесью 3,3ʹ-бис(4-феноксифенил)-3,3ʹ-дифталида и дифенилоксида с разным мольным соотношением и имеют следующую общую структуру:
b — мольное соотношение 3,3ʹ-бис(4-феноксифенил)-3,3ʹ-дифталида и дифенилоксида в исходной мономерной смеси, использованной при синтезе сополиариленфталидов I.
c — сополимеры II-1–II-16 получены радикальной полимеризацией стирола в присутствии сополиариленфталидов I-1–I-12 и имеют следующую общую структуру:
В процессе полимеризации в ряде случаев наблюдалось расслоение реакционной смеси на прозрачную (А) и мутную (Б) фракции.
d — характеристики сополимеров II, полученных в течение 4.5 ч. Остальные образцы получены в течение 7 ч.
e — содержание стирольных звеньев в расчете на одно фталидное звено.
Ариленфталид-стирольные сополимеры II-1–II-16 были получены в соответствии с методикой, описанной в [16], термической полимеризацией стирола (99.5%, Acros Organics, кат. номер 220532500) в присутствии сополиариленфталидов I-1–I-12 в среде циклогексанона (ч.д.а., АО «Вектон») при 120 ± 0.05°С. Стирол предварительно очищали от ингибитора пропусканием через колонку с окисью алюминия и двукратной перегонкой в вакууме при 69 ± 1°С и остаточном давлении 50 мм рт. ст. В макроцепях сополимеров II полистирольные блоки чередуются с фрагментами сополиариленфталидов I (табл. 1).
В процессе сополимеризации стирола с сополиариленфталидами при образовании дисперсий частиц ариленфталид-стирольных сополимеров можно наблюдать расслоение реакционной смеси на две жидкие фазы, одна из которых (верхняя преобладающая — фракция А) — прозрачная, а вторая, более вязкая (нижняя минорная — фракция Б) — мутная. В составе сополимеров фракций А преобладают стирольные звенья (~80 мас%), тогда как в сополимерах фракций Б содержание фталидных звеньев сопоставимо со стирольными (табл. 1). В макроцепях сополимеров II-13– II-16, получаемых при соотношении сополиариленфталид/стирол = 3:2, массовая концентрация арилфталидных звеньев в ~4-6 раз выше стирольных.
Состав сополимеров II-1–II-16 определяли по данным ИК- и ЯМР-спектроскопии. В ИК-спектрах характеристичными являются полосы поглощения при 2927.1 (полистирол), 1764.9 (α-фталидные группы), 1776.5 см–1 (β- и γ-фталидные группы). По интенсивности сигналов атомов С3α, С3β и С3γ в ЯМР 13С спектрах ариленфталид-стирольных сополимеров определили мольные доли α-, β- и γ-фталидных групп и рассчитали кумулятивные молярные коэффициенты экстинкции фталидных групп, входящих в состав сополимеров, согласно [17]. Молекулярные массы сополимеров II-1–II-16 приведены в табл. 1.
Молекулярную массу полимеров определяли методом гель-проникающей хроматографии с калибровкой по полистиролу на жидкостном хроматографе Маэстро ВЭЖХ (ООО «Интерлаб»), температура разделения 30°С, элюент — тетрагидрофуран (ч.д.а., ООО «Компонент-Реактив»).
Спектры ЯМР 1H и 13С регистрировали на спектрометре BrukerAvance III (Bruker) при 500 и 126 МГц соответственно в CDCl3 (Sigma-Aldrich, кат. номер 151823), внутренний стандарт — тетраметилсилан (99.7%, Merck).
ИК-спектры регистрировали на приборе Shimadzu IR Prestige-21 (Shimadzu) в диапазоне 400–4000 см–1. Полимеры I-1–I-12 анализировали в пленках, сополимеры II-1–II-16 — в растворах в хлороформе (х.ч., АО «Экос-1») в неразборных жидкостных кюветах с окнами из KBr толщиной 1.06 мм.
Термогравиметрический анализ выполняли на дериватографе MOM Q-1000 (MOM) при скорости нагрева 5 град·мин–1.
Калориметрические измерения проводили на приборе DSC 214 Polyma (NETZSCH-Gerätebau GmbH) в инертной среде (N2, 40 мл мин–1) в инервале –70÷550°С при скорости нагрева 10.0 град·мин–1. Использовали образцы массой 1–6 мг.
Обсуждение результатов
По данным дифференциальной сканирующей калориметрии, термической деструкции полимеров I-1–I-12 предшествуют эндотермические процессы плавления (рис. 1). Во всех случаях (кроме полимера I-12) эндотермические пики на кривых теплового потока, соответствующие плавлению кристаллических фаз, частично перекрываются экзотермическими пиками, соответствующими процессам распада β- и γ-фталидных циклов (максимум при ~350°С). Полимер I-12 не содержит в своем составе дифталидные группы и не подвергается термодеструкции при указанной температуре. По мере уменьшения содержания дифталидных групп [соотношения (β + γ)/α] температура начала плавления (Тпл) (со)полиариленфталидов возрастает незначительно — с 260 до 270°С. Энтальпия деструкции (ΔHр) для I-1–I-4, в составе которых преобладают дифталидные группы [1 ≥ (β + γ)/α ≥ 0.670], составляет около –32 Дж·г–1. Повышение содержания α-фталидных групп [уменьшение соотношения (β + γ)/α] в макроцепях сополиариленфталидов приводит к снижению экзотермического эффекта практически до нуля (для I-11 и I-12) (рис. 2).
Рис. 1. Кривые дифференциальной сканирующей калориметрии сополиариленфталидов I.
I-1 — сополиариленфталид, полученный поликонденсацией псевдохлорангидрида 4,4ʹ-бис(2-карбоксибензоил)дифенилоксида с 3,3ʹ-бис(4-феноксифенил)-3,3ʹ-дифталидом; I-4 — сополиариленфталид, полученный поликонденсацией псевдохлорангидрида 4,4ʹ-бис(2-карбоксибензоил)-дифенилоксида со смесью 3,3ʹ-бис(4-феноксифенил)-3,3ʹ-дифталида и дифенилоксида с мольным соотношением 2:1; I-5 — сополиариленфталид, полученный поликонденсацией псевдохлорангидрида 4,4ʹ-бис(2-карбоксибензоил)-дифенилоксида со смесью 3,3ʹ-бис(4-феноксифенил)-3,3ʹ-дифталида и дифенилоксида с мольным соотношением 1:1; I-6 — сополиариленфталид, полученный поликонденсацией псевдохлорангидрида 4,4ʹ-бис(2-карбоксибензоил)-дифенилоксида со смесью 3,3ʹ-бис(4-феноксифенил)-3,3ʹ-дифталида и дифенилоксида с мольным соотношением 1:2; I-12 — полиариленфталид, полученный поликонденсацией псевдохлорангидрида 4,4ʹ-бис(2-карбоксибензоил)-дифенилоксида с дифенилоксидом.
Рис. 2. Зависимость энтальпии деструкции (ΔHр) сополиариленфталидов при 350°С от соотношения смежных [рацемических (β) и мезо- (γ)] и одиночных (α) фталидных групп.
Начало термической деструкции сополиариленфталидов обусловлено декарбоксилированием фталидных циклов: распад сдвоенных (β- и γ-) фталидных циклов начинается при температуре ~350°С [18], а одиночных (α-) фталидных циклов — при ~460°С [11, 12].
На кривых дифференциальной сканирующей калориметрии всех сополимеров II-1–II-16 в отличие от исходных полимеров I-1–I-12 отсутствуют эндотермические перегибы в области 270°С, отвечающие температурам плавления сополиариленфталидов (рис. 3). Это означает, что, как и полистирол, сополимеры II-1–II-16 обладают аморфной структурой. Распаду их полистирольных блоков соответствует эндотермический пик в области 400°С. В области 350°С вид кривых теплового потока зависит от состава [соотношения (β + γ)/α] исходных сополиариленфталидов и соответственно от состава формирующихся в их присутствии ариленфталид-стирольных сополимеров. Так, в случае сополимера II-1 [в исходном полимере I-1 (β + γ)/α = 1] регистрируется четкий экзотермический пик с интенсивностью намного меньшей, чем в самом полимере I-1.
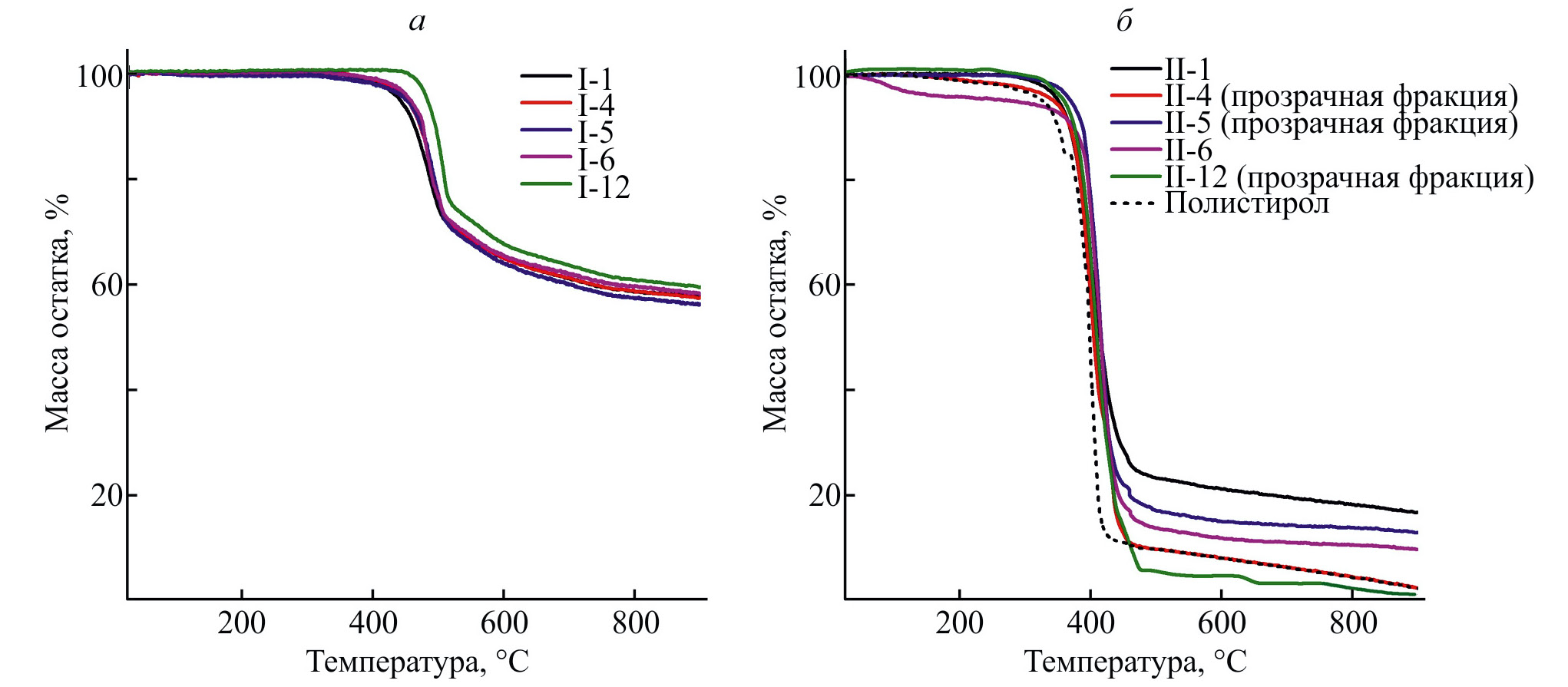
Рис. 3. Кривые дифференциальной сканирующей калориметрии ариленфталид-стирольных сополимеров II, синтезированных в течение 7 ч при массовом соотношении сополиариленфталид/стирол = 1:9 (а) и сополиариленфталид/стирол = 3:2 (б).
II-1 — сополимер на основе сополиариленфталида, полученного поликонденсацией псевдохлорангидрида 4,4ʹ-бис(2-карбоксибензоил)дифенилоксида с 3,3ʹ-бис(4-феноксифенил)-3,3ʹ-дифталидом; II-4 — сополимер на основе сополиариленфталида, полученного поликонденсацией псевдохлорангидрида 4,4ʹ-бис(2-карбоксибензоил)дифенилоксида со смесью 3,3ʹ-бис(4-феноксифенил)-3,3ʹ-дифталида и дифенилоксида с мольным соотношением 2:1; II-5 — сополимер на основе сополиариленфталида, полученного поликонденсацией псевдохлорангидрида 4,4ʹ-бис(2-карбоксибензоил)дифенилоксида со смесью 3,3ʹ-бис(4-феноксифенил)-3,3ʹ-дифталида и дифенилоксида с мольным соотношением 1:1; II-6 — сополимер на основе сополиариленфталида, полученного поликонденсацией псевдохлорангидрида 4,4ʹ-бис(2-карбоксибензоил)дифенилоксида со смесью 3,3ʹ-бис(4-феноксифенил)-3,3ʹ-дифталида и дифенилоксида с мольным соотношением 1:2; II-12 — сополимер на основе полиариленфталида, полученного поликонденсацией псевдохлорангидрида 4,4ʹ-бис(2-карбоксибензоил)дифенилоксида с дифенилоксидом; II-13 — сополимер на основе сополиариленфталида, полученного поликонденсацией псевдохлорангидрида 4,4ʹ-бис(2-карбоксибензоил)дифенилоксида с 3,3ʹ-бис(4-феноксифенил)-3,3ʹ-дифталидом; II-14 — сополимер на основе сополиариленфталида, полученного поликонденсацией псевдохлорангидрида 4,4ʹ-бис(2-карбоксибензоил)дифенилоксида со смесью 3,3ʹ-бис(4-феноксифенил)-3,3ʹ-дифталида и дифенилоксида с мольным соотношением 10:1; II-15 — сополимер на основе сополиариленфталида, полученного поликонденсацией псевдохлорангидрида 4,4ʹ-бис(2-карбоксибензоил)дифенилоксида со смесью 3,3ʹ-бис(4-феноксифенил)-3,3ʹ-дифталида и дифенилоксида с мольным соотношением 1:1; II-16 — сополимер на основе полиариленфталида, полученного поликонденсацией псевдохлорангидрида 4,4ʹ-бис(2-карбоксибензоил)дифенилоксида с дифенилоксидом.
Хотя и сополимеры фракций А, и сополимеры, формирующиеся в гомофазных условиях, обогащены стирольными звеньями, в составе первых на 1 моль фталидного фрагмента приходится от 30 до 46 моль стирольного, а в других — от 13 до 25 моль (табл. 1). В ряду сополимеров фракций А, имеющих практически одинаковый состав (~35 моль стирольных звеньев на 1 моль фталидных), энтальпия деструкции на ~100 Дж·г–1 меньше, чем у гомополистирола, но для II-5(А) (30 моль стирольных) практически совпадает с ΔHр полистирола. В ряду этих сополимеров выделяется II-8(А), отличающийся от всех остальных наиболее высоким содержанием стирольных звеньев (46 моль стирольных звеньев на 1 моль фталидных), для которого энтальпия деструкции на 450 Дж·г–1 выше, чем у полистирола.
Сополимеры гомофазных систем по величине энтальпии деструкции можно разделить на две группы: в первой — II-1, II-6 и II-11, во второй — II-3 и II-7. Энтальпии распада сополимеров первой группы близки по величине к ΔHр гомополистирола, а сополимеров второй группы почти на 200 Дж·г–1 меньше.
Сополимеры, в составе которых преобладают ариленфталидные фрагменты (сополимеры фракций Б), характеризуются меньшими значениями энтальпии распада (табл. 1), а минимальное значение ΔHр свойственно сополимерам II-13–II-16 (получены при соотношении сополиариленфталид/стирол = 3:2), на их кривых дифференциальной сканирующей калориметрии эндотермические пики в области 400°С слабо выражены (рис. 3, б). С одной стороны, это может быть обусловлено высокой термостабильностью ариленфталидных фрагментов, начинающих распадаться при более высоких температурах, чем полистирол. С другой — экзотермический эффект разложения дифталидных групп может частично компенсировать эндотермический эффект распада полистирольных фрагментов (при высоком содержании β- и γ-фталидных циклов).
По данным термогравиметрического анализа, температура начала разложения (Тн.р) полиариленфталидов возрастает с 340 до 460°С по мере увеличения α-фталидных групп в составе исходного сополиариленфталида (рис. 4, а; табл. 2).
Рис. 4. Кривые термогравиметрического анализа сополиариленфталидов I (а) и их сополимеров со стиролом II (б).
I-1 — сополиариленфталид, полученный поликонденсацией псевдохлорангидрида 4,4ʹ-бис(2-карбоксибензоил)дифенилоксида с 3,3ʹ-бис(4-феноксифенил)-3,3ʹ-дифталидом; I-4 — сополиариленфталид, полученный поликонденсацией псевдохлорангидрида 4,4ʹ-бис(2-карбоксибензоил)дифенилоксида со смесью 3,3ʹ-бис(4-феноксифенил)-3,3ʹ-дифталида и дифенилоксида с мольным соотношением 2:1; I-5 — сополиариленфталид, полученный поликонденсацией псевдохлорангидрида 4,4ʹ-бис(2-карбоксибензоил)дифенилоксида со смесью 3,3ʹ-бис(4-феноксифенил)-3,3ʹ-дифталида и дифенилоксида с мольным соотношением 1:1; I-6 — сополиариленфталид, полученный поликонденсацией псевдохлорангидрида 4,4ʹ-бис(2-карбоксибензоил)дифенилоксида со смесью 3,3ʹ-бис(4-феноксифенил)-3,3ʹ-дифталида и дифенилоксида с мольным соотношением 1:2; I-12 — полиариленфталид, полученный поликонденсацией псевдохлорангидрида 4,4ʹ-бис(2-карбоксибензоил)дифенилоксида с дифенилоксидом; II-1 — сополимер на основе сополиариленфталида I-1; II-4 — сополимер на основе сополиариленфталида I-4; II-5 — сополимер на основе сополиариленфталида I-5; II-6 — сополимер на основе сополиариленфталида I-6; II-12 — сополимер на основе сополиариленфталида I-12.
Таблица 2. Термические свойства (со)полиариленфталидов и их сополимеров со стиролом*
Сополиариленфталидa | Соотношение сомономеровb | Температура плавления Тпл, °С | Температура начала разложения Тн.р,°С | Сополимерc | Температура начала разложения Тн.р,°С | Остаток,d % |
I-1 | 1:0 | 270 | 350 | II-1 | 355 | 22 |
I-2 | 10:1 | 270 | 350 | II-2 (А) | 370 | 9 |
I-3 | 4:1 | 269 | 370 | II-3 | 375 | 14 |
I-4 | 2:1 | 269 | 390 | II-4 (А) | 360 | 9 |
I-5 | 1:1 | 267 | 400 | II-5 (А) | 380 | 15 |
I-6 | 1:2 | 265 | 410 | II-6 | 380 | 15 |
I-7 | 1:4 | 262 | 430 | II-7 | 375 | 15 |
I-8 | 1:7 | 262 | 440 | II-8 (А) | 370 | 3 |
I-9 | 1:10 | 262 | 450 | II-9 (А) | 365 | 11 |
I-10 | 1:15 | 260 | 450 | II-10 (А) II-10 (Б) | 360 345 | 8 36 |
I-11 | 1:20 | 260 | 450 | II-11 | 350 | 12 |
I-12 | 0:1 | 260 | 460 | II-12 (А) | 375 | 5 |
* a — сополиариленфталиды I-1–I-12 получены поликонденсацией псевдохлорангидрида 4,4ʹ-бис(2-карбоксибензоил)дифенилоксида со смесью 3,3ʹ-бис(4-феноксифенил)-3,3ʹ-дифталида и дифенилоксида с разным мольным соотношением и имеют следующую общую структуру:
b — мольное соотношение 3,3ʹ-бис(4-феноксифенил)-3,3ʹ-дифталида и дифенилоксида в исходной мономерной смеси, использованной при синтезе сополиариленфталидов I.
c — сополимеры II получены радикальной полимеризацией стирола в присутствии сополиариленфталидов I и имеют следующую общую структуру:
В процессе полимеризации в ряде случаев наблюдалось расслоение реакционной смеси на прозрачную (А) и мутную (Б) фракции.
d — масса остатка после разложения при 900°С.
Температура начала разложения ариленфталид-стирольных сополимеров выше, чем у полистирола (300°С) (табл. 1, 2). В отличие от исходных сополиариленфталидов I в ряду и сополимеров фракций А, и сополимеров гомогенных систем наблюдается снижение Тн.р (с 370 до 340°С). Для сополимеров фракций Б, обогащенных фталидными фрагментами, отмечается обратная тенденция: в ряду этих сополимеров, как и в ряду полимеров I-1–I-12, Тн.р возрастает.
Данные термогравиметрического анализа сополимеров II-1–II-12 (рис. 4, б) полностью согласуются с результатами метода дифференциальной сканирующей калориметрии. Температура начала распада II-1–II-12 на 40–80°С выше, чем у полистирола. По мере увеличения содержания α-фталидных групп в составе исходного сополиариленфталида для сополимеров, формирующихся в гомогенных условиях (исключение — сополимер II-1), и сополимеров фракций А прослеживается снижение Тн.р; обратная закономерность, как и в случае самих I-1–I-12, характерна для сополимеров фракций Б (табл. 1, 2).
Выводы
Эксперименты показали, что эндотермический эффект распада полистирольных блоков сополимеров частично компенсируется экзотермическим эффектом разложения фталидных фрагментов цепи. Наименьшей энтальпией деструкции характеризуются сополимеры, в составе которых преобладают ариленфталидные фрагменты (~12–20 мас% стирольных звеньев). Температура начала разложения сополимеров с высоким содержанием стирольных звеньев (~80–90 мас%) снижается с 370 до 340°С по мере увеличения одиночных фталидных групп в составе исходных сополиариленфталидов, а для сополимеров, содержащих ~30–50 мас% стирольных звеньев, — возрастает с 340 до 380°С.
Благодарности
Работа выполнена с использованием оборудования Центра коллективного пользования «Химия» Уфимского института химии Уфимского федерального исследовательского центра РАН и Федерального государственного бюджетного образовательного учреждения высшего образования «Уфимский университет науки и технологий».
Финансирование работы
Работа выполнена в рамках государственного задания Министерства науки и высшего образования Российской Федерации по темам «Синтез и свойства (со)полиариленфталидов с различным типом присоединения фталидных групп («голова к голове» и «голова к хвосту»)» (№ 122031400279-9, FMRS-2022-0049) и «Разработка современных технологий, цифровых методов анализа и моделей, предназначенных для работы с большими объемами разрозненной биохимической, химической и технической информации с учетом и без учета влияния внешних условий» (FZWU-2023-0002).
Конфликт интересов
Авторы заявляют об отсутствии конфликта интересов, требующего раскрытия в данной статье.
Информация о вкладе авторов
Р. Х. Юмагулова провела сбор литературных данных, принимала участие в интерпретации экспериментальных результатов термогравиметрического анализа и дифференциальной сканирующей калориметрии, сформулировала выводы работы; Т. А. Янгиров осуществил синтез образцов сополиариленфталидов, выполнил инструментальное исследование их термической стабильности методом термогравиметричского анализа, провел сравнительный анализ энтальпий деструкции сополиариленфталидов; А. Р. Аюпова осуществила синтез образцов ариленфталид-стирольных сополимеров и исследование их строения методами ИК- и ЯМР-спектроскопии, провела сравнительный анализ энтальпий деструкции ариленфталид-стирольных сополимеров; Е. М. Захарова выполнила инструментальное исследование термических свойств образцов всех полимеров методом дифференциальной сканирующей калориметрии, а также термической стабильности ариленфталид-стирольных сополимеров методом термогравиметричского анализа, интерпретировала полученные результаты; В. А. Крайкин обосновал концепцию статьи, осуществил постановку цели и задачи работы, принимал участие в интерпретации всех экспериментальных результатов.
About the authors
Роза Хайбулловна Юмагулова
Уфимский институт химии УФИЦ РАН
Author for correspondence.
Email: jmagulova@anrb.ru
ORCID iD: 0000-0003-3596-1875
д.х.н., с.н.с.
Russian Federation, 450054, г. Уфа, пр. Октября, д. 71Тагир Айратович Янгиров
Уфимский институт химии УФИЦ РАН
Email: jmagulova@anrb.ru
ORCID iD: 0000-0002-7267-9716
к.х.н., с.н.с.
Russian Federation, 450054, г. Уфа, пр. Октября, д. 71Альфия Равкатовна Аюпова
Уфимский институт химии УФИЦ РАН
Email: jmagulova@anrb.ru
ORCID iD: 0000-0003-0479-4250
м.н.с.
Russian Federation, 450054, г. Уфа, пр. Октября, д. 71Елена Михайловна Захарова
Уфимский институт химии УФИЦ РАН; Уфимский университет науки и технологий
Email: jmagulova@anrb.ru
ORCID iD: 0000-0001-5266-4026
к.х.н., н.с.
Russian Federation, 450054, г. Уфа, пр. Октября, д. 71; 450076, г. Уфа, ул. Заки Валиди, д. 32Владимир Александрович Крайкин
Уфимский институт химии УФИЦ РАН
Email: jmagulova@anrb.ru
ORCID iD: 0000-0001-8826-8885
д.х.н., г.н.с.
Russian Federation, 450054, г. Уфа, пр. Октября, д. 71References
- Виноградова С. В., Васнев В. А., Выгодский Я. С. Кардовые полигетероарилены. Синтез, свойства и своеобразие // Успехи химии. 1996. Т. 65. № 3. С. 266–295. https://www.elibrary.ru/movbmt [Vinogradova S. V., Vasnev V. A., Vygodskii Ya. S. Cardo polyheteroarylenes. Synthesis, properties, and characteristic features // Russ. Chem. Rev. 1996. V. 65. N 3. P. 249–277. https://doi.org/10.1070/RC1996v065n03ABEH000209 https://www.elibrary.ru/ldyjyx].
- Виноградова С. В., Васнев В. А. Тенденции развития поликонденсации и конденсационных полимеров // Успехи химии. 2004. Т. 73. № 5. С. 526–541. https://www.elibrary.ru/hqubup [Vinogradova S. V., Vasnev V. A. Trends in the development of polycondensation and condensation polymers // Russ. Chem. Rev. 2004. V. 73. N 5. P. 487–500. https://doi.org/10.1070/RC2004v073n05ABEH000884 https://www.elibrary.ru/zcnybp].
- Сапожников Д. А., Выгодский Я. С. Успехи в области поликонденсации и конденсационных полимеров // Высокомолекуляр. соединения. Сер. Б. 2015. Т. 57. № 4. С. 231–248. https://doi.org/10.7868/S2308113915040117 https://www.elibrary.ru/txvnbr [Sapozhnikov D. A., Vygodskii Y. S. Achievements in polycondensation and condensation polymers // Polym. Sci. Ser. B. 2015. V. 57. N 4. P. 275–291. https://doi.org/10.1134/S1560090415040119 https://www.elibrary.ru/uonrzp].
- Чалых А. Е., Степаненко В. Ю., Будылин Н. Ю., Щербина А. А., Иванов И. В., Мелешко Т. К., Якиманский А. В. Энергетические характеристики поверхности пленок молекулярных щеток на основе полиимида и полметилметакрилата // Высокомолекуляр. соединения. Сер. А. 2016. Т. 58. № 3. С. 246–254. https://doi.org/10.7868/S2308112016030044 https://www.elibrary.ru/vtqhxd [Chalykh A. E., Stepanenko V. Y., Budylin N. Y., Shcherbina A. A., Ivanov I. V., Meleshko T. K., Yakimansky A. V. Surface-energy characteristics of films of molecular brushes based on polyimide and poly(methyl methacrylate) // Polym. Sci. Ser. A. 2016. V. 58. N 3. P. 336–344. https://doi.org/10.1134/S0965545X16030044 https://www.elibrary.ru/wvkxkx].
- Мелешко Т. К., Пулялина А. Ю., Тян Н. С., Полоцкая Г. А., Иванов И. В., Кукаркина Н. В., Тойкка А. М., Якиманский А. В. Молекулярные полиимидные щетки как новый мембранный материал для процессов первапорации // Высокомолекуляр. соединения. Сер. Б. 2017. Т. 59. № 2. С. 143–153. https://doi.org/10.7868/S2308113917020164 https://www.elibrary.ru/yivznn [Meleshko T. K., Tyan N. S., Polotskaya G. A., Ivanov I. V., Kukarkina N. V., Yakimansky A. V., Pulyalina A. Y., Toikka A. M. Molecular polyimide brushes as a novel membrane material for pervaporation processes // Polym. Sci. Ser. B. 2017. V. 59. N 2. P. 183–193. https://doi.org/10.1134/S1560090417020063 https://www.elibrary.ru/xnijyo].
- Выгодский Я. С., Матиева А. М., Волкова Т. В., Сахарова А. А., Сапожников Д. А. (Со)полимеризация стирола в присутствии полигетероариленов // Высокомолекуляр. соединения. Сер. А. 2004. Т. 46. № 4. С. 604–614. https://www.elibrary.ru/oqoiwz [Vygodskii Y. S., Matieva A. M., Volkova T. V., Sakharova A. A., Sapozhnikov D. A. (Co)polymerization of styrene in the presence of polyheteroarylenes // Polym. Sci. Ser. A. 2004. V. 46. N 4. P. 352–360. https://www.elibrary.ru/limwpb].
- Выгодский Я. С., Сахарова А. А., Матиева А. М. Новые полимерные системы, получаемые полимеризацией акрилатов, содержащих растворенные полиимиды // Высокомолекуляр. соединения. Сер. Б. 1998. Т. 40. № 8. С. 1394–1397. https://www.elibrary.ru/mpajgh [Vygodskii Y. S., Sakharova A. A., Matieva A. M. New polymeric systems prepared by polymerization of acrylates containing dissolved polyimides // Polym. Sci. Ser. B. 1998. V. 40. N 8. P. 282–285. https://www.elibrary.ru/levitl].
- Сапожников Д. А., Волкова Т. В., Сахарова А. А., Гасанов Р. Г., Voytekunas V. Yu., Abadie M. J. M., Sanchez J.-Y., Выгодский Я. С. Фотополимеризация (мет)акрилатов в присутствии полигетероариленов // Высокомолекуляр. соединения. Сер. Б. 2009. Т. 51. № 2. С. 286–297. https://www.elibrary.ru/jvslvj [Sapozhnikov D. A., Volkova T. V., Sakharova A. A., Gasanov R. G., Voytekunas V. Yu., Abadie M. J. M., Sanchez J. Y., Vygodskii Y. S. Photopolymerization of (meth)acrylates in the presence of polyheteroarylenes // Polym. Sci. Ser. B. 2009. V. 51. N 1–2. P. 1–12. https://doi.org/10.1134/S1560090409010011 https://www.elibrary.ru/llsgfd].
- Сапожников Д. А., Попова Н. А., Выгодский Я. С. Полимеризация метилметакрилата и стирола в присутствии полиимидов с алифатическими фрагментами в основной цепи // Высокомолекуляр. соединения. Сер. Б. 2013. Т. 55. № 10. С. 1301–1306. https://doi.org/10.7868/S0507547513080114 https://www.elibrary.ru/qzxftb [Sapozhnikov D. A., Popova N. A., Vygodskii Y. S. Polymerization of methyl methacrylate and styrene in the presence of polyimides containing aliphatic moieties in the backbone // Polym. Sci. Ser. B. 2013. V. 55. N 9–10. P. 541–545. https://doi.org/10.1134/S1560090413080058 https://www.elibrary.ru/skxxbt].
- Сапожников Д. А., Байминов Б. А., Выгодский Я. С. Сополимеры N-винил-2-пирролидона и конденсационных полимеров // ДАН. 2016. Т. 468. № 4. С.408–412. https://doi.org/10.7868/S0869565216110141 https://www.elibrary.ru/vylweh [Sapozhnikov D. A., Baiminov B. A., Vygodskii Y. S. Copolymers of N-vinyl-2-pyrrolidone and condensation polymers // Doklady Chemistry. 2016. V. 468. N 2. P. 169–173. https://doi.org/10.1134/S0012500816040066 https://www.elibrary.ru/wtqgix].
- Салазкин С. Н. Ароматические полимеры на основе псевдохлорангидридов // Высокомолекуляр. соединения. Сер. Б. 2004. Т. 46. № 7. С. 1244–1269. https://www.elibrary.ru/oqobzt [Salazkin S. N. Aromatic polymers based on pseudoacid chlorides // Polym. Sci. Ser. B. 2004. V. 46. N 7–8. P. 203–223. https://www.elibrary.ru/litgdr].
- Салазкин С. Н., Шапошникова В. В., Мачуленко Л. Н., Гилева Н. Г., Крайкин В. А., Лачинов А. Н. Синтез полиариленфталидов, перспективных в качестве «умных» полимеров // Высокомолекуляр. соединения. Сер. А. 2008. Т. 50. № 3. С. 399–417. https://www.elibrary.ru/ijkoml [Salazkin S. N., Shaposhnikova V. V., Machulenko L. N., Gileva N. G., Kraikin V. A., Lachinov A. N. Synthesis of polyarylenephthalides prospective as smart polymers // Polym. Sci. Ser. A. 2008. V. 50. N 3. P. 243–259. https://doi.org/10.1134/S0965545X08030024 https://www.elibrary.ru/bipxij].
- Янгиров Т. А., Абдуллин Б. М., Фатыхов А. А., Захарова Е. М., Салазкин С. Н., Крайкин В. А. Cополиариленфталиды дифенилоксидного ряда c разным соотношением фталидных и дифталидных групп // Высокомолекуляр. соединения. Сер. Б. 2021. Т. 63. № 1. С. 16–24. https://doi.org/10.31857/S2308113921010083 https://www.elibrary.ru/twqnjt [Yangirov T. A., Abdullin B. M., Fatykhov A. A., Zakharova E. M., Kraikin V. A., Salazkin S. N. Diphenyl oxide copolyarylenephthalides with different ratio of phthalide and diphthalide groups // Polym. Sci. Ser. B. 2021. V. 63. N 1. P. 13–21. https://doi.org/10.1134/S1560090421010085 https://www.elibrary.ru/axtazw].
- Wolfe J. F., Stille J. K. The synthesis and solution properties of aromatic polymers containing 2,4-quinoline units in the main chain // Macromolecules. 1976. V. 9. N 3. P. 489–496. https://doi.org/10.1021/ma60051a020
- Yangirov T. A., Fatykhov A. A., Sedova E. A., Ivanov S. P., Kraikin V. A., Khalilov L. M., Meshcheryakova E. S., Salazkin S. N. The rotameric (R*,S*)- and (R*,R*)-biaryl-3,3′-diphthalides of polyphenylene series // Tetrahedron. 2019. V. 75. N 9. P. 1282–1292. https://doi.org/10.1016/j.tet.2019.01.043 https://www.elibrary.ru/aavboq
- Аюпова А. Р., Янгиров Т. А., Абдуллин Б. М., Юмагулова Р. Х., Фатыхов А. А., Крайкин В. А. Сополиариленфталиды в реакции термической полимеризации стирола // Изв. АН. Сер. хим. 2021. Т. 70. № 9. С. 1804–1815. https://www.elibrary.ru/pbwjgg [Ayupova A. R., Yangirov T. A., Abdullin B. M., Yumagulova R. Kh., Fatykhov A. A., Kraikin V. A. Copoly(arylenephthalides) in the thermal polymerization of styrene // Russ. Chem. Bull. 2021. V. 70. N 9. P. 1804–1815. https://doi.org/10.1007/s11172-021-3286-0 https://www.elibrary.ru/lxfwym].
- Аюпова А. Р., Янгиров Т. А., Юмагулова Р. Х., Фатыхов А. А., Крайкин В. А. Влияние условий синтеза на закономерности формирования ариленфталид-стирольных сополимеров // ЖОХ. 2022. Т. 92. № 6. С. 915–924. https://doi.org/10.31857/S0044460X22060117 https://www.elibrary.ru/cngyld [Ayupova A. R., Yangirov T. A., Yumagulova R. Kh., Fatykhov A. A., Kraikin V. A. Effect of synthesis conditions on the formation regularities of arylenephthalide-styrene copolymers // Russ. J. Gen. Chem. 2022. V. 92. N 6. P. 996–1004. https://doi.org/10.1134/S1070363222060111 https://www.elibrary.ru/xohkri].
- Kraikin V. A., Yangirov T. A., Fatykhov A. A., Ivanova V. P., Sedova E. A., Gileva N. G., Ionova I. A. Polyarylenediphthalides: A new class of phthalide-type polyheteroarylenes // High Performance Polym. 2017. V. 29. N 6. P. 677–690. https://doi.org/10.1177/0954008317698031 https://www.elibrary.ru/uxqbch
Supplementary files










