Influence of the Structure of Carbamoylmethylphosphine Oxides on the Extraction of Lanthanides(III) from Nitric Acid Solutions in the Presence of Dinonylnaphtalenesulfonic Acid
- Authors: Turanov A.N.1, Karandashev V.K.2, Artyushin O.I.3, Sharova E.V.3
-
Affiliations:
- Yu. A. Osipyan Institute of Solid State Physics, Russian Academy of Sciences
- Institute of Microelectronics Technology and High Purity Materials of the Russian Academy of Sciences
- A. N. Nesmeyanov Institute of Organoelement Compounds of the Russian Academy of Sciences
- Issue: Vol 94, No 6 (2024)
- Pages: 766-774
- Section: Articles
- URL: https://ogarev-online.ru/0044-460X/article/view/269860
- DOI: https://doi.org/10.31857/S0044460X24060106
- EDN: https://elibrary.ru/EYPTMH
- ID: 269860
Cite item
Full Text
Abstract
It was found that the extraction of lanthanides(III) from nitric acid solutions with solutions of carbamoylmethylphosphine oxides increases significantly in the presence of dinonylnaphthalene sulfonic acid. The stoichiometry of the extracted complexes was determined, and the influence of the composition of the aqueous phase, the nature of the organic solvent, and the structure of carbamoylmethylphosphine oxides on the efficiency of extraction of metal ions into the organic phase was considered.
Full Text
ВВЕДЕНИЕ
С развитием атомной энергетики возрастает актуальность решения экологических проблем, связанных с переработкой радиоактивных отходов. Экстракционные методы широко используются для извлечения, концентрирования и разделения актинидов и лантанидов в процессах переработки отработанного ядерного топлива [1]. Высокой экстракционной способностью по отношению к этим элементам обладают полидентатные нейтральные экстрагенты [2–6], в том числе оксиды (диалкилкарбамоилметил)диарилфосфинов [7, 8]. В последнее время все больший интерес привлекают карбамоилметилфосфиноксиды, содержащие вторичный амидный фрагмент, C(O)NHAlk (Alk = C2–C12). По эффективности извлечения Am(III) из азотнокислых растворов эти соединения не уступают своим N,N-диалкилзамещенным аналогам, существенно выигрывая у них в синтетической доступности [9].
Известно, что введение в одну молекулу экстрагента нескольких комплексообразующих группировок (например, карбамоилметилфосфиноксидов) способствует многократному повышению эффективности процесса экстракции [10]. Ранее мы показали, что связывание двух координирующих Ph2P(O)CH2C(O)NH-фрагментов через амидные атомы азота ди- или триэтиленгликолевым спейсером, а также алкиленовым или ариленовым мостиком существенно увеличивает эффективность экстракции Ln(III), U(VI) и Th(IV) из азотнокислых растворов [11–14].
Для повышения степени извлечения ионов металлов при их экстракции широко используются смеси экстрагентов, дающие синергетический эффект – неаддитивное увеличение коэффициентов распределения ионов металлов [15–18]. Значительный синергетический эффект обнаружен при экстракции Ln(III) смесями карбамоилметилфосфиноксидов и реагентов кислотного характера, такими как β-дикетоны [19], хлорированный дикарболлид кобальта [20], а также ди-2-этилгексилфосфорная кислота [21–23] в органических растворителях.
Показано, что экстракция ионов Ln(III) нейтральными экстрагентами – триоктилфосфиноксидом или краун-эфирами – из слабокислых растворов возрастает в присутствии динонилнафталинсульфокислоты [24], которая является известным катионообменным экстрагентом [25, 26]. Однако сведения о влиянии динонилнафталинсульфокислоты на экстракцию ионов металлов растворами карбамоилметилфосфиноксидов ограничены [27, 28]. Известно, что строение карбамоилметилфосфиноксидов оказывает существенное влияние на их экстракционную способность и селективность в азотнокислых средах [7, 8].
В данной работе исследовано влияния строения карбамоилметилфосфиноксидов, содержащих вторичный амидный фрагмент и отличающихся природой заместителей при атомах азота, а также характером фрагмента, соединяющего координирующие группы, на их экстракционную способность по отношению к ионам Ln(III) в азотнокислых средах в присутствии динонилнафталинсульфокислоты.
РЕЗУЛЬТАТЫ И ОБСУЖДЕНИЕ
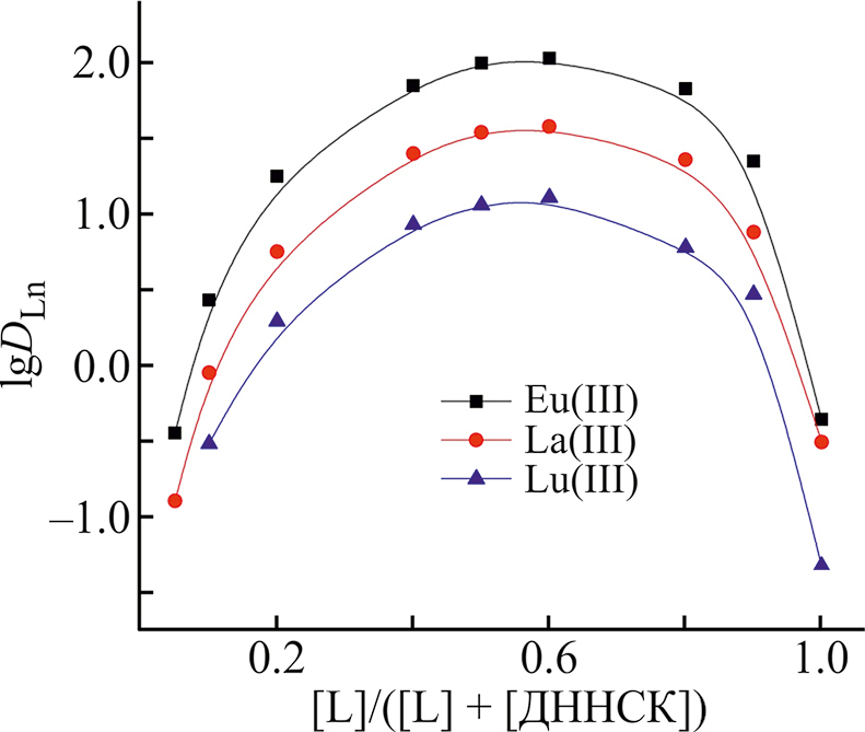
При экстракции ионов Ln(III) из раствора HNO3 смесями карбамоилметилфосфиноксида 1а и динонилнафталинсульфокислоты (схема 1) в дихлорэтане происходит значительное увеличение извлечения этих ионов в органическую фазу (рис. 1). Наблюдаемый синергетический эффект, по-видимому, связан с участием гидрофобных анионов динонилнафталинсульфокислоты в образовании экстрагируемых комплексов. Это приводит к увеличению их гидрофобности по сравнению с координационно-сольватированными нитратами Ln(III).
Схема 1
Рис. 1. Экстракция Ln(III) из растворов 3 моль/л HNO3 изомолярными смесями 1а и динонилнафталинсульфокислоты (ДННСК) в дихлорэтане. [1а] + [ДННСК] = 0.05 моль/л
Присутствие динонилнафталинсульфокислоты в органической фазе существенно изменяет характер зависимости эффективности экстракции ионов Ln(III) растворами соединения 1а от концентрации HNO3 в водной фазе (рис. 2). В отсутствие динонилнафталинсульфокислоты при экстракции Eu(III) наблюдается зависимость lgDEu–[HNO3] с максимумом, что соответствует экстракции координационно-сольватированных нитратов Eu(III) [29]. При экстракции смесями соединения 1а и динонилнафталинсульфокислоты наблюдается снижение DEu с увеличением [HNO3], что отмечалось и при экстракции Eu(III) смесями ди-2-этилгексилфосфорной кислоты и карбамоилметилфосфиноксидов [24]. Величина синергетического эффекта SC = D(DL + DHD)–1 (где DL, DHD и D – коэффициенты распределения иона металла при экстракции карбамоилметилфосфиноксидами, динонилнафталинсульфокислотой и их смесью соответственно) уменьшается с увеличением [HNO3], однако синергизм наблюдается даже в области высокой концентрации HNO3 (рис. 2).
Рис. 2. Зависимость коэффициентов распределения Eu(III) от концентрации HNO3 в водной фазе при экстракции растворами соединения 1а (2), динонилнафталинсульфокислоты (3) и смесью соединения 1а и динонилнафталинсульфокислоты (1) в дихлорэтане. Концентрация соединения 1а и динонилнафталинсульфокислоты равна 0.05 моль/л
Для сравнения экстракционной способности карбамоилметилфосфиноксидов 1а–г по отношению к Ln(III) определены величины DLn при экстракции из раствора 3 моль/л HNO3 растворами 0.05 моль/л этих реагентов в дихлорэтане в присутствии 0.05 моль/л динонилнафталинсульфокислоты. При экстракции смесями соединений 1а–г и динонилнафталинсульфокислоты наблюдается тенденция уменьшения DLn с увеличением атомного номера (Z) лантанида (рис. 3). Такой же характер зависимости DLn–Z отмечался ранее при экстракции Ln(III) растворами карбамоилметилфосфиноксидов из азотнокислых растворов и был объяснен увеличением энергии гидратации ионов Ln3+ вследствие уменьшения их ионных радиусов с возрастанием Z [8].
Рис. 3. Коэффициенты распределения Ln(III) при экстракции из растворов 3 моль/л HNO3 растворами 0.05 моль/л соединений 1а (1, 6), 1б (2, 7), 1в (4, 8) и 1г (3, 5) в дихлорэтане (5–8) и дихлорэтане, содержащем 0.05 моль/л динонилнафталинсульфокислоты (1–4)
Природа заместителей при атоме азота в молекулах карбамоилметилфосфиноксидов оказывает заметное влияние на экстракцию ионов Ln(III) этими реагентами в присутствии динонилнафталинсульфокислоты (рис. 3). Экстракционная способность соединений возрастает в ряду 1в < 1б < 1а. Такая зависимость, связанная со снижением донорной способности С=О группы молекулы экстрагента по мере увеличения электроотрицательности заместителя, отмечалась ранее при экстракции Am(III) растворами карбамоилметилфосфиноксидов из азотнокислых сред [30]. Обращает на себя внимание тот факт, что в присутствии динонилнафталинсульфокислоты соединение 1а, содержащее вторичный амидный фрагмент, экстрагирует Ln(III) значительно более эффективно, чем карбамоилметилфосфиноксид 1г в аналогичных условиях, хотя в отсутствие динонилнафталинсульфокислоты в органической фазе эффективность соединения 1а несколько ниже, чем его N,N-диалкилзамещенного аналога 1г (рис. 3). По-видимому, наличие второго алкильного радикала при атоме азота молекулы 1г вызывает более заметные стерические препятствия образованию комплексов с участием аниона динонилнафталинсульфокислоты, чем в случае лиганда 1а.
Поскольку эффект синергизма в системе карбамоилметилфосфиноксид–динонилнафталинсульфокислота связан с вытеснением нитрат ионов из координационной сферы комплекса LnLs(NO3)3 (L – молекула карбамоилметилфосфиноксида, s – сольватное число) и заменой их на анионы динонилнафталинсульфокислоты, чем менее устойчив комплекс LnLs(NO3)3, тем легче происходит такая замена и выше величина синергетического эффекта SC. Например, при экстракции Eu(III) из раствора 3 моль/л HNO3 величина SC возрастает в ряду карбамоилметилфосфиноксидов 1г (105) < 1а (3020) < 1б (5130) < 1в (9550).
Соединения 2–7 (схема 1) с двумя координирующими фрагментами Ph2P(O)CH2C(O)NH в смеси с динонилнафталинсульфокислотой экстрагируют ионы Ln(III) из азотнокислых растворов значительно более эффективно, чем их моноаналог 1а при равной концентрации карбамоилметилфосфиноксидных групп в органической фазе (рис. 4). Величины DLn при экстракции из раствора 3 моль/л HNO3 растворами 0.005 моль/л этих бискарбамоилметилфосфиноксидов в дихлорэтане в присутствии 0.02 моль/л динонилнафталинсульфокислоты на два порядка выше, чем DLn для их моноаналога 1а.
Рис. 4. Коэффициенты распределения Ln(III) при экстракции из растворов 3 моль/л HNO3 растворами 1а и 2–8 в дихлорэтане, содержащем 0.02 моль/л динонилнафталинсульфокислоты. Концентрация соединений 2–8 равна 0.005 моль/л, соединения 1а – 0.01 моль/л
Природа фрагмента, соединяющего координирующие группы, оказывает определенное влияние на экстракционную способность бискарбамоилметилфосфиноксидов по отношению к ионам Ln(III) в азотнокислых средах в присутствии динонилнафталинсульфокислоты. Увеличение расстояния между координирующими группами молекулы экстрагента приводит к снижению величин DLn для большинства Ln(III) в ряду соединений 3 < 2 < 4 и 7 < 6 (рис. 4). Соединение 5 с полиэфирным мостиком между группами Ph2P(O)CH2C(O)NH экстрагирует Ln(III) более эффективно, чем соединение 3 с алкиленовым мостиком. В системе с соединением 8, в молекуле которого координирующие карбамоильные группы заблокированы жестким пиперазиновым фрагментом, кооперативный эффект не проявляется. Величины DLn в системе с этим реагентом заметно ниже, чем в системе с соединением 1а (рис. 4).
Стехиометрические соотношения Ln(III):1а и Ln(III):2 в комплексах, экстрагируемых из растворов 3 моль/л HNO3 смесями карбамоилметилфосфиноксидов и динонилнафталинсульфокислоты определены методом сдвига равновесия. Угловые наклоны зависимостей lgDLn–lg[L] близки к 3 для соединения 1а и к 2 для соединения 2 (рис. 5). Это указывает на экстракцию ионов Ln(III) смесями карбамоилметилфосфиноксидов и динонилнафталинсульфокислоты в виде ди- и трисольватов в случае соединений 2 и 1а соответственно. Уменьшение сольватного числа в системе с бискарбамоилметилфосфиноксидом 2 может быть следствием полидентатной координации в системе с этим лигандом.
Рис. 5. Зависимость коэффициентов распределения Eu (1, 6), Tb (2), Dy (3), Er (4), La (7), Tm (8) и Lu (5, 9) от концентрации соединений 1а (6–9) и 2 (1–5) в дихлорэтане, содержащем 0.05 (6–9) и 0.02 моль/л (1–5) динонилнафталинсульфокислоты, при экстракции из растворов 3 моль/л HNO3
Увеличение концентрации динонилнафталинсульфокислоты в органической фазе сопровождается увеличением коэффициентов распределения Ln(III) (рис. 6). При экстракции из растворов 3 моль/л HNO3 угловой наклон линейного участка зависимости lgDLn–lg[ДННСК] близок к 2, что соответствует переходу ионов Ln(III) в органическую фазу в виде комплексов, включающих два аниона динонилнафталинсульфокислоты. При концентрации динонилнафталинсульфокислоты >0.01 моль/л ее увеличение менее заметно влияет на увеличение DLn. Одной из причин этого может быть образование аддуктов между карбамоилметилфосфиноксидом и кислотным экстрагентом в органической фазе [22], что приводит к снижению концентрации свободного экстрагента в органической фазе.
Рис. 6. Зависимость коэффициентов распределения Eu (1), Tb (2), Dy (3), Er (4) и Lu (5) от концентрации динонилнафталинсульфокислоты (ДННСК) в дихлорэтане, содержащем 0.002 моль/л соединения 2, при экстракции из растворов 3 моль/л HNO3
Природа органического растворителя оказывает существенное влияние на эффект синергизма при экстракции ионов металлов [31]. При экстракции Ln(III) из растворов 3 моль/л HNO3 смесями карбамоилметилфосфиноксида 2 и динонилнафталинсульфокислоты значения DLn возрастают по мере увеличения полярности органического растворителя в ряду о-ксилол < хлороформ < 1,2-дихлорэтан < нитробензол (рис. 7). Ранее было установлено, что увеличение полярности разбавителя способствует увеличению DLn при экстракции Ln(III) смесями карбамоилметилфосфиноксида 1г и динонилнафталинсульфокислоты [27]. Такая же зависимость эффективности экстракции Ln(III) из азотнокислых сред от полярности органического растворителя наблюдалась и при экстракции растворами карбамоилметилфосфиноксидов [32] и других полифункциональных соединений [33] без добавки динонилнафталинсульфокислоты в органическую фазу. Следует отметить, что при экстракции Ln(III) из растворов 3 моль/л HNO3 смесями карбамоилметилфосфиноксида 2 и динонилнафталинсульфокислоты увеличение полярности органического растворителя приводит к увеличению селективности экстракции. Величины коэффициентов разделения La и Lu (βLa/Lu = DLa/DLu) увеличиваются в ряду растворителей: о-ксилол (2.7) < хлороформ (5.6) < 1,2-дихлорэтан (8.3) < нитробензол (18.6). Напротив, увеличение полярности органического растворителя приводит к снижению величины βLa/Lu при экстракции растворами тетрабутилдиамида 1,10-фенантролин-2,9-дикарбоновой кислоты [33].
Рис. 7. Коэффициенты распределения Ln(III) при экстракции из растворов 3 моль/л HNO3 растворами 0.002 моль/л соединения 2 в нитробензоле (1), 1,2-дихлорэтане (2), хлороформе (3) и о-ксилоле (4), содержащими 0.01 моль/л динонилнафталинсульфокислоты
ВЫВОДЫ
Представленные данные показали, что эффективность экстракции Ln(III) из азотнокислых растворов растворами карбамоилметилфосфиноксидов значительно возрастает в присутствии динонилнафталинсульфокислоты в органической фазе. Наблюдаемый синергетический эффект связан с участием гидрофобных анионов динонилнафталинсульфокислоты в образовании экстрагируемых комплексов Ln(III). Природа заместителей при атоме азота в молекулах карбамоилметилфосфиноксидов оказывает заметное влияние на экстракцию ионов Ln(III) этими реагентами в присутствии динонилнафталинсульфокислоты. Экстракционная способность монокарбамоилметилфосфиноксидов возрастает в ряду 1в < 1б < 1а. Соединения 2–7 с двумя координирующими фрагментами Ph2P(O)CH2C(O)NH в смеси с динонилнафталинсульфокислотой экстрагируют ионы Ln(III) из азотнокислых растворов значительно более эффективно, чем их моноаналог 1а при равной концентрации карбамоилметилфосфиноксидных групп в органической фазе. Увеличение расстояния между координирующими группами молекулы экстрагента приводит к снижению величин DLn для большинства Ln(III) в ряду соединений: 3 < 2 < 4 и 7 < 6. Соединение 5 с полиэфирным мостиком между группами Ph2P(O)CH2C(O)NH экстрагирует Ln(III) более эффективно, чем соединение 3 с алкиленовым мостиком.
ЭКСПЕРИМЕНТАЛЬНАЯ ЧАСТЬ
Спектры ЯМР регистрировали на приборе Bruker Avance-300 в растворе ДМФА-d7 с использованием сигналов остаточных протонов дейтерированных растворителей в качестве внутреннего стандарта (1Н). В спектре ЯМР 31P в качестве внешнего стандарта использовали 85%-ную Н3РО4. ИК спектр записан на приборе UR-20 и инфракрасном Фурье-спектрометре Magna-IR 750 (Nicolet) в тонком слое, в виде таблеток с KBr (разрешение – 2 см–1, число сканов – 128).
Соединения 1а [34], 1б, в, 6, 7 [35], 1г [36], 2, 3 [37], 5 [13] и 8 [38] получены по описанным ранее методикам. Динонилнафталинсульфокислоту (Sigma-Aldrich) очищали по методике [39]. В качестве органических растворителей использовали нитробензол, 1.2-дихлорэтан, хлороформ и о-ксилол марки ХЧ без дополнительной очистки. Растворы экстрагентов в органических растворителях готовили по точным навескам.
N,N′-(Циклогексан-1,4-диил)бис[2-(дифенилфосфинил)ацетамид] (4). К раствору 0.25 г (1.15 ммоль) метилбутилимидазолийбромида в 15 мл толуола прибавляли 0.3 г (0.15 ммоль) дифенилфосфорилуксусной кислоты и 0.06 г (0.54 ммоль) 1,4-диаминоциклогексана. Смесь перемешивали при 100°С до растворения исходных веществ (~30 мин), охлаждали до 50°С и прибавляли в токе аргона 0.11 г (0.35 ммоль) трифенилфосфита. Смесь перемешивали при 110°С до прекращения образования белого порошка (~40 мин). Выпавший осадок отфильтровывали и промывали последовательно водой (3×10 мл), метанолом (10 мл), диэтиловым эфиром (3×10 мл) и выдерживали в вакууме масляного насоса. Выход 0.08 г (25%), т. пл. 324°С. ИК cпектр, ν, см–1: 1182 (P=O), 1661 (C=O), 1537 (NH), 3256 (NH). Cпектр ЯМР 1H (300.13 МГц), δ, м. д. (J, Гц): 1.07–1.21 м (4Нax, С2Н, С3Н, С5Н, С6Н, cHex), 1.59–1.73 м (4Нeq, С2Н, С3Н, С5Н, С6Н, cHex), 3.36–3.57 м (2Н, С1НNH, C4HNH, cHex), 3.56 д (4H, PCH2, 2JPH 14.6), 7.56–7.62 м (12H, о,п-C6H5P), 7.85–7.90 м (8H, м-C6H5P), 8.00 уш. с (2H, NH). Спектр ЯМР 31Р{1H} (121.49 МГц): δP 28.82 м. д. Найдено, %: С 67.81; Н 5.88; N 4.55. С34Н36N2О4Р2. Вычислено, %: С 68.22; Н 6.06; N 4.68.
Исходные водные растворы Ln(III) готовили растворением соответствующих нитратов в воде с последующим добавлением HNO3. Экстракцию ионов Ln(III) изучали при изменении концентрации HNO3 в диапазоне 0.1–6.0 моль/л и исходной концентрации каждого из элементов 1.10–5 моль/л. Соотношение объемов органической и водной фаз составляло 1:1. Перемешивание фаз проводили при комнатной температуре (22±2°C) на роторном аппарате со скоростью 60 об/мин в течение 1 ч. Предварительно установлено, что этого времени достаточно для установления постоянных значений коэффициентов распределения элементов в экстракционных системах.
Концентрацию Ln(III) в исходных и равновесных водных растворах определяли методом масс-спектрометрии с индуктивно связанной плазмой с использованием масс-спектрометра XSeries 2 (ThermoScientific, США). Содержание элементов в органической фазе определяли как разницу между концентрациями до и после экстракции. Когда эта разница была мала, содержание элементов в органической фазе определяли после реэкстракции водным раствором 0.1 моль/л оксиэтилидендифосфоновой кислоты. Коэффициенты распределения элементов рассчитывали как отношение их концентраций в равновесных органической и водной фазах. Погрешность определения коэффициентов распределения не превышала 10%. Концентрацию HNO3 в равновесной водной фазе определяли потенциометрическим титрованием раствором NaOH.
ФИНАНСОВАЯ ПОДДЕРЖКА
Работа выполнена при поддержке Министерства науки и высшего образования Российской Федерации в рамках государственного задания Института физики твердого тела им. Ю. А. Осипьяна РАН, Института проблем технологии микроэлектроники и особо чистых материалов РАН, Института элементоорганических соединений им. А. Н. Несмеянова РАН (№ 075-00277-24-00) на 2024 г. с использованием научного оборудования Центра исследования строения молекул Института элементоорганических соединений им. А. Н. Несмеянова РАН. Масс-спектральные измерения выполнены в Центре коллективного пользования научным оборудованием Института проблем технологии микроэлектроники и особо чистых материалов РАН.
КОНФЛИКТ ИНТЕРЕСОВ
Авторы заявляют об отсутствии конфликта интересов.
About the authors
A. N. Turanov
Yu. A. Osipyan Institute of Solid State Physics, Russian Academy of Sciences
Email: sharovaev@mail.ru
ORCID iD: 0000-0002-5064-191X
Russian Federation, Chernogolovka
V. K. Karandashev
Institute of Microelectronics Technology and High Purity Materials of the Russian Academy of Sciences
Email: sharovaev@mail.ru
ORCID iD: 0000-0003-0684-272X
Russian Federation, Chernogolovka
O. I. Artyushin
A. N. Nesmeyanov Institute of Organoelement Compounds of the Russian Academy of Sciences
Email: sharovaev@mail.ru
ORCID iD: 0000-0001-6333-5973
Russian Federation, Moscow
E. V. Sharova
A. N. Nesmeyanov Institute of Organoelement Compounds of the Russian Academy of Sciences
Author for correspondence.
Email: sharovaev@mail.ru
ORCID iD: 0000-0001-5428-596X
Russian Federation, Moscow
References
- Myasoedov B.F., Kalmykov S.N. // Mendeleev Commun. 2015. Vol. 25. N 5. P. 319. doi: 10.10016/j.mencom. 2015.09.001
- Leoncini A., Huskens J., Verboom W. // Chem. Soc. Rev. 2017. Vol. 46. P. 7229. doi: 10.1039/C7CS00574A
- Аляпышев М.Ю., Бабаин В.А., Устынюк Ю.А. // Усп. хим. 2016. Т. 85. № 9. С. 943; Alyapyshev M.Yu., Babain V.A., Ustynyuk Yu.A. // Russ. Chem. Rev. 2016. Vol. 85. N 9. P. 943. doi: 10.1070/RCR4588
- Wilson A.M., Bailey P.J., Tasker P.A. // Chem. Soc. Rev. 2014. Vol. 43. P. 123. doi: 10.1039/C3CS60275C
- Werner E.J., Biros S.M. // Org. Chem. Front. 2019. Vol. 6. P. 2067. doi: 10.1039/C9QO00242A
- Bhattacharyya A., Mohapatra P.K. // Radiochim. Acta. 2019. Vol. 107. P. 931. doi: 10.1515/ract-2018-3064
- Horwitz E.P., Martin K.A., Diamond H., Kaplan L. // Solvent Extr. Ion Exch. 1986. Vol. 4. N 3. P. 449. doi: 10.1080/07366298608917877
- Чмутова М.К., Литвина М.Н., Прибылова Г.А., Иванова Л.А., Смирнов И.В., Шадрин А.Ю., Мясоедов Б.Ф. // Радиохимия. 1999. Т. 41. № 4. С. 331.
- Шарова Е.В., Артюшин О.И., Одинец И.Л. // Усп. хим. 2014. Т. 83. № 2. С. 95; Sharova E.V., Artyushin O.I., Odinets I.L. // Russ. Chem. Rev. 2014. Vol. 83. N 2. P. 95. doi: 10.1070/RC2014v083n02ABEH004384
- Dam H.H., Reinhoudt D.N., Verboom W. // Chem. Soc. Rev. 2007. Vol. 36. P. 367. doi: 10.1039/b603847f
- Туранов А.Н., Карандашев В.К., Шарова Е.В., Артюшин О.И., Одинец И.Л. // Радиохимия. 2010. Т. 52. С. 219; Turanov A.N., Karandashev V.K., Sharova E.V., Artyushin O.I., Odinets I.L. // Radiochemistry. 2010. Vol. 52. P. 258. doi: 10.1134/S1066362210030069
- Turanov A.N., Karandashev V.K., Sharova E.V., Artyushin O.I., Odinets I.L. // Solvent Extr. Ion Exch. 2012. Vol. 30. P. 604. doi: 10.1080/07366299.2012.671117
- Turanov A.N., Karandashev V.K., Sharova E.V., Аrtyushin O.I. // Solvent Extr. Ion Exch. 2016. Vol. 34. P. 26. doi: 10.1080/07366299.2015.1129197
- Туранов А.Н., Карандашев В.К., Шарова Е.В., Артюшин О.И., Одинец И.Л. // Радиохимия. 2012. Т. 54. С. 47; Turanov A.N., Karandashev V.K., Sharova E.V., Artyushin O.I., Odinets I.L. // Radiochemistry. 2012. Vol. 54. P. 48. doi: 10.1134/S1066362212010067
- Atanassova M., Kukeva R., Kurteva V. // Molecules. 2023. Vol. 28. P. 7476. doi: 10.3390/molecules28227467
- Atanassova M., Vassilev N., Tashev E., Lachkova V., Varbanov S. // Sep. Sci. Technol. 2016. Vol. 51. P. 49. doi: 10.1080/01496395.2015.1078358
- Varbanov S., Tashev E., Vassilev N., Atanassova M., Lachkova V., Tosheva T., Shenkov S., Dukov I. // Polyhedron. 2017. Vol. 134. P. 135. doi: 10.1016/j.poly.2017.06.013
- Atanassova M., Kurteva V. // RSC Adv. 2016. Vol. 6. P. 11303. doi: 10.1039/C5RA22306G
- Rao L., Xia Y., Rapko B.M., Martin P.F. // Solvent Extr. Ion Exch. 1998. Vol. 16. P. 913. doi 10.1080/ 07366299808934560
- Смирнов И.В. // Радиохимия. 2007. Т. 49. № 1. С. 40; Smirnov I.V. // Radiochemistry. 2007. Vol. 49. N 1. P. 44. doi: 10.1134/S1066362207010080
- Lumetta G.J., Gelis A.V., Vandergrift G.F. // Solvent Extr. Ion Exch. 2010. Vol. 28. P. 287. doi 10.1080/ 07366291003684253
- Tkac P., Vandergrift G.F., Lumetta G.J., Gelis A.V. // Ind. Eng. Chem. Res. 2012. Vol. 51. P. 10433. doi: 10.1021/ie300326d
- Агафонова-Мороз М.С., Красников Л.В., Мишина Н.Е., Шадрин А.Ю., Шмидт О.В. // Радиохимия. 2009. Т. 51. № 4. С. 355; Agafonova-Moroz M.S., Krasnikov L.V., Mishina N.E., Shadrin A.Yu., Shmidt O.V. // Radiochemistry. 2009. Vol. 51. N 4. P. 403. doi: 10.1134/S1066362209040134
- Ramadan A., Mahmoud M., Khalifa S.M., Souka N. // J. Radioanal. Chem. Lett. 1993. Vol. 176. P. 457. doi: 10.1007/BF02177682
- Hogfeldt E., Chiarizia R., Danesi P.R., Soldatov V.S. // Chem. Scr. 1981. Vol. 18. P. 13.
- Otu E.O., Westland A.D. // Solvent Extr. Ion Exch. 1991. Vol. 9. P. 875. doi: 10.1080/07366299108918088
- Туранов А.Н., Карандашев В.К., Яркевич А.Н. // Радиохимия. 2018. Т. 60. № 6. С. 520; Turanov A.N., Karandashev V.K., Yarkevich A.N. // Radiochemistry. 2018. Vol. 60. N 6. P. 607. doi: 10.1134/S1066362218060073
- Turanov A.N., Karandashev V.K. // Solvent Extr. Ion Exch. 2023. Vol. 41. P. 868. doi: 10.1080/07366299.2023.2248197
- Розен А.М., Крупнов Б.В. // Усп. хим. 1996. Т. 65. № 11. С. 1052; Rozen A.M., Krupnov B.V. // Russ. Chem. Rev. 1996. Vol. 65. N 11. P. 973. doi: 10.1070/RC1996v065n11ABEH000241
- Чмутова М.К., Литвина М.Н., Прибылова Г.А., Нестерова Н.П., Клименко В.Е., Мясоедов Б.Ф. // Радиохимия. 1995. Т. 37. № 5. С. 430.
- Atanassova M., Kurteva V., Dukov I. // RSC Adv. 2016. Vol. 6. P. 81250. doi: 10.1039/C6RA18478B
- Шадрин А.Ю., Бабаин В.А., Киселева Р.Н. // Радиохимия. 1993. Т. 35. № 1. С. 45.
- Ustynyuk Yu.A., Zhokhova N.I., Gloriozov I.P., Matveev P.I., Evsiunina M.V., Lemport P.S., Pozdeev A.S., Petrov V.G., Yatsenko A.V., Tafeenko V.A., Nenajdenko V.G. // Int. J. Mol. Sci. 2022. Vol. 23. P. 15538. doi: 10.3390/ijms232415538
- Артюшин О.И., Шарова Е.В., Одинец И.Л., Леневич С.В., Моргалюк В.П., Тананаев И.Г., Прибылова Г.А., Мясоедова Г.В., Мастрюкова Т.А., Мясоедов Б.Ф. // Изв. АH. Сер. xим. 2004. Т. 53. № 11. С. 2394; Artyushin O.I., Sharova E.V., Odinets I.L., Lenevich S.V., Morgalyuk V.P., Tananaev I.G., Pribulova G.A., Myasoedova G.V., Mastryukova T.A., Myasoedov B.F. // Russ. Chem. Bull. 2004. Vol. 53. N 11. P. 2499. doi: 10.1007/s11172-005-0146-2
- Артюшин О.И., Шарова Е.В., Одинец И.Л., Лысенко К.А., Голованов Д.Г., Мастрюкова Т.А., Прибылова Г.А., Тананаев И.Г., Мясоедова Г.В. // Изв. АH. Сер. xим. 2006. Т. 55. № 8. С. 1387; Artyushin O.I., Sharova E.V., Odinets I.L., Lyssenko K.A., Golovanov D.G., Mastryukova T.A., Pribulova G.A., Tananaev I.G., Myasoedova G.V. // Russ. Chem. Bull. 2006. Vol. 55. N 8. P. 1440. doi: 10.1007/s11172-006-0437-2
- Туранов А.Н., Карандашев В.К., Харитонов А.В., Лежнев А.Н., Сафронова З.В., Яркевич А.Н., Цветков Е.Н. // ЖОХ. 1999. Т. 69. № 7. С. 1109; Turanov A.N., Karandashev V.K., Kharitonov A.N., Lezhnev A.N., Safronova Z.V., Yarkevich A.N., Tsvetkov E.N. // Russ. J. Gen. Chem. 1999. Vol. 69. N 7. P. 1068.
- Turanov A.N., Karandashev V.K., Sharova E.V., Artyushin O.I., Odinets I.L. // Solvent Extr. Ion Exch. 2010. Vol. 28. N 5. P. 579. doi: 10.1080/07366299.2010.499297
- Яркевич А.Н., Брель В.К., Махаева Г.Ф., Серебрякова О.Г., Болтнева Н.П., Ковалева Н.В. // ЖОХ. 2015. Т. 85. № 7. С. 1120; Yarkevich A.N., Brel V.K., Makhaeva G.F., Serebryakova O.G., Boltneva N.P., Kovaleva N.V. // Russ. J. Gen. Chem. 2015. Vol. 85. N 7. P. 1644. doi: 10.1134/S1070363215070129
- Danesi P.R., Chiarizia R., Scibona G. // J. Inorg. Nucl. Chem. 1973. Vol. 35. N 11. P. 3926. doi: 10.1016/0022-1902(73)80089-2
Supplementary files










