Derivatives of (–)-Cytisine with Thiourea Fragment. Synthesis and Antiviral Activity
- Autores: Kovalskaya A.V.1, Lobov A.N.1, Zarubaev V.V.2, Tsypysheva I.P.1
-
Afiliações:
- Ufa Federal Research Center of the Russian Academy of Sciences
- Saint Petersburg Pasteur Institute
- Edição: Volume 94, Nº 6 (2024)
- Páginas: 712-721
- Seção: Articles
- URL: https://ogarev-online.ru/0044-460X/article/view/269852
- DOI: https://doi.org/10.31857/S0044460X24060054
- EDN: https://elibrary.ru/EZGYGT
- ID: 269852
Citar
Texto integral
Resumo
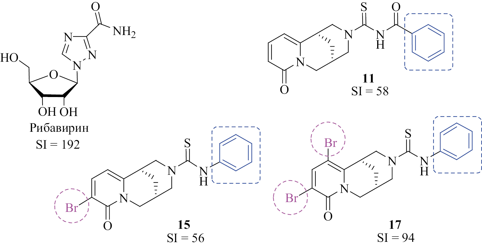
New derivatives of the quinolizidine alkaloid, (–)-cytisine, with a substituted 2-pyridone ring and a thiourea moiety in the bispidin fragment of the molecule were synthesized. The ability of the synthesized cytisine-containing thioureas to inhibit the reproduction of human parainfluenza virus type 3 was assessed. It was found that the derivatives obtained by the reaction of benzoyl or phenyl isothiocyanate with (–)-cytisine, as well as its 9-bromo or 9,11-derivative, effectively suppress the reproduction of human parainfluenza virus type 3 (their selectivity indices are 56, 58 and 95, respectively), which confirms the promise of the chosen approach to synthetic modifications of the alkaloid (–)-cytisine in order to obtain effective antiviral agents on its basis.
Palavras-chave
Texto integral
ВВЕДЕНИЕ
Согласно статистике, вирусные инфекции дыхательных путей, вызываемые более чем 200 известными респираторными вирусами, относящимися к семействам Adenoviridae, Orthomyxoviridae, Paramyxoviridae, Picornaviridae и Coronaviridae [1], являются наиболее распространенными сезонными заболеваниями. Одно из этих семейств – Paramyxoviridae, включает опасные вирусы парагриппа человека (HPIVs), вызывающие у пациентов заболевания, осложняющиеся ларинготрахеобронхитом и пневмонией [2, 3], наиболее тяжело протекающие у детей дошкольного возраста [2, 4]. Поскольку прямая химиотерапия инфекций, вызванных HPIVs, отсутствует, попытки применения для этой цели известных противовирусных средств предпринимаются регулярно, однако, и рибавирин (противовирусный препарат широкого спектра действия), и занамивир (противогриппозный препарат) оказались активными только in vitro [1, 5]. В свете этих обстоятельств поиск новых противовирусных агентов, активных в отношении HPIVs, остается одной из актуальных задач глобального здравоохранения.
С другой стороны, известно, что спектр биологической активности производных тиомочевины более, чем широк (в первую очередь, за счет их способности участвовать в регуляции наиболее важных функции человеческого организма), что является причиной непрекращающегося интенсивного поиска новых противовирусных средств на основе этого класса органических соединений. Так, среди органических производных тиомочевины в течение последних нескольких десятилетий были обнаружены ненуклеозидные ингибиторы обратной транскриптазы вируса иммунодефицита человека (HIVs, Retroviridae) [6–9], ингибиторы репродукции вируса гепатита С (HCV, Hepandoviridae) [10], герпеса (HSV, Herpesviridae) [11, 12], вируса Коксаки, энтеровируса ECHO, риновируса HRV (Picornaviridae) [13, 14], вируса лихорадки Западного Нила (Flaviviridae) [15], арбовируса Чикунгунья (Togaviridae) [16], вируса осповакцины (Poxviridae) [17], вируса энцефалита Ла-Кросс (Bunyaviridae) [18], а также гриппа A(H1N1) (Orthomyxoviridae) [19, 20]. Кроме того, результаты наших собственных исследований показали, что производные хинолизидинового алкалоида (–)-цитизина также обладают выраженной противовирусной активностью [21–24].
Поэтому целью настоящей работы является синтез новых производных (–)-цитизина, содержащих фрагменты замещенных тиомочевин, с параллельной оценкой их способности ингибировать репродукцию вируса парагриппа 3 типа (HPIV3) in vitro.
РЕЗУЛЬТАТЫ И ОБСУЖДЕНИЕ
Хинолизидиновый алкалоид – (–)-цитизин 1 (вторичный метаболит растений семейства Fabaceae [25]) – использован в качестве исходного соединения, 3-N-замещенные производные алкалоида 1 (аллилцитизин 2, бензилцитизин 3 и 9-нитро-, 9-бром-, 9,11-дибром- и 11-хлорпроизводные 4–7) синтезированы согласно методикам, описанным в работах [26–28]. Тиомочевины 8–11 получены в соответствии с работами [29–31]. Взаимодействие производных 4–7 с аллил- и фенилизотиоцианатом в кипящем бензоле позволило получить новые цитизинзамещенные мочевины 12–19 с выходами от 75 до 96% (схема 1). Контроль за ходом реакции осуществляли методом тонкослойной хроматографии (ТСХ), соединения выделены методом колоночной хроматографии на SiO2. Строение новых тиомочевин 12–19 установлено на основании данных элементного анализа, ЯМР и ИК спектроскопии.
Схема 1
Далее была проведена оценка цитотоксичности (микротетразолиевый тест, МТТ) и способности тиомочевин 8–19 подавлять репродукцию вируса парагриппа человека HPIV3. В качестве препарата сравнения использовали рибавирин (из-за широты его противовирусных свойств [32]); для каждого образца определены значения CC50, IC50 и рассчитаны индексы селективности SI (отношение CC50/IC50). Данные о цитотоксичности и противовирусной активности соединений 8–19 представлены в табл. 1.
Таблица 1. Активность соединений 8–19 в отношении вируса HPIV3
№ | R1 | R2 | R3 | HPIV3a | ||
CC50, мкМб | IC50, мкМв | SIг | ||||
8 | H | H | (CS)NH2 | >2008 | 2008±168 | 1 |
9 | H | H | (CS)NHAll | 1076±93 | 80±10 | 14 |
10 | H | H | (CS)NHPh | 1046±98 | 523±61 | 2 |
11 | H | H | (CS)NH(CO)Ph | 1144±79 | 20±3 | 58 |
12 | NO2 | H | (CS)NHAll | 512±48 | 509±42 | 1 |
13 | NO2 | H | (CS)NHPh | 377±21 | 135±20 | 3 |
14 | Br | H | (CS)NHAll | 121±9 | 25±4 | 5 |
15 | Br | H | (CS)NHPh | 304±17 | 5±1 | 56 |
16 | Br | Br | (CS)NHAll | 355±27 | 314±24 | 1 |
17 | Br | Br | (CS)NHPh | 500 | 2.5 | 94 |
18 | H | Cl | (CS)NHAll | 192.4 | 170 | 1.1 |
19 | H | Cl | (CS)NHPh | 227 | 170 | 1.3 |
Рибавиринд | >2049 | 11±2 | 192 | |||
a Вирус парагриппа человека (HPIV) тип 3 (штамм HA1).
б CC50 – цитотоксическая концентрация, мкM.
в IC50 – 50%-ная ингибирующая концентрация, мкM.
г SI – индекс селективности, отношение CC50/IC50.
д Препарат сравнения.
Согласно полученным результатам, почти все соединения проявили низкую или умеренную цитотоксичность (их значения CC50 находятся в интервале от 304 до 2008 мкМ). Лишь тиокарбоксамиды 14, 18 и 19 (18 и 19 содержат в положении 11 атом хлора) продемонстрировали значения CC50, равные 121, 192 и 227 мкМ соответственно.
Установлено, что тиомочевины 9, 10 и 12, 13 (с нитрогруппами в положении 9 2-пиридонового ядра), а также 11-хлорпроизводные 18 и 19 не проявляют противовирусной активности (табл. 1). Выраженная способность ингибировать репродукцию вируса HPIV3 обнаружена у бензоилтиомочевины 11, 9-бромфенилтиомочевины 15 и 9,11-дибромфенилтиомочевины 17: их ингибирующие концентрации IC50 составляют 20, 5 и 2.5 мкМ; индексы селективности (SI) равны 58, 56 и 94 соответственно. В то же время, индекс селективности соединений 11, 15 и 17 несколько ниже, чем у препарата сравнения рибавирина (SI рибавирина составляет 192, табл. 1, схема 2).
Схема 2
Таким образом, среди протестированных соединений противовирусной активностью обладают производные с атомами брома в 2-пиридоновом ядре исходного (–)-цитизина и/или с бензоил- или фенилтиомочевинным фрагментом в биспидиновой части молекулы. Значение индекса селективности наиболее активного соединения 17, (1S,5R)-9,11-дибром-8-оксо-N-фенил-1,5,6,8-тетрагидро-2H-1,5-метанопиридо[1,2-a][1, 5]диазоцин-3(4H)-карботиоамида, близко к 100.
ВЫВОДЫ
Синтезированы новые производные хинолизидинового алкалоида (–)-цитизина с тиомочевинными фрагментами. Проведена оценка их способности ингибировать репродукцию вируса парагриппа человека типа 3. Найдены три соединения – продукты взаимодействия (–)-цитизина с бензоилизотиоцианатом и 9-бром- и 9,11-дибромцитизина с фенилизотиоцианатом, которые проявили заметную противовирусную активность с индексами селективности 56, 58 и 94 соответственно. Показано, что комбинация электрофильного бромирования 2-пиридонового ядра (–)-цитизина с введением в биспидиновую часть молекулы фенил- (или бензоил-) тиомочевинного фрагмента приводит к проявлению противовирусных свойств, что может стать основой для дальнейшего поиска новых противовирусных агентов на основе производных хинолизидинового алкалоида (–)-цитизина.
ЭКСПЕРИМЕНТАЛЬНАЯ ЧАСТЬ
В качестве исходного материала использованы коммерчески доступные (–)-цитизин (CAS 485-35-8), аллилизотиоцианат (CAS 57-06-7) и фенилизотиоцианат (CAS 103-72-0). Физико-химические характеристики соединений 2–4, 6–9 и 10–13 соответствовали литературным данным [26–31].
Контроль за ходом реакций осуществляли методом ТСХ на пластинах ALUGRAM®. Колоночная хроматография выполнена на силикагеле (0.05–0.1 мм) (MACHEREY-NAGEL, Germany). Температуры плавления определены на аппарате Boetius PHMK 05 VEB Wagetechnik Rapido (Radebeul). Оптическое вращение измерено на цифровом поляриметре PerkinElmer 341 LC с натриевой лампой (длина волны D-линии – 589 нм). Элементный анализ выполнен на CHNS анализаторе Euro 3000 (Hekatech). Спектры ЯМР 1Н, 15N и 13С записаны в дейтерированном ДМСО на импульсном спектрометре Bruker Avance III с рабочей частотой 500.13 (1H) и 125.47 МГц (13C).
(1R,5R)-N-Аллил-9-нитро-8-оксо-1,5,6,8-тетрагидро-2H-1,5-метанопиридо[1,2-a][1, 5]диазоцин-3(4H)-карботиоамид (12). Смесь 9-нитроцитизина 4 (0.2 г, 0.85 ммоль) и аллилизотиоцианата (0.08 г, 0.85 ммоль) кипятили в бензоле (20 мл). После завершения реакции (контроль по ТСХ) реакционную смесь концентрировали, остаток хроматографировали на SiO2 (CHCl3:MeOH = 97:3). Выход 71% (0.20 г), [α]D20 –330.0 (ДМСО, с = 0.9), желтые кристаллы, т. пл. 207°С (MeOH), Rf 0.57 (ацетон). ИК спектр (пленка), ν, см–1: 3337, 3070, 2929, 1668, 1552, 1471, 1426, 1407, 1343, 1318, 1294, 1260, 1221, 1174, 1156, 1124, 1091, 1064, 1038, 1002, 918, 852, 778, 683, 626. Спектр ЯМР 1H (ДМСО-d6), δ, м. д. (J, Гц): 1.95 д. т. т (1H, H12син, 2J 12.7, 3J12син-1 3.4, 3J12син-5 3.4, 4J12син-4эндо 1.7, 4J12син-2эндо 1.7), 2.03 д. т. д (1H, H12анти, 2J 12.7, 3J12анти-1 3.3, 3J12анти-5 3.3, 4J12анти-6эндо 1.3), 2.58 м (1H, H5), 3.17 д. д. д (1H, H4экзо, 2J 13.3, 3J4экзо-5 2.1, 4J4экзо-6экзо 1.2), 3.30 д. д (1H, H2экзо, 2J 13.3, 3J2экзо-1 2.5), 3.38 м (1H, H1), 3.80 д. д. д (1H, H6экзо, 2J 15.8, 3J6экзо-5 6.5, 4J6экзо-4экзо 1.2), 3.90 д. д. т (1H, H1′A, 2J 15.8, 3J1′A-2′ 5.1, 4J1′A-3′цис 1.6, 4J1′A-3′транс 1.6), 4.10 д. д. т (1H, H1′B, 2J 15.8, 3J1′B-2′ 5.1, 4J1′B-3′цис 1.6, 4J1′B-3транс 1.6), 4.17 д. т (1H, H6эндо, 2J 15.8, 3J6эндо-5 1.0, 4J6эндо-12анти 1.0), 4.82 д. к (1H, H3′транс, 2J 1.6, 3J3транс-2′ 17.1, 4J3′транс-1′A 1.6, 4J3′транс-1′B 1.6), 4.88 д. д. т (1H, H2эндо, 2J 13.3, 3J2эндо-1 3.1, 4J2эндо-4эндо 1.7, 4J2эндо-12син 1.7), 4.89 д. к (1H, H3′цис, 2J 1.6, 3J3′цис-2′ 10.6, 4J3′транс-1′A 1.6, 4J3′цис-1′B 1.6), 4.93 д. д. т (1H, H4эндо, 2J 13.3, 3J4эндо-5 3.3, 4J4эндо-2эндо 1.7, 4J4эндо-12син 1.7), 5.64 д. д. т (1H, H2′, 3J2′-3′транс 17.1, 3J2′-3′цис 10.6, 3J2′-1′A 5.1, 3J2′-1′B 5.1), 6.44 д (1H, 3J11-10 8.2, H11), 8.36 д (1H, H10, 3J10-11 8.2). Спектр ЯМР 13C (ДМСО-d6), δС, м. д.: 24.9 (C12), 27.6 (C5), 35.7 (C1), 47.6 (C1′), 50.0 (C6), 52.8 (C4), 53.3 (C2), 104.5 (C11), 115.2 (C3′), 134.6 (C9), 135.3 (C2′), 138.1 (C10), 154.7 (C8), 159.2 (C11a), 182.4 (C=S). Спектр ЯМР 15N (ДМСО-d6), δN, м. д.: 111.1 (NH), 190.4 (N7), 368.3 (NO2). Найдено, %: C 53.87; H 5.44; N 16.75; S 9.58. C15H18N4O3S. Вычислено, %: C 53.88; H 5.43; N 16.76; S 9.59.
(1R,5S)-9-Нитро-8-оксо-N-фенил-1,5,6,8-тетрагидро-2H-1,5-метанопиридо[1,2-a][1, 5]диазоцин-3(4H)-карботиоамид (13) получали аналогично из 9-нитроцитизина 4 (0.2 г, 0.85 ммоль) и фенилизотиоцианата (0.11 г, 0.85 ммоль). Продукт 13 выделен методом колоночной хроматографии на SiO2 (EtOAc). Выход 85% (0.27 г), [α]D20 –99.0 (ДМСО, с = 0.51), желтые кристаллы, т. пл. 184°С (EtOAc), Rf 0.6 (ацетон). ИК спектр (пленка), ν, см–1: 3268, 1668, 1553, 1524, 1501, 1464, 1456, 1446, 1426, 1407, 1386, 1377, 1361, 1346, 1339, 1332, 1315, 1298, 1259, 1229, 1222, 1157, 1104, 1038, 1002, 946, 920, 806, 792, 702, 611. Спектр ЯМР 1H (ДМСО-d6), δ, м. д. (J, Гц): 1.97 д. т. т (1Н, H12син, 2J 12.7, 3J12син-1 3.4, 3J12син-5 3.4, 4J12син-4эндо 1.7, 4J12син-2эндо 1.7), 2.07 д. т. д (1Н, H12анти, 2J 12.7, 3J12анти-1 3.3, 3J12анти-5 3.3, 4J12анти-6эндо 1.3), 2.59 м (1Н, H5), 3.29 д. д. д (1Н, H4экзо, 2J 13.3, 3J4экзо-5 2.1, 4J4экзо-6экзо 1.2), 3.39 м (1Н, H1), 3.43 д. д (1Н, H2экзо, 2J 13.1, 3J2экзо-1 2.5), 3.77 д. д. д (1Н, H6экзо, 2J 15.3, 3J6экзо-5 6.5, 4J6экзо-4экзо 1.2), 4.36 д. т (1Н, H6эндо, 2J 15.3, 3J6эндо-5 1.0, 4J6эндо-12анти 1.0), 4.87 д. д. т (1Н 2J 13.1, 3J2эндо-1 3.1, 4J2эндо-4эндо 1.7, 4J2эндо-12син 1.7, Hэндо-2), 5.03 д. д. т (1Н, H4эндо, 2J 13.3, 3J4эндо-5 3.3, 4J4эндо-2эндо 1.7, 4J4эндо-12син 1.7), 6.44 д (1Н, H11, 3J11-10 8.2), 6.91 д. д (2Н, H2′(6′), 3J2′(6′)-3′(5′) 8.5, 4J2′(6′)-4′ 1.3), 7.05 т. т (1Н, H4′, 3J4′-3′(5′) 7.4, 4J4′-2′(6′) 1.3), 7.18 д. д (2Н, H3′(5′), 3J3′(5′)-2′(6′) 8.5, 3J3′(5′)-4′ 7.4), 8.32 д (1Н, H10, 3J10-11 8.2). Спектр ЯМР 13C (ДМСО-d6) δС, м. д.: 25.0 (C12), 28.1 (C5), 36.0 (C1), 49.9 (C6), 53.5 (C4), 54.3 (C2), 104.7 (C11), 124.9 (C4′), 125.5 (C2′(6′)), 128.4 (C3′(5′)), 134.9 (C9), 137.9 (C10), 141.0 (C1′), 154.8 (C8), 158.9 (C11a), 182.7 (C=S). Найдено, %: С 58.38; Н 4.91; N 15.11; S 8.66. C18H18N4O3S. Вычислено, %: С 58.36; Н 4.90; N 15.13; S 8.65.
(1S,5R)-N-Аллил-9-бром-8-оксо-1,5,6,8-тетрагидро-2H-1,5-метанопиридо[1,2-a][1, 5]диазоцин-3(4H)-карботиоамид (14) получали аналогично из 9-бромцитизина 5 (0.2 г, 0.74 ммоль) и аллилизотиоцианата (0.07 г, 0.74 ммоль). Продукт 14 выделен методом колоночной хроматографии на SiO2 (EtOAc). Выход 92% (0.25 г), [α]D20 –95.0 (CH3OН, с = 0.57), белые кристаллы, т. пл. 189–190°С (EtOAc), Rf 0.43 (ацетон). ИК спектр (пленка), ν, см–1: 3276, 1640, 1577, 1539, 1464, 1456, 1436, 1377, 1339, 1328, 1303, 1264, 1245, 1212, 1152, 1110, 1088, 959, 901, 879, 721, 609. Спектр ЯМР 1H (ДМСО-d6), δ, м. д. (J, Гц): 1.89 м (1Н, H12син), 1.96 м (1Н, H12анти), 2.52 м (1Н, H5), 3.10 д. д. д (1Н, H4экзо, 2J 13.2, 3J4экзо-5 2.1, 4J4экзо-6экзо 1.4), 3.19 д. д (1Н, H2экзо, 2J 13.4, 3J2экзо-1 2.3), 3.21 м (1Н, H1), 3.74 д. д. д (1Н, H6экзо, 2J 15.6, 3J6экзо-5 6.6, 4J6экзо-4экзо 1.4), 3.91 д. т. т (1Н, H1′A, 2J 15.9, 3J1′A-NH 5.3, 3J1′A-2′ 5.3, 4J1′A-3′цис 1.6, 4J1′A-3′транс 1.6), 4.08 д. т (1Н, H6эндо, 2J 15.6, 3J6эндо-5 1.1, 4J6эндо-12анти 1.1), 4.15 д. т. т (1Н, H1′B, 2J 15.9, 3J1′B-NH 5.3, 3J1′B-2′ 5.3, 4J1′B-3′цис 1.6, 4J1′B-3′транс 1.6), 4.79 д. д. т (1Н, H2эндо, 2J 13.4, 3J2эндо-1 3.1, 4J2эндо-4эндо 1.7, 4J2эндо-12син 1.7), 4.82 д. к (1Н, H3′транс, 2J 1.6, 3J3′транс-2′ 17.1, 4J3′транс-1′A 1.6, 4J3′транс-1′B 1.6), 4.92 д. к (1Н, H3′цис, 2J 1.6, 3J3′цис-2′ 10.4, 4J3′транс-1′A 1.6, 4J3′цис-1′B 1.6), 4.96 д. д. т (1Н, H4эндо, 2J 13.2, 3J4эндо-5 3.2, 4J4эндо-2эндо 1.7, 4J4эндо-12син 1.7), 5.66 д. д. т (1Н, H2′, 3J2′-3′транс 17.1, 3J2′-3′цис 10.4, 3J2′-1′A 5.1, 3J2′-1′B 5.1), 6.15 д (1Н, H11, 3J11-10 7.6), 7.77 т (1Н, NH, 3JNH-1′A 5.3, 3JNH-1′B 5.3), 7.80 д (1Н, H10, 3J10-11 7.6). Спектр ЯМР 13C (ДМСО-d6), δС, м. д.: 24.9 (C12), 27.3 (C5), 34.0 (C1), 47.3 (C1′), 49.5 (C6), 52.5 (C4), 53.4 (C2), 105.1 (C11), 110.8 (C9), 114.5 (C3′), 135.1 (C2′), 140.7 (C10), 149.5 (C11a), 158.1 (C8), 182.2 (C=S). Спектр 15N ЯМР (ДМСО-d6), δN, м. д.: 104.4 (N3), 111.7 (NH), 175.6 (N7). Найдено, %: С 48.90; Н 4.94; Br 21.73; N 11.40; S 8.69. C15H18BrN3OS. Вычислено, %: С 48.92; Н 4.93; Br 21.70; N 11.41; S 8.71.
(1S,5R)-9-Бром-8-оксо-N-фенил-1,5,6,8-тетрагидро-2H-1,5-метанопиридо[1,2-a][1, 5]диазоцин-3(4H)-карботиоамид (15) получали аналогично из 9-бромцитизина 5 (0.2 г, 0.74 ммоль) и фенилизотиоцианата (0.1 г, 0.74 ммоль). Выпавший осадок отфильтровывали, промывали бензолом (3×10 мл) и сушили. Выход 84% (0.25 г), [α]D20 –5.0 (ДМСО, с = 0.93), белые кристаллы, т. пл. 229°С (MeOH), Rf 0.5 (ацетон). ИК спектр (пленка), ν, см–1: 3209, 3032, 1639, 1597, 1575, 1534, 1497, 1462, 1410, 1377, 1352, 1326, 1302, 1261, 1150, 1102, 1087, 960, 942, 724, 610. Спектр ЯМР 1H (ДМСО-d6), δ, м. д. (J, Гц): 1.94 м (1Н, H12син), 2.05 м (1Н, H12анти), 2.55 м (1Н, H5), 3.22 м (1Н, H1), 3.25 д. д. д (1Н, H4экзо, 2J 13.2, 3J4экзо-5 2.1, 4J4экзо-6экзо 1.4), 3.35 д. д (1Н, H2экзо, 2J 13.4, 3J2экзо-1 2.3), 3.74 д. д. д (1Н, H6экзо, 2J 15.6, 3J6экзо-5 6.6, 4J6экзо-4экзо 1.4), 4.32 д. т (1Н, H6эндо, 2J 15.6, 3J6экзо-5 1.1, 4J6экзо-12анти 1.1), 4.81 д. д. т (1Н, H2эндо, 2J 13.4, 3J2эндо-1 3.1, 4J2эндо-4эндо 1.7, 4J2эндо-12син 1.7), 5.11 д. д. т (1Н, H4эндо, 2J 13.2, 3J4эндо-5 3.2, 4J4эндо-2эндо 1.7, 4J4эндо-12син 1.7), 6.13 д (1Н, H11, 3J11-10 7.6), 6.97 д (1Н, H2′(6′), 3J 7.7), 7.04 т (1Н, H4′, 3J 7.3), 7.20 д. д (1Н, H3″(5′), 3J 7.7, 3J 7.3), 7.75 д (1Н, H10, 3J10-11 7.6), 9.01 уш. с (1Н, NH). Спектр ЯМР 13C (ДМСО-d6), δС, м. д.: 25.3 (C12), 27.7 (C5), 34.7 (C1), 49.5 (C6), 53.3 (C2), 54.6 (C4), 105.2 (C11), 111.0 (C9), 124.2 (C4′), 125.1 (C2′(6′)), 127.8 (C3′(5′)), 140.6 (C10), 141.0 (C1′), 149.3 (C11a), 158.3 (C8), 182.9 (C=S). Спектр 15N ЯМР (ДМСО-d6), δN, м. д.: 127.2 (NH), 175.2 (N7). Найдено, %: С 53.45; Н 4.50; Br 19.79; N 10.340; S 7.91. C18H18BrN3OS. Вычислено, %: С 53.47; Н 4.49; Br 19.76; N 10.39; S 7.93.
(1R,5R)-N-Аллил-9,11-дибром-8-оксо-1,5,6,8-тетрагидро-2H-1,5-метанопиридо[1,2-a][1, 5]диазоцин-3(4H)-карботиоамид (16) получали аналогично из 9,11-дибромцитизина 6 (0.2 г, 0.57 ммоль) и аллилизотиоцианата (0.056 г, 0.57 ммоль). Продукт 16 выделен методом колоночной хроматографии на SiO2 (EtOAc). Выход 91% (0.23 г), [α]D20 –78.0 (ДМСО, с = 1.04), аморфное вещество, Rf 0.56 (ацетон). ИК спектр (пленка), ν, см–1: 3250, 1635, 1568, 1540, 1518, 1457, 1411, 1400, 1377, 1357, 1334, 1327, 1303, 1263, 1241, 1213, 1144, 1097, 957, 856, 759, 738, 705, 658, 600. Спектр ЯМР 1H (ДМСО-d6), δ, м. д. (J, Гц): 1.93 д. т. т (1Н, H12син, 2J 12.7, 3J12син-1 3.4, 3J12син-5 3.4, 4J12син-4эндо 1.7, 4J12син-2эндо 1.7), 2.06 д. т. д (1Н, H12анти, 2J 12.7, 3J12анти-1 3.3, 3J12анти-5 3.3, 4J12анти-эндо 1.3), 2.51 м (1Н, H5), 3.17 д. д. д (1Н, H4экзо, 2J 13.3, 3J4экзо-5 2.1, 4J4экзо-6экзо 1.2), 3.18 д. д (1Н, H2экзо, 2J 13.2, 3J2экзо-2 2.5), 3.43 м (1Н, H1), 3.77 д. д. д (1Н, H6экзо, 2J 15.4, 3J6экзо-5 6.5, 4J6экзо-4экзо 1.2), 3.95 д. д. т (1Н, H1′A, 2J 15.8, 3J1′A-2′ 5.1, 4J1′A-3′цис 1.6, 4J1′A-3′транс 1.6), 4.08 д. д. т (1Н, H1′B, 2J 15.8, 3J1′B-2′ 5.1, 4J1′B-3′цис 1.6, 4J1′B-3′транс 1.6), 4.11 д. т (1Н, H6эндо, 2J 15.4, 3J6эндо-5 1.0, 4J6эндо-12анти 1.0), 4.75 д. д. т (1Н, H4эндо, 2J 13.3, 3J4эндо-5 3.3, 4J4эндо-2эндо 1.7, 4J4эндо-12син 1.7), 4.84 д. к (1Н, H3′транс, 2J 1.6, 3J3транс-2′ 17.1, 4J3′транс-1′A 1.6, 4J3′транс-1′B 1.6), 4.94 д. к (1Н, H3′цис, 2J 1.6, 3J3′цис-2′ 10.6, 4J3′цис-1′A 1.6, 4J3′цис-1′B 1.6), 5.09 д. д. т (1Н, H2эндо, 2J 13.2, 3J2эндо-1 3.1, 4J2эндо-4эндо 1.7, 4J2эндо-12син 1.7), 5.66 д. д. т (1Н, H2′, 3J2′-3′транс 17.1, 3J2′-3′цис 10.6, 3J2′-1′A 5.1, 3J2′-1′B 5.1), 8.07 с (1Н, H10). Спектр ЯМР 13C (ДМСО-d6), δС, м. д.: 25.1 (C12), 27.2 (C5), 34.3 (C1), 47.1 (C1′), 50.8 (C6), 50.8 (C2), 51.6 (C4), 97.5 (C11), 111.7 (C9), 114.7 (C3′), 134.9 (C2′), 143.2 (C10), 146.3 (C11a), 157.6 (C8), 182.1 (C=S). Спектр 15N ЯМР (ДМСО-d6), δN, м. д.: 110.6 (NH), 177.5 (N7). Найдено, %: С 40.31; Н 3.82; Br 35.75; N 9.420; S 7.19. C15H17Br2N3OS. Вычислено, %: С 40.29; Н 3.83; Br 35.74; N 9.40; S 7.17.
(1S,5R)-9,11-Дибром-8-оксо-N-фенил-1,5,6,8-тетрагидро-2H-1,5-метанопиридо[1,2-a][1, 5]диазоцин-3(4H)-карботиоамид (17) получали аналогично из 9,11-дибромцитизина 6 (0.2 г, 0.57 ммоль) и фенилизотиоцианата (0.076 г, 0.57 ммоль. Продукт 17 выделен методом колоночной хроматографии на SiO2 (EtOAc). Выход 98% (0.27 г), [α]D20 –87.0 (ДМСО, с = 1.12), аморфное вещество, Rf 0.55 (ацетон). ИК спектр (пленка), ν, см–1: 3292, 2940, 1643, 1596, 1546, 1518, 1406, 1320, 1260, 1225, 1181, 1143, 1112, 1069, 1032, 913, 848, 800, 734, 701, 665, 536. Спектр ЯМР 1H (ДМСО-d6), δ, м. д. (J, Гц): 1.98 д. т. т (1Н, H12син, 2J 12.9, 3J12син-1 3.4, 3J12син-5 3.4, 4J12син-4эндо 1.7, 4J12син-4эндо 1.7), 2.13 д. т. д (1Н, H12анти, 2J 12.9, 3J12анти-1 3.1, 3J12анти-5 3.1, 4J12анти-6эндо 1.0), 2.55 м (1Н, H5), 3.33 д. д. д (1Н, H4экзо, 2J 13.0, 3J4экзо-5 2.3, 4J4экзо-6экзо 1.0), 3.35 д. д (1Н, H2экзо, 2J 13.2, 3J2экзо-1 2.3), 3.48 м (1Н, H1), 3.76 д. д. д (1Н, H6экзо, 2J 15.5, 3J6экзо-5 6.6, 4J6экзо-4экзо 1.0), 4.33 д. т (1Н, H6эндо, 2J 15.5, 3J6эндо-5 1.1, 4J6эндо-12анти 1.1), 4.94 д. д. т (1Н, H4эндо, 2J 13.0, 3J4эндо-5 3.2, 4J4эндо-2эндо 1.7, 4J4эндо-12син 1.7), 5.06 д. д. т (1Н, H2эндо, 2J 13.2, 3J2эндо-1 3.1, 4J2эндо-4эндо 1.7, 4J2эндо-12син 1.7), 6.92 д. д (2Н, H2′(6′), 3J2′(6′)-3′(5′) 8.7, 4J2′(6′)-4′ 1.3), 7.08 т. т (1Н, H4′, 3J4′-3′(5′) 7.1, 4J4′-2′(6′) 1.3), 7.23 д. д (2Н, H3′(5′), 3J3′(5′)-2′(6′) 8.7, 3J3′(5′)-4′ 7.1), 8.07 с (1Н, H10). Спектр ЯМР 13C (ДМСО-d6), δС, м. д.: 25.2 (C12), 27.6 (C5), 34.7 (C1), 50.7 (C6), 51.4 (C2), 52.6 (C4), 97.9 (C11), 111.9 (C9), 124.3 (C4′), 124.8 (C2′(6′)), 128.0 (C3′(5′)), 140.7 (C1′), 143.2 (C10), 145.9 (C11a), 157.8 (C8), 182.3 (C=S). Спектр 15N ЯМР (ДМСО-d6), δN, м. д.: 126.7 (NH). Найдено, %: С 44.73; Н 3.57; Br 33.09; N 8.72; S 6.60. C18H17Br2N3OS. Вычислено, %: С 44.74; Н 3.55; Br 33.07; N 8.70; S 6.63.
(1S,5R)-N-Аллил-11-хлор-8-оксо-1,5,6,8-тетрагидро-2H-1,5-метанопиридо[1,2-a][1, 5]диазоцин-3(4H)-карботиоамид (18) получали аналогично из 11-хлороцитизина 7 (0.2 г, 0.78 ммоль) и аллилизотиоцианата (0.05 г, 0.78 ммоль). Продукт 18 выделен методом колоночной хроматографии на SiO2 (EtOAc). Выход 75% (0.21 г), [α]D20 –142.0 (ДМСО, с = 0.29), аморфное вещество, Rf 0.57 (ацетон). ИК спектр (пленка), ν, см–1: 3316, 1650, 1569, 1544, 1524, 1461, 1401, 1377, 1340, 1325, 1308, 1262, 1244, 1186, 1167, 1149, 1114, 1085, 1030, 990, 968, 922, 827, 722, 692, 640, 557. Спектр ЯМР 1H (ДМСО-d6), δ, м. д. (J, Гц): 1.92 д. т. т (1Н, H12син, 2J 13.2, 3J12син-1 3.4, 3J12син-5 3.4, 4J12син-4эндо 1.7, 4J12син-4эндо 1.7), 2.07 д. т. д (1Н, H12анти, 2J 13.2, 3J12анти-1 3.1, 3J12анти-5 3.1, 4J12анти-6эндо 1.0), 2.55 м (1Н, H5), 3.18 д. д. д (1Н, H4экзо, 2J 13.2, 3J4экзо-5 2.1, 4J4экзо-6экзо 1.2), 3.20 д. д (1Н, H2экзо, 2J 13.0, 3J2экзо-1 2.5), 3.49 м (1Н, H1), 3.77 д. д. д (1Н, H6экзо, 2J 15.7, 3J6экзо-5 6.5, 4J6экзо-4экзо 1.2), 3.95 д. т. т (1Н, H1′A, 2J 16.0, 3J1′A-2′ 5.5, 4J1′A-3′цис 1.6, 4J1′A-3транс 1.6), 4.08 д. д. т (1Н, H1′B, 2J 16.0, 3J1′B-2′ 5.5, 4J1′B-3′цис 1.6, 4J1′B-3′транс 1.6), 4.13 д. т (1Н, H6эндо, 2J 15.7, 3J6эндо-5 1.0, 4J6эндо-12анти 1.0), 4.78 д. д. т (1Н, H4эндо, 2J 13.2, 3J4эндо-5 2.7, 4J4эндо-2эндо 1.7, 4J4эндо-12син 1.7), 4.83 д. к (1Н, H3′транс, 2J 1.6, 3J3′транс-2′ 17.1, 4J3′транс-1′A 1.6, 4J3′транс-1′B 1.6), 4.94 д. к (1Н, H3′цис, 2J 1.6, 3J3′цис-2′ 10.6, 4J3′цис-1′A 1.6, 4J3′цис-1′B 1.6), 5.05 д. д. т (1Н, H2эндо, 2J 13.0, 3J2эндо-1 2.7, 4J2эндо-4эндо 1.7, 4J2эндо-12син 1.7), 5.66 д. д. т (1Н, H2′, 3J2′-3′транс 17.1, 3J2′-3′цис 10.6, 3J2′-1′A 5.5, 3J2′-1′B 5.5), 7.89 с (1Н, H10). Спектр ЯМР 13C (ДМСО-d6), δС, м. д.: 24.9 (C12), 27.0 (C5), 31.9 (C1), 47.1 (C1′), 50.4 (C6), 50.8 (C2), 51.6 (C4), 108.7 (C11), 114.6 (C3′), 121.1 (C9), 134.9 (C2′), 137.6 (C10), 144.6 (C11a), 157.3 (C8), 182.0 (C=S). Найдено, %: С 55.64; Н 5.59; Cl 10.98; N 12.97; S 9.92. C15H18ClN3OS. Вычислено %: С 55.63; Н 5.60; Cl 10.95; N 12.98; S 9.90.
(1R)-11-Хлор-8-оксо-N-фенил-1,5,6,8-тетрагидро-2H-1,5-метанопиридо[1,2-a][1, 5]диазоцин-3(4H)-карботиоамид (19) получали аналогично из 11-хлорцитизина 7 (0.2 г, 0.78 ммоль) и фенилизотиоцианата (0.1 г, 0.78 ммоль). Продукт 19 выделен методом колоночной хроматографии на SiO2 (EtOAc). Выход 82% (0.26 г), [α]D20 –178.0 (ДМСО, с = 0.92), аморфное вещество, Rf 0.6 (ацетон). ИК спектр (пленка), ν, см–1: 3209, 3029, 1636, 1596, 1573, 1524, 1496, 1456, 1412, 1363, 1326, 1243, 1229, 1201, 1171, 1150, 1111, 1096, 1066, 1028, 1004, 947, 892, 863, 795, 770, 721, 605, 543, 440, 419. Спектр ЯМР 1H (ДМСО-d6), δ, м. д. (J, Гц): 1.97 д. т. т (1Н, H12син, 2J 12.7, 3J12син-1 3.4, 3J12син-5 3.4, 4J12син-4эндо 1.7, 4J12син-2эндо 1.7), 2.14 д. т. д (1Н, H12анти, 2J 12.7, 3J12анти-1 3.3, 3J12анти-5 3.3, 4J12анти-6эндо 1.3), 2.57 м (1Н, H5), 3.34 д. д. д (1Н, H4экзо, 2J 13.3, 3J4экзо-5 2.1, 4J4экзо-6экзо 1.2), 3.36 д. д (1Н, H2экзо, 2J 13.5, 3J2экзо-1 2.5), 2.57 м (1Н, H5), 3.76 д. д. д (1Н, H6экзо, 2J 15.7, 3J6экзо-5 6.5, 4J6экзо-4экзо 1.2), 4.34 д. т (1Н, H6эндо, 2J 15.7, 3J6эндо-5 1.0, 4J6эндо-12анти 1.0), 4.95 д. д. т (1Н, H4эндо, 2J 13.3, 3J4эндо-5 3.3, 4J4эндо-2эндо 1.7, 4J4эндо-12син 1.7), 5.04 д. д. т (1Н, H2эндо, 2J 13.5, 3J2эндо-1 3.1, 4J2эндо-4эндо 1.7, 4J2эндо-12син 1.7), 6.93 д (2Н, H2′, 3J2′-3′ 8.2), 7.08 т (1Н, H4′, 3J4′-3′ 7.3), 7.23 д. д (2Н, H3′, 3J3′-2′ 8.2, 3J3′-4′ 7.5). Спектр ЯМР 13C (ДМСО-d6), δС, м. д.: 25.0 (C12), 27.5 (C5), 32.2 (C1), 50.3 (C6), 51.4 (C2), 52.6 (C4), 108.9 (C11), 121.3 (C9), 124.3 (C4′), 124.9 (C2′(6′)), 128.0 (C3′(5′)), 137.5 (C10), 140.7 (C1′), 144.3 (C11a), 157.4 (C8), 182.3 (C=S). Спектр 15N ЯМР (ДМСО-d6), δN, м. д.: 126.3 (NH). Найдено, %: С 60.10; Н 5.05; Cl 9.84; N 11.71; S 8.90. C18H18ClN3OS. Вычислено, %: С 60.08; Н 5.04; Cl 9.85; N 11.68; S 8.91.
Вирусы и клетки. Использовали вирус парагриппа человека 3-го типа (HPIV3, штамм HA1) из коллекции вирусов НИИ эпидемиологии и микробиологии имени Пастера, Санкт-Петербург, Россия. Вирус культивировали в эмбриональных клетках почки макаки резус MA-104 при 36°C в 5% CO2. Клетки MA-104 в среде MEM для тестирования in vitro высевали на 96-луночные планшеты и инкубировали при 36°C в 5% CO2 до образования однородного монослоя.
Анализ цитотоксичности in vitro. Цитотоксичность соединений изучали в микротетразолиевом тесте (МТТ). Была приготовлена серия трехкратных разведений каждого соединения в среде MEM. Клетки МА-104 инкубировали в течение 96 ч при соответствующих условиях, затем дважды промывали физиологическим раствором с фосфатным буфером (PBS) и добавляли раствор 3-(4,5-диметилтиазолил-2)-2,5-дифенилтетразолия бромида (0.5 мг/мл) в MEM. После 1 ч инкубации лунки промывали PBS, остаток формазана растворяли в 0.1 мл ДМСО на каждую лунку. Оптическую плотность клеток измеряли с помощью планшетного анализатора Multiskan FC (Thermo Scientific) при длине волны 540 нм и строили график зависимости концентрации соединений. Каждую концентрацию производных 8–19 тестировали в трех параллелях. На основании полученных результатов рассчитывали 50%-ную цитотоксическую концентрацию (СС50) (т. е. концентрацию соединения, которая вызывает гибель 50% клеток в культуре, уменьшала оптическую плотность в два раза по сравнению с контрольными лунками) для каждого анализируемого соединения с использованием программного обеспечения GraphPad Prism 6.01.
Противовирусная активность in vitro. Чувствительность HPIV3 к тестируемым соединениям определяли по эффекту цитопротекции, измеряя снижение вирус-индуцированного CPE под их действием. После добавления соединений и 1 ч инкубации клетки заражали HPIV3 (m.o.i. 0.01). После 96 ч инкубации наблюдали за клеточными монослоями в каждой лунке и проводили МТТ-тест. Оптическую плотность среды в каждой лунке определяли при длине волны 540 нм на анализаторе пластин Multiscan FC (Thermo Scientific). На основании полученных результатов рассчитывали 50%-ную ингибирующую концентрацию (IC50), т. е. концентрацию соединения, которая защищала 50% клеток по сравнению с плацебо-контролем. Каждая концентрация соединений тестировалась в трех параллелях. После этого для каждого соединения рассчитывали индекс селективности (SI, отношение CC50 к IC50).
БЛАГОДАРНОСТЬ
Все аналитические эксперименты проведены с использованием оборудования Центров коллективного пользования «Химия» и «Агидель» Уфимского федерального исследовательского центра РАН.
ФИНАНСОВАЯ ПОДДЕРЖКА
Работа выполнена в рамках государственного задания Уфимского института химии Уфимского федерального исследовательского центра Российской академии наук (№ 122031400260-7).
КОНФЛИКТ ИНТЕРЕСОВ
Авторы заявляют об отсутствии конфликта интересов.
Sobre autores
A. Kovalskaya
Ufa Federal Research Center of the Russian Academy of Sciences
Email: tsypysheva.ip@gmail.com
ORCID ID: 0000-0001-7772-2894
Rússia, Ufa
A. Lobov
Ufa Federal Research Center of the Russian Academy of Sciences
Email: tsypysheva.ip@gmail.com
ORCID ID: 0000-0002-9223-508X
Rússia, Ufa
V. Zarubaev
Saint Petersburg Pasteur Institute
Email: tsypysheva.ip@gmail.com
ORCID ID: 0000-0002-6837-5242
Rússia, Saint Petersburg
I. Tsypysheva
Ufa Federal Research Center of the Russian Academy of Sciences
Autor responsável pela correspondência
Email: tsypysheva.ip@gmail.com
ORCID ID: 0000-0002-5025-8742
Rússia, Ufa
Bibliografia
- Abed Y., Boivin G. // Antivir. Res. 2006. Vol. 70. P. 1. doi: 10.1016/j.antiviral.2006.01.006
- Henrickson K.J. // Clin. Microbiol. Rev. 2003. Vol. 16. P. 242. doi: 10.1128/CMR.16.2.242-264.2003
- Weinberg G.A., Hall C.B., Iwane M.K., Poehling K.A., Edwards K.M., Griffin M.R., Staat M.A., Curns A.T., Erdman D.D., Szilagyi P.G. // J. Pediatr. 2009. Vol. 154. P. 694. doi: 10.1016/j.jpeds.2008.11.034
- Denny F.W., Clyde W.A., Jr. // J. Pediatr. 1986. Vol. 108. P. 635. doi: 10.1016/s0022-3476(86)81034-4
- Greengard O., Poltoratskaia N., Leikina E., Zimmerberg J., Moscona A. // J. Virol. 2000. Vol. 74. P. 1108. doi: 10.1128/jvi.74.23.11108-11114.2000
- Ahgren C., Backro K., Bell F.W., Cantrell A.S., Clemens M., Colacino J.M., Deeter J.B., Engelhardt J.A., Hogberg M., Jaskunas S.R. // Antimicrob. Agents Chemother. 1995. Vol. 39. P. 1329. doi: 10.1128/AAC.39.6.1329
- Ren J., Diprose J., Warren J., Esnouf R.M., Bird L.E., Ikemizu S., Slater M., Milton J., Balzarini J., Stuart D.I., Stammers D.K. // J. Biol. Chem. 2000. Vol. 275. P. 5633. doi: 10.1074/jbc.275.8.5633
- Weitman M., Lerman K., Nudelman A., Major D.T., Hizi A., Herschhorn A. // Eur. J. Med. Chem. 2011. Vol. 46. P. 447. doi: 10.1016/j.ejmech.2010.11.003
- Bielenica A., Sanna G., Madeddu S., Struga M., Jóźwiak M., Kozioł A.E., Sawczenko A., Materek I.B., Serra A., Giliberti G. // Chem. Biol. Drug. Des. 2017. Vol. 90. P. 883. doi: 10.1111/cbdd.13009
- Kang I.J., Wang L.W., Lee C.C., Lee Y.C., Chao Y.S., Hsu T.A., Chern J.H. // Bioorg. Med. Chem. Lett. 2009. Vol. 19. P. 1950. doi: 10.1016/j.bmcl.2009.02.048
- Bloom J.D., Di Grandi M.J., Dushin R.G., Curran K.J., Ross A.A., Norton E.B., Terefenko E., Jones T.R., Feld B., Lang S.A. // Bioorg. Med. Chem. Lett. 2003. Vol. 13. P. 2929. doi: 10.1016/s0960-894x(03)00586-9
- Bloom J.D., Dushin R.G., Curran K.J., Donahue F., Norton E.B., Terefenko E., Jones T.R., Ross A.A., Feld B., Lang S.A., Di Grandi M.J. // Bioorg. Med. Chem. Lett. 2004. Vol. 14. P. 340. doi: 10.1016/j.bmcl.2004.04.093
- Galabov A., Shindarov L., Vassilev G., Vassileva R. // Arch. Gesamte. Virusforsch. 1972. Vol. 38. P. 159. doi: 10.1007/BF01249666
- Galabov A.S., Galabov B.S., Neykova N.A. // J. Med. Chem. 1980. Vol. 23. P. 1048. doi: 10.1021/jm00183a016
- Feeny R.M., Le D.N., Parks J.W., Epstein M.G., Pagano J.V., Abbene A.C., Graham E.B., Farrell J.R., McGuire J.R., Zoellner R.W., Valente E.J., Barklis E., Wood W.J.L. // Synlett. 2012. P. 301. doi 10.1055/ s-0031-1290124
- Mishra P., Kumar A., Mamidi P., Kumar S., Basantray I., Saswat T., Das I., Nayak T.K., Chattopadhyay S., Subudhi B.B., Chattopadhyay S. // Sci. Rep. 2016. Vol. 6. P. 20122. doi: 10.1038/srep20122
- Sorodoc Y., Danielescu G., Burducea O., Cajal N., Niclescu-Duvăz I., Baracu I. // Virologie. 1977. Vol. 28. P. 55.
- Burgeson J.R., Moore A.L., Boutilier J.K., Cerruti N.R., Gharaibeh D.N., Lovejoy C.E., Amberg S.M., Hruby D.E., Tyavanagimatt S.R., Allen R.D. 3rd, Dai D. // Bioorg. Med. Chem. Lett. 2012. Vol. 22. P. 4263. doi 10.1016/ j.bmcl.2012.05.035
- Kreutzberger A., Schrӧders H.H. // Tetrahedron Lett. 1970. Vol. 56. P. 4921. doi: 10.1016/s0040-4039(00)99744-2
- Sun J., Cai S., Mei H., Li J., Yan N., Wang Q., Lin Z., Huo D. // Chem. Biol. Drug. Des. 2010. Vol. 76. P. 245. doi: 10.1111/j.1747-0285.2010.01006.x
- Цыпышева И.П., Ковальская А.В., Лобов А.Н., Зарубаев В.В., Карпинская Л.А., Петренко И.А., Николаева Е.А., Юнусов М.С. // ХПС. 2012. № 6. С. 920; Tsypysheva I.P., Koval’skaya A.V., Lobov A.N., Zarubaev V.V., Karpinskaya L.A., Petrenko I.A., Nikolaeva E.A., Yunusov M.S. // Chem. Nat. Compd. 2013. Vol. 48. P. 1042. doi: 10.1007/s10600-013-0460-0
- Fedorova V.A., Kadyrova R.A., Slita A.V., Muryleva А.A., Petrova P.R., Kovalskaya A.V., Lobov A.N., Tsypyshev D.O., Borisevich S.S., Tsypysheva I.P., Zileeva Z.R., Vakhitova J.V., Zarubaev V.V. // Nat. Prod. Res. 2021. Vol. 35. P. 4256. doi: 10.1080/14786419.2019.1696791
- Tsypysheva I.P., Lai H.-Ch., Kiu Y.-T., Koval’skaya A.V., Tsypyshev D.O., Huang S.-H., Lin Ch.-W. // Bioorg. Med. Chem. Lett. 2021. Vol. 54. P. 128437. doi 10.1016/ j.bmc l.2021.128437
- Lin C.-S., Lu C.-H., Lin T.-H., Kiu Y.-T., Kan J.-Y., Chang Y.-J., Hung P.-Y., Koval’skaya A.V., Tsypyshev D.O., Tsypysheva I.P., Lin Ch.-W. // Bioorg. Med. Chem. Lett. 2024. Vol. 99. P. 129623. doi: 10.1016/j.bmcl.2024.129623
- Buckingham J., Baggaley K.H., Roberts A.D., Szlabo L.F. Dictionary of Alkaloids, CRC Press, 2010. 2289 p.
- Canu Boido C., Sparatore F. // Il Farmaco. 1999. Vol. 54. P. 438. doi: 10.1016/s0014-827x(99)00049-x
- Boido C.C., Tasso B., Boido V., Sparatore F. // Il Farmaco. 2003. Vol. 58. P. 265. doi: 10.1016/s0014-827x(03)00017-x
- Цыпышева И.П., Ковальская А.В., Халилова И.У., Бахтина Ю.Ю., Хисамутдинова Р.Ю., Габдрахманова С.Ф., Лобов А.Н., Зарудий Ф.С., Юнусов М.С. // ХПС. 2014. № 2. С. 291; Tsypysheva I.P., Koval’skaya A.V., Khalilova I.U., Bakhtina Yu.Yu., Khisamutdinova R.Yu., Gabdrakhmanova S.F., Lobov A.N., Zarudii F.S., Yunusov M.S. // Chem. Nat. Compd. 2014. Vol. 50. P. 333. doi: 10.1007/s10600-014-0945-5
- Цыпышева И.П., Ковальская А.В., Макара Н.С., Лобов А.Н., Петренко И.А., Галкин Е.Г., Сапожникова Т.А., Зарудий Ф.С., Юнусов М.С. // ХПС. 2012. № 4. С. 565; Tsypysheva I.P., Koval’skaya A.V., Makara N.S., Lobov A.N., Petrenko I.A., Galkin E.G., Sapozhnikova T.A., Zarudii F.S., Yunusov M.S. // Chem. Nat. Compd. 2012. Vol. 48. P. 629. doi: 10.1007/s10600-012-0329-7
- Luputiu G., Gilau L. // Arch. Pharm. 1969. Vol. 302. P. 943. doi: 10.1002/ardp.19693021210.
- Нуркенов О.А., Газалиев А.М., Айнабаев А.А., Кулаков И.В. // ЖОХ. 2006. № 7. С. 1229; Nurkenov O.A., Gazaliev A.M., Ainabaev A.A., Kulakov I.V. // Russ. J. Gen. Chem. 2006. Vol. 76. P. 1181. doi: 10.1134/S1070363206070346
- Leyssen P., de Clercq E., Neyts J. // Mol. Pharmacol. 2006. Vol. 69. P. 1461. doi: 10.1124/mol.105.020057
Arquivos suplementares



