Nanofibers based on cellulose acetates
- Authors: Sarymsakov A.A.1, Shukurov A.I.1, Ashurov N.S.1, Yunusov K.E.1
-
Affiliations:
- Institute of Polymer Chemistry and Physics of the Academy of Sciences of the Republic of Uzbekistan
- Issue: Vol 94, No 8 (2024)
- Pages: 929-938
- Section: Articles
- URL: https://ogarev-online.ru/0044-460X/article/view/275736
- DOI: https://doi.org/10.31857/S0044460X24080068
- EDN: https://elibrary.ru/SBQYCW
- ID: 275736
Cite item
Full Text
Abstract
The properties of cellulose diacetate solutions in acetone and acetone–water mixtures at ratios of 95:5, 93.5:7.5 and 90:10 were studied. The optimal concentrations of cellulose diacetate solution for the formation of nanofibers from a mixture of water and acetone with a water content of 7.5 wt% were found. Cellulose diacetate nanofibers were obtained in the form of nonwoven materials with an average nanofiber diameter of 350±10 nm. In order to obtain cellulose nanofibers with a thread diameter of 350–400 nm, cellulose diacetate nanofibers were hydrolyzed in a 0.1 M potassium hydroxide solution.
Keywords
Full Text
ВВЕДЕНИЕ
Широкое разнообразие полимеров и растворителей, используемых для электроформования, затрудняет определение золотого стандарта параметров, универсальных для каждого процесса [1]. Основополагающим фактором для получения наноразмерных волокон является напряженность электрического поля в процессе их формования. Для каждого прядильного раствора существует оптимальный диапазон изменения напряженности поля, которое также влияет на диаметр и морфологию волокон за счет воздействия на скорость течения полимерной струи. С увеличением напряженности повышается скорость потока. С ростом скорости потока диаметр и размер нановолокон также увеличиваются. При слишком высоких скоростях потока полимерного раствора волокно не может полностью высохнуть до момента достижения коллектора, что может привести к бисерной морфологии [2, 3]. Появление бисерной морфологии, вызванной вязкоупругими эффектами в недостаточно высохших полимерных струях, возможно и в случае, если расстояние между капилляром и коллектором слишком маленькое [3]. С увеличением расстояния диаметр нановолокна будет уменьшаться, хотя этот эффект, как правило, не является лимитирующим по сравнению с эффектами от изменений других параметров [4].
Концентрация полимера в прядильном растворе – также очень важный параметр, определяющий возможность формирования нановолокна. Если раствор слишком разбавленный, то полимерная струя распадется на капли, не достигнув коллектора, вследствие большого значения поверхностного натяжения. При высокой концентрации полимера увеличится вязкость раствора, и это может привести к тому, что не будет образовываться тонкая полимерная струя. Каждый нановолокнообразующий полимер имеет оптимальный диапазон концентраций, при котором может успешно формоваться нановолокно. Более высокие концентрации полимера внутри оптимального диапазона приводят к увеличению диаметра нановолокна [5]. При этом предпочтительно использовать летучие растворители, так как при передаче от капилляра к коллектору весь растворитель должен испариться, чтобы получились сухие нановолокна с гомогенной морфологией.
Сложные эфиры целлюлозы – диацетат и триацетат целлюлозы – относятся к классу крупнотоннажных искусственных полимеров, получаемых из возобновляемого источника сырья – древесной и хлопковой целлюлозы. Ди- и триацетат целлюлозы широко используются для получения широкого круга полимерных материалов, таких как нановолокна, нити, текстильные материалы, пленки, мембраны, пластмассы и другие изделия различного назначения [6, 7], а в последнее десятилетие – в производстве микроволокон, протомембран биохимического и химического назначения, нанокомпозиционных материалов для микроэлектроники, специфических оптических элементов [8]. Несмотря на такое многообразие, возможность создания на основе ацетатов целлюлозы новых материалов с уникальными свойствами полностью не реализована. Например, варьируя степень ацетилирования и молекулярную массу ацетатов целлюлозы, а также условия электроформования [9, 10], можно получить нановолокно нового функционального назначения [11].
Изделия на основе ди- и триацетата целлюлозы получают из растворов ацетатов целлюлозы, поскольку температура их плавления значительно превышает температуру интенсивного термического распада. Фазовый анализ систем ди(три)ацетат целлюлозы–низкомолекулярный растворитель дает возможность прогнозировать их поведение при изменении того или иного параметра, а знание механизма кинетики фазового разделения открывает путь к направленному влиянию на морфологию системы и, соответственно, созданию материалов с заданными свойствами [12].
Известно, что диацетат целлюлозы хорошо растворим и образует устойчивые растворы в ряде органических растворителей и их смесях [13]. В отличие от целлюлозы и ряда других ее производных, диацетат целлюлозы может быть использован в процессах электроформования.
Для электроформования волокон из растворов диацетата целлюлозы необходимо выбирать соответствующие условия. В данной работе в качестве растворителя выбран ацетон. Когда к капле раствора диацетата целлюлозы в ацетоне прикладывается высокое напряжение, энергия кулоновских сил между анодом и катодом становится больше, чем поверхностная энергия раствора. Это приводит к образованию конуса Тейлора и началу формирования нановолокна [14]. Установлено, что на диаметр и морфологию получаемого нановолокна влияют все переменные процесса электропрядения, включая природу растворителя и его состав, концентрацию раствора, приложенное напряжение, расстояние между коллектором и его тип, а также скорость испарения растворителя [15].
Известны работы [16, 17] по электроформованию растворов ацетатов целлюлозы (10 мас% в ацетоне), где описано формирование нановолокон с высоким содержанием бусинок. При введении воды в систему при соотношении ацетон–вода, равном 80:20, при той же концентрации диацетата целлюлозы (10 мас%), образование бусинок уменьшалось. Введение в раствор диацетата целлюлозы воды способствует снижению общей скорости испарения растворителя в воздушном зазоре электропрядения, что положительно влияет на вытяжку нановолокон и уменьшает засорение «фильеры». Известно, что вязкость диацетата целлюлозы определяется природой полимера, степенью полимеризации и степенью замещения, размером и формой макромолекулы, качеством растворителя, которое в данном случае зависит от содержания воды в ацетоне. Определено влияние состава формовочного раствора на изменение реологических характеристик макромолекул диацетата целлюлозы, которые практически никогда не бывают полностью молекулярно диспергированы в растворе, а существуют в виде сложных молекулярных ассоциатов, размеры и форма которых зависит от силы и количества внутри и межмолекулярных взаимодействий [18–20].
Целью данного исследования является поиск условий формирования нановолокон диацетат целлюлозы и целлюлозных нановолокон, обладающих гладкой поверхностью, и изучение их физико-химических свойств.
РЕЗУЛЬТАТЫ И ОБСУЖДЕНИЕ
Изучены реологические свойства растворов диацетата целлюлозы различной концентрации в ацетоне, содержащих различные количества воды. Известно [21, 22], что структурная вязкость диацетата целлюлозы зависит от степени структурирования и резко возрастает с увеличением ее молекулярной массы, полярности диацетата целлюлозы в зависимости от степени замещения или ацетилирования и концентрации раствора в заданном растворителе, а также содержания воды в растворителе – ацетоне. Величина структурной вязкости ηстр также сильно зависит от природы растворителя. Во всех случаях структурная вязкость увеличивается с увеличением энергии межмолекулярного взаимодействия Е2 (1):
(1)
где K – структурный фактор, который колеблется в интервале от 0 (для сильно разбавленного раствора) до 1 (для монокристалла), Е – энергия взаимодействия одного звена диацетата целлюлозы с растворителем, СП – степень полимеризации диацетата целлюлозы.
При разбавлении раствора гибкость макромолекул диацетата целлюлозы возрастает, так как облегчается их колебательное и вращательное движения. При повышении гибкости цепей макромолекул диацетата целлюлозы происходит снижение структурного фактора K, что обусловливает уменьшение энергии межмолекулярного взаимодействия Е2. Фактор K зависит не только от гибкости макромолекул диацетата целлюлозы, но и от плотности их упаковки: снижается в аморфных и возрастает в кристаллических участках. Также большое влияние на величину фактора K оказывает структура самой макромолекулы диацетата целлюлозы, в первую очередь, регулярность расположения ацетильных групп по длине макромолекулярной цепи.
Растворение диацетата целлюлозы может происходить самопроизвольно только в том случае, когда уменьшается свободная энергия системы, т. е. ∆G < 0. Это достигается в том случае, когда ∆H уменьшается и ∆S увеличивается [21, 23].
Известно [21–24], что структурная вязкость полимеров зависит от степени структурирования и резко возрастает с увеличением молекулярной массы, полярности полимера и концентрации его в растворе, а также при добавлении «нерастворителя», в случае диацетата целлюлозы в ацетоне – воды.
Величина структурной вязкости ηстр также зависит от природы растворителя. Во всех случаях ηстр увеличивается с ростом величины Е2, так как сама структурная вязкость обусловлена межмолекулярным взаимодействием макромолекул в растворе: ηстр → 0 при Е2 → 0.
При формовании нановолокон из растворов диацетата целлюлозы методом электроспининга необходимо исследовать реологические свойства растворов, а именно зависимости их вязкости от природы растворителя, концентрации диацетата целлюлозы в растворе, молекулярной массы и молекулярно-массового распределения макромолекул в растворе, а также изучить изменение вязкости растворов диацетата целлюлозы во времени и зависимость их вязкости от температуры.
Анализ реологических свойств растворов диацетата целлюлозы в зависимости от указанных параметров способствует выбору раствора диацетата целлюлозы, на основе которого возможно формование нановолокон с необходимой структурой, физико-химическими и физико-механическими параметрами.
На рис. 1 представлены результаты исследования реологических свойств растворов диацетата целлюлозы с степенью замещения 2.6 и степенью полимеризации 400 в ацетоне с концентрацией 5, 10 и 15% при изменении содержания воды в ацетоне в пределах 5, 7.5 и 10 мас%.
Рис. 1. Зависимость вязкости растворов диацетата целлюлозы от концентрации растворителя ацетон–вода (%): 95:5 (1), 92.5:7.5 (2), 90:10 (3).
Как видно, с увеличением концентрации диацетата целлюлозы в растворе в пределах 5–15% наблюдается увеличение вязкости системы. При концентрации диацетата целлюлозы выше 10% раствор, в котором содержание воды в ацетоне составляет 5 и 15%, проявляет свойства неньютоновских жидкостей, а при содержании воды 7.5% раствор проявляет свойства ньютоновских жидкостей. Данный факт, видимо, объясняется тем, что в растворах диацетата целлюлозы в ацетоне, содержащем 7.5% воды, расстояния между растворенными макромолекулами диацетата целлюлозы достаточно велико за счет флуктуаций, и вероятность возникновения межмолекулярных взаимодействий и образования ассоциатов мала.
Проведены исследования изменения вязкости растворов диацетата целлюлозы в зависимости от содержания воды в растворителе ацетоне. Как видно из рис. 2, с увеличением содержания воды в ацетоне от 5 до 10% наименьшую вязкость имеет раствор, в котором концентрация диацетата целлюлозы составляет 5%, и характер кривой незначительно изменяется в сторону неньютоновских жидкостей (кривая 1). В 10%-ных растворах диацетата целлюлозы с увеличением содержания воды в ацетоне от 5 до 10% вязкость системы изменяется незначительно, но она существенно выше, чем в 5%-ном растворе диацетата целлюлозы. Кривая 3 характеризует изменение вязкости 15%-ного раствора диацетата целлюлозы с изменением содержания воды в ацетоне. Характер кривой 3 показывает, что при содержании воды в ацетоне 7.5% раствор имеет низкую вязкость, что характерно для неньютоновских растворов.
Рис. 2. Зависимость вязкости растворов диацетата целлюлозы различной концентрации (1 – 5%, 2 – 10%, 3 – 15%) от термодинамического качества растворителя.
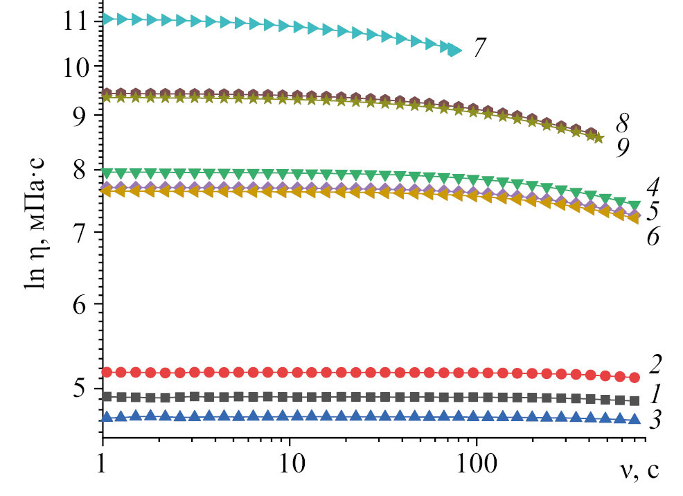
Проведены исследования изменения вязкости растворов диацетата целлюлозы в зависимости от градиента скорости течения раствора. Известно, что при малых напряжениях сдвига градиент скорости течения раствора пропорционален сдвиговому усилию, и только в этих условиях вязкотекучие полимерные системы ведут себя как ньютоновские жидкости. Как видно из результатов исследований, приведенных на рис. 3, с увеличением концентрации диацетата целлюлозы вязкость системы существенно возрастает, а зависимость вязкости растворов от градиента скорости течения практически не меняется. Зависимость вязкости растворов диацетата целлюлозы от градиента скорости вязкого течения меняется при изменении содержания воды в составе растворителя – ацетона: возрастает в последовательности концентраций 5, 10, 7.5% независимо от концентрации диацетата целлюлозы растворе. На основании результатов исследования реологических свойств для электроформования диацетата целлюлозы выбран 10%-ный раствор, приготовленный в смеси ацетон–вода, содержащем 10% воды.
Рис. 3. Реограммы растворов диацетата целлюлозы (ДАЦ) различной концентрации в смеси ацетон–вода при массовых соотношениях: 1 – ДАЦ 5% (90:10), 2 – ДАЦ 5% (92.5:7.5), 3 – ДАЦ 5% (95:5), 4 – ДАЦ 10% (90:10), 5 – ДАЦ 10% (92.5:7.5), 6 – ДАЦ 10% (95:5), 7 – ДАЦ 15% (90:10), 8 – ДАЦ 15% (92.5:7.5), 9 – ДАЦ 15% (95:5).
Результаты электронно-микроскопических исследований показали, что толщина нановолокон диацетата целлюлозы находится в прямой зависимости от состава растворителя в первую очередь, а также от условий формования и варьируется в диапазоне 100–800 нм (рис. 4).
Рис. 4. СЭМ снимки нановолокон, полученных из 5%-ных растворов диацетата целлюлозы при различном увеличении: (а) ×1200, (б) ×3700.
Как видно из рис. 4а, при небольшом увеличении наблюдается наличие узлов и бусинок, которые связаны с условиями электроформования, а также параметрами раствора диацетата целлюлозы. При дальнейшем увеличении видно, что между узлами или бусинками наблюдаются нановолокна с диаметрами в широком диапазоне от 100 до 800 нм (рис. 4б.)
При исследовании 10%-ного раствора диацетата целлюлозы варьированием содержания воды и режимов электроформования получены нановолокна диаметром 350±20 нм с равномерной структурой, в которой отсутствовали узелки и бусинки (рис. 5). При большом увеличении видно, что полученные нановолокна имеют равномерную структуру и их диаметр колеблется в узком диапазоне (рис. 5б).
Рис. 5. СЭМ снимки нановолокон, полученных из 10%-ных растворов диацетата целлюлозы при различном увеличении: (а) ×500, (б) ×1000.
По результатам предварительной оценки возможности формования нановолокон из диацетата целлюлозы со степенью замещения 2.6 и степенью полимеризации 400, растворенной в ацетоне, содержащем 5% воды, показано, что раствор диацетата целлюлозы обладает волокнообразующими свойствами в условиях электроформования. Формование нановолокон из 10%-ных растворов диацетата целлюлозы в ацетоне с содержанием воды 5% при напряжении 25 кВ обеспечивало устойчивое струеобразование и последующее отверждение образующихся нановолокон диаметром 500 нм.
Известно, что наличие трех гидроксильных групп в ангидроглюкозном звене целлюлозы позволяет получить ее производные с различными свойствами. В отличие от волокон целлюлозы нановолокна ее эфиров из-за разветвленной поверхности и доступности гидроксильных групп могут легко вступать в реакции функционализации. Однако прямое получение нановолокон целлюлозы из ее растворов затруднено вследствие того, что растворители целлюлозы нелетучи и имеют сложный состав.
Учитывая вышеизложенное, нами исследована возможность получения нановолокон целлюлозы из нановолокон диацетата целлюлозы. Для получения нановолокон целлюлозы нановолокна диацетата целлюлозы выдерживали в водной среде при 25°С в течение 12 ч. Далее их подвергали деацетилированию в 0.1 М. водном растворе гидроксида калия при модуле 1:10 при 35°С в течение 1 ч. Таким образом, из нановолокон диацетата целлюлозы, содержащих 40–42 свободных гидроксильных группы на 100 ангидроглюкозных единиц получены наноцеллюлозные волокна с высокой гидрофильностью, содержащие 6±2 свободных гидроксильных групп на 100 ангидроглюкозных единиц макромолекулы целлюлозы. Полученные наноцеллюлозные волокна имели средний диаметр 350–400 нм.
На рис. 6 представлены микрофотографии нановолокон целлюлозы, полученных электроформованием 10%-ных растворов диацетата целлюлозы в смеси ацетон–вода (содержание воды 5, 7.5 и 10%) после деацетилирования в растворе KOH.
Рис. 6. СЭМ микрофотографии нановолокон целлюлозы, полученных из 10%-ных растворов диацетата целлюлозы, содержащих 5 (а), 7.5 (б) и 10% (в) воды, в ацетоне после деацетилирования 0.1 М. водным раствором KОН.
Как видно из рис. 6а, нановолокна целлюлозы, сформированные при содержании воды в ацетоне 5%, имеют неоднородный диаметр и содержат удлиненные бусинки, что, видимо, объясняется сопротивлением струи раствора растягивающему потоку в процессе электроформования. При увеличении содержания воды в ацетоне до 7.5% на СЭМ снимках нановолокон целлюлозы наблюдаются более однородные нановолокна с гладкой поверхностью диаметром 90–430 нм. При этом почти 50% волокон имели диаметр 250 нм.
С увеличением содержания воды до 10% нановолокна целлюлозы имеют однородную, гладкую поверхность с диаметром 90–550 нм. Такое различие в средних диаметрах волокон можно объяснить параметрами использованного растворителя. С увеличением количества воды скорость испарения растворителя уменьшается и это не дает возможности полного испарения растворителя как с внутренней, так и наружной поверхности нановолокон. Данная зависимость сохраняется после деацетилирования нановолокон диацетата целлюлозы до наноцеллюлозных волокон.
На рис. 7 представлены результаты сравнительных исследований ИК спектров нановолокон диацетата целлюлозы и целлюлозы, полученных путем гидролиза нановолокон диацетата целлюлозы в водном растворе гидроксида калия. В спектрах нановолокон диацетата целлюлозы (рис. 7, кривая 1) наблюдаются интенсивные полосы при 3469, 2948 и 2855 см–1, характеризующие валентные колебания ацетильных групп, а также полосы при 1050 и 1240 см–1, соответствующие колебаниям сложноэфирной связи, и полосы при 1433 и 1376 см–1 деформационных колебаний ацетильных групп. Интенсивные полосы при 1638 и 1750 см–1 отнесены к колебаниям связей С=О ацетильных групп диацетата целлюлозы. Полосы при 465, 604 и 643 см–1 относятся к внеплоскостным деформационным колебания С–ОН групп диацетата целлюлозы.
Рис. 7. ИК спектры нановолокон диацетата целлюлозы (1) и нановолокон целлюлозы (2).
В ИК спектрах нановолокон целлюлозы, полученных щелочным гидролизом нановолокон диацетата целлюлозы (рис. 7, кривая 2), наблюдаются менее интенсивные по сравнению со спектром диацетата целлюлозы широкие размытые полосы при 2922, 1739, 1638 и 1428 см–1, которые относятся к внутренним деформационным колебаниям СН2 в группах СН2ОН, а также полосы деформационных колебаний групп С–ОН и СН= при 1316 и 1375 см–1, валентных колебаний группы =С–О при 1241, 1159 и 1068 см–1, валентным колебаний метиленовых групп и деформационных колебаний группы =СН пиранозных колец элементарных звеньев целлюлозы при 604 и 899 см–1.
Результаты рентгеноструктурного анализа нановолокон диацетата целлюлозы и целлюлозных нановолокон представлены на рис. 8. На дифрактограммах исходных нановолокон диацетата целлюлозы наблюдается широкое аморфное гало (рис. 8, кривая 2), что подтверждает отсутствие дальнего порядка и, вероятно, связано с наличием ацетильных групп в макромолекулах диацетата целлюлозы, которые препятствуют образованию ориентированных структур. Как видно из дифрактограммы диацетата целлюлозы, аморфное гало имеет бимодальную форму, и максимумы наблюдаются в области 2θ = 10° и 19°, что, видимо, связано с формированием скрученных аморфных структур в нановолокнах диацетата целлюлозы.
Рис. 8. Рентгеновские дифрактограммы нановолокон целлюлозы (1) и диацетата целлюлозы (2).
Рентгеноструктурный анализ нановолокон, полученных омылением нановолокон диацетата целлюлозы в 0.1 М. растворе гидроксида калия (рис. 8, кривая 1) показывает, что протекание реакции деацетилирования приводит к образованию нановолокон целлюлозы и появлению характерных рефлексов целлюлозы с максимумом при 2θ = 21°. Незначительное увеличение степени кристалличности нановолокон целлюлозы по сравнению с нановолокнами диацетата целлюлозы, видимо, объясняется переходом нановолокон в ориентированное состояние в процессе деацетилирования ацетильных групп в нановолокнах диацетат целлюлозы.
ВЫВОДЫ
Исследованы реологические свойства растворов диацетата целлюлозы различной концентрации в ацетоне, содержащем различное количество воды, и выбран оптимальный состав растворителя. Исследованы условия электроформования 10%-ных растворов диацетата целлюлозы в ацетоне, содержащем 5% воды, и получены нановолокна диаметром 500±20 нм. Посредством гидролиза ацетильных групп нановолокон диацетата целлюлозы в 0.1 М. растворе гидроксида калия получены нановолокна целлюлозы диаметром 350–400 нм с остаточным содержанием 6±2 ацетильных группы на 100 ангидроглюкозных единиц макромолекулы целлюлозы. Полученные целлюлозные нановолокна за счет большой поверхности площади на единицу объема обладают уникальными свойствами и могут найти широкое применение в создании фильтров воздуха, биоразлагаемых раневых покрытий с гемостатическими, бактерицидными свойствами. Таким образом, путем химической модификации нановолокон целлюлозы возможно существенное расширение области их практического применения. Полученные целлюлозные нановолокна представляют интерес для получения химически модифицированных наноматериалов различного назначения.
ЭКСПЕРИМЕНТАЛЬНАЯ ЧАСТЬ
В качестве объектов исследований выбран диацетат целлюлозы с степенью замещения 2.6 и степенью полимеризации 400 производства ООО «Ферганский химический завод». В работе использовали реактивы производства фирмы «Sigma-Aldrich»: ацетон (99.5%), гидроксид калия (≥85%). Для получения дистиллированной воды использовали дистиллятор DZ-10L11 (Huanghua Faithful Instrument Co., LTD).
С целью исследования реологических свойств и условий формования нановолокон методом электроспиннинга готовили растворы диацетата целлюлозы с концентрацией 5, 10 и 15 мас% в смеси ацетон–дистиллированная вода, 95:5, 92.5:7.5 и 90:10 мас%. Растворы готовили при перемешивании в течение 3 ч при 25°С. Растворы исследовали в сдвиговом потоке, сгенерированном в системе коаксиальных цилиндров на приборе Реометр MCR 92 (Anton Paar, Aвстрия) в диапазоне градиентов скорости сдвига 0–700 с–1 при 25℃. Обработку реологических данных проводили с помощью программного обеспечения RheoCompass.
Электроформование растворов диацетата целлюлозы различной концентрации осуществляли на приборе NanoNC eS-robots (NanoNC Со. Ltd, Korea) при следующих условиях: напряжение – 22–25 кВ, расход раствора – 10–15 мкл/мин, температура камеры – 25–40°С, расстояние между анодом и катодом – 10–15 см.
Морфологические характеристики поверхности нановолокон диацетата целлюлозы изучены на сканирующем электронном микроскопе SEM-EVO MA 10 (Германия). Эксперименты проводили следующим образом. На круглый держатель из металлического сплава, поверх которого приклеена углеродная пленка с двухсторонней клейкой поверхностью наклеивали образец. В ходе измерения подавали ускоряющее напряжение 10.00 кВ, рабочее расстояние равнялось 8.5 мм. Изображения получены в различных масштабах с помощью программного обеспечения Smart SEM.
Определение степени замещения. Степень замещения диацетата целлюлозы определяли по методике, описанной в работе [25]. Для этого 5.00 мл (0.25 моль/л) NaOH и 5.00 мл этанола добавляли к 0.1 г ацетата целлюлозы, затем эту смесь оставляли на 24 ч. После этого в систему добавляли 10.0 мл (0.25 моль/л) HCl и оставляли стоять в течение 30 мин. Смесь титровали с использованием стандартного 0.25 моль раствора NaOH, используя фенолфталеин в качестве индикатора. Этот эксперимент повторяли трижды.
Для определения процентного содержания ацетильных групп использовали уравнение (2):
, (2)
где %AG – процентное содержание ацетильных групп; Vbi – объем NaOH, добавленный в систему; Vbt – объем NaOH, затраченный на титрование; μb – концентрация NaOH; Va – объем HCl, добавленный в систему; μa – концентрация HCl; 43 – молярная масса ацетильной группы; mca – масса образца ацетата целлюлозы.
ИК Фурье-спектроскопические исследования нановолокон диацетата целлюлозы осуществляли с использованием ИК Фурье-спектрометра Inventio-S (Bruker) в спектральном диапазоне 4000±500 см−1. Рентгеноструктурный анализ нановолокон диацетата целлюлозы проводили на приборе Miniflex600 (Rigaku) при 40 кВ и силе тока 15 мА в интервале 2θ = 5–44°.
ФИНАНСОВАЯ ПОДДЕРЖКА
Работа выполнена в рамках фундаментального проекта Института химии и физики полимеров Академии наук Республики Узбекистан на 2022–2026 годы по теме FZ-4721055613 «Фундаментальные аспекты формирования нановолокон на основе высокомолекулярных систем: условия, особенности структурообразования» при финансовой поддержке Агентства инновационного развития при Министерстве высшего образования, науки и инноваций.
КОНФЛИКТ ИНТЕРЕСОВ
Авторы заявляют об отсутствии конфликта интересов.
About the authors
A. A. Sarymsakov
Institute of Polymer Chemistry and Physics of the Academy of Sciences of the Republic of Uzbekistan
Author for correspondence.
Email: sarimsakov1948@mail.ru
ORCID iD: 0000-0003-4562-7280
Uzbekistan, Tashkent, 100128
A. I. Shukurov
Institute of Polymer Chemistry and Physics of the Academy of Sciences of the Republic of Uzbekistan
Email: sarimsakov1948@mail.ru
ORCID iD: 0000-0002-2889-0258
Uzbekistan, Tashkent, 100128
N. Sh. Ashurov
Institute of Polymer Chemistry and Physics of the Academy of Sciences of the Republic of Uzbekistan
Email: sarimsakov1948@mail.ru
ORCID iD: 0000-0001-5246-434X
Uzbekistan, Tashkent, 100128
Kh. E. Yunusov
Institute of Polymer Chemistry and Physics of the Academy of Sciences of the Republic of Uzbekistan
Email: sarimsakov1948@mail.ru
ORCID iD: 0000-0002-4646-7859
Uzbekistan, Tashkent, 100128
References
- Иноземцева О.А., Сальковский Ю.Е., Северюхина А.Н., Видяшева И.В., Петрова Н.В., Метвалли Х.А., Стецюра И.Ю., Горин Д.А. // Усп. хим. 2015. Т. 84. № 3. С. 251; Inozemtseva O.A., Salkovskiy Y.E., Severyukhina A.N., Vidyasheva I.V., Petrova N.V., Metwally H.A., Stetciura I.Y., Gorin D.A. // Russ. Chem. Rev. 2015. Vol. 84. N 3. P. 251. doi: 10.1070/RCR4435
- Kadomae Y., Taniguchi T., Sugimoto M., Koyama K. // Int. Polym. Proc. 2008. Vol. 23. P. 377.
- Megelski S., Stephens J.S., Rabolt J.F., Bruce C.D. // Macromolecules. 2002. Vol. 35. P. 8456. doi: 10.1021/ma020444a
- Li D., Xia Y. // Adv. Mater. 2004. Vol. 16. P. 1151. doi: 10.1002/adma.200400719
- Sill T.J., Recum H.V. // Biomaterials. 2008. Vol. 29. N 13. P. 1989. doi: 10.1016/j.biomaterials.2008.01.011
- Peranidze K., Safronova T.V., Kildeeva N.R. // Polymers. 2023. Vol. 15. P. 1174. doi: 10.3390/polym15051174
- Chen W., Ma H., Xing B. // Int J Biol Macromol. 2020. Vol. 20. P. 33121. doi: 10.1016/j.ijbiomac.2020.04.249
- Lee J., Moon J.Y., Lee J.C., Hwang T.I., Park C.H., Kim C.S. // Carbohydr. Polym. 2021. doi 10.1016/ j.carbpol.2020.117191
- Петров А.В., Симонов-Емельянов И.Д., Филатов Ю.Н. // Вестн. МИТХТ. 2012. Т. 7. № 5. С. 103.
- Юданова Т.Н., Филатов Ю.Н., Афанасов И.М. // Пласт. массы. 2013. № 9. С. 57.
- Ergashovich Y.K., Abdupatto O’g’li A.A., Shodievich A.N. // Polym. Adv. Technol. 2024. Vol. 35. N 7. P. e6496. doi: 10.1002/pat.6496
- Lyu Q., Peng B., Xie Z., Du S., Zhang L., Zhu J. // ACS Appl. Mater. Interfaces. 2020. Vol. 23. P. 57373. doi: 10.1021/acsami.0c17931
- Wsoo M.A., Shahir S., Mohd S.P., Nayan H.M., Razak I.A. // Carbohydr. Res. 2020. Vol. 491. P. 107978. doi 10.1016/ j.carres.2020.107978
- Vaseashta A. // Appl. Phys. Lett. 2007. Vol. 90. P. 9. doi: 10.1063/1.2709958
- Ольхов А.А., Староверова О.В., Гольдштрах М.А., Хватов А.В., Гумаргалиева К.З., Иорданский А.Л. // Хим. физика. 2016. Т. 35. № 10. С. 53.
- Crabbe-Mann M., Tsaoulidis D., Parhizkar M., Edirisinghe M. // Cellulose 2018. Vol. 25. P. 1687. doi: 10.1007/s10570-018-1673-y
- Um-i-Zahra S., Shen X.X., Li H., Zhu L. // J. Polym. Res. 2014. Vol. 21. P. 602. doi: 10.1007/s10965-014-0602-5
- Wang X.Y., Drew C., Lee S.H., Senecal K.J., Kumar J., Sarnuelson L.A. // Nano Lett. 2002. Vol. 2. P. 1273. doi: 10.1021/nl020216u
- Liu H.Q., Hsieh Y.L. // J. Polym. Sci. (B). 2002. Vol. 40. P. 2119. doi: 10.1002/polb.10261
- Son W.K., Youk J.H., Lee T.S., Park W.H. // J. Polym. Sci. (B). 2004. Vol. 42. P. 5. doi: 10.1002/polb.10668
- Тагер А.А. Физикохимия полимеров. М.: Химия, 1978. 544 с.
- Геллер Б.Э. Практическое руководство по физикохимии волокнообразующих полимеров. М.: Химия, 1996. 432 с.
- Голубев А.Е., Ларина Ю.Н., Кувшинова С.А., Бурмистров В.А. // Изв. вузов. Сер. хим. и химическая технология. 2015. Т. 58. № 10. С. 33.
- Потехина Л.Н., Седелкин В.М. // Вестн. СГТУ. 2011. № 1. С. 52.
- Мамажанов Г.О. Разработка технологии получения лакокрасочных материалов из нитро- и диацетатцеллюлозы. Наманган, 2022. 122 с.
Supplementary files









