Synthesis of New Chalcogenazolo[3,2-a]pyridinium Derivatives by the Annulation Reaction of Vinyl Heteroatom Compounds with Pyridine-2-chalcogenyl Halides

封面

如何引用文章

全文:

详细

Based on the annulation reactions of pyridine-2-chalcogenyl halides with a number of vinyl heteroatomic compounds (divinyl and alkyl vinyl ethers, divinyl sulfide, 2-vinylsulfanylethanol, tetravinylsilane), effective methods have been developed for obtaining new 2,3-dihydro[1,3]thiazolo- and -selenazolo[3,2-a]pyridinium derivatives in high yields.

全文:

ВВЕДЕНИЕ

Азотсодержащие гетероциклические соединения вызывают большой интерес ученых благодаря их использованию для получения медицинских препаратов и практически важных материалов [1, 2]. Следует отметить, что азотсодержащие гетероциклические структуры входят в состав большого числа применяемых в настоящее время лекарств и препаратов медицинского назначения [3].

В последнее время большое внимание уделяется синтезу конденсированных производных пиридина ввиду их разнообразной биологической активности [4–8]. В ряду производных пиридина, конденсированных с тиазольным циклом, выделяются тиазоло[3,2-a]пиридины, которые, в зависимости от природы заместителей, проявляют различные виды биологической активности [9–20]. Прежде всего, производным этого класса соединений присущ широкий спектр антибактериальной активности [12–16]. Кроме этого, соединения ряда тиазоло[3,2-a]пиридинов обладают антитрихомонадной [17], противогрибковой [18], противовирусной [19] и антиоксидантной активностью [20].

Пиридин-2-сульфенилгалогениды являются эффективными электрофильными реагентами для получения производных тиазоло[3,2-a]пиридина [21–24]. Ранее мы сообщали о реакциях пиридин-2-сульфенил- и -селенилгалогенидов с рядом алкенов и природных соединений, приводящих к водорастворимым производным тиазоло- и селеназоло[3,2-a]пиридиния [25–27].

Продолжая исследования в области синтеза производных 2,3-дигидро[1, 3]халькогеназоло[3,2-a]пиридинийгалогенидов на основе аннелирования, нами проведены реакции пиридин-2-халькогенилгалогенидов с рядом винилгетероатомных соединений (дивиниловый и алкилвиниловые эфиры, дивинилсульфид, винилсульфанилэтанол и тетравинилсилан), в результате чего получены ранее неизвестные производные 2- и 3-замещенных 2,3-дигидро[1, 3]тиа- и -селеназоло[3,2-a]пиридин-4-ия с высокими выходами. Целью настоящей работы, наряду с разработкой способов получения новых производных халькогеназоло[3,2-a]пиридиния, было исследование влияние строения субстрата и природы атомов халькогена (серы и селена) на выход продуктов и селективность процесса аннелирования.

РЕЗУЛЬТАТЫ И ОБСУЖДЕНИЕ

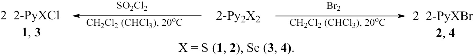
Пиридин-2-сульфенилгалогениды 1, 2 и пиридин-2-селанилгалогениды 3, 4 получены взаимодействием бис(пиридин-2-ил)дисульфида и бис(пиридин-2-ил)диселенида с хлористым сульфурилом или бромом и использованы без выделения в последующих реакциях (схема 1).

 

Схема 1.

 

Ранее нами было показано, что реакция пиридин-2-халькогенилбромидов легко протекают с виниловыми эфирами с образованием соответствующих конденсированных продуктов с высокими выходами [24]. В данной работе в реакцию аннелирования с сульфенил- и -селенилхлоридами 1, 3 впервые вовлечен дивиниловый эфир (схема 2). Установлено, что реакция с дивиниловым эфиром селективно протекает при комнатной температуре в хлористом метилене с образованием 3-винилоксипроизводных 5 и 6 с выходами 90 и 86% соответственно (схема 2).

 

Схема 2.

 

Проведение реакций пиридин-2-халькогенилхлоридов с 2-винилсульфанилэтанолом в аналогичных условиях дает низкий выход целевых продуктов. Установлено, что взаимодействие сульфенил- и -селенилхлоридов 1, 3 с 2-винилсульфанилэтанолом эффективно реализуется при кипячении в хлороформе (который имеет более высокую температуру кипения, чем хлористый метилен) и приводит к гетероциклам 7 и 8, функционализированным гидроксиэтилсульфанильной группой, с выходами 87 и 80% (схема 2).

Реакция аннелирования халькогенилгалогенидов 1, 3, 4 с алкилвиниловыми эфирами при эквимольном соотношении реагентов селективно протекает в хлороформе при комнатной температуре и приводит к образованию продуктов 914 с высокими выходами (91–99%, схема 3).

 

Схема 3.

 

Виниловые эфиры являются одними наиболее активных субстратов в электрофильных реакциях, и влияние природы атомов халькогена и галогена на выход продуктов в этом случае мало заметно.

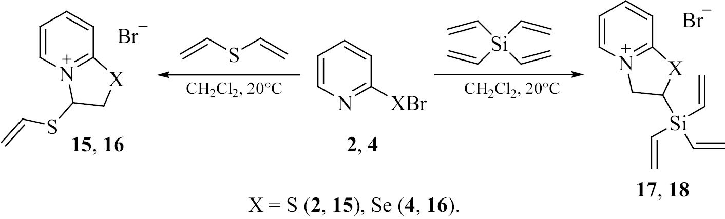
Влияние природы атомов халькогена (серы и селена) в реакциях аннелирования сульфенил- и -селенилбромидов 2, 4 исследовано на примерах взаимодействия с дивинилсульфидом и тетравинилсиланом. Дивинилсульфид является ценным реакционноспособным реагентом, который легко вступает в реакции электрофильного и радикального присоединения [28].

Установлено, что реакции аннелирования сульфенил- и -селенилбромидов 2, 4 с дивинилсульфидом протекают в мягких условиях при комнатной температуре в хлористом метилене с образованием конденсированных продуктов 15 и 16 с выходами 76 и 95% соответственно (схема 4).

 

Схема 4.

 

При исследовании реакций халькогенилбромидов 2 и 4 с тетравинилсиланом установлено, что процесс протекает региоселективно, но в отличие от реакции с дивинилсульфидом приводит к продуктам с противоположной региохимией. В этом случае атом халькогена присоединяется к α-углеродному атому винильной группы (схема 4). В результате образуются бромиды 2-тривинилсилил-2,3-дигидро[1, 3]тиазоло- и -селеназолопиридиния 17 и 18 с выходами 68 и 86% соответственно. Для селективного образования продуктов присоединения только по одной винильной группе использовался трехкратный мольный избыток тетравинилсилана. После окончания реакции избыточное количество тетравинилсилана удалялось вакуумированием реакционной смеси при перемешивании и собиралось в охлажденной ловушке.

Объяснение регионаправленности реакций представлено на схеме 5. Атомы кислорода и серы хорошо стабилизируют соседний карбокатионный центр [29]. Можно предполагать, что при присоединении халькогенилгалогенидов 14 в β-положении винилокси- и винилсульфанильной групп образуется интермедиат А, в котором карбокатионный центр стабилизирован соседним гетероатомом (схема 5). Однако электрофильная атака на винилсилильную группу обычно происходит по α-углеродному атому двойной связи, с образованием карбокатиона в β-положение (β-эффект, интермедиат Б) [30]. Известный β-эффект атома кремния стабилизирует положительный заряда на β-углеродном атоме [31]. Известно, что реакции присоединения аренсульфенилхлоридов к виниловым эфирам и винилсульфидам приводят к марковниковским аддуктам [32], тогда как реакции аренсульфенилхлоридов с винилсиланам протекают с противоположной регионаправленностью [30].

 

Схема 5.

 

ВЫВОДЫ

Таким образом, разработаны селективные и эффективные методы синтеза ранее неизвестных производных 2,3-дигидро[1, 3]тиазоло- и -селеназоло[3,2-a]пиридиния 518, растворимость которых в воде является важным свойством для возможного проявления биологической активности. Реакции аннелирования протекают достаточно эффективно как с сульфенилгалогенидами 1, 3, так и селенилгалогенидами 2, 4. Наиболее активными из субстратов в реакциях аннелирования являются виниловые эфиры. При использовании сульфенилхлорида 1 получены несколько более высокие выходы продуктов, чем с селенилхлоридом 3. При сравнении данных по использованию сульфенил- и -селенилбромидов 2, 4 можно отметить, что несколько более высокие выходы продуктов наблюдаются при использовании селенилбромида 4. Следует отметить, что продукты 5, 6, 1518 содержат винильную группу, которая потенциально способна к дальнейшей функционализации или олигомеризации с образованием новых водорастворимых материалов с возможной антибактериальной активностью.

ЭКСПЕРИМЕНТАЛЬНАЯ ЧАСТЬ

Спектры ЯМР 1Н и 13С записаны на приборе Bruker DPX-400 (400 и 101 МГц соответственно) в растворе D2O, внешний стандарт – тетраметилсилан. Элементный анализ выполнен на автоматическом анализаторе Thermo Scientific Flash 2000. Содержание хлора и брома определено объемным методом [33].

В реакциях использовались абсолютные растворители и коммерчески доступные (Merck) бис(пиридин-2-ил)дисульфид, сульфурилхлорид, бром, бутилвиниловый эфир, изо-бутилвиниловый эфир, 2-винилсульфанилэтанол. Бис(пиридин-2-ил)диселенид получен по известной методике [34].

3-(Винилокси)-2,3-дигидро[1, 3]тиазоло[3,2-a]-пиридин-4-ия хлорид (5). К раствору 0.099 г (0.45 ммоль) бис(пиридин-2-ил)дисульфида в 8 мл хлористого метилена, при перемешивании по каплям добавляли раствор 0.061 г (0.45 ммоль) сульфурилхлорида в 3 мл хлористого метилена. Реакционную смесь перемешивали в течение 10 мин, затем добавляли раствор 0.063 г (0.90 ммоль) дивинилового эфира в 4 мл хлористого метилена и перемешивали 24 ч при комнатной температуре. Смесь фильтровали, растворитель удаляли на роторном испарителе, остаток промывали гексаном и сушили в вакууме. Выход 0.195 г (90%), медообразное вещество светло-желтого цвета. Спектр ЯМР 1H (D2O), δ, м. д.: 3.89 д. д (1H, SCH2, 2JНН 13.2, 3JНН 2.4 Гц), 4.17 д. д (1H, SCH2, 2JНН 13.2, 3JНН 6.2 Гц), 4.56 д. д (1H, СН=CH2, 3JНН 6.2, 2JНН 2.6 Гц), 4.70 д. д (1H, СН=CH2, 3JНН 13.7, 2JНН 2.6 Гц), 6.68 д. д (1H, СН=CH2, 3JНН 13.7, 3JНН 6.2 Гц), 6.96 д. д (1Н, NCH, 3JНН 6.2, 3JНН 2.4 Гц), 7.70–7.73 м (1Н, СНPy), 8.02–8.04 м (1Н, СНPy), 8.34–8.37 м (1Н, СНPy), 8.82–8.83 м (1Н, СНPy). Спектр ЯМР 13C, (D2O), δC, м. д.: 34.3 (SCH2), 96.6 (СН2=СН), 97.6 (NCH), 122.9 (СPy), 123.8 (СPy), 140.9 (СPy), 146.4 (СPy), 147.3 (СН2=СН), 158.3 (NCS, СPy). Найдено, %: С 49.86; Н 4.79; N 6.37; Cl 16.27; S 15.09. C9H10ClNOS. Вычислено, %: С 50.11; Н 4.67; N 6.49; Cl 16.44; S 14.87.

3-(Винилокси)-2,3-дигидро[1, 3]селеназоло[3,2-a]-пиридин-4-ия хлорид (6). К раствору 0.056 г (0.17 ммоль) бис(пиридин-2-ил)диселенида в 5 мл хлористого метилена, добавляли раствор сульфурил хлорида 0.024 г (0.17 ммоль) в 2 мл хлористого метилена. Перемешиваем 10 мин, затем добавляли раствор 0.025 г (0.35 ммоль) дивинилового эфира в 2 мл хлористого метилена и перемешиваться при комнатной температуре в течение 24 ч. Смесь фильтровали, растворитель удаляли на роторном испарителе, остаток промывали гексаном и сушили в вакууме. Выход 0.080 г (86%), медообразное вещество светло-желтого цвета. Спектр ЯМР 1H (D2O), δ, м. д.: 3.86–3.90 м (1H, SeCH2), 4.20 д. д (1H, SeCH2, 2JНН 12.2, 3JНН 5.5 Гц), 4.54–4.57 м (1H, СН=CH2), 4.69–4.73 м (1H, СН=CH2), 6.66–6.71 м (1H, СН=CH2), 6.95 д. д (1Н, NCH, 3JНН 5.5, 3JНН 3.1 Гц), 7.76–7.78 м (СНPy), 8.16–8.18 м (СНPy), 8.23–8.28 м (СНPy), 8.85–8.87 м (СНPy). Спектр ЯМР 13C (D2O), δC, м. д.: 28.3 (SeCH2), 96.5 (СН2=СН), 100.1 (NCH), 123.5 (1Н, СНPy), 127.8 (1Н, СНPy), 141.8 (1Н, СНPy), 144.4 (1Н, СНPy), 147.4 (СН2=СН), 159.8 (NCSe, СPy). Найдено, %: С 40.86; Н 4.02; N 5.51; Cl 13.27; Se 29.81. C9H10ClNOSe. Вычислено, %: С 41.16; Н 3.84; N 5.33; Cl 13.50; Se 30.07.

3-[(2-Гидроксиэтил)сульфанил]-2,3-дигидро[1, 3]-тиазоло[3,2-а]пиридин-4-ия хлорид (7). К раствору 0.107 г (0.48 ммоль) бис(пиридин-2-ил)дисульфида в 7 мл хлороформа при перемешивании по каплям добавляли раствор 0.066 г (0.48 ммоль) сульфурилхлорида в 3 мл хлороформа. Реакционную смесь перемешивали в течение 10 мин, затем добавляли раствор 0.101 г 2-(винилсульфанил)этанола (0.97 ммоль) в 5 мл хлороформа и перемешивали 2 ч при температуре кипения растворителя. Смесь фильтровали, растворитель удаляли на роторном испарителе, остаток промывали четыреххлористым углеродом и сушили в вакууме. Выход 0.211 г (87%), медообразное вещество желтого цвета. Спектр ЯМР 1H (D2O), δ, м. д.: 3.03–3.06 м (1H, CH2), 3.78–3.85 м (3H, CH2), 3.94 д. д (1H, SCH2, 2JНН 12.4, 3JНН 8.6 Гц), 4.29 д. д (1H, SCH2, 2JНН 12.4, 3JНН 8.0 Гц), 6.48 т (1H, NCH, 3JНН 8.3 Гц), 7.73–7.76 м (1Н, СНPy), 7.94–7.97 м (1Н, СНPy), 8.27–8.31 м (1Н, СНPy), 8.98–9.00 м (1Н, СНPy). Спектр ЯМР 13C (D2O), δC, м. д.: 32.8 (CH2), 35.5 (SCH2), 60.3 (ОCH2), 76.4 (NCH), 123.0 (СPy), 123.4 (СPy), 140.8 (СPy), 144.9 (СPy), 159.3 (NCS, СPy). Найдено, %: С 42.94; Н 5.03; N 5.48; Cl 13.98; S 25.51. C9H12NClОS2. Вычислено, %: С 43.28; Н 4.84; N 5.61; Cl 14.19; S 25.68.

3-[(2-Гидроксиэтил)сульфанил]-2,3-дигидро[1, 3]-селеназоло[3,2-а]пиридин-4-ия хлорид (8). К раствору 0.042 г (0.13 ммоль) бис(пиридин-2-ил)диселенида в 4 мл хлороформа при перемешивании по каплям добавляли раствор 0.018 г (0.13 ммоль) сульфурилхлорида в 2 мл хлороформа. Реакционную смесь перемешивали в течение 10 мин, затем добавляли раствор 0.027 г (0.26 ммоль) 2-(винилсульфанил)этанола в 3 мл хлороформа и перемешивали 2 ч при температуре кипения растворителя. Смесь фильтровали, растворитель удаляли на роторном испарителе, остаток промывали четыреххлористым углеродом и сушили в вакууме. Выход 0.060 г (80%), медообразное вещество желтого цвета. Спектр ЯМР 1H (D2O), δ, м. д.: 3.02–3.05 м (1H, CH2), 3.14–3.30 м (1H, CH2), 3.76–3.86 м (1H, CH2), 3.92–3.99 м (1H, CH2), 4.20–4.32 м (2H, SCH2), 6.42–6.46 м (1H, NCH), 7.75–7.79 м (1Н, СНPy), 8.08–8.10 м (1Н, СНPy), 8.19–8.23 м (1Н, СНPy), 9.05–9.09 м (1Н, СНPy). Спектр ЯМР 13C (D2O), δC, м. д.: 29.8 (CH2), 33.0 (SCH2), 60.5 (ОCH2), 79.2 (NCH), 123.8 (СPy), 127.7 (СPy), 142.4 (СPy), 144.3 (СPy), 155.7 (NCSe, СPy). Найдено, %: С 36.19; Н 3.97; N 5.03; Cl 12.10; S 11.12; Se 26.99. C9H12NClОSSe. Вычислено, %: С 36.44; Н 4.08; N 4.72; Cl 11.95; S 10.81; Se 26.61.

Реакция сульфенилхлорида 1 с виниловыми эфирами. К раствору 0.110 г (0.5 ммоль) бис(пиридин-2-ил)дисульфида в 8 мл хлороформа, при перемешивании по каплям добавляли раствор 0.067 г (0.5 ммоль) сульфурилхлорида в 2 мл хлороформа. Реакционную смесь перемешивали в течение 10 мин, затем добавляли раствор винилового эфира (1.05 ммоль) в 4 мл хлороформа и перемешивали 26 ч при комнатной температуре. Реакционную смесь фильтровали, растворитель удаляли на роторном испарителе, остаток сушили в вакууме.

3-Бутокси-2,3-дигидро[1, 3]тиазоло[3,2-a]пиридин-4-ия хлорид (9). Выход 0.241 г (98%), масло светло-желтого цвета. Спектр ЯМР 1H (D2O), δ, м. д.: 0.87 т (3Н, CH3, JНН 7.4 Гц), 1.34 д. д (2Н, CH2, 2JНН 14.8, 3JНН 7.4 Гц), 1.61 д. д (2Н, CH2, 2JНН 14.1, 3JНН 7.1 Гц), 3.84 (2Н, SCH2, ОCH2, 2JНН 15.1, 3JНН 4.2 Гц), 4.09 д. д (2Н, ОCH2, 2JНН 13.0, 3JНН 6.0 Гц), 6.62–6.63 м (1Н, NCH), 7.71–7.74 м (1Н, СНPy), 8.01–8.03 м (1Н, СНPy), 8.33–8.37 м (1Н, СНPy), 8.84–8.85 м (1Н, СНPy). Спектр ЯМР 13C (D2O), δC, м. д.: 12.9 (CH3), 18.4 (CH2), 30.5 (CH2), 34.6 (SCH2), 70.4 (OCH2), 99.4 (NCH), 122.7 (СPy), 123.8 (СPy), 140.7 (СPy), 146.0 (СPy), 156.0 (NCS, СPy). Найдено, %: С 54.05; Н 6.73; N 5.52; Cl 14.69; S 12.87. C11H16ClNOS. Вычислено, %: С 53.76; Н 6.56; N 5.70; Cl 14.43; S 13.05.

3-(2-Метилпропокси)-2,3-дигидро[1, 3]тиазоло[3,2-a]пиридин-4-ия хлорид (10). Выход 0.231 г (94%) масло светло-желтого цвета. Спектр ЯМР 1H (D2O), δ, м. д.: 0.84–0.88 м (6Н, CH3), 1.82–1.89 м (1H, CH), 3.56–3.65 м (2H, OCH2), 3.81 д (1H, SCH2, 2JНН 13.0 Гц), 4.07 д. д (1H, SCH2, 2JНН 13.0, 3JНН 6.0 Гц), 6.61–6.62 м (1Н, NCH), 7.69–7.72 м (1Н, СНPy), 7.99–8.00 м (1Н, СНPy), 8.31–8.35 м (1Н, СНPy), 8.83–8.84 м (1Н, СНPy). Спектр ЯМР 13C (D2O), δC, м. д.: 17.6 (CH3), 17.7 (CH3), 27.3 (CH), 34.0 (SCH2), 76.4 (OCH2), 99.1 (NCH), 122.2 (СPy), 123.1 (СPy), 140.3 (СPy), 145.6 (СPy), 159.3 (NCS, СPy). Найдено, %: С 53.41; Н 6.72; N 5.89; Cl 14.29; S 12.85. C11H16ClNOS. Вычислено, %: С 53.76; Н 6.56; N 5.70; Cl 14.43; S 13.05.

Реакция селенилхлорида 3 с виниловыми эфирами. К раствору 0.044 г (0.14 ммоль) бис(пиридин-2-ил)диселенида в 5 мл хлороформа, при перемешивании по каплям добавляли раствор 0.019 г (0.14 ммоль) сульфурилхлорида в 2 мл хлороформа. Реакционную смесь перемешивали в течение 10 мин, затем добавляли раствор винилового эфира (0.3 ммоль) в 3 мл хлороформа и перемешивали 26 ч при комнатной температуре. Реакционную смесь фильтровали, растворитель удаляли на роторном испарителе, остаток сушили в вакууме.

3-Бутокси-2,3-дигидро[1, 3]селеназоло[3,2-a]пиридин-4-ия хлорид (11). Выход 0.077 г (94%), масло светло-желтого цвета. Спектр ЯМР 1H (D2O), δ, м. д.: 0.88 т (3Н, CH3, JНН 7.4 Гц), 1.30–1.39 м (2H, CH2), 1.56–1.65 м (2H, CH2), 3.81 д. д (2Н, SеCH2, 2JНН 12.0, 3JНН 3.2 Гц), 3.85–3.91 м (2H, OCH2), 4.14 д. д (2Н, SеCH2, 2JНН 12.0, 3JНН 5.5 Гц), 6.62 д. д (1Н, NCH, 3JНН 5.5, 3JНН 3.2 Гц), 7.77–7.81 м (1Н, СНPy), 8.16–8.18 м (1Н, СНPy), 8.26–8.31 м (1Н, СНPy), 8.89–8.90 м (1Н, СНPy). Спектр ЯМР 13C (D2O), δC, м. д.: 13.0 (CH3), 18.5 (CH2), 29.1 (CH2), 30.7 (SеCH2), 70.7 (OCH2), 101.9 (NCH), 123.4 (СPy), 127.9 (СPy), 142.2 (СPy), 145.2 (СPy), 157.6 (NCSe, СPy). Найдено, %: С 44.86; Н 5.68; N 4.96; Cl 11.92; Se 27.35. C11H16ClNOSе. Вычислено, %: С 45.14; Н 5.51; N 4.79; Cl 12.11; Se 26.98.

3-(2-Метилпропокси)-2,3-дигидро[1, 3]селеназоло[3,2-a]пиридин-4-ия хлорид (12). Выход 0.074 г (91%), масло желтого цвета. Спектр ЯМР 1H (D2O), δ, м. д.: 0.88–0.93 м (6Н, CH3), 1.90 д. д (1H, CH, 3JНН 13.4, 3JНН 6.7 Гц), 3.62–3.69 м (2Н, OCH2), 3.83 д. д (1H, SeCH2, 2JНН 12.0, 3JНН 3.1 Гц), 4.15 д. д (1H, SeCH2, 2JНН 12.0, 3JНН 5.5 Гц), 6.62–6.64 м (1Н, NCH), 7.77–7.80 м (1Н, СНPy), 8.16–8.18 м (1Н, СНPy), 8.27–8.31 м (1Н, СНPy), 8.89–8.90 м (1Н, СНPy). Спектр ЯМР 13C (D2O), δC, м. д.: 18.1 (CH3), 27.8 (CH), 28.9 (SCH2), 77.0 (OCH2), 101.9 (NCH), 123.3 (СPy), 127.8 (СPy), 142.1 (СPy), 145.0 (СPy), 157.5 (NCSе, СPy). Найдено, %: С 44.85; Н 5.79; N 4.62; Cl 12.45; Se 27.31. C11H16ClNOSe. Вычислено, %: С 45.14; Н 5.51; N 4.79; Cl 12.11; Se 26.98.

Реакция селенилбромида 4 с виниловыми эфирами. К раствору 0.035 г (0.112 ммоль) бис(пиридин-2-ил)диселенида в 5 мл хлороформа при перемешивании по каплям добавляли раствор 0.018 г (0.112 ммоль) брома в 2 мл хлороформа. Реакционную смесь перемешивали в течение 10 мин, затем добавляли раствор винилового эфира (0.23 ммоль) в 2 мл хлороформа и перемешивали 28 ч при комнатной температуре. Реакционную смесь фильтровали, растворитель удаляли на роторном испарителе, остаток сушили в вакууме.

3-Бутокси-2,3-дигидро[1, 3]селеназоло[3,2-a]пиридин-4-ия бромид (13). Выход 0.0747 г (99%), масло оранжевого цвета. Спектр ЯМР 1H (D2O), δ, м. д.: 0.89 т (3Н, CH3, 2JНН 7.4 Гц), 1.31–1.40 м (2H, CH2), 1.59–1.66 м (2H, CH2), 3.82 д. д (1H, SеCH2, 2JНН 12.0, 3JНН 3.2 Гц), 3.86–3.94 м (2H, OCH2), 4.16 д. д (1H, SеCH2, 2JНН 12.0, 3JНН 5.4 Гц), 6.64 д. д (1Н, NCH, 3JНН 5.4, 3JНН 3.3 Гц), 7.78–7.82 м (1Н, СНPy), 8.25–8.32 м (2Н, СНPy), 8.90–8.92 м (1Н, СНPy). Спектр ЯМР 13C (D2O), δC, м. д.: 13.0 (CH3), 18.5 (CH2), 29.2 (CH2), 30.7 (SеCH2), 70.7 (OCH2), 101.8 (NCH), 123.4 (СPy), 128.0 (СPy), 142.3 (СPy), 145.2 (СPy), 157.6 (NCSe, СPy). Найдено, %: С 38.91; Н 4.93; N 4.26; Br 24.56; Se 23.78. C11H16BrNOSе. Вычислено, %: С 39.19; Н 4.78; N 4.15; Br 23.70; Se 23.42.

3-(2-Метилпропокси)-2,3-дигидро[1, 3]селеназоло[3,2-a]пиридин-4-ия бромид (14). Выход 0.0732 г (97%), масло оранжевого цвета. Спектр ЯМР 1H (D2O), δ, м. д.: 0.86 д (6Н, CH3, 3JНН 6.7 Гц), 1.88 д. д (1H, CH, 2JНН 13.4, 3JНН 6.7 Гц), 3.63 д. д (2H, OCH2, 3JНН 6.7, 2JНН 3.2 Гц), 3.80 д. д (1H, SeCH2, 2JНН 12.0, 3JНН 3.2 Гц), 4.12 д. д (1H, SeCH2, 2JНН 12.0, 3JНН 5.3 Гц), 6.60 д. д (1Н, NCH, 3JНН 5.3, 3JНН 3.2 Гц), 7.73–7.77 м (1Н, СНPy), 8.14–8.16 м (1Н, СНPy), 8.23–8.27 м (1Н, СНPy), 8.84–8.88 м (1Н, СНPy). Спектр ЯМР 13C (D2O), δC, м. д.: 17.8 (CH3), 17.9 (CH3), 27.5 (CH), 28.6 (SCH2), 76.7 (OCH2), 101.6 (NCH), 123.0 (СPy), 127.5 (СPy), 141.8 (СPy), 144.8 (СPy), 157.2 (NCSе, СPy). Найдено, %: С 39.34; Н 4.93; N 4.34; Br 24.01; Se 23.61. C11H16BrNOSe. Вычислено, %: С 39.19; Н 4.78; N 4.15; Br 23.70; Se 23.42.

3-Винилсульфанил-2,3-дигидро[1, 3]тиазоло[3,2-a]пиридин-4-ия бромид (15). К раствору 0.072 г (0.32 ммоль) бис(пиридин-2-ил)дисульфида в 7 мл хлористого метилена при перемешивании по каплям добавляли раствор 0.052 г (0.32 ммоль) брома в 2 мл хлористого метилена. Реакционную смесь перемешивали в течение 10 мин, затем добавляли раствор дивинилсульфида 0.056 г (0.65 ммоль) в 5 мл хлористого метилена и перемешивали 24 ч при комнатной температуре. Растворитель удаляли на роторном испарителе, остаток промывали гексаном и сушили в вакууме. Выход 0.137 г (76%), медообразное желтое вещество. Спектр ЯМР 1H (D2O), δ, м. д.: 3.91 д. д (1H, SCH2, 2JНН 12.5, 3JНН 7.6 Гц), 4.28 д. д (1H, SCH2, 2JНН 12.5, 3JНН 8.1 Гц), 5.60–5.65 м (2Н, СН=СН2), 6.52–6.59 м (2H, NCH, СН=СН2), 7.68–7.72 м (1Н, СНPy), 7.91–7.93 (1Н, СНPy), 8.19–8.24 (1Н, СНPy), 8.82–8.83 м (1Н, СНPy). Спектр ЯМР 13C (D2O), δC, м. д.: 34.6 (SCH2), 75.5 (NCH), 122.5 (СPy), 123.0 (СPy), 123.9 (СН=СН2), 124.8 (СН=СН2), 143.5 (СPy), 144.6 (СPy), 159.0 (NCS, СPy). Найдено, %: С 38.76; Н 3.50; N 4.85; Br 29.25; S 22.97. C9H10BrNS2. Вычислено, %: С 39.13; Н 3.65; N 5.07; Br 28.93; S 23.22.

3-Винилсульфанил-2,3-дигидро[1, 3]селеназоло[3,2-a]пиридин-4-ия бромид (16). К раствору 0.058 г (0.18 ммоль) бис(пиридин-2-ил)диселенида в 6 мл хлористого метилена при перемешивании по каплям добавляли раствор 0.029 г (0.18 ммоль) брома в 4 мл хлористого метилена. Реакционную смесь перемешивали в течение 10 мин, затем добавляли раствор дивинилсульфида 0.032 г (0.37 ммоль) 4 мл хлористого метилена и перемешивали 24 ч при комнатной температуре. Растворитель удаляли на роторном испарителе, остаток промывали гексаном и сушили в вакууме. Выход 0.057 г (95%), медообразное желтое масло. Спектр ЯМР 1H (D2O), δ, м. д.: 3.95 д. д (1H, SeCH2, 2JНН 11.6, 3JНН 7.4 Гц), 4.30 д. д (1H, SeCH2, 2JНН 11.6, 3JНН 7.2 Гц), 5.63–5.69 м (2Н, СН=СН2), 6.55–6.65 м (2H, NCH, СН=СН2), 7.73–7.77 м (1Н, СНPy), 8.10–8.12 (1Н, СНPy), 8.19–8.23 (1Н, СНPy), 8.91–8.93 м (1Н, СНPy). Спектр ЯМР 13C (D2O), δC, м. д.: 29.2 (SеCH2), 78.7 (NCH), 123.6 (СPy), 124.2 (СPy), 127.6 (СН=СН2), 127.6 (СН=СН2), 142.3 (СPy), 144.2 (СPy), 157.9 (NCS, СPy). Найдено, %: С 33.17; Н 2.96; N 4.48; Br 25.02; S 10.12; Se 24.68. C9H10BrNSSe. Вычислено, %: С 33.45; Н 3.12; N 4.33; Br 24.73; S 9.92; Se 24.44.

2-(Тривинилсилил)-2,3-дигидро[1, 3]тиазоло[3,2-a]пиридин-4-ия бромид (17). К раствору 0.059 г (0.26 ммоль) бис(пиридин-2-ил)дисульфида в 10 мл хлористого метилена, при перемешивании по каплям добавляли раствор 0.043 г (0.26 ммоль) брома в 3 мл хлористого метилена. Реакционную смесь перемешивали в течение 10 мин, затем добавляли раствор 0.146 г (1.00 ммоль) тетравинилсилана в 5 мл хлористого метилена и перемешивали 24 ч при комнатной температуре. Растворитель удаляли на роторном испарителе, остаток промывали четыреххлористым углеродом и сушили в вакууме. Выход 0.120 г (68%), медообразное масло желтого цвета. Спектр ЯМР 1H (D2O), δ, м. д.: 3.94 д. д (1H, SCH, 3JНН 13.0, 3JНН 8.2 Гц), 4.92–4.98 м (1H, NCH2), 5.30 д. д (1H, NCH2, 2JНН 13.0, 3JНН 8.2 Гц), 6.00–6.06 м (3Н, СН=СН2), 6.21–6.34 м (6Н, СН=СН2), 7.59–7.62 м (1Н, СНPy), 7.89–7.91 м (1Н, СНPy), 8.17–8.21 м (1Н, СНPy), 8.60–8.62 м (1Н, СНPy). Спектр ЯМР 13C (D2O), δC, м. д.: 30.6 (SCH), 63.1 (NCH2), 122.7 (СPy), 123.3 (СPy), 129.64 (СН=СН2), 139.0 (СН=СН2), 141.4 (СPy), 144.5 (СPy), 160.3 (NCS, СPy). Найдено, %: С 47.54; Н 5.20; N 4.47; Br 24.30; S 10.13; Si 8.48. C13H16BrNSiS. Вычислено, %: С 47.85; Н 4.94; N 4.29; Br 24.49; S 9.83; Si 8.61.

2-(Тривинилсилил)-2,3-дигидро[1, 3]селеназоло[3,2-a]пиридин-4-ия бромид (18). К раствору 0.057 г (0.18 ммоль) бис(пиридин-2-ил)диселенида в 10 мл хлористого метилена при перемешивании по каплям добавляли раствор 0.029 г (0.18 ммоль) брома в 5 мл хлористого метилена. Реакционную смесь перемешивали в течение 10 мин, затем добавляли раствор 0.099 г (0.72 ммоль) тетравинилсилана и перемешивали 24 ч при комнатной температуре. Растворитель удаляли на роторном испарителе, непрореагировавший тетравинилсилан отгоняли в вакууме в охлажденную ловушку. Остаток промывали четыреххлористым углеродом и сушили в вакууме. Выход 0.116 г (86%), медообразное масло желтого цвета. Спектр ЯМР 1H (D2O), δ, м. д.: 4.10 д. д (1H, SCH, 3JНН 12.1, 3JНН 7.3 Гц), 5.02–5.08 м (1H, NCH2), 5.42 д. д (1H, NCH2, 2JНН 13.4, 3JНН 7.3 Гц), 6.02–6.08 м (3Н, СН=СН2), 6.24–6.34 м (6Н, СН=СН2), 7.68–7.72 м (1Н, СНPy), 8.08–8.10 м (1Н, СНPy), 8.14–8.18 м (1Н, СНPy), 8.70–8.71 м (1Н, СНPy). Спектр ЯМР 13C (D2O), δC, м. д.: 30.3 (SCH), 65.7 (NCH2), 123.5 (СPy), 127.3 (СPy), 130.29 (СН=СН2), 138.6 (СН=СН2), 142.5 (СPy), 143.7 (СPy), 158.0 (NCSe, СPy). Найдено, %: С 42.13; Н 4.20; N 4.05; Br 21.14; Se 20.89; Si 7.70. C13H16BrNSiSe. Вычислено, %: С 41.84; Н 4.32; N 3.75; Br 21.41; Se 21.16; Si 7.53.

БЛАГОДАРНОСТЬ

Спектральные исследования проведены с использованием материально-технической базы Байкальского аналитического центра коллективного пользования СО РАН.

КОНФЛИКТ ИНТЕРЕСОВ

Авторы заявляют об отсутствии конфликта интересов.

×

作者简介

R. Ishigeev

Favorsky Irkutsk Institute of Chemistry of the Siberian Branch of the Russian Academy of Sciences

Email: v_a_potapov@irioch.irk.ru
ORCID iD: 0000-0003-0843-4818
俄罗斯联邦, Irkutsk, 664033

A. Khabibulina

Favorsky Irkutsk Institute of Chemistry of the Siberian Branch of the Russian Academy of Sciences

Email: v_a_potapov@irioch.irk.ru
ORCID iD: 0000-0003-3523-9794
俄罗斯联邦, Irkutsk, 664033

V. Potapov

Favorsky Irkutsk Institute of Chemistry of the Siberian Branch of the Russian Academy of Sciences

编辑信件的主要联系方式.
Email: v_a_potapov@irioch.irk.ru
ORCID iD: 0000-0002-3151-6726
俄罗斯联邦, Irkutsk, 664033

参考

  1. Kabir E., Uzzaman M. // Results Chem. 2022. Vol. 4. P. 100606. doi: 10.1016/j.rechem.2022.100606
  2. Mohammad Abu-Taweel G., Ibrahim M.M., Khan S., Al-Saidi H.M., Alshamrani M., Alhumaydhi F.A., Alharthi S.S. // Crit. Rev. Anal. Chem. 2024. Vol. 54. P. 599. doi: 10.1080/10408347.2022.2089839
  3. Vitaku E., Smith D.T., Njardarson J.T. // J. Med. Chem. 2014. Vol. 57. P. 10257. doi: 10.1021/jm501100b
  4. Marinescu M., Popa C.-V. // Int. J. Mol. Sci. 2022. Vol. 23. P. 5659. doi: 10.3390/ijms23105659
  5. Islam M.B., Islam M.I., Nath N., Emran T.B., Rahman M.R., Sharma R., Matin M.M. // BioMed Res. Int. 2023. Vol. 2023. P. 9967591. doi: 10.1155/2023/9967591
  6. Sahu D., Sreekanth P.S.R., Behera P.K., Prandhan M.K., Patnaik A., Salunkhe S., Cep R. // Eur. J. Med. Chem. 2024. Vol. 12. P. 100210. doi: 10.1016/j.ejmcr.2024.100210
  7. El-Gaby M.S.A., Al-Sehemi A.G., Mohamed Y.A., Ammar Y.A. // Phosphorus, Sulfur, Silicon, Relat. Elem. 2006. Vol. 181. P. 631. doi: 10.1080/10426500500269885
  8. Rida S.M., Habib N.S., Badawey E.A.M., Fahmy H.T.Y., Ghozlan H.A. // Arch. Pharm. 1995. Vol. 328. P. 325. doi: 10.1002/ardp.19953280406
  9. Boominathan M., Nagaraj M., Maheshwaran C., Muthusubramanian S., Bhuvanesh N. // J. Heterocycl. Chem. 2014. Vol. 51. P. 244. doi: 10.1002/jhet.1650
  10. Nagaraju A., Ramulu B.J., Shukla G., Srivastava A., Verma G.K., Raghuanshi K., Singh M.S. // Tetrahedron. 2015. Vol. 71. P. 3422. doi: 10.1016/j.tet.2015.03.087
  11. Литвинов В.П., Доценко В.В., Кривоколыско С.Г. Химия тиенопиридинов и родственных систем. М.: Наука, 2006. С. 174.
  12. El-Emary T.I., Khalil A., El-Hag Ali G.A.M., El-Adasy A.A.A.M. // Phosphorus, Sulfur, Silicon. 2005. Vol. 180. P. 19. doi: 10.1080/10426500490494778
  13. El-Hag Ali G., Khalil A., Lamphon R., El-Maghraby A. // Phosphorus, Sulfur, Silicon, Relat. Elem. 2005. Vol. 180. P. 1909. doi: 10.1080/104265090889620
  14. Park H., Hwang K.Y., Oh K.H., Kim Y.H., Lee J.Y., Kim K. // Bioorg. Med. Chem. 2008. Vol. 16. P. 284. doi: 10.1016/j.bmc.2007.09.036
  15. Mahmoud N.F.H., Balamon M.G. // J. Heterocycl. Chem. 2020. Vol. 57. P. 3056. doi: 10.1002/jhet.4011
  16. Mohamed H.A., Ammar Y.A., Elhagali G.A.M., Eyada H.A., Aboul-Magd D.S., Ragab A. // J. Mol. Struct. 2023. Vol. 1287. P. 135671. doi. 10.1016/j.molstruc.2023.135671
  17. Walker K.A., Sjogren E.B., Matthews T.R. // J. Med. Chem. 1985. Vol. 28. P. 1673. doi: 10.1021/jm00149a023
  18. Al-Thebeiti M.S. // Il Farmaco. 2000. Vol. 55. P. 109. doi: 10.1016/S0014-827X(99)00130-5
  19. Chorell E., Pinkner J.S., Phan G., Edvinsson S., Buelens F., Remaut H., Waksman G., Hultgren S.J., Almqvist F. // J. Med. Chem. 2010. Vol. 53. P. 5690. doi: 10.1021/jm100470
  20. Shi F., Li C., Xia M., Miao K., Zhao Y., Tu S., Zheng W., Zhang G., Ma N. // Bioorg. Med. Chem. Lett. 2009. Vol. 19. P. 5565. doi: 10.1016/j.bmcl.2009.08.046
  21. Борисов А.В., Мацулевич Ж.В., Османов В.К., Борисова Г.Н., Маммадова Г.З., Махаррамов А.М., Хрусталев В.Н. // ХГС. 2012. Т. 48. Вып. 7. С. 1180; Borisov A.V., Matsulevich Zh.V., Osmanov V.K., Borisova G.N., Mammadova G.Z., Maharramov A.M., Khrustalev V.N. // Chem. Heterocycl. Compd. 2012. Vol. 48. N 7. P. 1098. doi: 10.1007/s10593-012-1104-1
  22. Потапов В.А., Ишигеев Р.С., Шкурченко И.В., Амосова С.В. // ЖОХ. 2019. Т. 89. Вып. 12. С. 1965; Potapov V.A., Ishigeev R.S., Shkurchenko I.V., Amosova S.V. // Russ. J. Gen. Chem. 2019. Vol. 89. N 12. P. 2601. doi: 10.1134/S1070363219120429
  23. Ишигеев Р.С., Потапов В.А., Шкурченко И.В., Зинченко С.В., Амосова С.В. // ХГС 2020. Т. 56. Вып. 12. С. 1586; Ishigeev R.S., Potapov V.A., Shkurchenko I.V., Zinchenko S.V., Amosova S.V. // Chem. Heterocycl. Compd. 2020. Vol. 56. N 12. P. 1586. doi: 10.1007/s10593-020-02853-8
  24. Ишигеев Р.С., Амосова С.В., Потапов В.А. // ЖОХ. 2022. Т. 92. Вып. 9. С. 1480; Ishigeev R.S., Amosova S.V., Potapov V.A. // Russ. J. Gen. Chem. 2022. Vol. 92. N 9. P. 1720. doi: 10.1134/S1070363222090146
  25. Potapov V.A., Musalova M.V., Ishigeev R.S., Musalov M.V., Panov V.A., Khabibulina A.G., Amosova S.V., Bhasin K.K. // Tetrahedron Lett. 2016. Vol. 57. P. 5341. doi: 10.1016/j.tetlet.2016.10.066
  26. Potapov V.A., Ishigeev R.S., Amosova S.V., Borodina T.N. // Tetrahedron Lett. 2019. Vol. 60. P. 475. doi 10.1016/ j.tetlet.2019.01.001
  27. Potapov V.A., Ishigeev R.S., Shkurchenko I.V., Zinchenko S.V., Amosova S.V. // Molecules. 2020. Vol. 25. P. 376. doi: 10.3390/molecules25020376
  28. Трофимов Б.А., Амосова С.В. Дивинилсульфид и его производные. Новосибирск: Наука, 1983. 264 c.
  29. Реутов О.А., Курц А.Л., Бутин К.П. Органическая химия. М.: Бином. Лаборатория знаний, 2005. Т. 1. С. 407.
  30. Cooke F., Moerck R., Schwindeman J., Magnus P. // J. Org. Chem. 1980. Vol. 45. P. 1046. doi: 10.1021/jo01294a026
  31. Wierschke S.G., Chandrasekhar J., Jorgensen W.L. // Am. Chem. Soc. 1985. Vol. 107. P. 1496. doi: 10.1021/JA00292A008
  32. Коваль И.В. // Усп. хим. 1995. Т. 64. Вып. 8. С. 781; Koval’ I.V. // Russ. Chem. Rev. 1995. Vol. 64. P. 731. doi: 10.1070/RC1995v064n08ABEH000172
  33. Климова В.А. Основные микрометоды анализа органических соединений. М.: Химия, 1975. C. 101.
  34. Hodage A.S., Prabhu C.P., Phadhis P.P., Wadawale A., Priyadarsini K.I., Jain V.K. // J. Organomet. Chem. 2012. Vol. 720. P. 19. doi: 10.1016/j.jorganchem.2012.08.035

补充文件

附件文件
动作
1. JATS XML
2. Scheme 1.

下载 (43KB)
3. Scheme 2.

下载 (65KB)
4. Scheme 3.

下载 (98KB)
5. Scheme 4.

下载 (66KB)
6. Scheme 5.

下载 (85KB)

版权所有 © Russian Academy of Sciences, 2024

Согласие на обработку персональных данных с помощью сервиса «Яндекс.Метрика»

1. Я (далее – «Пользователь» или «Субъект персональных данных»), осуществляя использование сайта https://journals.rcsi.science/ (далее – «Сайт»), подтверждая свою полную дееспособность даю согласие на обработку персональных данных с использованием средств автоматизации Оператору - федеральному государственному бюджетному учреждению «Российский центр научной информации» (РЦНИ), далее – «Оператор», расположенному по адресу: 119991, г. Москва, Ленинский просп., д.32А, со следующими условиями.

2. Категории обрабатываемых данных: файлы «cookies» (куки-файлы). Файлы «cookie» – это небольшой текстовый файл, который веб-сервер может хранить в браузере Пользователя. Данные файлы веб-сервер загружает на устройство Пользователя при посещении им Сайта. При каждом следующем посещении Пользователем Сайта «cookie» файлы отправляются на Сайт Оператора. Данные файлы позволяют Сайту распознавать устройство Пользователя. Содержимое такого файла может как относиться, так и не относиться к персональным данным, в зависимости от того, содержит ли такой файл персональные данные или содержит обезличенные технические данные.

3. Цель обработки персональных данных: анализ пользовательской активности с помощью сервиса «Яндекс.Метрика».

4. Категории субъектов персональных данных: все Пользователи Сайта, которые дали согласие на обработку файлов «cookie».

5. Способы обработки: сбор, запись, систематизация, накопление, хранение, уточнение (обновление, изменение), извлечение, использование, передача (доступ, предоставление), блокирование, удаление, уничтожение персональных данных.

6. Срок обработки и хранения: до получения от Субъекта персональных данных требования о прекращении обработки/отзыва согласия.

7. Способ отзыва: заявление об отзыве в письменном виде путём его направления на адрес электронной почты Оператора: info@rcsi.science или путем письменного обращения по юридическому адресу: 119991, г. Москва, Ленинский просп., д.32А

8. Субъект персональных данных вправе запретить своему оборудованию прием этих данных или ограничить прием этих данных. При отказе от получения таких данных или при ограничении приема данных некоторые функции Сайта могут работать некорректно. Субъект персональных данных обязуется сам настроить свое оборудование таким способом, чтобы оно обеспечивало адекватный его желаниям режим работы и уровень защиты данных файлов «cookie», Оператор не предоставляет технологических и правовых консультаций на темы подобного характера.

9. Порядок уничтожения персональных данных при достижении цели их обработки или при наступлении иных законных оснований определяется Оператором в соответствии с законодательством Российской Федерации.

10. Я согласен/согласна квалифицировать в качестве своей простой электронной подписи под настоящим Согласием и под Политикой обработки персональных данных выполнение мною следующего действия на сайте: https://journals.rcsi.science/ нажатие мною на интерфейсе с текстом: «Сайт использует сервис «Яндекс.Метрика» (который использует файлы «cookie») на элемент с текстом «Принять и продолжить».