Каталитическая активность высокодисперсных твердых растворов Ce 0.85 Zr 0.10 MЕ 0.05 O 2–δ , где Mе — La, Nd, Gd, в реакции полного окисления метана
- Авторы: Либерман Е.Ю.1, Боброва М.С.1, Юн Э.А.1, Клеусов Б.С.2, Конькова Т.В.1, Нефедова Н.В.1
-
Учреждения:
- Российский химико-технологический университет им. Д. И. Менделеева
- АО «НИИграфит»
- Выпуск: Том 97, № 1 (2024)
- Страницы: 31-36
- Раздел: Катализ
- URL: https://ogarev-online.ru/0044-4618/article/view/259632
- DOI: https://doi.org/10.31857/S0044461824010043
- EDN: https://elibrary.ru/HNHEHR
- ID: 259632
Цитировать
Полный текст
Аннотация
Высокодисперсные твердые растворы Ce0.85Zr0.10Mе0.05O2–δ, где Mе — La, Nd, Gd, синтезированы методом соосаждения с последующей термообработкой. Материалы охарактезированы методами рентгенофазового анализа, рентгеновской флуоресцентной спектроскопии, низкотемпературной адсорбции азота, просвечивающей электронной микроскопии и газовой хроматографии. Синтезированные материалы проявляют высокую активность в реакции полного окисления метана. Каталитическая активность твердых растворов зависит от ионного радиуса редкоземельного допанта и уменьшается в ряду La → Nd → Gd. Показана перспективность применения Ce0.85Zr0.10La0.05O2–δ в качестве носителя палладия. Каталитическая активность 0.5% PdО/Ce0.85Zr0.10La0.05O2–δ превосходит активность образца сравнения 0.5% PdО/γ-Al2O3, что демонстрирует целесообразность применения синтезированного твердого раствора в качестве носителя активного компонента.
Ключевые слова
Полный текст
Использование в хозяйственной деятельности человека природных видов топлива приводит к поступлению в атмосферу токсичных соединений, таких как угарный газ, углеводороды, сажа и др. С целью сокращения эмиссии вредных веществ предлагается применение метана, преимуществом использования которого является сокращение эмиссии парникового газа СО2, а также отсутствие твердых частиц и сернистых соединений, приводящих к возникновению смога. Существенным недостатком метана является высокий парниковый эффект, превышающий таковой для диоксида углерода в 10–11 раз [1]. Одним из путей снижения уменьшения парникового эффекта является проведение каталитического (беспламенного) сжигания метана [2, 3]. Некаталитическое окисление метана происходит при температуре 1400°С, в процессе которого происходит образование NOx, а также возможно появление CO и наличие остаточного количества непрореагировавшего метана, в то время как каталитическая реакция полного окисления СН4 протекает при температурах менее 600°С, что позволяет снизить содержание NOx до 5 ppm, в то время как при обычном сжигании образуется 150–200 ppm этого соединения [3]. В качестве катализаторов полного окисления метана применяют системы на основе благородных металлов (MОх/γ-Al2O3, где Me — Pd, Pt) и сложнооксидных композиций. Преимуществом палладийсодержащих катализаторов является их высокая каталитическая активность, недостатками — низкая термическая устойчивость, что значительно сокращает срок эксплуатации катализаторов. Решением этой проблемы могло быть применение в качестве носителя PdO церийсодержащих флюоритоподобных твердых растворов, содержащих ионы переходных (d- и f-) металлов, проявляющих в отличие от γ-Al2O3 собственную каталитическую активность, что приводит к увеличению каталитической активности системы, позволяет снизить температуру проведения процесса и тем самым увеличить срок эксплуатации катализатора [2–6].
Цель работы — оценка возможности использования катализаторов на основе Ce0.85Zr0.10Mе0.05O2–δ, где Mе — La, Nd, Gd, в реакции полного окисления метана.
Экспериментальная часть
Синтез Ce0.85Zr0.10Mе0.05O2–δ, где Mе — La, Nd, Gd, проводили путем соосаждения гидроксидов церия, циркония и редкоземельных металлов. Для синтеза использовали Ce(NO3)3 (ч.д.а., ООО «Завод редких металлов»), La(NO3)3 (ч.д.а., ООО «Завод редких металлов»), Nd(NO3)3 (ч.д.а., ООО «Завод редких металлов»), Gd(NO3)3 (ч.д.а., ООО «Завод редких металлов») и ZrO(NO3)2 (ч.д.а., АО «Ленреактив»). Исходные растворы нитратов металлов были приготовлены в изопропиловом спирте (ос.ч., АО «Чистые химреактивы»), концентрация их составляла 0.5 моль·л–1. Для осаждения растворы солей смешивали в заданном стехиометрическом соотношении. Осаждение проводили путем добавления раствора NH4OH 0.5 моль·л–1) (ос.ч., АО «Ленреактив») до достижения рН 10–11. Осадок выдерживали под слоем маточного раствора в течение 1 ч, затем отфильтровали на вакуум-фильтре, тщательно промывали дистиллированной водой, полученной с помощью дистиллятора ДЭ-4М (ООО «Завод ЭМО»), для удаления адсорбированных в процессе синтеза нитрат-ионов. Осадок сушили при 80°С в течение 10 ч в сушильном шкафу СНОЛ 58/350 (ООО «Снол-Терм») и прокаливали в муфельной печи СНОЛ 6/10-В (ООО «Снол-Терм») при температуре 550°С в течение 2 ч, скорость подъема температуры составляла 5 град·мин–1.
Для получения нанесенных катализаторов расчетное количество прекурсора ацетилацетоната палладия Pd(С2Н7О2)2 (ч., Merck) в количестве 0.5 мас% (в пересчете на металл) растворяли при нагревании в этиловом спирте (96.3%, ЗАО «Ферейн»). Полученный раствор смешивали с синтезированным образцом Ce0.85Zr0.15La0.05O2–δ, выдерживали на водяной бане при температуре кипения этилового спирта (78°С) до полного испарения растворителя, затем нагревали до температуры 250°С со скоростью подъема температуры 5 град·мин–1 и выдерживали в течение 2 ч.
Для проведения сопоставительных исследований использовали образец сравнения 0.5% PdО/Al2O3, для приготовления которого в качестве носителя применяли гранулированный γ-Al2O3 (АОК-63-11, марка В, ОАО «Ангарский завод катализаторов и органического синтеза»). Размер гранул носителя γ-Al2O3 составлял 0.4–1 мм, удельная поверхность — 185 м2·г–1, суммарный объем пор — 0.501 мл·г–1. Нанесение PdO проводилось по вышеописанной методике.
Фазовый состав синтезированных материалов исследовали методом рентгеновской дифракции на установке Bruker D8 Advance (Bruker) с монохроматическим CuKα-излучением (λ = 1.5418 Å) с шагом 0.01° и временем накопления 0.3 с/шаг. Кристаллографические характеристики рассчитывали методом полнопрофильного анализа с применением программного обеспечения дифрактометра Topas R. Расчет размера кристаллитов (L) проводили по уравнению Селякова–Шеррера.
Элементный состав образцов определяли методом рентгенофлуоресцентной спектроскопии с помощью анализатора X-MAX (Oxford Instruments). Анализ проводили в четырех произвольно выбранных точках пробы с последующим усреднением результатов.
Дисперсные свойства катализаторов определяли методом просвечивающей электронной микроскопии (ПЭМ) на электронном микроскопе высокого разрешения JEOL JEM-2100 (разрешение — 0.18 нм, напряжение — 200 кВ). С целью устранения агломерации частиц проводили предварительное ультразвуковое диспергирование в изопропиловом спирте (х.ч., ООО «Химмед») в течение 10 мин.
Текстурные характеристики образцов исследовали методом низкотемпературной адсорбции азота на анализаторе NOVA 1200e (Quantachrome). Активацию образцов проводили при температуре 200°С в течение 4 ч. Удельную поверхность (SУД) материалов рассчитывали по уравнению Брунауэра–Эммета–Теллера, суммарный объем пор (VΣ) определяли при относительном давлении P/Ps 0.99, распределение пор по размерам — по уравнению Баррета–Джойнера–Халенды с использованием программного обеспечения анализатора.
Каталитическую активность синтезированных материалов в реакции полного окисления метана определяли проточным методом. Навеску катализатора массой 1 г смешивали с кварцем для предотвращения локального перегрева и помещали в U-образный кварцевый реактор, затем через реактор пропускали газовую смесь и производили нагрев до необходимой температуры. Тестирование катализаторов в реакции полной конверсии метана исследовали на модельной смеси: СН4 — 1 об%, О2 — 8 об%, N2 — баланс (ОАО «Линде Газ Рус») — при скорости подачи газовой смеси 60 мл·мин–1 в интервале температур 20–700°С. Концентрацию компонентов газовой смеси (О2, N2, CO, CH4, CO2 и Н2О) определяли методом газовой хроматографии на приборе CHROM-5 (CHROM). Для разделения использовали колонки с молекулярными ситами NaХ (l = 2.5 м, d = 3 мм) и ParoPak Q (l = 5 м, d = 2 мм). Регистрацию сигнала проводили с помощью детектора по теплопроводности. Обработку хроматограмм проводили с применением программного обеспечения «Экохром».
Конверсию метана Х рассчитывали по уравнению
(1)
где — концентрация метана в исходной газовой смеси (об%), — концентрация метана в смеси на выходе из реактора (об%).
Оценку активности проводили при температурах, соответствующих 50- и 90%-ной конверсии метана.
Обсуждение результатов
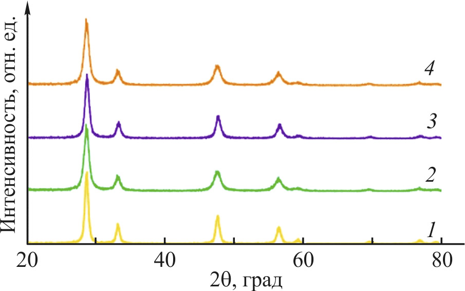
Исследования фазового состава синтезированных материалов, проведенные методом рентгеновской дифракции, показали, что образцы имеют кубическую кристаллическую решетку. Рефлексы 28.5, 33.1, 47.5, 56.3, 59.1 и 69.4 соответствуют кристаллографическим граням (111), (200), (220), (311), (222) и (400) CeO2 (рис. 1). На рентгенограмме отсутствуют пики, которые можно было бы отнести к соединениям циркония или редкоземельных металлов. Однако, согласно результатам элементного анализа, содержание компонентов соответствует заданному условиями эксперимента химическому составу синтезированных образцов. Причиной наблюдаемого эффекта является формирование твердых растворов замещения на основе кубической решетки CeO2, о чем свидетельствует смещение рефлекса в область больших углов отражения и уменьшение величины параметра кристаллической решетки [7, 8]. Параметр решетки синтезированных образцов меньше такового для CeO2, что, очевидно, обусловлено замещением ионов Се4+ (0.88 Å)1 в позициях кристаллический решетки ионами Zr4+ (0.82 Å)2 и редкоземельных металлов (La3+ — 1.04 Å, Nd — 0.99 Å, Gd — 0.94 Å).3 При этом наблюдается корреляция между величиной параметра решетки твердого раствора и размером иона-допанта редкоземельного металла (см. таблицу). Так, наибольшее значение параметра характерно для образца Ce0.85Zr0.10La0.05O2–δ, ион-допант La3+ которого имеет самый большой ионный радиус, а наименьшее значение параметра наблюдается для гадолинийсодержащего твердого раствора.
Рис. 1. Рентгенограмма синтезированных образцов.
1 — CeO2, 2 — Ce0.85Zr0.10La0.05O2–δ, 3 — Ce0.85Zr0.10Nd0.05O2–δ, 4 — Ce0.85Zr0.10Gd0.05O2–δ.
Кристаллографические характеристики, текстурные свойства и каталитическая активность синтезированных образцов
Состав образца | Кристаллографические характеристики | Текстурные характеристики | Каталитическая активность | ||||
параметр решетки а, Å | размер кристаллитов L, нм | удельная поверхность SУД, м2·г–1 | объем пор VΣ, мл·г–1 | диаметр пор D, нм | температура 50%-ного окисления Т50%, °С | температура, 90%-ного окисления Т90%, °С | |
СеО2 | 5.413 | 28 | 56 | 0.06 | 3.8 | 495 | 575 |
Ce0.85Zr0.10La0.05O2–δ | 5.406 | 16.8 | 83 | 0.07 | 3.6 | 395 | 472 |
Ce0.85Zr0.10Nd0.05O2–δ | 5.400 | 13.3 | 86 | 0.07 | 3.7 | 420 | 493 |
Ce0.85Zr0.10Gd0.05O2–δ | 5.396 | 12.5 | 84 | 0.07 | 3.7 | 470 | 548 |
PdO/Ce0.85Zr0.10La0.05O2–δ | 5.403 | 16.5 | 81 | 0.05 | 3.8 | 285 | 367 |
Следует отметить, что дополнительный вклад в увеличение параметра решетки вносит образование ионов Ce3+ (1.02 Å),4 возникающих в результате проводимого гетеровалентного допирования ионами редкоземельных металлов. Размер кристаллитов твердых растворов синтезированных материалов снижается относительно размера кристаллитов CeO2 (28 нм), что обусловлено частичной сегрегацией допантов на поверхности, приводящей к возникновению междоменных границ, ограничивающих рост кристаллитов, что способствует увеличению дисперсности системы [9].
На рентгенограмме PdO/Ce0.85Zr0.15La0.05O2–δ отсутствуют рефлексы, характерные для соединений палладия, что обусловлено низким содержанием палладия в образце (0.5 мас%).
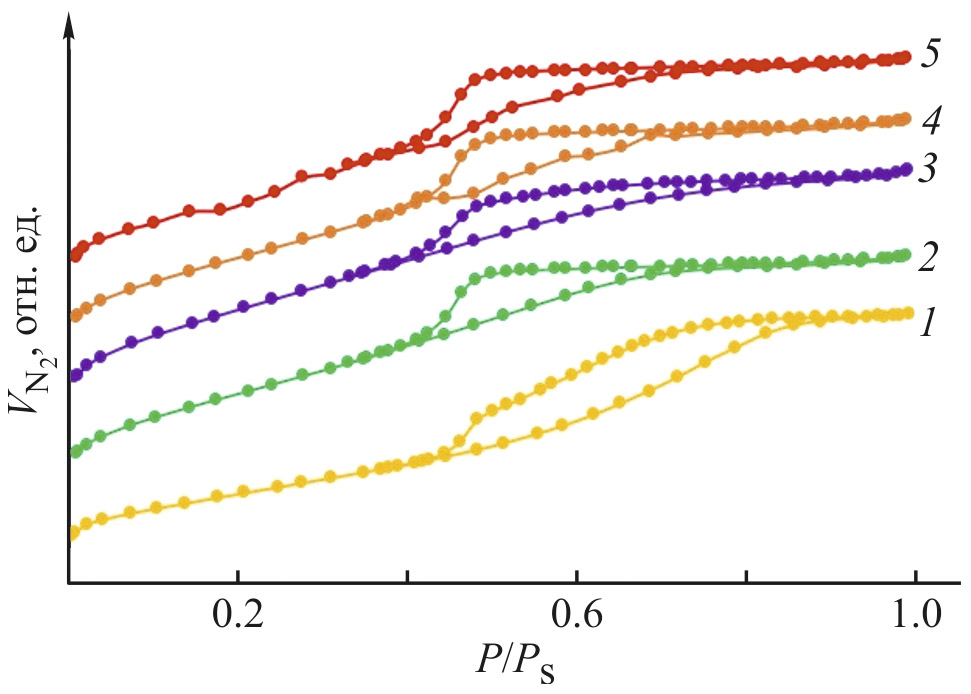
Образцы характеризуются агломерированной структурой, состоящей из частиц сфероподобной формы среднего размера 12 ± 2 нм (рис. 2). На поверхности образца 0.5% PdO/Ce0.85Zr0.15La0.05O2–δ отсутствуют частицы нанесенных палладийсодержащих соединений, что обусловлено возможным формированием поверхностных наноструктур, не детектируемых методом ПЭМ [10]. Синтезированные твердые растворы характеризуются мезопористой структурой, о чем свидетельствует наличие капиллярно-конденсационного гистерезиса на изотермах адсорбции–десорбции азота (рис. 3). Изотермы адсорбции–десорбции азота образцов относятся к изотермам IV типа по номенклатуре ИЮПАК. Допирование СеО2 ионами Zr4+, La3+, Nd3+, Gd3+ сопровождается развитием удельной поверхности с 56 до 83–86 м2·г–1, что, очевидно, обусловлено увеличением дефектности материалов. Для синтезированных образцов характерно мономодальное распределение пор по размерам (см. таблицу). Преобладающий диаметр пор в структуре исследованных материалов составляет 3.6–3.8 нм. После импрегнирования палладия на поверхность Ce0.85Zr0.15La0.05O2–δ наблюдается незначительное уменьшение величин удельной поверхности и пористости, что связано с частичным перекрыванием пор (см. таблицу).
Рис. 2. Микроснимок образца 0.5% PdO/Ce0.85Zr0.15La0.05O2–δ, полученный методом просвечивающей электронной микроскопии.
Рис. 3. Изотерма адсорбции–десорбции азота синтезированных образцов.
1 — CeO2, 2 — Ce0.85Zr0.10La0.05O2–δ, 3 — Ce0.85Zr0.10Nd0.05O2–δ, 4 — Ce0.85Zr0.10Gd0.05O2–δ, 5 — PdO/Ce0.85Zr0.10La0.05O2–δ.
Сопоставительный анализ кривых конверсии метана демонстрирует преимущество многокомпонентных систем перед CeO2 вследствие образования в результате допирования ионов Се3+ анионных вакансий и кристаллографических искажений, возникающих в результате перестройки решетки (рис. 4). Так, температура 50- и 90%-ной конверсии в присутствии Ce0.85Zr0.15La0.05O2–δ составляет 350 и 448°С соответственно, в то время как для СеО2 — 470 и 551°С соответственно.
Рис. 4. Каталитическая активность образцов в реакции полного окисления метана.
1 — CeO2, 2 — Ce0.85Zr0.10La0.05O2–δ, 3 — Ce0.85Zr0.10Nd0.05O2–δ, 4 — Ce0.85Zr0.10Gd0.05O2–δ, 5 — PdO/Al2O3, 6 – PdO/Ce0.85Zr0.10La0.05O2–δ.
Окисление метана на церийсодержащих катализаторах протекает по окислительно-восстановительному механизму Марса–Ван Кревелена, согласно которому активной формой является решеточный кислород, вследствие этого активность катализатора в значительной степени определяется энергией связи металл–кислород. Энергия связи допированных систем ниже благодаря наличию кристаллографических искажений, что способствует увеличению скорости реакции. В результате удаления решеточного кислорода на поверхности катализатора происходит восстановление активных центров Се4+ до Се3+ и образование анионных вакансий, которые в свою очередь восполняются молекулярным кислородом. Следует отметить, что при этом наблюдается корреляция между температурой 90%-ного окисления церийсодержащих твердых растворов и радиусом иона-допанта [11]. Наиболее высокая активность фиксируется в присутствии катализатора Ce0.85Zr0.10La0.05O2–δ, имеющего наибольший ионный радиус из исследованных ионов-допантов, что, по-видимому, обусловлено формированием кристаллической структуры, способствующей более высокой подвижности решеточного кислорода, и данный образец может быть использован в качестве носителя активного компонента — палладия.
Катализатор PdO/Ce0.85Zr0.10La0.05O2–δ продемонстрировал более высокую каталитическую активность по сравнению с образцом сравнения 0.5% PdO/Al2O3, что обусловлено проявлением носителем собственной каталитической активности, а также формированием различных поверхностных наноструктур палладия и более высокой диспергируемостью нанесенного компонента по поверхности носителя, что, безусловно, способствует повышению активности.
Выводы
На основании проведенных исследований можно констатировать, что высокодисперсные флюоритоподобные твердые растворы Ce0.85Zr0.10Mе0.05O2–δ, где Mе — La, Nd, Gd, проявляют высокую каталитическую активность в реакции полного окисления метана. Установлено наличие корреляции между активностью и ионным радиусом редкоземельного допанта. Наиболее активным является образец Ce0.85Zr0.10La0.05O2–δ, что обусловлено формированием структуры с наибольшими кристаллографическими искажениями по сравнению с неодим- и гадолинийсодержащими материалами. Твердый раствор Ce0.85Zr0.10La0.05O2–δ может быть использован в качестве носителя, при этом активность PdO/Ce0.85Zr0.10La0.05O2–δ превосходит активность PdO/Al2O3, что свидетельствует о целесообразности его применения в составе каталитических композиций.
Благодарности
Авторы выражают благодарность Центру коллективного пользования РХТУ им. Д. И. Менделеева за проведение исследований элементного состава образцов.
Финансирование работы
Работа выполнена в рамках государственного задания Министерства науки и высшего образования Российской Федерации (FSSM-2023-0004 «Научные основы катализа системами на базе переходных металлов перспективных окислительно-восстановительных реакций селективного превращения углеводородов и кислородсодержащих органических субстратов»).
Конфликт интересов
Авторы заявляют об отсутствии конфликта интересов, требующего раскрытия в данной статье.
Информация о вкладе авторов
Е. Ю. Либерман, Н. В. Нефедова — концепция работы, формулирование целей и задач эксперимента; Э. А. Юн, М. С. Боброва — синтез и исследование каталитической активности образцов; Б. С. Клеусов — проведение рентгеновских исследований; Т. В. Конькова — определение текстурных характеристик.
1 Справочник химика / Под ред. В. И. Перельмана. Л.: Химия, 1971. С. 381.
2 Там же.
3 Справочник химика / Под ред. В. И. Перельмана. Л.: Химия, 1971. С. 382.
4 Справочник химика / Под ред. В. И. Перельмана. Л.: Химия, 1971. С. 381.
Об авторах
Елена Юрьевна Либерман
Российский химико-технологический университет им. Д. И. Менделеева
Автор, ответственный за переписку.
Email: liberman.e.i@muctr.ru
ORCID iD: 0000-0002-3387-9248
д.х.н., проф.
Россия, 125047, г. Москва, Миусская пл., д. 9Мария Сергеевна Боброва
Российский химико-технологический университет им. Д. И. Менделеева
Email: liberman.e.i@muctr.ru
ORCID iD: 0009-0004-0400-0814
Россия, 125047, г. Москва, Миусская пл., д. 9
Эрик Артемович Юн
Российский химико-технологический университет им. Д. И. Менделеева
Email: liberman.e.i@muctr.ru
ORCID iD: 0009-0008-1643-546X
Россия, 125047, г. Москва, Миусская пл., д. 9
Борис Сергеевич Клеусов
АО «НИИграфит»
Email: liberman.e.i@muctr.ru
ORCID iD: 0000-0003-3924-2616
н.с.
Россия, 111524, г. Москва, ул. Электродная, д. 2, стр. 1Татьяна Владимировна Конькова
Российский химико-технологический университет им. Д. И. Менделеева
Email: liberman.e.i@muctr.ru
ORCID iD: 0000-0002-7151-6317
д.т.н., проф.
Россия, 125047, г. Москва, Миусская пл., д. 9Наталья Владимировна Нефедова
Российский химико-технологический университет им. Д. И. Менделеева
Email: liberman.e.i@muctr.ru
ORCID iD: 0009-0003-2340-9386
к.т.н., доцент
Россия, 125047, г. Москва, Миусская пл., д. 9Список литературы
- Локтева Е. С. Методы реализации процессов «зеленой» химии. М.: Изд-во Триумф, 2021. С. 49.
- Технологическое горение / Коллективная монография / Под ред. акад. С. М. Алдошина и чл.-корр. РАН М. И. Алымова. М., 2018. C. 132.
- He L., Fan Y., Bellettre J., Yue J., Luo L. A review on catalytic methane combustion at low temperatures: Catalysys, mechanisms, reaction conditions and reactor designs // Renew. Sustain. Energy Rev. 2020. V. 119. ID 109589. https://doi.org/10.1016/j.rser.2019.109589
- Либерман Е. Ю., Симакина Е. А., Моисеев И. А., Изотова А. О., Конькова Т. В., Грунский В. Н. Синтез и активность нанодисперсных катализаторов SnO2–CeO2 в реакции окисления СО и метана // Кинетика и катализ. 2021. Т. 62. № 1. С. 87–93.
- Toscani L. M., Curyk P. A, Zimicz M. G., Halac E. B., Saleta M. E., Lamas D. G., Larrondo S. A. Methane catalytic combustion over CeO2–ZrO2-Sc2O3 mixed oxides // Appl. Catal. A: General. 2019. V. 587. ID 117235. https://doi.org/10.1016/j.apcata.2019.117235
- Chen S., Li S., You R., Guo Z., Wang F., Li G., Yuan W., Zhu B., Gao Y., Zhang Z., Yang H., Wang Y. Elucidation of active sites for CH4 catalytic oxidation over Pd/CeO2 via tailoring metal–support interactions // ACS Catal. 2021. V. 11. N 9. P. 5666–5677. https://doi.org/10.1021/acscatal.1c00839
- Иванова А. С. Физико-химические и каталитические свойства систем на основе CeO2 // Кинетика и катализ. 2009. Т. 50. № 6. С. 831–849. https://www.elibrary.ru/KYGLGR
- Иванов В. К., Щербаков А. Б., Баранчиков А. Е., Козик В. В. Нанокристаллический диоксид церия: свойства, получение, применение. Томск: Изд-во Том. ун-та, 2013. С. 21.
- Кузнецова Т. Г., Садыков В. А. Особенности дефектной структуры метастабильных нанодисперсных диоксидов церия и циркония и материалов на их основе // Кинетика и катализ. 2008. Т.49. № 6. С.886–905. https://www.elibrary.ru/JUGBPD
- Boronin A. I., Slavinskaya E. M., Danilova I. G., Gulyaev R. V., Amosov Yu. I., Kuznetsov P. A., Polukhina I. A., Koscheev S. V., Zaikovskii V. I., Noskov A. S. Investigation of palladium interaction with cerium oxide and its state in catalysts for lowtemperature CO oxidation // Catal. Today. 2009. V. 144. N 3–4. P. 201–211. https://doi.org/10.1016/j.cattod.2009.01.035
- Малютин А. В., Либерман Е. Ю., Михайличенко А. И., Аветисов И. Х., Кошкин А. Г., Конькова Т. В. Каталитическая активность нанодисперсных твердых растворов M0.1Zr0.18Ce0.72O2, где М — редкоземельный металл, в реакции окисления монооксида углерода // Катализ в пром-cти. 2013. № 3. С. 54–59. https://www.elibrary.ru/QIWUIF
Дополнительные файлы






