Структура и свойства фенолоформальдегидных смол, синтезированных при разных содержаниях щелочи в реакционной смеси
- Authors: Иванов Д.В.1, Глазунова М.Г.1, Калашников А.А.2
-
Affiliations:
- Санкт-Петербургский государственный лесотехнический университет им. С. М. Кирова
- АО «Слотекс»
- Issue: Vol 97, No 2 (2024)
- Pages: 148-160
- Section: Высокомолекулярные соединения и материалы на их основе
- URL: https://ogarev-online.ru/0044-4618/article/view/262128
- DOI: https://doi.org/10.31857/S0044461824020051
- EDN: https://elibrary.ru/LUNYHM
- ID: 262128
Cite item
Full Text
Abstract
Изучены структура и свойства клеящих фенолоформальдегидных смол, синтезированных при снижении содержания NaOH в реакционной смеси относительно нормы, установленной для рецептуры производства смолы марки СФЖ-3014. Методом спектроскопии ЯМР 13C установлено, что смолы с высоким (мольное соотношение фенол:NaOH = 1:>0.50), средним [мольное соотношение фенол:NaOH = 1:(0.26–0.50)] и низким (мольное соотношение фенол:NaOH = 1:<0.26) содержанием NaOH в реакционной смеси различаются по строению фенолоформальдегидных олигомеров. Для реакционной смеси с высоким содержанием NaOH характерна высокая скорость образования фенолоспиртов и средняя скорость поликонденсации, что приводит к образованию олигомеров, состоящих преимущественно из трех остатков фенола. Для реакционной смеси со средним содержанием NaOH характерна средняя скорость образования фенолоспиртов и высокая скорость поликонденсации, что приводит к получению олигомеров, состоящих преимущественно из четырех остатков фенола. Для реакционной смеси с низким содержанием NaOH характерна низкая скорость образования фенолоспиртов и низкая скорость поликонденсации, что приводит к образованию олигомеров, состоящих преимущественно из двух остатков фенола. Смолы, синтезированные при высоком содержании NaOH в реакционной смеси, отличаются невысоким содержанием свободного формальдегида и средней реакционной способностью; фанера и древесностружечные плиты на основе таких смол характеризуются средними физико-механическими показателями. Смолы, синтезированные при среднем содержании NaOH в реакционной смеси, отличаются высокой реакционной способностью и повышенным содержанием формальдегида; фанера и древесностружечные плиты на основе таких смол характеризуются высокими физико-механическими показателями. Смолы с низким содержанием NaOH в реакционной смеси отличаются высоким содержанием свободного формальдегида и низкой реакционной способностью; фанера и древесностружечные плиты на основе таких смол не соответствуют требованиям стандартов по физико-механическим показателям.
Full Text
Одной из самых востребованных в промышленности синтетических смол является фенолоформальдегидная смола, применяемая главным образом в качестве основного компонента клеев и связующих. К достоинствам фенолоформальдегидных смол относится возможность в широких пределах управлять их свойствами путем регулирования рецептуры и режимов синтеза. К рецептурным параметрам синтеза обычно относят мольное соотношение фенол:формальдегид, вид и содержание щелочного катализатора. Влияние соотношения количеств фенола и формальдегида в рецептуре на свойства готовых смол, строение фенолоспиртов и фенолоформальдегидных олигомеров изучено достаточно подробно [1, 2]. В то же время сведений о роли содержания щелочи (в основном NaOH) в реакционной смеси значительно меньше.
Образование фенолоформальдегидной смолы представляет собой двухступенчатый процесс. На первом этапе в результате взаимодействия фенола с формальдегидом образуются фенолоспирты, содержащие 1–3 метилольные (гидрокси- или оксиметильные) группы (в зависимости от мольного соотношения фенол:формальдегид). Реакционная смесь после первой стадии синтеза (фенолоформальдегидный преконденсат) помимо фенолоспиртов содержит незначительное количество фенолоформальдегидных олигомеров и продуктов, не участвовавших в синтезе (метанол и его производные, формиат натрия и т. п.). На втором этапе главным образом идет поликонденсация фенолоспиртов с образованием фенолоформальдегидных олигомеров — основного компонента фенолоформальдегидных смол. Помимо олигомеров в состав смол входят остаточные фенол и формальдегид, фенолоспирты и продукты, не участвовавшие в синтезе.
Каталитическое действие щелочи заключается в образовании фенолят-аниона с последующей карбанионной конденсацией с альдегидом по типу альдольной через пара- и орто-положение ароматического кольца. Увеличение содержания NaOH в реакционной смеси способствует увеличению выхода фенолоспиртов на первой стадии синтеза [3], однако скорость поликонденсации на второй стадии синтеза, как правило, уменьшается. 1 Интересные результаты представлены в публикации [4]: смолы с низким и средним содержанием NaOH в реакционной смеси имеют бо́льшую вязкость и быстрее отверждаются при 100°C, чем смолы с высоким содержанием NaOH в реакционной смеси, что объясняется увеличением химической активности смолы. Авторы подтверждают, что при высоком содержании NaOH поликонденсация замедляется, а значит, следует отделять процесс образования фенолоформальдегидных олигомеров от процесса образования фенолоспиртов в контексте обсуждения влияния содержания NaOH в реакционной смеси на выход продуктов, образующихся при синтезе смолы.
Изменение мольного соотношения фенол:OH– c 1:0.09 до 1:0.13 не приводит к значительным изменениям в строении фенолоспиртов и фенолоформальдегидных олигомеров [5]. При этом изменение мольного соотношение фенол:NaOH с 1:0.37 до 1:0.64 ведет к уменьшению содержания остаточных фенола и формальдегида в составе готовых смол [6]. Снижение количества NaOH приводит к уменьшению содержания формальдегида в фенолоформальдегидной смоле и падению прочности клеевого соединения, образованного отвержденной смолой [7].
Цель работы — установить строение компонентов фенолоформальдегидных преконденсатов и готовых фенолоформальдегидных смол, полученных при разном содержании NaOH в реакционной смеси; оценить влияние содержания NaOH в реакционной смеси на свойства фенолоформальдегидных смол и изготовленных с их использованием древесностружечных плит и фанеры.
Экспериментальная часть
Для синтеза фенолоформальдегидных смол использовали фенол (ч.д.а., ООО «Октант»), формалин (технический марки ФМ высшего сорта, ПАО «Акрон»), NaOH (ч.д.а., ООО «Октант») в виде 40%-ного водного раствора. Дистиллированную воду получали путем перегонки водопроводной воды с использованием дистиллятора ДЭ-10М (ООО «Завод «Электромедоборудование»).
Синтезировали 6 образцов смол, различающихся содержанием NaOH в реакционной смеси (табл. 1).
Таблица 1
Рецептура синтезированных фенолоформальдегидных смол
Показатель | Значение показателя | |||||
Обозначение смол | 0.73 | 0.61 | 0.50 | 0.38 | 0.26 | 0.14 |
Мольное соотношение фенол:NaOH | 1:0.73 | 1:0.61 | 1:0.50 | 1:0.38 | 1:0.26 | 1:0.14 |
Рецептура, мас. ч.: фенол формальдегид NaOH дистиллированная вода | 100 76.3 31.1 195.0 | 100 76.3 26.1 195.0 | 100 76. 3 21.1 195.0 | 100 76.3 16.1 195.0 | 100 76.3 11.1 195.0 | 100 76.3 6.1 195.0 |
Содержание NaOH в реакционной смеси, % | 7.5 | 6.6 | 5.4 | 4.1 | 2.9 | 1.6 |
Синтез вели в трехгорлой колбе, снабженной механической мешалкой, обратным холодильником и термометром; нагрев вели с использованием водяной бани. В колбу последовательно загружали фенол, дистиллированную воду и 40%-ный водный раствор NaOH. Полученную смесь перемешивали в течение 10 мин и загружали формалин. Реакционную смесь нагревали до 45–50°C и выдерживали при этой температуре 90 мин (первая стадия синтеза). По окончании этого времени смесь доводили до кипения и выдерживали 30 мин (вторая стадия синтеза). После кипячения реакционную смесь охлаждали до 80–85°C и выдерживали еще 5 мин. По окончании времени выдержки смолу охлаждали до температуры менее 30°C и сливали в приемную емкость.
Режим (условия) синтеза смол были идентичны условиям синтеза смолы марки СФЖ-3014. Рецептура смолы 0.73 также соответствовала рецептуре смолы СФЖ-3014. 2
При анализе фенолоформальдегидных смол определяли массовую долю сухого остатка, условную вязкость с использованием вискозиметра ВЗ-4 (ООО НТЦ «Промтехнологии»), продолжительность желатинизации при 150°C. 3 Концентрацию водородных ионов (pH) определяли с использованием прибора pH-410 (АО «Аквилон»). Содержание свободного фенола определяли методом газовой хроматографии 4 с использованием хроматографа GC-2010 (Shimadzu Corporation). Содержание свободного формальдегида определяли методом потенциометрического титрования 5 с использованием прибора pH-410 (АО «Аквилон»).
Реакционную смесь на разных этапах синтеза изучали методом ЯМР 13C. Для анализа отбирали по 1 мл фенолоформальдегидного преконденсата (реакционная смесь после первой стадии синтеза до начала второй) и готовой смолы. В качестве растворителей при подготовке образцов к получению спектров ЯМР 13C использовали дейтерированную воду (ООО «Сольвекс»). 300 мкл анализируемых смесей смешивали с 150 мкл растворителя. Измерения проводили на ЯМР-спектрометре Bruker при частоте 100 МГц, проводили 1024 измерения в течение 1 ч.
Отвержденные образцы фенолоформальдегидных смол исследовали с помощью ИК-спектроскопии. Для этого 5 г смолы переносили в стеклянный бюкс и подвергали термообработке в термостате при 120°C в течение 11 мин (таким образом воспроизводили режим горячего прессования фанеры). Полученный фенолоформальдегидный полимер измельчали и отбирали порошок, прошедший через сито с диаметром ячеек 0.5 мм и оставшийся на поддоне. ИК-спектры получали с использованием прибора ФСМ-1201 (ООО «Инфраспек»).
Синтезированные фенолоформальдегидные смолы использовали для изготовления однослойных древесностружечных плит размером 200 × 200 × 10 мм, расчетной плотностью 700 кг·м–3. В качестве наполнителя использовали березовую стружку с абсолютной влажностью 2%, длиной до 40 мм, шириной до 2 мм, толщиной 0.15–0.45 мм, полученную на лабораторном дисковом стружечном станке типа ЛС 100/27 (Kleinewefers GmbH). Для изготовления стружки использовали березовые карандаши (ОАО «Фанпласт) — отход, образующийся при лущении шпона в производстве фанеры и древесных слоистых пластиков. В ходе приготовления связующего смолы разбавляли до концентрации 38% для обеспечения одинаковой влажности осмоленной стружки. Осмоление стружки проводили путем пневматического распыления связующего. Расход синтезированных нами абсолютно сухих смол составил 8% от массы абсолютно сухой стружки. Горячее прессование проводили на лабораторном прессе марки HPA-500 × 500 × 1 × 160 (Kleinewefers GmbH); температура прессования составляла 200°C, давление 2.8 МПа, продолжительность 0.7 мин·мм–1 толщины готовой плиты.
В ходе испытаний древесностружечных плит определяли плотность 6, разбухание и водопоглощение в холодной воде за 24 ч, прочность при изгибе 7, прочность при растяжении 8, содержание формальдегида модифицированным баночным методом 9. Также определяли разбухание и водопоглощение в кипящей воде за 1 ч. Для этого образцы размером 50 × 35 мм помещали в стеклянный стакан объемом 500 см3; на дно стакана и в его верхнюю часть ставили ограничители в виде металлических сеток, чтобы образцы не могли всплыть на поверхность или опуститься на дно. Образцы заливали 400 см3 кипящей дистиллированной воды и ставили стакан на электрическую плитку. Кипячение продолжали в течение 1 ч, после чего образцы извлекали из воды. Разбухание и водопоглощение определяли так же, как при испытаниях в холодной воде.
На завершающем этапе работы изготавливали 11-слойную фанеру марки ФСФ из березового шпона (ОАО «Фанпласт») толщиной 1.15 мм, с относительной влажностью 6% с использованием синтезированных фенолоформальдегидных смол. Норма расхода клея составила 150 г·м–2. Горячее прессование проводили на том же лабораторном прессе, что и при изготовлении древесностружечных плит. Температура прессования составляла 120°С, давление прессования 1.8 МПа, продолжительность прессования 11 мин.
Для приготовления клея использовали мел марки ММС2 (ООО «Химлайн») и пшеничную муку 2 сорта (ООО «Пионер»). Рецептура клея, мас. ч. по товарным продуктам, для всех образцов смол: фенолоформальдегидная смола — 100, мел — 11, мука — 8, дистиллированная вода — 7.
При испытаниях фанеры определяли толщину с использованием толщиномера ручного ТР 25-60Б (ООО «Научно-производственное объединение «КировИнструмент»), прочность при скалывании по клеевому слою10 после кипячения в течение 1 ч, плотность, влажность 11 и выделение формальдегида методом газового анализа 12 с использованием прибора GA-3000-2 (Imalpal Group).
Обсуждение результатов
Физико-химические испытания синтезированных фенолоформальдегидных смол подтвердили значительное влияние содержания NaOH в реакционной смеси на свойства готовых образцов (табл. 2). Стандартная смола (смола 0.73) по всем измеренным показателям соответствует требованиям, предъявляемым к марке СФЖ-3014.13 Уменьшение содержания NaOH в реакционной смеси до 2.9% (смола 0.26) приводит к росту содержания свободного формальдегида и условной вязкости смолы, сокращению продолжительности желатинизации и содержания свободного фенола. Однако при дальнейшем снижении содержания NaOH в реакционной смеси (смола 0.14) условная вязкость смол резко падает, а содержание свободного фенола и время отверждения резко возрастают; содержание формальдегида при этом продолжает расти.
Таблица 2
Физико-химические показатели фенолоформальдегидных смол
Показатель | Мольное соотношение фенол:NaOH | |||||
1:0.73 | 1:0.61 | 1:0.50 | 1:0.38 | 1:0.26 | 1:0.14 | |
Массовая доля сухого остатка, % | 46.9 | 47.1 | 44.6 | 45.2 | 42.6 | 42.6 |
Условная вязкость, с | 20 | 22 | 29 | 50 | 51 | 23 |
Концентрация ионов водорода (pH) | 11.7 | 11.4 | 11.2 | 10.8 | 10.4 | 9.7 |
Время желатинизации при 150°C, с | 110 | 117 | 110 | 90 | 78 | 105 |
Содержание свободного фенола, % | 0.09 | 0.07 | 0.03 | Следы | Следы | 0.15 |
Содержание свободного формальдегида, % | 0.02 | 0.01 | 0.11 | 0.75 | 1.25 | 1.50 |
Таким образом, снижение содержания NaOH в реакционной смеси с 7.5 до 2.9% приводит к увеличению реакционной способности смолы (снижение продолжительности отверждения), росту содержания формальдегида и увеличению молекулярной массы фенолоформальдегидных олигомеров, о чем косвенно свидетельствует рост условной вязкости на фоне снижения массовой доли сухого остатка.
На спектрах ЯМР 13C преконденсатов смолы 0.73 (рис. 1, а) наблюдается наличие практически чистых фенолоспиртов; о незначительной поликонденсации свидетельствует только слабый сигнал в области 39.0‒41.0 м. д., характерный для ядер углерода метиленовых связей пара‒параʹ. В спектрах преконденсатов 0.61 и 0.50 (рис. 1, в, д) появляются новые сигналы в области 81.0‒83.0 и 85.0‒87.0 м. д., соответствующие ядрам углерода производных свободного формальдегида — метандиола и параформальдегида. Дальнейшее снижение содержания NaOH в реакционной смеси (рис. 1, ж, и, л) приводит к появлению сигналов в области 54.0‒57.0 и 89.0‒92.0 м. д., соответствующих ядрам углерода соответственно метильных и метиленовых групп продуктов взаимодействия формальдегида с метанолом (метоксиметанол CH3—O—CH2OH), а также к появлению сигналов в области 65.0–70.6 и 69.0‒73.0 м. д., характерных для эфирных фрагментов фенолоспиртов и фенолоформальдегидных олигомеров.
Рис. 1. Спектры ЯМР 13C преконденсатов и готовых смол (1000 МГц, D2O).
а, в, д, ж, и, л — преконденсат; б, г, е, з, к, м — смола.
Мольное соотношение фенол:NaOH: а, б — 1:0.73; в, г — 1:0.61; д, е — 1:0.50; ж, з — 1:0.38; и, к — 1:0.26; л, м — 1 : 0.14.
Увеличение содержания производных свободного формальдегида в преконденсатах, а также появление эфирных структур и метоксиметанола свидетельствуют о снижении реакционной способности системы фенол‒формальдегид, возможно, по причине уменьшения концентрации фенолят-аниона как интермедиата, необходимого для реакции фенола и формальдегида. При снижении выхода фенолоспиртов — основного компонента, необходимого для образования фенолоформальдегидных олигомеров, можно предположить также снижение интенсивности поликонденсации на второй стадии синтеза. Однако в спектрах готовых смол качественные изменения относительно смолы 0.73 (рис. 1, б) наблюдаются только в случае образцов 0.38, 0.26, и 0.14 (рис. 1, з, к, м). При этом для спектров смол 0.38 и 0.26 характерно только наличие сигналов, относящихся к производным свободного формальдегида; на спектрах смолы 0.14 появляются сигналы, относящиеся к ядрам углерода метоксиметанола, сигналы, характерные для эфирных структур фенолоспиртов и фенолоформальдегиднх олигомеров отсутствуют вовсе.
Данные количественного анализа преконденсатов и готовых смол, полученные методом ЯМР 13C (табл. 3, 4), подтверждают противоположное влияние снижения содержания NaOH в реакционной смеси на образование фенолоспиртов и их поликонденсацию. О снижении химической активности фенола по отношению к формальдегиду при уменьшении содержания NaOH в реакционной смеси свидетельствует сокращение содержания метилольных групп в преконденсатах. Причем если в преконденсате смолы 0.38 относительно преконденсата смолы 0.73 доля метилольных групп падает всего на 6.7%, то в преконденсате смолы 0.26 относительно преконденсата смолы 0.38 — на 18.0%, а в преконденсате смолы 0.14 относительно преконденсата смолы 0.26 — на 20.9%. Кроме того, преконденсаты смол 0.26 и 0.14 отличаются самым низким содержанием метиленовых связей и замещенных реакционных центров в ароматическом кольце, самым высоким содержанием свободного формальдегида, эфирных структур и свободных реакционных центров, в том числе свободных пара-положений.
Таблица 3
Характеристики ЯМР-спектров фенолоформальдегидных преконденсатов
Структура | Химический сдвиг, м. д. | Мольное соотношение фенол:NaOH | |||||
1:0.73 | 1:0.61 | 1:0.50 | 1:0.38 | 1:0.26 | 1:0.14 | ||
Метиленовый углерод | — | 100 | 100 | 100 | 100 | 100 | 100 |
Метиленовые связи пара—CH2—параʹ | — | 2.13 | 2.14 | 3.66 | 2.94 | 1.94 | 0.86 |
39.0–41.0 | 2.13 | 2.14 | 3.66 | 2.94 | 1.94 | 0.86 | |
Эфирные фрагменты | — | — | — | — | 1.02 | 9.15 | 13.15 |
Фенол—CH2—O—CH2‒фенолʹ | 69.0–72.0 | — | — | — | 0.40 | 2.29 | 3.21 |
Фенол—CH2—O—CH2OH | 71.0–73.0 | — | — | — | 0.00 | 4.58 | 6.40 |
CH3—O—CH2OH | 89.0–92.0 | — | — | — | 0.62 | 2.28 | 3.55 |
Метилольные группы | — | 97.87 | 97.02 | 94.35 | 92.78 | 74.88 | 59.25 |
орто-CH2OH | 61.4–61.5 | 10.75 | 11.37 | 10.32 | 12.10 | 11.52 | 12.97 |
диорто-CH2OH | 61.6–62.3 | 54.66 | 52.95 | 55.25 | 79.21 | 38.04 | 25.21 |
пара-CH2OH | 63.0–66.0 | 32.46 | 32.70 | 28.78 | 1.47 | 25.32 | 21.07 |
Свободный формальдегид | — | — | 0.84 | 1.99 | 3.26 | 14.03 | 26.73 |
HO—CH2—OH | 81.0–83.0 | — | 0.84 | 0.84 | 0.98 | 8.06 | 14.70 |
HO—CH2—O—CH2—OH | 85.0–87.0 | — | — | 1.15 | 2.28 | 5.97 | 12.03 |
Ароматическое кольцо | — | 100 | 100 | 100 | 100 | 100 | 100 |
Свободные позиции | — | 14.98 | 15.83 | 14.41 | 16.12 | 24.24 | 30.55 |
Свободное орто-положение | 115.0–119.0 | 14.98 | 15.83 | 14.41 | 16.12 | 22.57 | 28.91 |
Свободное пара-положение | 120.0–124.0 | — | — | — | — | 1.67 | 1.64 |
C2–C6 | 127.6–133.9 | 74.26 | 73.67 | 75.96 | 73.78 | 65.84 | 60.58 |
C1 | 155.0–164.0 | 10.76 | 10.50 | 9.63 | 10.10 | 9.92 | 8.87 |
Прочее | — | 100 | 100 | 100 | 100 | 100 | 100 |
Метанол | 49.0–50.0 | 98.36 | 98.16 | 100 | 97.39 | 85.24 | 75.33 |
CH3—O—CH2OH | 54.0–57.0 | — | — | — | 2.61 | 14.76 | 24.67 |
Формиат-ион | 170.0–172.0 | 1.64 | 1.84 | — | — | — | — |
Примечание: «—» — отсутствие сигнала в наблюдаемой области.
Таблица 4
Характеристики ЯМР-спектров фенолоформальдегидных смол
Структура | Химический сдвиг, м. д. | Мольное соотношение фенол:NaOH | |||||
1:0.73 | 1:0.61 | 1:0.50 | 1:0.38 | 1:0.26 | 1:0.14 | ||
Метиленовый углерод | — | 100 | 100 | 100 | 100 | 100 | 100 |
Метиленовые связи | — | 23.69 | 25.35 | 24.82 | 27.35 | 23.99 | 7.17 |
пара—CH2—параʹ | 13.31 | 14.26 | 15.38 | 18.65 | 15.38 | 1.76 | |
пара—CH2—параʹ | 39.0–41.0 | 10.38 | 11.09 | 9.44 | 8.70 | 8.61 | 5.41 |
Эфирные фрагменты | — | — | — | — | 1.66 | 1.72 | 3.90 |
CH3—O—CH2OH | 89.0–92.0 | — | — | — | 1.66 | 1.72 | 3.90 |
Метилольные группы | — | 76.31 | 74.65 | 75.18 | 68.63 | 67.64 | 75.08 |
орто-CH2OH | 61.4–61.5 | 12.99 | 14.44 | 12.82 | — | — | 10.69 |
диорто-CH2OH | 61.6–62.3 | 54.37 | 52.80 | 58.12 | 65.41 | 65.01 | 58.59 |
пара-CH2OH | 63.0–66.0 | 8.94 | 7.41 | 4.24 | 3.22 | 2.63 | 5.80 |
Свободный формальдегид | — | — | — | — | 2.36 | 6.65 | 13.85 |
HO—CH2—OH | 81.0–83.0 | — | — | — | 2.36 | 6.65 | 10.99 |
HO—CH2—O—CH2—OH | 85.0–87.0 | — | — | — | 0.00 | 0.00 | 2.86 |
Ароматическое кольцо | — | 100 | 100 | 100 | 100 | 100 | 100 |
Свободные позиции | — | 5.76 | 3.64 | 1.04 | — | — | 4.17 |
Свободное орто-положение | 115.0–119.0 | 5.76 | 3.64 | 1.04 | — | — | 4.17 |
C2−C6 | 127.6–133.9 | 90.81 | 91.57 | 97.93 | 98.77 | 97.66 | 86.57 |
C1 | 155.0–164.0 | 3.43 | 4.79 | 1.03 | 1.23 | 2.34 | 9.26 |
Прочее | — | 100 | 100 | 100 | 100 | 100 | 100 |
Метанол | 49.0–50.0 | 91.15 | 97.56 | 86.67 | 86.28 | 91.81 | 88.77 |
CH3—O—CH2OH | 54.0–57.0 | — | — | — | 11.15 | 8.19 | 11.23 |
Формиат-ион | 170.0–172.0 | 8.85 | 2.44 | 13.33 | 2.57 | — | — |
Примечание: «—» — отсутствие сигнала в наблюдаемой области.
Снижение химической активности системы фенол–формальдегид не имеет негативного влияния на молекулярную массу фенолоформальдегидных олигомеров (для всех образцов, кроме смолы 0.14). Доля метиленовых связей в смоле 0.38 по сравнению со смолой 0.73 увеличивается на 15.5%; также увеличивается содержание замещенных и снижается количество свободных реакционных центров в ароматическом кольце. О высокой молекулярной массе олигомеров можно сказать и применительно к смоле 0.26; в ее спектрах отсутствуют сигналы, характерные для свободных орто- и пара-положений, кроме того, как и в спектре смолы 0.38, не наблюдается сигналов, относящихся к структуре орто-CH2OН. Однако смола 0.26 имеет сравнительно низкую долю метиленовых связей, что тем не менее можно объяснить появлением большого количества производных свободного формальдегида и нецелевых продуктов синтеза.
С уменьшением содержания NaOH в реакционной смеси в рассматриваемых смолах меняется соотношение разнотипных метиленовых связей. Если в образце 0.73 соотношение метиленовых связей пара–параʹ:орто–параʹ составляет 1:1.3, то в смолах 0.61, 0.50, 0.38, 0.26 и 0.14 — соответственно 1:1.3, 1:1.6, 1:2.1, 1:1.8 и 1:0.3. Таким образом, смолы 0.38 и 0.26 характеризуются наибольшим содержанием олигомеров с тремя метиленовыми связями, две из которых орто–параʹ, что подтверждает предположение об относительно высокой молекулярной массе продуктов поликонденсации в случае этих образцов.
Низкую молекулярную массу имеют фенолоформальдегидные олигомеры смолы 0.14. Принимая во внимание результаты физико-химического анализа (высокое содержание свободных фенола и формальдегида, а также низкую условную вязкость), можно предположить, что содержание щелочи в смоле 0.14 настолько низкое, что затрудняется образование не только фенолоспиртов, но и фенолоформальдегидных олигомеров. Вероятно, то же самое имеют в виду авторы работы [8], когда утверждают, что увеличение содержания NaOH в реакционной смеси свыше мольного соотношения фенол:NaOH = 1:0.10 способствует поликонденсации.
Сопоставляя результаты, полученные методом ЯМР 13C, c данными физико-химических анализов (табл. 2), можно предположить, что уменьшение содержания NaOH в реакционной смеси замедляет образование фенолоспиртов, но интенсифицирует поликонденсацию, что согласуется с результатами работы [4]. Пользуясь классификацией [4], образцы 0.73 и 0.61 можно отнести к смолам с высоким содержанием NaOH в реакционной смеси, образцы 0.50, 0.38 и 0.26 — смолам со средним содержанием NaOH в реакционной смеси, а образец 0.14 — смолам с низким содержанием NaOH в реакционной смеси.
Образцы с низким содержанием NaOH в реакционной смеси по строению и свойствам больше похожи на пропиточные смолы и не представляют большого интереса при изучении образования клеящих фенолоформальдегидных смол, к которым относится смола СФЖ-3014 и которые пригодны для изготовления древесных плит и фанеры. Образование смол с высоким и средним содержанием NaOH в реакционной смеси можно описать с использованием схемы. Рассматривали взаимодействие 4 молекул фенола с 9 или 10 молекулами формальдегида (мольное соотношение фенол:формальдегид во всех принятых рецептурах составляет 1:2.4), поскольку в таком случае удобно построение фенолоформальдегидных олигомеров с подходящими молекулярной массой и соотношением разнотипных метиленовых связей.
В случае взаимодействия 4 молекул фенола с 9 молекулами формальдегида при мольном соотношении фенол:NaOH = 1:0.73 и 1:0.61 (реакционная смесь с высоким содержанием NaOH) после образования фенолоспиртов и их поликонденсации образуются олигомеры, содержащие 3 остатка фенола и по одной метиленовой связи орто–параʹ и пара–параʹ; четвертая молекула фенола превращается в 2,4-диметилолфенол. В случае взаимодействия 4 молекул фенола с 10 молекулами формальдегида десятая молекула формальдегида может присоединиться к свободному реакционному центру ароматического кольца фенолоспирта.
В случае взаимодействия 4 молекул фенола с 9 молекулами формальдегида при мольном соотношении фенол:NaOH = 1:0.50, 1:0.38 и 1:0.26 (реакционная смесь со средним содержанием NaOH) после образования фенолоспиртов и их поликонденсации образуются олигомеры, содержащие 4 остатка фенола, 2 метиленовые связи орто–параʹ и 1 метиленовую связь пара–параʹ. В случае взаимодействия 4 молекул фенола с 10 молекулами формальдегида десятая молекула формальдегида останется в реакционной смеси в виде метандиола из-за отсутствия свободных реакционных центров в ароматических кольцах.
Поскольку при снижении содержания NaOH в реакционной смеси уменьшается химическая активность системы фенол–формальдегид, в преконденсате после первой стадии синтеза остается больше реакционных центров ароматического кольца. Вероятно, на второй стадии синтеза реакции взаимодействия фенола с формальдегидом идут параллельно с поликонденсацией фенолоспиртов, т. е. с реакционными центрами ароматического кольца взаимодействует не только формальдегид, но и метилольные группы фенолоспиртов.
Содержание NaOH в реакционной смеси при синтезе фенолоформальдегидных смол оказывает существенное влияние на свойства изготовленных с их использованием древесностружечных плит (табл. 5) и фанеры (табл. 6). Худшими показателями характеризуются материалы, изготовленные с использованием образца 0.14, что подтверждает его низкую пригодность для использования в качестве клеящей смолы. Единственный показатель, по которому плиты на основе смолы 0.14 соответствуют требованиям стандарта,14 предел прочности при статическом изгибе, определяющий глубину отверждения связующего в наружных слоях. Поскольку во время прессования температура наружных слоев плиты близка к температуре греющих плит пресса (180–200°C), высокая прочность при изгибе подтверждает необходимость больших затрат энергии на отверждение смолы 0.14. Кроме того, древесностружечне плиты и фанера, изготовленные с использованием смолы 0.14, отличаются самым высоким содержанием формальдегида и не соответствуют требованиям, предъявляемым даже к материалам класса эмиссии Е1.15
Схема предполагаемых путей образования фенолоформальдегидных олигомеров при высоком и среднем содержании NaOH в реакционной смеси
Таблица 5
Физико-механические показатели древесностружечных плит
Показатель | Мольное соотношение фенол:NaOH | |||||
1:0.73 | 1:0.61 | 1:0.50 | 1:0.38 | 1:0.26 | 1:0.14 | |
Плотность, кг·м–3 | 703 | 696 | 700 | 705 | 700 | 709 |
Прочность при изгибе, МПа | 26.0 | 26.3 | 25.6 | 26.2 | 26.5 | 24.5 |
Прочность при растяжении, МПа | 0.22 | 0.24 | 0.27 | 0.29 | 0.30 | 0.14 |
Разбухание по толщине, %, после выдержки образцов: в холодной воде в течение 24 ч в кипящей воде в течение 1 ч | 36 51 | 34 52 | 36 51 | 38 54 | 39 58 | 38 60 |
Водопоглощение, %, после выдержки образцов: в холодной воде в течение 24 ч в кипящей воде в течение 1 ч | 93 118 | 91 114 | 90 103 | 94 111 | 92 109 | 95 94 |
Содержание формальдегида, мг/100 г абс. сух. плиты | 0.3 | 0.4 | 1.3 | 1.7 | 6.3 | 8.5 |
Таблица 6
Физико-механические показатели фанеры
Показатель | Мольное соотношение фенол:NaOH | |||||
1:0.73 | 1:0.61 | 1:0.50 | 1:0.38 | 1:0.26 | 1:0.14 | |
Плотность, кг·м–3 | 775 | 780 | 765 | 760 | 780 | 780 |
Прочность при скалывании по клеевому слою, МПа | 1.01 | 1.13 | 2.13 | 2.03 | 1.73 | 0.85 |
Относительная влажность, % | 9.6 | 9.6 | 9.3 | 9.2 | 9.7 | 8.9 |
Толщина, мм | 11.1 | 11.2 | 11.2 | 11.4 | 11.3 | 11.4 |
Выделение формальдегида, мг·м–2·ч–1 | 1.1 | 1.2 | 1.5 | 2.3 | 3.4 | 5.1 |
Примечание. Прочность при скалывании определяли после кипячения образца в воде в течение 1 ч.
Прочность наружных слоев древесностружечных плит на основе смол 0.73, 0.61, 0.50, 0.38 и 0.26 практически не меняется, однако прочность внутреннего слоя (предел прочности при растяжении перпендикулярно пласти плиты) увеличивается с уменьшением содержания NaOH в реакционной смеси при синтезе фенолоформальдегидных смол. Поскольку во время горячего прессования температура внутреннего слоя составляет 110–130°C, рост прочности при растяжении может быть связан с увеличением реакционной способности смолы. Водопоглощение плит, особенно при кипячении, в ряду смол 0.73–0.26 также снижается, по всей видимости, из-за снижения гидрофильности плит по причине уменьшения их щелочности. Тем не менее разбухание по толщине плиты на основе смолы 0.26 увеличивается по сравнению с плитой на основе смолы 0.73 на 18%, что указывает на снижение водостойкости отвержденной смолы.
Уменьшение содержания NaOH в реакционной смеси при синтезе фенолоформальдегидных смол значительно влияет на содержание формальдегида в древесностружечных плитах. Так, плиты на основе смол с высоким содержанием NaOH в реакционной смеси отличаются наименьшим содержанием формальдегида. Согласно данным, приведенным в работе [9], древесные плиты и фанера, содержащие формальдегид в количестве менее 1 мг/100 г, соответствуют требованиям класса эмиссии E0.5 по выделению формальдегида, определяемому камерным методом. Плиты на основе смол 0.50 и 0.38 содержат соответственно в 4.3 и 5.6 раза больше формальдегида, чем плиты на основе смолы 0.73, однако соответствуют требованиям к древесностружечным плитам класса эмиссии E0.5 согласно стандарту,16 но не по камерному методу. Плиты на основе смолы 0.26 по сравнению с плитами на основе смолы 0.73 содержат в 20 раз больше формальдегида, однако соответствуют требованиям класса эмиссии E1 согласно требованиям ГОСТ.17
Предел прочности при скалывании по клеевому слою характеризует и прочность, и водостойкость фенолоформальдегидных полимеров (из-за выдержки образцов фанеры в кипящей воде перед испытаниями на скалывание). Прочность клеевого слоя фанеры с клеем из смолы 0.50 относительно фанеры с клеем из смолы 0.73 увеличивается почти в 2 раза. Фанера на основе клеев из смол 0.38 и 0.26 характеризуется меньшей прочностью по сравнению с фанерой на основе клея со смолой 0.50 на 4.7 и 18.8% соответственно. Принимая во внимание, что смолы 0.38 и 0.26 отличаются бо́льшей реакционной способностью [по результатам определения продолжительности их желатинизации и прочности древесностружечных плит при растяжении (табл. 3, 5)], снижение прочности клеевого слоя фанеры при снижении содержания NaOH в реакционной смеси можно связать с ухудшением водостойкости отвержденных смол, что согласуется с результатами, полученными при испытании разбухания древесностружечных плит.
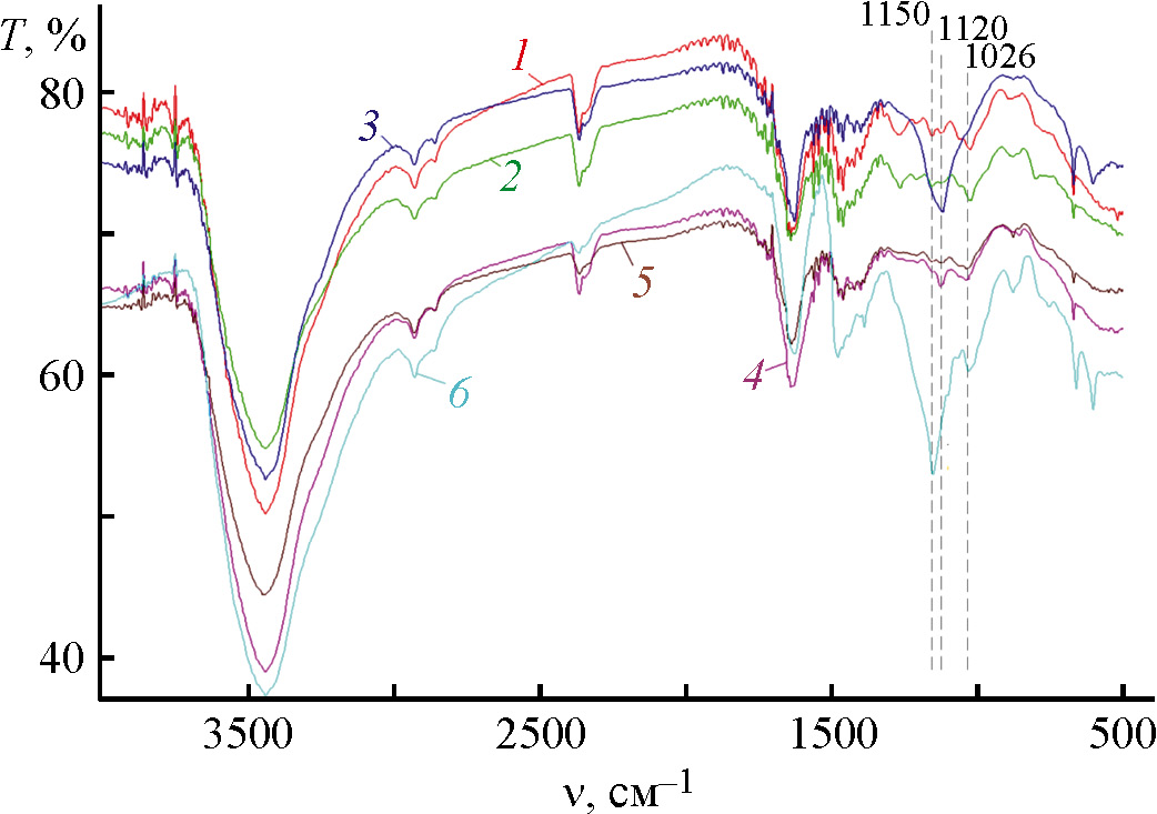
Разница в водостойкости фанеры и древесностружечных плит объясняется различиями в структуре отвержденных смол. ИК-спектры отвержденных образцов (рис. 2) содержат все сигналы, типичные для резольных фенолоформальдегидных смол. Между собой спектры различаются главным образом сигналами в областях 1150, 1120 и 1026 см–1. Спектры полимеров смол 0.73 и 0.61 характеризуются сравнительно слабыми полосами поглощения в области 1150 и 1120 см–1 (валентные колебания связи C—O диметиленэфирных связей 18) и полосой высокой интенсивности в области 1026 см–1 (валентные колебания связи C—O 19 и деформационные колебания связи C—H [10] метилольных групп). В спектре полимера смолы 0.50 появляется очень интенсивная полоса поглощения в области 1120 см–1 и практически не определяется полоса поглощения 1026 см–1, что свидетельствует о практически полном переходе метилольных групп в диметиленэфирные связи. В спектрах полимеров смол 0.38 и 0.26 полосы поглощения 1120 см–1 становятся менее отчетливы, и снова появляется широкая полоса поглощения 1020 см–1, что свидетельствует о меньшем количестве поперечных связей в полимере, образованном смолами 0.38 и 0.26, по сравнению с полимером смолы 0.50.
Рис. 2. ИК-спектры отвержденных фенолоформальдегидных смол, синтезированных при мольном соотношении фенол: NaOH: 1 — 1:0.73, 2 — 1:0.61, 3 — 1:0.50, 4 — 1:0.38, 5 — 1:0.26, 6 — 1:0.14.
По всей видимости, из-за небольшого содержания свободных реакционных центров в ароматическом кольце смола 0.50 может отверждаться главным образом за счет взаимодействия метилольных групп между собой, что приводит к образованию большого количества диметиленэфирных связей. Таким образом, образуется полимер с густой сетчатой структурой, содержащий минимальное количество остаточных метилольных групп. В то же время смолы 0.38 и 0.26 хоть и отверждаются также за счет образования диметиленэфирных связей, не способны образовать плотную структуру, вероятно, из-за высокой молекулярной массы и низкой подвижности олигомеров 20 либо из-за отсутствия пластифицирующего действия фенола. 21 Поскольку остаточные метилольные группы являются одним из источников формальдегида в готовых изделиях,22 их наличие может быть причиной сравнительно высокого содержания формальдегида в фанере и древесностружечных плитах, изготовленных с использованием смол 0.38, 0.26 и 0.14.
Выводы
Снижение содержания NaOH в реакционной смеси приводит к уменьшению химической активности системы фенол–формальдегид и снижению выхода фенолоспиртов на первой стадии синтеза фенолоформальдегидных смол. Молекулярная масса фенолоформальдегидных олигомеров, образующихся при снижении содержания NaOH в реакционной смеси с 7.5 до 2.9%, увеличивается, но при снижении содержания NaOH в реакционной смеси ниже 2.9% резко падает. При высоком содержании NaOH в реакционной смеси (мольное соотношение фенол:NaOH = 1:>0.50) образуются олигомеры, состоящие преимущественно из трех остатков фенола, соединенных одной метиленовой связью пара–параʹ и одной метиленовой связью орто–параʹ, при среднем содержания NaOH [мольное соотношение фенол:NaOH = 1:(0.26‒0.50)] — из четырех остатков фенола, соединенных одной метиленовой связью пара–параʹ и двумя метиленовыми связями орто–параʹ, при низком содержания NaOH (мольное соотношение фенол:NaOH = 1:<0.26) — из двух остатков фенола, соединенных одной метиленовой связью пара–параʹ.
Древесностружечные плиты и фанера, изготовленные с использованием фенолоформальдегидных смол, синтезированных при среднем содержании NaOH в реакционной смеси, отличаются повышенными физико-механическими характеристиками, но содержат больше формальдегида по сравнению с древесностружечными плитами и фанерой, изготовленными с использованием смол, синтезированных при высоком содержании NaOH в реакционной смеси. Смолы, синтезированные при низком содержании NaOH в реакционной смеси, непригодны для изготовления древесных плит и фанеры из-за своей низкой реакционной способности.
Благодарности
Авторы выражают благодарность к.х.н. И. В. Кручине-Богданову за участие в обсуждении работы и помощь в подготовке статьи к публикации.
Конфликт интересов
Авторы заявляют об отсутствии конфликта интересов, требующего раскрытия в данной статье.
1 Кноп А., Шейб В. Фенольные смолы и материалы на их основе. М.: Химия, 1983. C. 56.
2 Кондратьев В. П., Кондрашенко В. И. Синтетические клеи для древесных материалов. М.: Науч. мир, 2004. С. 108. https://www.elibrary.ru/QNJGGT
3 ГОСТ 20907–2016. Смолы фенолоформальдегидные жидкие. Технические условия.
4 ГОСТ 11235–2017. Смолы фенолоформальдегидные. Методы определения свободного фенола, метод 1.
5 ГОСТ 16704–2017. Смолы. Фенолоформальдегидные. Методы определения содержания свободного формальдегида, метод 1.
6 ГОСТ 10634–88. Плиты древесностружечные. Методы определения физических свойств.
7 ГОСТ 10635–88. Плиты древесностружечные. Методы определения предела прочности и модуля упругости при изгибе.
8 ГОСТ 10636–2018. Плиты древесностружечные. Метод определения предела прочности при растяжении перпендикулярно пласти плиты.
9 Васильев В. В. Экспресс-метод определения содержания формальдегида в древесных плитах // Древесные материалы: требовании и сертификация в Европе, России и США. Сборник научных трудов по итогам международного симпозиума. Балабановово: WKI «ООО ЦСЛ «Лессертика», 2016. С. 85–87.
10 ГОСТ 9624–2009. Древесина слоистая клееная. Метод определения предела прочности при скалывании.
11 ГОСТ 9621–72. Древесина слоистая клееная. Методы определения физических свойств.
12 ГОСТ 32155–2013. Плиты древесные и фанера. Определение выделения формальдегида методом газового анализа.
13 ГОСТ 20907–2016. Смолы фенолоформальдегидные жидкие. Технические условия.
14 ГОСТ 10632–2014. Плиты древесностружечные. Технические условия.
15 ГОСТ 10632–2014. Плиты древесностружечные. Технические условия. ГОСТ 3916.1–2018. Фанера общего назначения с наружными слоями из шпона лиственных пород.
16 ГОСТ 10632–2014. Плиты древесностружечные. Технические условия.
17 Там же.
18 Преч Э. Определение строения органических соединений. Таблицы спектральных данных / Э. Преч, Ф. Бюльманн, К. Аффольтер. М.: Мир; БИНОМ. Лаборатория знаний, 2006. C. 271.
19 Там же.
20 Кардашов Д. А., Петрова А. П. Полимерные клеи. Создание и применение. М., 1983. C. 43–44.
21 Петрова А. П. Термостойкие клеи. М., 1977. C. 56.
22 Роффаэль Э. Выделение формальдегида из древесностружечных плит. М., 1991. C. 38.
About the authors
Даниил Валерьевич Иванов
Санкт-Петербургский государственный лесотехнический университет им. С. М. Кирова
Author for correspondence.
Email: ivanov.d.v.spb@yandex.ru
ORCID iD: 0000-0002-0001-2461
к.т.н., доцент кафедры технологии древесных и целлюлозных композиционных материалов
Russian Federation, 194021, г. Санкт-Петербург, Институтский пер., д. 5Маргарита Геннадиевна Глазунова
Санкт-Петербургский государственный лесотехнический университет им. С. М. Кирова
Email: ivanov.d.v.spb@yandex.ru
ORCID iD: 0000-0003-0778-6205
ассистент кафедры технологии древесных и целлюлозных композиционных материалов
Russian Federation, 194021, г. Санкт-Петербург, Институтский пер., д. 5Алексей Алексеевич Калашников
АО «Слотекс»
Email: ivanov.d.v.spb@yandex.ru
ORCID iD: 0009-0000-2185-5436
технолог группы компаний
Russian Federation, 195279, г. Санкт-Петербург, Индустриальный пр., д. 64References
- Panamgama L. A., Pizzi A. P. A 13C NMR analysis method for phenol-formaldehyde resin strength and formaldehyde emission // J. Appl. Polym. Sci. 1995. V. 55. N 7. P. 1007–1015. https://doi.org/10.1002/app.1995.070550705
- Bouajila J., Raffin G., Waton H., Sanglar C., Païssé J.-O., Grenier-Loustalot M.-F. Phenolic resins — characterizations and rinetic studies of different resols prepared with different catalysts and formaldehyde/phenol ratios (I) // Polym. Polym. Compos. 2002. V. 10 (5). P. 341–360. https://doi.org/10.1177/096739110201000502
- Luukko P., Alvila L., Holopainen T., Rainio J., Pakkanen T. Effect of alkalinity on the structure of phenol-formaldehyde resol resins // J. Appl. Polym. Sci. 2001. V. 82. N 1. P. 258–262. https://doi.org/10.1002/app.1846
- Paju J., Pehk T., Christjanson P. Structure of phenol-formaldehyde polycondensates // Proc. Estonian Acad. Sci. 2009. V. 58. P. 45–52. https://doi.org/10.3176/proc.2009.1.08
- Holopainen T., Alvila L., Savolainen P., Pakkanen T. Effect of F/P and OH/P molar ratios and condensation viscosity on the structure of phenol-formaldehyde resol resins for overlays — A statistical study // J. Appl. Polym. Sci. 2003. V. 91. N 5. P. 2942–2948. https://doi.org/10.1002/app.13511
- Christjanson P., Pehk T., Paju J. Structure and curing mechanism of resol phenol-formaldehyde prepolymer resins // Proc. Estonian Acad. Sci. 2010. V. 59. P. 225–232. https://doi.org/10.3176/proc.2010.3.05
- Valiullina A. I., Valeeva A. R., Zabelkin S. A., Grachev A. N., Bikbulatova G. M., Bashkirov V. N. Effect of molar ratios of phenol, formaldehyde, and catalyst on the properties of phenol-formaldehyde resin with partial replacement of synthetic phenol with depolymerized lignocellulose biomass // Biomass Conv. Bioref. 2023. V. 13. P. 12225–12233. https://doi.org/10.1007/s13399-021-02071-y
- Christjanson P., Pehk T., Siimer K., Paju J. Structure of polycondensates from hydroxymethylphenols // J. Appl. Polym. Sci. 2007. V. 107. P. 1226–1234. https://doi.org/10.1002/app.27171
- Бардонов В. А. Преимущества и недостатки методов определения миграции формальдегида из древесных плит и фанеры // Древесные плиты и фанера: теория и практика: материалы XXIV Всерос науч.-практ. конф. 17–18 марта 2021 г. СПб: Изд-во Политех-пресс, 2021. С. 43–47. https://www.elibrary.ru/WQBOSV
- Игонин Л. А., Мирахмедов М. М., Турчанинова К. И., Шабадаш А. Н. Исследование инфракрасных спектров поглощения в процессе отверждения резольной фенольно-формальдегидной смолы // ДАН СССР. 1961. T. 141. № 6. С. 1366–1368.
Supplementary files





