Destruction Features of Tetra(4-iodo-5-tert-butyl)phthalocyanine Under the Action of n-Butylamine in Benzene–DMSO Media
- Авторлар: Petrov О.А.1, Shagalov Е.V.1, Kiselev А.N.2, Maizlish V.E.1
-
Мекемелер:
- Ivanovo State University of Chemical Technology
- Krestov Institute of Solution Chemistry of the Russian Academy of Sciences
- Шығарылым: Том 94, № 9 (2024)
- Беттер: 965-972
- Бөлім: Articles
- URL: https://ogarev-online.ru/0044-460X/article/view/281316
- DOI: https://doi.org/10.31857/S0044460X24090039
- EDN: https://elibrary.ru/RONGDA
- ID: 281316
Дәйексөз келтіру
Толық мәтін
Аннотация
The properties of the newly synthesized tetra(4-iodo-5-tert-butyl)phthalocyanine were studied in the presence of n-butylamine in a benzene–dimethyl sulfoxide media. It was shown that the molecular form of tetra(4-iodo-5-tert-butyl)phthalocyanine and its proton transfer complex undergo degradation under the action of n-butylamine, which is described by various kinetic equations. The influence of the polarity and basicity of the media on the speed and activation parameters of the process was established and destruction schemes were proposed.
Негізгі сөздер
Толық мәтін
ВВЕДЕНИЕ
Фталоцианины (Н2Рс) относятся к числу интенсивно исследуемых соединений в связи с возрастающими возможностями их применения в качестве сенсибилизаторов синглетного кислорода, адсорбционно-полупроводниковых датчиков токсических газов, жидкокристаллических и каталитических материалов [1–3]. Важное значение имеют структурно модифицированные Н2Рс, которые перспективны в качестве рецепторов, лежащих в основе создания высокоселективных сенсоров на хлорид-, фосфат- и салицилат-ионы, играющие ключевую роль в функционировании ряда биосистем [4]. Расширить область практического использования фталоцианинов позволяет не только получение новых многофункциональных соединений этого ряда, но и всестороннее изучение их физико-химических свойств. Одним из редко наблюдаемых свойств Н2Рс является их нестабильность в протоноакцепторных средах, которая во многом определяет особенности реакций электрофильного и нуклеофильного замещения на периферии молекулы, а также играет немаловажную роль при выборе оптимальных условий жидкофазного синтеза металлокомплексов фталоцианинов in vitro [5]. К настоящему времени установлены некоторые закономерности деструкции β-замещенных порфиразинов [6]. Количественные данные для фталоцианинов немногочисленны [6].
В связи с этим в данной работе исследованы свойства тетра(4-иод-5-трет-бутил)фталоцианина [H2Pc(I)4(t-Bu)4] в присутствии н-бутиламина в среде бензол–диметилсульфоксид (схема 1).
Схема 1.
РЕЗУЛЬТАТЫ И ОБСУЖДЕНИЕ
Предварительно установлено, что в малополярном бензоле и среде бензол–диметилсульфоксид с содержанием полярного компонента от 5 до 40% электронный спектр поглощения H2Pc(I)4(t-Bu)4 содержит в видимой области две интенсивные хорошо разрешенные Qх- и Qy-составляющие Q-полосы с λI = 700 и λII = 667 нм соответственно и В-полосу (полосу Соре) с λ = 347 нм (рис. 1). В присутствии н-бутиламина электронный спектр поглощения H2Pc(I)4(t-Bu)4 в среде бензол–5(10)% ДМСО подвергается существенным изменениям в отличие от бензола. С течением времени регистрируется уменьшение интенсивности Qх- и Qy-составляющих Q-полосы с λI и λII соответственно (рис. 2, 3). При этом исчезает В-полоса, характеризующая наличие пиррольных фрагментов в макроцикле (рис. 3), а цвет раствора изменяется от изумрудного до бесцветного.
Рис. 1. Электронный спектр поглощения H2Pc(I)4(t-Bu)4 в бензоле и среде бензол–ДМСО при 298 K.
Рис. 2. Изменение электронного спектра поглощения H2Pc(I)4(t-Bu)4 в присутствии BuNH2 в среде бензол–5% ДМСО в течение 278 мин при c0BuNH2 = 4.58 моль/л при 323 K.
Рис. 3. Изменение электронного спектра поглощения H2Pc(I)4(t-Bu)4 в присутствии BuNH2 в среде бензол–10% ДМСО в течение 176 мин при c0BuNH2 = 4.58 моль/л при 323 K.
В интервале концентраций н-бутиламина от 1.14 до 6.88 моль/л в среде бензол–5% ДМСО деструкция H2Pc(I)4(t-Bu)4 описывается суммарным кинетическим уравнением третьего порядка: первого по H2Pc(I)4(t-Bu)4 (рис. 4) и близкого ко второму (в пределах экспериментальной ошибки опыта) по н-бутиламину (рис. 5):
, (1)
, (2)
где kH и k – наблюдаемая и истинная константы скорости деструкции соответственно, c1 – концентрация H2Pc(I)4(t-Bu)4, В – BuNH2.
Рис. 4. Зависимость ln(c0/c) от времени деструкции H2Pc(I)4(t-Bu)4 (1) и H2Pc(I)4(t-Bu)4∙2BuNH2 (2) в присутствии BuNH2 в среде бензол–5% ДМСО при 333 K и [BuNH2] = 4.58 моль/л.
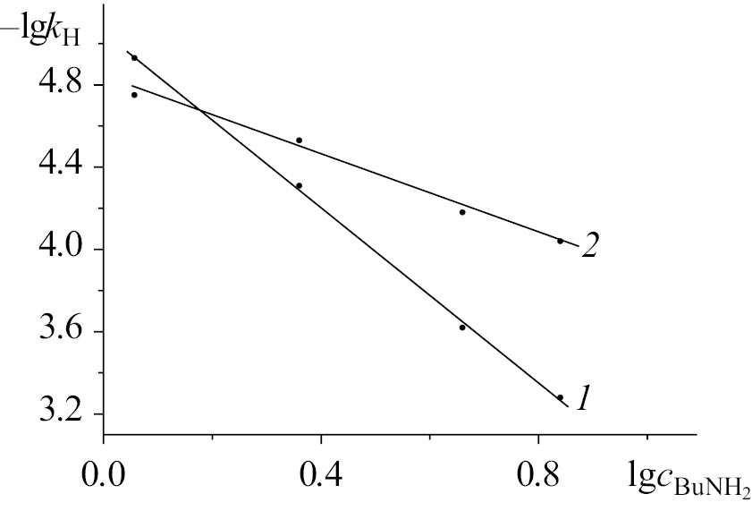
Рис. 5. Зависимость lgkH от lgc0BuNH2 реакции деструкции H2Pc(I)4(t-Bu)4 (1) и H2Pc(I)4(t-Bu)4∙2BuNH2 (2) в присуствии BuNH2 в среде бензол–5% ДМСО (1) и бензол–20% ДМСО (2) при 333 K.
Аналогичным кинетическим уравнением описывается процесс распада H2Pc(I)4(t-Bu)4 в среде бензол–10% ДМСО. В этом случае деструкция H2Pc(I)4(t-Bu)4, скорее всего, осуществляется в две стадии в соответствии с предполагаемой схемой:
, (3)
. (4)
На стадии (3) димер н-бутиламина (В∙∙∙В), образующийся за счет NH-связи одной и неподеленной электронной пары атома азота другой молекулы [7], вступает в кислотно-основное взаимодействие с одним из двух внутрициклических протонов NH-групп H2Pc(I)4(t-Bu)4. Благодаря выраженной протоноакцепторной способности н-бутиламина (рKa298 = 10.60 [8]) и сравнительно высокой основности среды происходит его удаление из плоскости макроцикла с образованием моноаниона [НPc(I)4(t-Bu)4·В]–. При этом симметрия молекулы должна понижаться от D2h до С2v, а электронный спектр поглощения моноанионной формы должен иметь вид электронного спектра поглощения H2Pc(I)4(t-Bu)4 по числу полос, но расщепление Q-полосы должно уменьшаться за счет гипсохромного смещения ее длинноволновой компоненты Qх [9, 10]. Однако такие спектральные изменения в условиях значительного избытка основания по отношению к кислоте (табл. 1, 2) не наблюдаются. Уменьшение концентрации H2Pc(I)4(t-Bu)4 происходит с сохранением четких изобестических точек без появления в реагирующей системе спектральной формы [НPc(I)4(t-Bu)4·В]– (рис. 2, 3). Отсутствие компенсации отрицательного заряда в макроцикле приводит к быстрому самопроизвольному распаду [НPc(I)4(t-Bu)4·В]– на стадии (4) с образованием низкомолекулярных бесцветных продуктов деструкции, т. е. k1 < k2, а k1 = kН. При этом бимолекулярная лимитирующая стадия деструкции H2Pc(I)4(t-Bu)4 характеризуется необычно низкими скоростями, судя по значениям k298, и достаточно высокими значениями энергии активации (Еа) процесса (табл. 1, 2). Этот факт не является неожиданным, поскольку делокализованная π-связь по фталоцианиновому макроциклу, а также наличие в аннелированных бензольных кольцах объемных трет-бутильных заместителей и атомов иода способствует пространственному экранированию атомами и π-электронами внутрициклических протонов NH-групп H2Pc(I)4(t-Bu)4, что затрудняет благоприятный контакт молекул-партнеров. Наряду с геометрической (пространственной) составляющей фталоцианинового макроцикла симбатно действует электронная (поляризационная) составляющая, которая обусловлена слабовыраженной NH-кислотностью фталоцианинов по сравнению с β-замещенными порфиразинами [6, 11, 12].
Таблица 1. Кинетические параметры деструкции H2Pc(I)4(t-Bu)4 и комплекса H2Pc(I)4(t-Bu)4 ∙ 2BuNH2 в присутствии н-бутиламина в среде бензол–5% ДМСО и бензол–20% ДМСО соответственноа
c0BuNH2, моль/л | Т, Kб | kН ∙ 105, моль/л | k ∙ 106, лn/(мольn∙с) | Еа, кДж/моль |
H2Pc(I)4(t-Bu)4 в среде бензол–5% ДМСО | ||||
1.14 | 298 313 323 333 | 0.03 0.18 0.46 1.17 | 0.23 1.37 3.50 8.95 | 82 |
2.30 | 298 313 323 333 | 0.15 0.74 1.94 4.85 | 0.26 1.29 3.35 8.40 | 80 |
4.58 | 298 313 323 333 | 0.73 3.56 9.03 23.83 | 0.30 1.46 3.70 9.77 | 82 |
6.88 | 298 313 323 333 | 1.66 8.03 20.10 52.00 | 0.29 1.40 3.50 9.06 | 81 |
H2Pc(I)4(t-Bu)4 ∙ 2BuNH2 в среде бензол–20% ДМСО | ||||
1.14 | 298 313 323 333 | 0.07 0.30 0.73 1.75 | 0.62 2.75 6.50 15.62 | 76 |
2.30 | 298 313 323 333 | 0.11 0.50 1.20 2.96 | 0.52 2.40 5.76 14.05 | 77 |
4.58 | 298 313 323 333 | 0.28 1.17 2.70 6.60 | 0.71 2.97 6.87 16.80 | 75 |
6.88 | 298 313 323 333 | 0.37 1.50 3.70 9.05 | 0.65 2.60 6.50 16.00 | 78 |
а c0H2Pc(I)4(t-Bu)4 = c0H2Pc(I)4(t-Bu)4∙2BuNH2 = 1.07 ∙ 10–5 моль/л.
б Значение kН при 298 K рассчитаны по уравнению Аррениуса. n – порядок реакции по BuNH2.
Таблица 2. Кинетические параметры деструкции H2Pc(I)4(t-Bu)4 и комплекса H2Pc(I)4(t-Bu)4 ∙ 2BuNH2 в присутствии н-бутиламина в среде бензол–ДМСОa,б
Среда | Т, Kв | kН ∙ 105, моль/л | k ∙ 106, лn/(мольn∙с) | Еа, кДж/моль |
H2Pc(I)4(t-Bu)4 | ||||
Бензол–5% ДМСО | 298 313 323 333 | 0.73 3.56 9.03 23.83 | 0.30 1.46 3.70 9.77 | 82 |
Бензол–10% ДМСО | 298 313 323 333 | 1.08 5.12 13.15 32.90 | 0.40 2.10 5.40 13.47 | 80 |
H2Pc(I)4(t-Bu)4 ∙ 2BuNH2 | ||||
Бензол–20% ДМСО | 298 313 323 333 | 0.28 1.17 2.70 6.60 | 0.71 2.97 6.87 16.80 | 75 |
Бензол–30% ДМСО | 298 313 323 333 | 1.05 3.77 8.18 17.20 | 2.67 9.60 20.80 43.76 | 66 |
Бензол–40% ДМСО | 298 313 323 333 | 13.40 26.40 38.30 59.35 | 34.10 67.20 97.45 151.00 | 35 |
а c0H2Pc(I)4(t-Bu)4 = c0H2Pc(I)4(t-Bu)4∙2BuNH2 = 1.07 ∙ 10–5 моль/л.
б c0BuNH2 = 4.58 моль/л.
в Значение kН при 298 K рассчитаны по уравнению Аррениуса. n – порядок реакции по BuNH2.
Из данных табл. 2 видно, что кинетические параметры деструкции H2Pc(I)4(t-Bu)4 под влиянием BuNH2 не претерпевают изменений при увеличении концентрации ДМСО от 5 до 10% в бензоле. Иначе обстоит дело в более полярных средах. Так, в бензоле c содержанием ДМСО от 20 до 40% электронный спектр поглощения H2Pc(I)4(t-Bu)4 в присутствии BuNH2 содержит нерасщепленную Q-полосу (D4h-симметрия молекулы) в отличие от расщепленной Q-полосы в бензоле (D2h-симметрия молекулы) (рис. 6). Повышение симметрии молекулы от D2h до D4h свидетельствует о том, что тетра(4-иод-5-трет-бутил)фталоцианин, проявляя свойства двухосновной NH-кислоты, вступает во взаимодействие с н-бутиламином с образованием комплекса с переносом протонов – H2Pc(I)4(t-Bu)4∙2BuNH2. В этом комплексе протоны NH-групп, связанные с атомами азота молекул н-бутиламина, располагаются по разные стороны от плоскости макроцикла, что обеспечивает благоприятное пространственное расположение молекул основания. При этом перенос протонов от кислоты к основанию в H2Pc(I)4(t-Bu)4 ∙ 2BuNH2 может ограничиваться либо стадией образования более полярного ионного комплекса [6, 11], чему благоприятствует сравнительно высокая полярность и основность среды [7, 13, 14], либо Н-комплекса [6, 11] вследствие слабовыраженной NH-кислотности тетра(4-иод-5-трет-бутил)фталоцианина. Однако наиболее вероятным представляется возможность существования кислотно-основного равновесия между двумя возможными структурами [13, 14].
Рис. 6. Электронный спектр поглощения H2Pc(I)4(t-Bu)4 в бензоле (1) и среде бензол–ДМСО (2) при c0BuNH2 = 4.58 моль/л при 298 K.
Дальнейшие исследования показали, что комплекс с переносом протонов H2Pc(I)4(t-Bu)4 ∙ 2BuNH2 в среде бензола с содержанием ДМСО от 20 до 40% является кинетически неустойчивым. В электронном спектре поглощения с течением времени регистрируется уменьшение интенсивности нерасщепленной Q-полосы с λ = 675 нм (рис. 7, 8), которое сопровождается обесцвечиванием раствора.
Рис. 7. Изменение электронного спектра поглощения H2Pc(I)4(t-Bu)4 ∙ 2BuNH2 в среде бензол–20% ДМСО в течение 135 мин при c0BuNH2 = 4.58 моль/л при 323 K.
Рис. 8. Изменение электронного спектра поглощения H2Pc(I)4(t-Bu)4 ∙ 2BuNH2 в среде бензол–40% ДМСО в течение 117 мин при c0BuNH2 = 4.58 моль/л при 333 K.
При концентрации н-бутиламина более 1.14 моль/л в среде бензол–20% ДМСО (табл. 1) деструкция H2Pc(I)4(t-Bu)4∙2BuNH2 подчиняется кинетическому уравнению второго порядка: первого по комплексу с переносом протонов (рис. 4) и первого по основанию (рис. 5):
, (5)
, (6)
где kH и k – наблюдаемая и истинная константы скорости деструкции соответственно, с1 – концентрация H2Pc(I)4(t-Bu)4∙2BuNH2, В – BuNH2.
В среде бензол–30(40)% ДМСО кинетическое уравнение (5) не претерпевает изменений. В этих случаях наиболее вероятная причина распад комплекса с переносом протонов с последующим разрушением макроцикла связана с протеканием конкурентной реакции за протон:
, (7)
. (8)
На стадии (7) молекула н-бутиламина вступает во взаимодействие с выведенным из плоскости макроцикла атомом водорода H2Pc(I)4(t-Bu)4∙2B и конкурируют с макроциклом за протон. При этом высокая основность и ионизирующая способность среды благоприятствует диссоциации комплекса с переносом протонов с образованием спектрально не регистрируемого промежуточного комплекса [НPc(I)4(t-Bu)4∙B]– (С2v-симметрия макроцикла [10]). Образующийся на стадии (8) дианион [Pc(I)4(t-Bu)4]2– относится к группе симметрии D4h [10], и поэтому не отличается от электронного спектра поглощения H2Pc(I)4(t-Bu)4∙2B. Из-за отсутствия компенсации избыточного отрицательного заряда в макроцикле дианион тетра(4-иод-5-трет-бутил)фталоцианина подвергается распаду с образованием бесцветных продуктов реакции. Этот факт дает основание полагать, что k1 < k2, а k1 = kН. Следует отметить, что детальный механизм распада фталоцианинового макроцикла представляется достаточно сложным и требует специального углубленно изучения.
Из данных табл. 2 видно, что при увеличении концентрации ДМСО в бензоле от 20 до 40% значение k298 возрастает в 48 раз, а величина Еа процесса уменьшается в 2 раза. Полученные данные позволяют считать, что сильная зависимость кинетических параметров деструкции H2Pc(I)4(t-Bu)4∙2B от процентного содержания ДМСО в бензоле, прежде всего, связана с увеличением полярности и ионизирующей способности среды, которая облегчает образование комплекса с переносом протонов и в условиях значительного избытка н-бутиламина протеканию конкурентной реакции за протон [13]. Напротив, в менее полярных средах (азотсодержащее основание – бензол) подобные комплексы фталоцианинов не подвергаются распаду с течением времени [6, 15].
ВЫВОДЫ
Таким образом установлено, что молекулярная форма тетра(4-иод-5-трет-бутил)фталоцианина в присутствии н-бутиламина в среде бензола с концентрацией диметилсульфоксида от 5 до 10% является кинетически неустойчивой и подвергается деструкции, которая характеризуется необычно низкими скоростями и высокими значениями энергии активации процесса. В среде бензола с концентрацией диметилсульфоксида от 20 до 40% тетра(4-иод-5-трет-бутил)фталоцианин вступает в кислотно-основное взаимодействие с н-бутиламином, которое приводит к образованию неустойчивого во времени комплекса с переносом протонов. Благодаря значительному избытку основания он вступает в конкурентную реакцию за протон, которая приводит к разрушению фталоцианинового макроцикла. Показано, что кинетические параметры деструкции комплекса с переносом протонов тетра(4-иод-5-трет-бутил)фталоцианина более сильно зависят от полярности среды, чем таковые для тетра(4-иод-5-трет-бутил)фталоцианина.
ЭКСПЕРИМЕНТАЛЬНАЯ ЧАСТЬ
Спектры ЯМР 1H и 13C получали на спектрометре Bruker Avance-500 в стандартных растворах. В качестве внутренних стандартов использовали сигналы растворителя. ИК спектры (3000–300 см–1) регистрировали с помощью прибора Avatar. ЭСП регистрировали на спектрофотометре Shimadzu-UV-1800. Элементный анализ проводили на анализаторе FlashEA 1112 CHNS–O. Масс-спектры MALDI-TOF положительных ионов регистрировали на времяпролетном масс-спектрометре Shimadzu AXIMA Confidence с лазерной десорбцией, связанной с матрицей на аппарате Bruker Daltonics Ultraflex.
4-Иод-5-трет-бутилфталонитрил. Смесь 5 г (25 ммоль) 4-амино-5-трет-бутилфталонитрила в 30 мл 38%-ного раствора HCl и 90 мл этанола перемешивали в течение 10 мин и охлаждали до –5°C, затем добавляли раствор 4 г (58 ммоль) NaNO2 в 50 мл воды. Полученную суспензию перемешивали в течение 45 мин. После образования соли диазония добавляли небольшими порциями раствор 10 г (60 ммоль) KI в 50 мл холодной воды. Полученную суспензию темно-коричневого цвета перемешивали в течение 2 ч. Для удаления непрореагировавшего иода добавляли насыщенный раствор Na2SO3. Полученный раствор разбавляли в 200 мл холодной воды и оставляли на 20 мин. Образующийся осадок серого цвета отфильтровывали и промывали холодной водой, затем перекристаллизовывали из этанола. Выход 6 г (0.019 моль, 79%), т. пл. 223–224°С. ИК спектр, ν, см–1: 2227 сл (CN), 1467 ср (СH3), 1396,8 ср (t-Bu), 1365,7 ср (t-Bu), 1263 ср (С–H), 1224 cр (С–H), 1104 (C–H), 911 ср (С–H), 532 с (C–I). Спектр ЯМР 1H (500 Гц, CDCl3), δ, м. д.: 8.40 с (1H), 7.79 с (1H), 1.58 с (9H, t-Bu). Спектр ЯМР 13С (126 Гц, CDCl3), δC, м. д.: 157.41 [С–C(CH3)3], 147.78 (CH), 131.68 (CH), 115.49 (CN), 115.13 (CN), 113.88 (С–СN), 113.82 (С–СN), 100.07 (CI), 38.00 [C(CH3)3], 29.13 (CH3). Масс-спектр, m/z (Iотн, %): 310 (56) [M]+. Найдено, %: C 46.56; H 3.47; N 9.12. C12H11IN2. Вычислено, %: C 46.47; H 3.58; N 9.03.
Тетра(4-иод-5-трет-бутил)фталоцианин. Смесь 4-иод-5-трет-бутилфталонитрила (100 мг) и магния (50 мг) кипятили в 40 мл 1-пентанола в течение 2 ч. Растворитель отгоняли с водяным паром, образующийся осадок сине-зеленого цвета отфильтровывали и промывали 30 мл воды, затем добавляли 5 мл трифторуксусной кислотой и перемешивали смесь в течение 10 мин при комнатной температуре. Образующуюся суспензию разбавляли водой, затем отфильтровывали, промывали 10 мл воды и хроматографировали на силикагеле 40–60 нм, используя в качестве элюента смесь СН2Cl2–C2H5OH (95:5). Выход 20 мг (0.016 ммоль, 45%), Rf 0.3. Спектр ЯМР 1H (500 Гц, CDCl3), δ, м. д.: 8.32–7.92 м (8H), 1.33–1.38 м (36H, t-Bu). ЭСП (бензол), нм: λI = 700 (lgεI = 5.04), λII = 667 (lgεII = 4.92) и λСоре = 347 (lgεСоре = 2.92). Масс-спектр, m/z (Iотн, %): 1243.65 (95) [M + H]+. C48H46I4N8.
Бензол, н-бутиламин и диметилсульфоксид (Acros) использовали без дополнительной очистки. Для проведения кинетических измерений в термостатируемую кювету спектрофотометра Shimadzu-UV-1800 помещали свежеприготовленный раствор H2Pc(I)4(t-Bu)4 в среде бензол–ДМСО с начальной постоянной концентрацией 1.07∙10–5 моль/л и добавляли переменные количества н-бутиламина. Скорость деструкции H2Pc(I)4(t-Bu)4 и комплекса с переносом протонов H2Pc(I)4(t-Bu)4∙2BuNH2 определяли по уменьшению оптической плотности раствора на длинах волн λ = 700 и 675 нм соответственно. Текущую концентрацию H2Pc(I)4(t-Bu)4 и его комплекса с н-бутиламином определяли по формуле (9):
, (9)
где А0, Аτ, А∞ – оптические плотности растворов в начальный момент времени, в момент времени τ и после завершения реакции (τ∞); с0 и с – начальная и текущая концентрации H2Pc(I)4(t-Bu)4 и H2Pc(I)4(t-Bu)4∙2BuNH2. Все измерения проводили в условиях реакции псевдопервого порядка, поэтому наблюдаемую константу скорости деструкции H2Pc(I)4(t-Bu)4 и H2Pc(I)4(t-Bu)4∙2BuNH2 рассчитывали по формуле (10):
. (10)
Точность кинетических параметров оценивали с помощью обычных методов статистики при доверительном интервале 95%. Использование метода Стьюдента позволило определить относительные ошибки в значениях kH и Еа, которые составили не более 3.97 и 7.15% соответственно.
КОНФЛИКТ ИНТЕРЕСОВ
Авторы заявляют об отсутствии конфликта интересов.
Авторлар туралы
О. Petrov
Ivanovo State University of Chemical Technology
Хат алмасуға жауапты Автор.
Email: poa@isuct.ru
ORCID iD: 0000-0003-3424-7135
Ресей, Ivanovo, 153000
Е. Shagalov
Ivanovo State University of Chemical Technology
Email: poa@isuct.ru
ORCID iD: 0000-0002-9628-2692
Ресей, Ivanovo, 153000
А. Kiselev
Krestov Institute of Solution Chemistry of the Russian Academy of Sciences
Email: poa@isuct.ru
ORCID iD: 0000-0002-6664-6221
Ресей, Ivanovo, 153045
V. Maizlish
Ivanovo State University of Chemical Technology
Email: poa@isuct.ru
ORCID iD: 0000-0001-5423-3297
Ресей, Ivanovo, 153000
Әдебиет тізімі
- Phthalocyanines: Properties and Applications / Eds. C.C. Leznoff, A.B.P. Lever. New York: VCH Publ., 1996. Vol. 4. 524 p.
- Gounden D.I., Nombona N., Zul Van W.E. // Coord. Chem. Rev. 2020. Vol. 420. P. 213359. doi: 10.1016/jccr. 213359
- Ibrahim-Ouali M., Dumur M. // Molecules. 2019. Vol. 24. P. 1412. doi: 10.3390/molecules24071412
- Сесслер Дж.Л., Гейл Ф.А., Вон-Сеоб Хо. Химия анионных рецепторов. М.: Красанд, 2011. 371 с.
- Петров О.А. // Изв. АН. Сер. хим. 2022. Т. 71. С. 613; Petrov O.A. // Russ. Chem. Bull. 2022. Vol. 71. P. 613. doi: 10.1007/S11172-022-34-59-5
- Петров О.А. // ЖФХ. 2022. Т. 96. № 3. С. 324; Petrov O.A. // Russ. J. Phys. Chem. (A). 2022. Vol. 96. N 3. P. 470. doi: 10.31857/S0044453722030207
- Райхардт К. Растворители и эффекты среды в органической химии. М.: Мир, 1991. 764 с.
- The Handbook of Chemistry and Physics / Ed. W.M. Haynes. Boca Raton; London; New York: Taylor and Francis, 2013. 2668 p.
- Toyota K., Hasegawa J., Nokatsuji H. // Chem. Phys. Lett. 1996. Vol. 250. N 5–6.лла P. 437. doi 10/1016/0009-2614(96)00043-7
- Stuzhin P.A., Khelevina O.G., Berezin B.D. Phthalocyanines: Properties and Applications. New York: VCH Publ. Inc, 1996. Vol. 4. P. 23.
- Петров О.А. // ЖФХ. 2021. Т. 95. № 4. С. 549; Petrov O.A. // Russ. J. Phys. Chem. (A). 2021. Vol. 95. N 4. P. 696. doi: 10.31857/S004445372104021Х
- Stuzhin P.A. // J. Porph. Phthal. 2003. Vol. 7. P. 813. doi 10.1142./s1088424-603001014
- Молекулярные взаимодействия / Под ред. Г. Ратайчак, У. Орвилл-Томаса. М.: Мир, 1984. 599 с.
- Zundell G. Hydrogen Bonds with Large Proton Polarizability and Transfer Processes in Electrochemistry and Biology. New York: Willy and Sons Inc., 2000. 217 p.
- Петров О.А., Осипова Г.В., Майзлиш В.Е., Аганичева К.А., Чуркина М.М. // ЖОрХ. 2021. Т. 57. № 9. С. 1281; Petrov О.А., Osipova G.V., Mayzlish V.E., Aganicheva K.A. // Russ. J. Org. Chem. 2021. Vol. 57. N 9. P. 1428. doi: 10.1134/s1070363218040187
Қосымша файлдар










