Thermochemistry of Dissolution of 5,10,15,20-Tetrakis(1′-methylpyrid-4-yl)porphin Tetraiodide and 5,10,15,20-Tetrakis(1′-carboxymethylpyrid-4-yl)porphin Tetrachloride at 298.15 K
- Autores: Krutov P.D.1, Berezina N.M.1, Krutova O.N.1, Bazanov M.I.1, Volkov A.V.1, Kiptikova E.E.1
-
Afiliações:
- Ivanovo State University of Chemical Technology
- Edição: Volume 94, Nº 9 (2024)
- Páginas: 973-978
- Seção: Articles
- URL: https://ogarev-online.ru/0044-460X/article/view/281318
- DOI: https://doi.org/10.31857/S0044460X24090045
- EDN: https://elibrary.ru/ROGYRF
- ID: 281318
Citar
Texto integral
Resumo
The heat effects of dissolution of 5,10,15,20-tetrakis(1′-methylpyrid-4-yl)porphine tetraiodide in water and aqueous KOH solution and 5,10,15,20-tetrakis(1′-carboxymethylpyrid-4-yl)porphine tetrachloride in aqueous alkali solution at a temperature of 298.15 K were measured by direct calorimetry. The values of the standard enthalpies of formation of 5,10,15,20-tetrakis(1′-methylpyrid-4-yl)porphine tetraiodide were calculated by the additive group method based on group systematics with the classification of Benson-type fragments, taking into account the influence of the primary environment of atoms.
Palavras-chave
Texto integral
ВВЕДЕНИЕ
Порфирины являются макроциклическими соединениями, широко распространенными в природе, играющими важную роль в биохимических и биофизических процессах [1]. Уникальные свойства порфиринов заключаются, в том числе, в возможности модификации периферии и центра макроцикла путем введения различных заместителей, что позволяет устанавливать взаимосвязи между составом, строением и свойствами веществ [2]. С их помощью осуществляются важнейшие биологические, фотохимические и ферментативные функции в живой природе [3]. Благодаря своим свойствам синтетические порфирины и их производные находят широкое применение в различных областях науки и техники: как катализаторы химических, фотохимических и электрохимических процессов, а также как перспективные материалы для медицины при фотодинамической терапии онкологических заболеваний, иммунохимии и ЯМР томографии [4–10].
Кислотно-основные взаимодействия являются одними из наиболее важных физико-химических свойств порфиринов [6]. Порфирины способны отдавать протоны сильному основанию и присоединять в кислой среде по два протона (имеется в виду и протонирование пирролениновых (=N) и депротонирование пиррольных (NH) атомов азота в центре молекулы), образуя «предельные» анионные (P2–) и катионные (Н4P2+) формы [6].
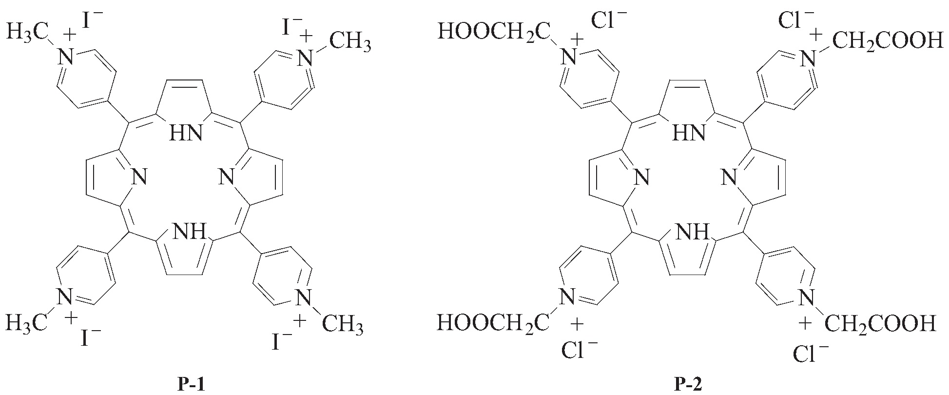
В данной работе в качестве объектов исследования выбраны 5,10,15,20-тетракис(1′-метилпирид-4-ил)-порфинтетраиодид Р-1 и 5,10,15,20-тетракис(1′-карбоксиметиленпирид-4-ил)порфинтетрахлорид Р-2 (схема 1). Целью работы являлось определение энтальпий растворения 5,10,15,20-тетракис(1′-метилпирид-4-ил)порфинтетраиодида в воде и в водном растворе щелочи, а также 5,10,15,20-тетракис(1′-карбоксиметиленпирид-4-ил)порфинтетрахлорида в водном растворе KОН при 298.15 K.
Схема 1.
ОБСУЖДЕНИЕ РЕЗУЛЬТАТОВ
Значения стандартных энтальпий образования порфирина Р-1 рассчитаны с использованием аддитивного группового метода, основанного на групповой систематике с классификацией фрагментов типа Бенсона, учитывающей влияние первичного окружения атомов [11–13]. Расчет энтальпии сгорания и образования испытуемого соединения проводили по формуле (1):
, (1)
где Δс(f)H(к) – энергетический вклад в энтальпию сгорания определенной атомной группы, Ai – число атомных групп в молекуле, n – число типов атомные группы в молекуле. В табл. 1 представлены исходные данные для расчета ΔfН0(к) = 1380.4 ± 86.8 кДж/моль.
Процесс растворения порфирина P-1 в воде можно представить уравнением (2):
. (2)
Таблица 1. Энергетические вклады в значения энтальпии образования порфирина Р-1 по классификации Бенсона
Группа | Количество групп (n) | –ΔfН0(тв), кДж/моль |
(N)CH3 | 4 | 42.17 |
2 | –330.00 ± 41.13а | |
(С)3CН | 12 | –19.90 ± 29.30 |
(С)3N | 6 | –102.00 ± 64.30 |
(С)4C | 8 | –9.40б |
(C)3(N)C | 4 | 15.48б |
(C)2(N)CH | 8 | 21.60 ± 20.40 |
(C)(N)CH2 | 4 | 42.60 ± 20.60 |
I | 4 | –92.05б |
а Величина вклада и погрешность рассчитана исходя из погрешности экспериментальных величин энтальпий образования 2,4-диметил-3-этил-5-карбэтоксипиррола [(Me)2EtCEOP] и 5,5-дикарбэтокси-4,4-диметил-3,3-диэтилдипирролилметана 2,2-[(CEO)2(Me)2(Et)2DPM].
б Погрешность авторами не указана.
Стандартные энтальпии образования раствора соединения P-1 при различных разведениях рассчитывали по уравнению (3):
, (3)
где ΔfH0(H2Р(к), 298.15 K) – изменение стандартной энтальпии образования кристаллического порфирина; ΔsolH(H2Р, 298.15 K) – изменение энтальпии растворения порфирина (табл. 2). Наиболее вероятное значение энтальпии растворения (табл. 2) находили как среднее арифметическое из 2 калибровок. Погрешности величин рассчитывали по формуле (4):
, (4)
где tp,f – критерий Стьюдента при доверительной вероятности 0.95 и числе степеней свободы f = 5. Концентрационная зависимость энтальпии растворения производных тетрапиридилпорфирина в воде ΔsolНm = f(m) в исследуемом диапазоне концентраций отсутствует.
Таблица 2. Энтальпии растворения 5,10,15,20-тетракис(1′-метилпирид-4-ил)порфинтетраиодида в воде при 298.15 K
m, г | m × 103, моль H2Р/1000 г Н2О | n, моль Н2О/моль H2Р | ΔsolH, кДж/моль | ΔfН0(H2Р(р-р), nН2О, 298.15 K), кДж/моль |
0.0101 | 0.2351 | 230616 | 118.93 ± 0.25a | 1499.4 |
0.0103 | 0.2631 | 206126 | 118.12 | 1498.6 |
0.0115 | 0.2933 | 184859 | 118.32 | 1498.8 |
0.0171 | 0.4773 | 113620 | 118.44 | 1498.9 |
0.0218 | 0.7287 | 74416 | 118.52 | 1498.8 |
0.0323 | 0.9406 | 57654 | 118.63 | 1499.1 |
0.0425 | 1.119 | 48424 | 118.75 | 1499.2 |
a Погрешность в определении тепловых эффектов растворения Р-1 в воде.
Проведена серия экспериментов по определению энтальпий растворения соединений Р-1 и Р-2 в водных растворах KОН. Экспериментальные данные представлены в табл. 3, 4. При действии на порфирины неорганических щелочей в полярных растворителях взаимодействие чаще ограничивается образованием ионно-молекулярных ассоциатов [6]. Сольватационные факторы обусловлены стабилизацией ионных форм Н2P в растворе за счет молекул растворителя (Solv), а также ассоциативныx связей с противоионами M+ или Х–. Классические порфирины к передаче протона на Solv не способны, поскольку их N–H связи локализованы.
Таблица 3. Изменения энтальпии растворения 5,10,15,20-тетракис(1′-метилпирид-4-ил)порфинтетраиодида в водных растворах KОН при 298.15 K
m, г | cKOH, моль/кг | –ΔsolH(Р-1), кДж/моль |
0.00125 | 1.839 · 10–4 | 108.6 ± 0.42 |
0.00122 | 108.8 ± 0.39 | |
0.00120 | 108.3 ± 0.41 | |
0.00320 | 3.405 · 10–4 | 111.8 ± 0.40 |
0.00322 | 111.6 ± 0.35 | |
0.00320 | 111.9 ± 0.42 | |
0.00623 | 6.072 · 10–4 | 117.3 ± 0.40 |
0.00622 | 117.3 ± 0.40 | |
0.00622 | 117.4 ± 0.42 |
Таблица 4. Изменения энтальпии растворения 5,10,15,20-тетракис(1′-карбоксиметилпирид-4-ил) порфиринтетрахлорида в растворе KOH при различных концентрациях и T = 298.15 K
m, г | cKOH, моль/кг | –ΔsolH(Р-2), кДж/моль |
0.00211 | 1.724∙10–4 | 37.2 ± 0.45 |
0.00212 | 37.4 ± 0.38 | |
0.00200 | 37.3 ± 0.41 | |
0.00411 | 3.356∙10–4 | 38.7 ± 0.41 |
0.00412 | 38.5 ± 0.39 | |
0.00410 | 38.9 ± 0.42 | |
0.00763 | 6.792∙10–4 | 41.3 ± 0.40 |
0.00782 | 41.1 ± 0.42 | |
0.00741 | 41.2 ± 0.40 |
Термодинамические характеристики растворения порфиринов позволяют нам получить много полезной информации о состоянии этих соединений в растворах. Биологически активные порфирины обладают сложным набором заместителей. Это связано со специфическим влиянием этих заместителей на свойства порфирина. Структура порфирина оказывает значительное влияние на все свойства макроцикла. Введение заместителей может принципиально изменить геометрические параметры и реакционную способность порфирина в химических реакциях [14]. В соответствии с этим необходимо собрать достаточный объем экспериментальных данных по энтальпиям растворения данного класса соединений. Важнейшими характеристиками растворов, непосредственно связанными с межмолекулярным взаимодействием растворенное вещество-растворитель, являются энергетические параметры сольватации.
Обращает на себя внимание значительное различие в величинах энтальпий образования 5,10,15,20-тетракис(1′-метилпирид-4-ил)порфинтетраиодида Р-1 и сходных по структуре 5,10,15,20-тетракис(1′-карбоксиметиленпирид-4-ил)порфинтетрахлорида Р-2 и 5,10,15,20-тетракис(1′-карбоксиметиленпирид-4-ил)порфинтетрабромида Р-3, изученных ранее [15]. Исследованные соединения различаются природой и длиной функциональных групп, а также природой аниона, в результате чего энтальпия их образования варьируется от –695 до 1380 кДж/моль. Однако различия в величинах энтальпий растворения в воде соединений Р-1–Р-3 уже не такие значительные: ΔsolH(Р-1) = 118.93 ± 0.25 кДж/моль, ΔsolH (Р-2) = 56.23 ± 0.25 кДж/моль, ΔsolH(Р-3) = 76.50.93 ± 0.25 кДж/моль, смены знака теплового эффекта не происходит. Как правило, ΔsolH содержит две составляющие: энтальпию разрушения кристаллической решетки ΔcrH и энтальпию сольватации (гидратации) ΔsolvH. Таким образом, изменение структуры функциональных заместителей в порфиринах будет влиять как на стабильность кристаллической решетки, так и на сольватационные взаимодействия в растворе. При растворении соединений Р-1–Р-3) в водных растворах KОН получены следующие величины энтальпий растворения: ΔsolH(Р-1) = –104.6 ± 0.4 кДж/моль, ΔsolH(Р-2) = –36.0 ± 0.4 кДж/моль (табл. 4, рис. 1) и ΔsolH(Р-3) = –125.2 ± 0.4кДж/моль [15]. При рассмотрении энтальпий образования исследуемых соединений следует обратить внимание на то, что для соединения Р-3 произошла смена знака теплового эффекта ΔfН0(к) = 1380.40 ± 86.8 кДж/моль, тогда как для соединений Р-1 и Р-2 это близкие величины: ΔfН0(к) = –695.92 ± 86.78 кДж/моль и ΔfН0(к) = –716.00 ± 86.78 кДж/моль соответственно.
Рис. 1. Графическое определение теплового эффекта растворения 5,10,15,20-тетракис(1′-карбоксиметилпирид-4-ил)порфиринтетрахлорида в растворе KOH при бесконечном разведении.
ВЫВОДЫ
Таким образом, термодинамические характеристики растворения, полученные в настоящей работе, являются ключевыми значениями в термохимии порфирина и открывают возможность проведения строгих термодинамических расчетов в системах с этими соединениями. Установление количественных соотношений между строением соединений и энергетическими характеристиками их процессов позволит в дальнейшем рассчитывать эти величины, не прибегая к эксперименту для большого числа производных.
ЭКСПЕРИМЕНТАЛЬНАЯ ЧАСТЬ
Синтез 5,10,15,20-тетракис(1′-метилпирид-4-ил)-порфиринтетраиодида выполняли кватернизацией 5,10,15,20-тетра(пирид-4-ил)порфирина [16].
Электронные спектры поглощения (ЭСП) растворов порфирина регистрировали на спектрофотометре SF-56 (ЛОМО, Россия). ИК Фурье-спектры записывали на спектрометре VERTEX 80v с гранулой KBr в диапазоне волновых чисел от 4000–400 см–1. Спектры ЯМР 1H снимали на спектрометре Bruker 500.
5,10,15,20-Тетракис(1′-метилпирид-4-ил)порфиринтетраиодид (Р-1). Спектр ЯМР 1H (ДМСО-d6), δ, м. д.: 9.50 д (8H, 2,6-H-Py, J 6.6 Гц), 9.22 уш. с (8H, β-H), 9.01 д (8H, 3,5-H-Py, J 6.6 Гц), 4.74 с (12H, CH3N), 3.10 уш. с (2H, NH). ИК спектр, ν, см−1: 729, 795 (C–H); 969 (N–Н); 1001, 1049 (С–С); 1182, 1201 (C–N); 1275 (>N–СН3); 1320, 1347 (С–Н); 1507, 1558 (C=C); 1637 (C=N); 3017, 3057 (С–Н); 3309, 3406 (N–Н). ЭСП (H2O), λ, нм (lgε): 641 (3.75), 584 (4.11), 554 (4.06), 518 (4.41), 421 (5.49).
Характеристики соединения Р-2 представлены в работе [12].
Измерения проводили на калориметре с изотермической оболочкой, снабженном реакционным сосудом объемом 60 см3, c электрической градуировкой при Т = (293.15–308.15) ± 0.01 K и Р = 100.5 ± 0.7 кПа и автоматической регистрацией температуры [17]. В качестве датчика температуры использовали термистор КМТ-14. Температурный контроль калориметрической ячейки осуществлялся в термостате, снабженном ПИД-регулятором с точностью 0.002 K. Датчиком температуры термостата служил платиновый термометр сопротивления. Калориметр калибровали по току. Объем калориметрической жидкости – 42.83 мл. Максимальная термометрическая чувствительность калориметрической установки составила (0.5–2) · 10–2 Дж/мм шкалы самописца. Работу установки проверяли по интегральной энтальпии растворения кристаллического хлорида калия в воде и считали пригодной для измерения, если определяемое в ней значение ΔsolН(∞Н2О) = 17.25 ± 0.06 кДж/моль отличалось от нормативного ΔsolН(∞Н2О) = 17.22 ± 0.04 кДж/моль на 0.3% [18]. Определение ∆solH(KCl × nH2O) проводили в области разбавлений n = 7000–10000 и пересчитывали на бесконечное разведение. Доверительный интервал среднего значения ∆H рассчитывали с вероятностью 0.95.
ФИНАНСОВАЯ ПОДДЕРЖКА
Работа выполнена в Научно-исследовательском институте термодинамики и кинетики химических процессов Ивановского государственного химико-технологического университета в рамках государственного задания (проект № FZZW-2023-0008).
КОНФЛИКТ ИНТЕРЕСОВ
Авторы заявляют об отсутствии конфликта интересов.
Sobre autores
P. Krutov
Ivanovo State University of Chemical Technology
Autor responsável pela correspondência
Email: kdvkonkpd@yandex.ru
Rússia, Ivanovo, 153000
N. Berezina
Ivanovo State University of Chemical Technology
Email: kdvkonkpd@yandex.ru
Rússia, Ivanovo, 153000
O. Krutova
Ivanovo State University of Chemical Technology
Email: kdvkonkpd@yandex.ru
Rússia, Ivanovo, 153000
M. Bazanov
Ivanovo State University of Chemical Technology
Email: kdvkonkpd@yandex.ru
Rússia, Ivanovo, 153000
A. Volkov
Ivanovo State University of Chemical Technology
Email: kdvkonkpd@yandex.ru
Rússia, Ivanovo, 153000
E. Kiptikova
Ivanovo State University of Chemical Technology
Email: kdvkonkpd@yandex.ru
Rússia, Ivanovo, 153000
Bibliografia
- Аскаров А.К., Березин Б.Д., Быстрицкая Е.В. Порфирины: спектроскопия, электрохимия, применение. М.: Наука, 1987. 384 с.
- Функциональные материалы на основе тетрапиррольных макрогетероциклических соединений / Под ред. О.И. Койфмана. М.: ЛЕНАНД, 2019. 848 с.
- Biesaga M., Pyrzynska K., Trojanowicz M. // Talanta. 2000. Vol. 51. P. 209. doi: 10.1016/s0039-9140(99)00291-x
- Kustov A.V., Berezin D.B., Zorin V.P., Morshnev P.K., Kukushkina N.V., Krestyaninov M.A., Kustova T.V., Strelnikov A.I., Lyalyakina E.V., Zorina T.E // Pharmaceutics. 2023. Vol. 15. P. 61. doi: 10.3390/pharmaceutics15010061
- Успехи химии порфирирнов / Под ред. О.А. Голубчикова. СПб: Изд. НИИ химии СПбГУ, 1999. Т. 2. С. 70.
- Андрианов В.Г., Березин Д.Б., Малкова О.В. В кн.: Успехи химии порфиринов / Под ред. О.А. Голубчикова. СПб: Изд. Санкт-Петербургского государственного университета, 2001. Т. 3. С. 107.
- Kustov A.V., Antonova O.A., Smirnova N.L., Kladiev A.A., Kladiev A.A., Kudayarova T.V., Gruzdev M.S., Berezin D.B. // J. Mol. Liq. 2018. Vol. 263. P. 49. doi: 10.1016/j.molliq.2018.04.118
- Шумилова Г.И., Валиотти А.Б., Макарычев-Михайлов С.М. В кн.: Успехи химии порфиринов / Под ред. О.А. Голубчикова. СПб: Изд. Санкт-Петербургского государственного университета, 2001. Т. 3. С. 321.
- Березин М.Б., Березина Н.М., Семейкин А.С., Вьюгин А.И. // ЖОХ. 2007. Т. 77. Вып. 11. С. 1905; Berezin M.B., Berezina N.M., Semeikin A.S., V’yugin A.I. // Russ. J. Gen. Chem. 2007. Vol. 77. P. 1955. doi: 10.1134/S1070363207110199
- Андрианов В.Г., Малкова О.В. // Макрогетероциклы. 2009. Т. 2. № 2. С. 130.
- Кизин А.Н., Лебедев Ю.А. // Докл. АН СССР. 1982. Т. 262. № 4. С. 914.
- Тахистов А.В., Пономарев Д.А. Органическая масс-спектрометрия. СПб: ВВМ, 2002. С. 346.
- Закиров Д.Р., Базанов М.И., Волков А.В., Семейкин А.С., Черников В.В. // ЖФХ. 2000. T. 74. № 10. P. 1726.
- Березин Б.Д., Березин Д.Б. В кн.: Успехи химии порфирирнов / Под ред. О.А. Голубчикова. СПб: Изд. НИИ химии СПбГУ, 1999. С. 128.
- Крутова О.Н., Березина Н.М., Волков А.В., Семейкин А.С., Базанов М.И., Черников В.В., Крутов П.Д. // Изв. вузов. Химия и хим. технология. 2024. Т. 67. Вып. 4. С. 28. doi: 10.6060/ivkkt.20246704.6978
- Berezina N.M., Berezin M.B., Semeikin A.S. // J. Mol. Liq. 2019. Vol. 290. Р. 111196. doi 10.1016/ j.molliq.2019.111196
- Lytkin A.I., Chernikov V.V., Krutova O.N., Skvortsov I.A. // J. Therm. Anal. Calorim. 2017. Vol. 130. P. 457. doi: 10.1007/s10973-017-6134-6
- Archer D.G. // J. Phys. Chem. Ref. Data. 1999. Vol. 28. N 1. P. 1. doi: 10.1063/1.556034
Arquivos suplementares




