Synthesis, Reactions and Application of 2,2-Dimethyl-4-oxymethyl-1,3-dioxolane (A Review)
- Authors: Nurieva E.R.1, Borisova Y.G.1, Raskildina G.Z.1, Sultanova R.M.1, Zlotsky S.S.1
-
Affiliations:
- Ufa State Petroleum Technological University
- Issue: Vol 94, No 6 (2024)
- Pages: 664-690
- Section: Articles
- URL: https://ogarev-online.ru/0044-460X/article/view/269847
- DOI: https://doi.org/10.31857/S0044460X24060018
- EDN: https://elibrary.ru/FAFQJN
- ID: 269847
Cite item
Full Text
Abstract
This review analyzes publications that present the results of studies of modern and traditional approaches to the synthesis of 2,2-dimethyl-4-hydroxymethyl-1,3-dioxolane, as well as data on methods for its use in organic synthesis. The ways of obtaining enantiomerically pure 2,2-dimethyl-4-hydroxymethyl-1,3-dioxolanes, necessary in the production of drugs, are shown. Publications devoted to the use of 2,2-dimethyl-4-hydroxymethyl-1,3-dioxolane in pharmaceutical, medicinal chemistry and petrochemistry are presented.
Full Text
ВВЕДЕНИЕ
Актуальность использования биосырья для производства химических веществ постоянно возрастает, поскольку развитые и ряд развивающихся стран, особенно Латинской Америки, стремятся уменьшить зависимость от углеводородных ресурсов и снизить выбросы углекислого газа в атмосферу [1]. Расходы на производство современных биотоплив, таких как биоэтанол и биодизель, существенно влияют на рыночные цены продуктов питания, экологическую ситуацию и продовольственную безопасность. В этом контексте биотоплива на основе целлюлозы имеют хорошие перспективы [2]. Россия располагает необходимыми условиями для производства биотоплив из непищевого сырья, так как более 20% мировых лесов находятся на ее территории.
Современным требованиям к альтернативным топливам во многом соответствуют простые эфиры и ацетали. Циклические ацетали широко применяются в органическом синтезе для защиты карбонильных групп от воздействия оснований, реагентов Гриньяра, литий-алюминий гидрида и окислителей [3, 4]. Они также находят применение в парфюмерии как ароматические вещества [5–8], в пищевой промышленности [9, 10], фармацевтике [11–13] и полимерной химии [14]. В последнее время ацетали глицерина рассматриваются как добавки для улучшения свойств моторных топлив [15–19].
Преимуществом циклических ацеталей является возможность их получения из возобновляемых источников, таких как биомасса, отходы сельского и лесного хозяйства, пищевой промышленности и др. Наличие двух и более атомов кислорода в составе молекулы циклических ацеталей позволяет существенно улучшить экологические характеристики двигателей, работающих на этих альтернативных топливах [20, 21].
В ряду циклических ацеталей одним из наиболее известных и распространенных производных глицерина является 2,2-диметил-4-оксиметил-1,3-диоксолан (солкеталь). Это соединение (рацемическая смесь) образуется в значительном количестве в процессах переработки пентозансодержащего возобновляемого сырья, что определяет широкие перспективы его практического использования как компонента фармацевтических составов и материалов [22], добавки к моторным топливам [23, 24], пластификатора [25–27], гомогенизатора [28–31] и др.
В статье обобщены и систематизированы данные по получению, реакциям и свойствам 2,2-диметил-4-оксиметил-1,3-диоксолана.
СПОСОБЫ ПОЛУЧЕНИЯ 2,2-ДИМЕТИЛ-4-ОКСИМЕТИЛ-1,3-ДИОКСОЛАНА
Традиционным способом получения 2,2-диметил-4-оксиметил-1,3-диоксолана является кислотно-катализируемая конденсация глицерина с ацетоном (схема 1) [32–35].
Схема 1
В зависимости от условий и типа катализатора выход целевого продукта составляет 60–95%. Предпочтительным катализатором является п-толуолсульфокислота.
Замена ацетона на 2,2-диметоксипропан [36–40] позволяет провести реакцию более селективно, поскольку кеталь выступает в качестве поглотителя воды (схема 2). В качестве катализаторов используются п-толуолсульфокислота или соли металлов. Выходы 2,2-диметил-4-оксиметил-1,3-диоксолана достигают 89–92%.
Схема 2
Указанные методы синтеза 2,2-диметил-4-оксиметил-1,3-диоксолана обеспечивают высокую селективность реакций, что позволяет получать целевой продукт с минимальным количеством примесей. Кроме того, эти методы легко масштабируются для промышленного производства, что делает их экономически выгодными и эффективными в условиях массового синтеза.
Количественный синтез 2,2-диметил-4-оксиметил-1,3-диоксолана реакцией глицеральдегида с ацетоном [41–47] включает восстановление боргидридом натрия промежуточного гетероциклического альдегида без его выделения (схема 3).
Схема 3
Лучшие результаты (выход 90–95%) достигаются при использовании боргидрида натрия в среде этанола при комнатной температуре за 1 ч.
Описано взаимодействие 2,3-эпокси-1-пропанола с ацетоном в присутствии солей FeIII (схема 4) [48].
Схема 4
Добавка солей ErIII позволяет селективно и одностадийно добиться количественного выхода 2,2-диметил-4-оксиметил-1,3-диоксолана [49].
Омылением (2,2-диметил-1,3-диоксан-4-ил)метилацетата в присутствии оловоорганического реагента (схема 5) получают 2,2-диметил-4-оксиметил-1,3-диоксолан с выходом 97% [50]. В качестве растворителя используется метанол. Реакция протекает в течение 6 ч при температуре 30°C.
Схема 5
В работе [51] описана регенерация 2,2-диметил-4-оксиметил-1,3-диоксолана из аллилкарбоната, катализируемая комплексом железа (схема 6). Реакция осуществляется в присутствии каталитических количеств комплекса железа Bu4N[Fe(CO)3(NO)] (TBAFe) и тримезитилфосфина в этаноле за 12 ч. Выход 2,2-диметил-4-оксиметил-1,3-диоксолана составляет 96%.
Схема 6
В работе [52] предложен метод окислительной селективной трансформации аллилового эфира в 2,2-диметил-4-оксиметил-1,3-диоксолан в присутствии персульфата тетрабутиламмония (схема 7). Процесс осуществляется в метаноле в присутствии метилата натрия за 6 ч при 20°C и приводит к образованию 2,2-диметил-4-оксиметил-1,3-диоксолана с выходом 85%.
Схема 7
При восстановлении 2,2-диметил-1,3-диоксолан-4-карбоксилата гидридами металлов [46, 53–56] также получают 2,2-диметил-4-оксиметил-1,3-диоксолан (схема 8). Лучшие результаты достигаются при 0°C за 4 ч в среде диэтилового эфира, выход составляет 70–95%.
Схема 8
Эффективный метод расщепления тритилового эфира под действием монобромида иода предложен в работах [57, 58] (схема 9). В качестве катализатора используется интергалид IBr в среде хлористого метилена, реакция протекает за 15 мин при комнатной температуре с образованием 2,2-диметил-4-оксиметил-1,3-диоксолана выходом 94%.
Схема 9
Разрушение бензилового эфира 2,2-диметил-4-оксиметил-1,3-диоксолана тетрафторборатом лития также приводит к образованию 2,2-диметил-4-оксиметил-1,3-диоксолана с выходом 92% (схема 10). Реакцию проводят в течение 6 ч в смеси метанол–хлористый метилен.
Схема 10
Удаление защитной группы в арилаллиловом эфире (схема 11) осуществляется под действием трет-бутиллития [60]. Реакция проводится в среде тетрагидрофурана в течение 30 мин при –78°C и приводит к образованию 2,2-диметил-4-оксиметил-1,3-диоксолана с выходом 75%.
Схема 11
Система SmI2–изопропиламин–вода переводит (схема 12) алкилпропаргиловый эфир 2,2-диметил-4-оксиметил-1,3-диоксолана в спирт [61]. Реакция протекает в течение 5 мин при комнатной температуре. Выход 2,2-диметил-4-оксиметил-1,3-диоксолана составляет 70%.
Схема 12
Щелочной гидролиз фенилового эфира в метаноле [62, 63] также используется для синтеза 2,2-диметил-4-оксиметил-1,3-диоксолана (схема 13). Реакция протекает при 90°С в течение 1 ч. Выход 2,2-диметил-4-оксиметил-1,3-диоксолана составляет 90%.
Схема 13
При низкотемпературном озонолизе этил-3-(2,2-диметил-1,3-диоксолан-4-ил)акрилата и восстановлении промежуточно образующихся пероксидов боргидридом натрия наблюдается образование 2,2-диметил-4-оксиметил-1,3-диоксолана (схема 14) [64]. Отмечается полная конверсия исходного субстрата в 2,2-диметил-4-оксиметил-1,3-диоксолан с выходом 60%, побочными продуктами являются линейные кислоты.
Схема 14
Расщеплением соответствующего замещенного этиленгликоля водным раствором периодата натрия и восстановлением промежуточных продуктов боргидридом натрия получают 2,2-диметил-4-оксиметил-1,3-диоксолан с выходом 82% (схема 15) [65, 66]. Реакцию проводят в течение 24 ч при комнатной температуре.
Схема 15
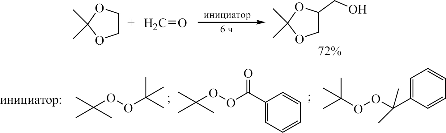
2,2-диметил-1,3-диоксолан взаимодействует с формальдегидом в присутствии свободнорадикальных инициаторов (схема 16) с образованием 2,2-диметил-4-оксиметил-1,3-диоксолана c выходом 72% [67]. Промежуточные циклические алкоксильные радикалы быстро присоединяются по кратной углерод-кислородной связи альдегида и рост цепи продолжают кислород-центрированные радикалы.
Схема 16
Окислительное расщепление 1,2:5,6-бис-О-(1-метилэтилиден)-D-маннитола периодатом натрия и последующее восстановление промежуточного альдегида боргидридом натрия приводят к образованию 2,2-диметил-4-оксиметил-1,3-диоксолана с выходом 63–80% (схема 17) [68, 69].
Схема 17
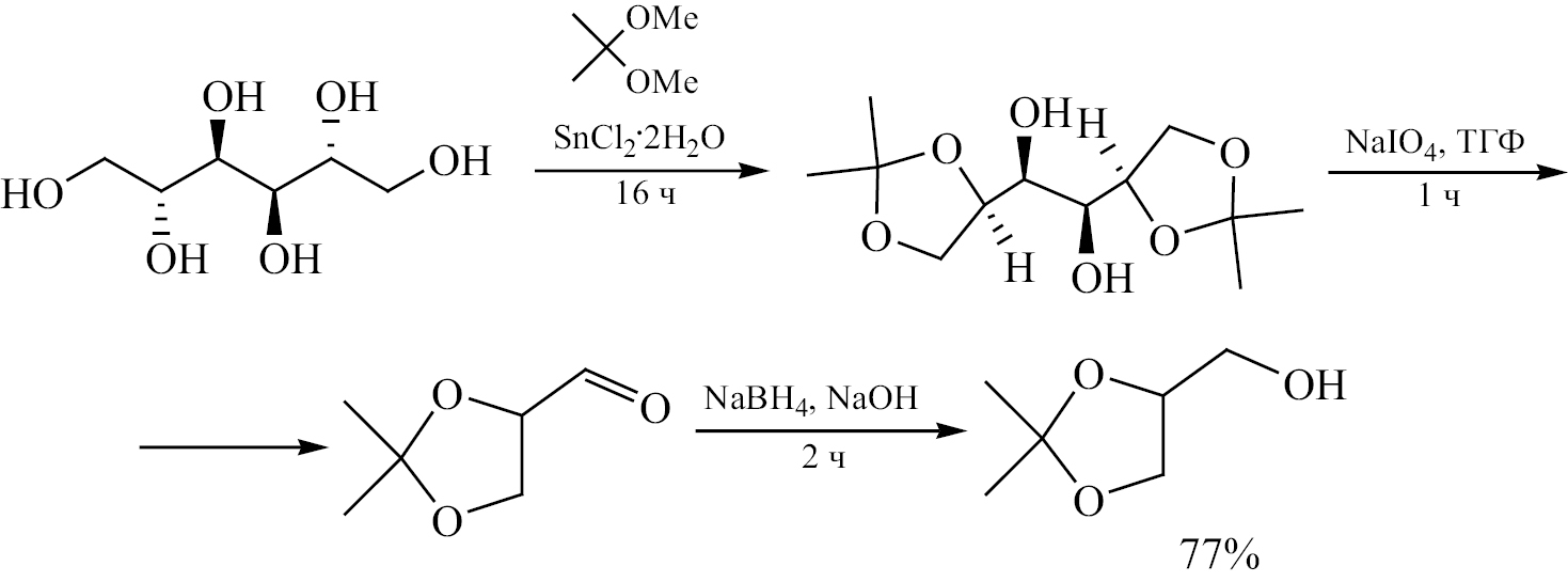
В ряде работ [43, 70–79] рассматривается синтез 2,2-диметил-4-оксиметил-1,3-диоксолана с использованием коммерчески доступного D-маннитола в качестве исходного субстрата (схема 18). На первом этапе осуществляется перевод D-маннитола в 1,2:5,6-бис-О-(1-метилэтилиден)-D-маннитол с выходом 77%. Далее следует его окислительное расщепление периодатом натрия с последующим восстановлением гетероциклического альдегида до целевого спирта боргидридом натрия (выход 40–80%).
Схема 18
Рассмотренные методы синтеза 2,2-диметил-4-оксиметил-1,3-диоксолана обеспечивают высокую селективность реакций, что позволяет получать конечный продукт с минимальным количеством побочных соединений и без выделения промежуточных. Использование различных реакционных условий дает возможность оптимизировать процесс и повысить выход продукта. Кроме того, эти методы позволяют контролировать чистоту получаемых веществ, что особенно важно для применения в фармацевтике и производстве специализированных материалов
В ряде работ рассматривается синтез индивидуальных оптически чистых изомеров 2,2-диметил-4-оксиметил-1,3-диоксолана, требуемых для создания лекарственных препаратов. Например, энантиомерно чистый 2,2-диметил-4-оксиметил-1,3-диоксолана является ценным хиральным строительным блоком, в частности, в синтезе антагонистов – адренорецепторов, простагландинов и лейкотриенов [80, 81].
При гидролизе (RS)-изопропилиденглицеринацетата цельными клетками дрожжей Kluyveromyces marxianus образуется R-2,2-диметил-4-оксиметил-1,3-диоксолан (схема 19) [82].
Схема 19
Высокий выход (76%) и хорошее энантиомерное соотношение (ee = 28%) R-энантиомера 2,2-диметил-4-оксиметил-1,3-диоксолана обуславливается активностью карбоксилэстеразы, связанной с клетками K. marxianus.
В работе [83] предложен альтернативный вариант получения хирального 2,2-диметил-4-оксиметил-1,3-диоксолана гидролизом рацемической смеси его эфиров жирных кислот бактериями Sarcina lutea, Pseudomonas putida и Bacillus subtilis niger (схема 20).
Схема 20
Наивысшая степень энантиоселективности образования S-энантиомера 2,2-диметил-4-оксиметил-1,3-диоксолана (82%) достигается при гидролизе гексаноила Bacillus subtilis niger.
С использованием липазы Candida antarctica B осуществляется превращение S-энантиомера эфира 2,2-диметил-4-оксиметил-1,3-диоксолана в R-энантиомер 2,2-диметил-4-оксиметил-1,3-диоксолана (схема 21) [84]. Реакция проводится в водной среде, основным побочным продуктом является уксусная кислота.
Схема 21
В работе [85] энантиоселективный гидролиз различных эфиров (RS)-изопропилиденглицерина проводится с использованием карбоксилэстеразы, связанной с клеточной стенкой бактерии Bacillus coagulans NCIMB 9365, дающих (S)-2,2-диметил-4-оксиметил-1,3-диоксолан как главный энантиомер (схема 22). Наибольшая селективность (ее = 80–100%) наблюдается в случае бензоата.
Схема 22
Этерификация 2,2-диметил-4-оксиметил-1,3-диоксолана янтарным ангидридом в присутствии липазы протекает также энантиоселективно (схема 23) [86]. При этом образуется R-моноэфир янтарной кислоты, который легко отделяется от целевого R-2,2-диметил-4-оксиметил-1,3-диоксолана промыванием раствором этанола.
Схема 23
В работе [87] с помощью катализа липазой Pseudomonas aeruginosa получают (S)-энантиомер 2,2-диметил-4-оксиметил-1,3-диоксолана из рацемической смеси сложного эфира (схема 24). Алкоголиз проводится при комнатной температуре в течение 1 ч.
Схема 24
Описано использование грамотрицательных бактерий Comamonas testosteroni для получения (S)-энантиомера 2,2-диметил-4-оксиметил-1,3-диоксолана c выходом 60–65% (схема 25) [88]. Энантиомерная чистота S-2,2-диметил-4-оксиметил-1,3-диоксолана зависимости от используемого спирта и времени выдерживания реакции составляет от 72 до 94%.
Схема 25
В модифицированных штаммах кишечной палочки Escherichia coli удаляются отдельные гены эстеразы [89]. Используют цитоплазматический белок YbfF как основной фермент E. coli, ответственный за гидролитическую активность по отношению к сложным эфирам 2,2-диметил-4-оксиметил-1,3-диоксолана (схема 26).
Схема 26
Высокая активность белка YbfF обеспечивает продуцирование (S)-стереоизомера 2,2-диметил-4-оксиметил-1,3-диоксолана (выход 80%) с энантиомерной чистотой 98%.
При инкубации бензилмеркаптана в присутствии глюкозы образуется S-бензилтиоглицерат [90, 91], который превращается в S-2,2-диметил-4-оксиметил-1,3-диоксолана с оптической чистотой ее ~ 98% (схема 27). Получение S-энантиомера 2,2-диметил-4-оксиметил-1,3-диоксолана осуществляется в присутствии 2,2-диметоксипропана и п-толуолсульфокислоты в растворе ацетона.
Схема 27
Биотехнологические методы синтеза 2,2-диметил-4-оксиметил-1,3-диоксолана представляют устойчивую альтернативу традиционным химическим подходам. В этих методах используются микроорганизмы или ферменты для катализа реакций, что позволяет эффективно преобразовывать исходные субстраты в целевой 2,2-диметил-4-оксиметил-1,3-диоксолан в более мягких условиях. Например, использование специфических ферментов может значительно повысить селективность и выход продукта, что снижает количество побочных эффектов. Кроме того, биокатализаторы часто более безопасны и экологически чисты, что делает такие процессы более привлекательными с точки зрения устойчивого развития и охраны окружающей среды. Наконец, исследования в области синтетической биологии могут способствовать разработке новых штаммов микроорганизмов, которые будут оптимизированы для синтеза подобных соединений.
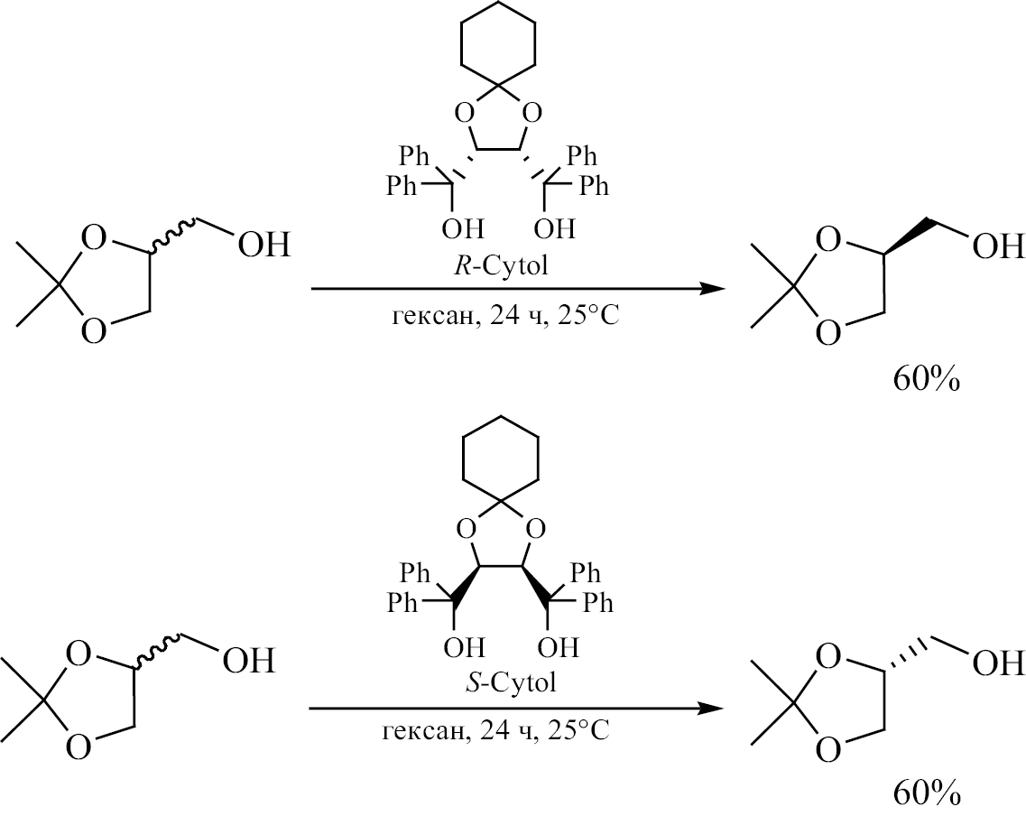
В работе [92] реализовано препаративное разделение рацемической смеси для получения оптически активных 2,2-диметил-4-оксиметил-1,3-диоксолана (схема 28).
Схема 28
Индивидуальные R- и S-стереоизомеры 2,2-диметил-4-оксиметил-1,3-диоксолана получают с выходом 60% и энантиомерной чистотой 97% энантиоселективной двухстадийной кристаллизацией с хиральным диолом 2,3-О-циклогексилиден-1,1,4,4-тетрафенилтреитол.
Дефосфорилирование щелочной фосфатазой фосфорпроизводного глицерина (схема 29) приводит к образованию R-2,2-диметил-4-оксиметил-1,3-диоксолана с общим выходом 83% и энантиомерной чистотой 99% [93].
Схема 29
Этот метод благодаря высокой селективности выгодно отличается от других путей получения энантиомерно обогащенных производных глицерина.
В работе [94] на первом этапе L-арабиноза превращается в соответствующее 1,1′-диэтилмеркаптопроизводное, которое затем конденсируется с 2-метоксипропеном с получением 1,1′-диэтилмеркапто-4,5-изопропилиден-L-арабинозы (схема 30).
Схема 30
На последней стадии окисление этого соединения периодатом натрия с последующим восстановлением боргидридом натрия используется для получения R-энантиомера 2,2-диметил-4-оксиметил-1,3-диоксолана с выходом 70%.
Авторами [95] разработан многостадийный метод получения S-энантиомера 2,2-диметил-4-оксиметил-1,3-диоксолана из D-маннитола с выходом 72% (схема 31).
Схема 31
R-Энантиомер 2,2-диметил-4-оксиметил-1,3-диоксолана получен из L-арабинозы (схема 32) с высокой энантиоселективной чистотой (80%) и выходом 44%.
Схема 32
В целом, описанные выше методы получения 2,2-диметил-4-оксиметил-1,3-диоксолана и его индивидуальных стереоизомеров позволяют рассматривать данный гетероциклический спирт как доступный и удобный реагент, который может быть использован в синтезе широкого круга малотоннажных продуктов, биологических активных, лекарственных препаратов.
СИНТЕЗЫ НА ОСНОВЕ 2,2-ДИМЕТИЛ-4-ОКСИМЕТИЛ-1,3-ДИОКСОЛАНА
Доступность глицерина на базе природного сырья и простота получения его циклических кеталей определяет перспективность использования 2,2-диметил-4-оксиметил-1,3-диоксолана в тонком органическом синтезе [96–98].
В современном органическом синтезе описаны различные трансформации и функционализации оксиметильной группы 2,2-диметил-4-оксиметил-1,3-диоксолана, протекающие без разрушения гетероцикла. Так, подробно рассмотрена этерификация 2,2-диметил-4-оксиметил-1,3-диоксолана карбоновыми кислотами (схема 33) в присутствии различных гомо- и гетерогенных кислотных катализаторов [99–122].
Схема 33
Реакция проводится в присутствии 1,3-дициклогексилкарбодиимида (DCC) и различных пиридинов в апротонных растворителях.
В работе [123] конденсацией 2,2-диметил-4-оксиметил-1,3-диоксолана с малоновой кислотой получают соответствующий диэфир (схема 34). В качестве реагентов используют диизопропилкарбодиимид (DIC) и 4-(диметиламино)пиридин (DMAP) в CH2Cl2. Выход эфира составляет 81%.
Схема 34
Реакция 2,2-диметил-4-оксиметил-1,3-диоксолана с винилацетатом [124, 125] приводит к образованию (2,2-диметил-1,3-диоксан-4-ил)метилацетата с выходом 85–99% (схема 35). В качестве активатора реакции используют молекулярный иод, что позволяет полностью завершить процесс за 7 ч.
Схема 35
При ацетилировании 2,2-диметил-4-оксиметил-1,3-диоксолана уксусным ангидридом (схема 36) в присутствии катализаторов образуется (2,2-диметил-1,3-диоксолан-4-ил)метилацетат с выходом 78–95% [126–133]. В качестве катализаторов используются комплексы и соли металлов, молекулярный иод и др. Реакция протекает в течение 7–8 ч при комнатной температуре.
Схема 36
При действии тиглоилхлорида на 2,2-диметил-4-оксиметил-1,3-диоксолан образуется соответствующий эфир (схема 37) [134]. Реакцию проводят в присутствии 4-диметиламинопиридина в среде пиридин–бензол в течение 1 ч при комнатной температуре (выход 90%).
Схема 37
(2,2-диметил-1,3-диоксолан-4-ил)метил проп-2-еноат получают ацилированием 2,2-диметил-4-оксиметил-1,3-диоксолана акрилоилхлоридом (схема 38) [135–145]. Для связывания образующегося хлороводорода используют триэтиламин. Реакция протекает в течение 16–20 ч при комнатной температуре. Выход целевого продукта достигает 94–96%.
Схема 38
Пиваиловый эфир 2,2-диметил-4-оксиметил-1,3-диоксолана получают с выходом 90% из пивалоилхлорида в присутствии каталитических количеств La(NO3)3·6H2O (схема 39) [146]. Реакция проходит за 20 мин при комнатной температуре в отсутствие растворителя.
Схема 39
Эффективным способом получения пиваилового эфира является конденсация 2,2-диметил-4-оксиметил-1,3-диоксолана (схема 40) с ангидридом в присутствии кислоты Льюиса [147, 148]. Эфир образуется с выходом 98% при 50°C в течение 30 мин.
Схема 40
Под действием 2-бромацетилбромида в присутствии пиридина проводится ацилирование 2,2-диметил-4-оксиметил-1,3-диоксолана с целью получения (2,2-диметил-1,3-диоксолан-4-ил)метил 2-бромацетата (схема 41) [149]. Аналогичным способом и с таким же выходом получается (2,2-диметил-1,3-диоксолан-4-ил)метил-2-хлорацетат [150, 151].
Схема 41
Малонаты, содержащие 2,2-диметил-4-оксиметил-1,3-диоксолан, образуются при взаимодействии 2,2-диметил-4-оксиметил-1,3-диоксолана с малонилдихлоридом в присутствии NaH в абсолютном бензоле (схема 42) [152]. Реакцию проводят в течение 1 ч, после очистки методом колоночной хроматографии продукт получается с выходом 36%.
Схема 42
В работах [153–155] сообщается о конденсации 2-хлор-2-оксо-1,3,2-диоксафосфолана с 2,2-диметил-4-оксиметил-1,3-диоксоланом с образованием соответствующего эфира с выходом 26–40% (схема 43). Реакция протекает в присутствии триэтиламина и пиридина в ТГФ при –5°C в течение 12 ч.
Схема 43
Реакция 2,2-диметил-4-оксиметил-1,3-диоксолана с 4-хлорпиразоло[3,4-d]пиримидинами (схема 44) в условиях межфазного катализа приводит к образованию простых эфиров [156]. Бромид тетрабутиламмония (TBAB) используется в качестве катализатора фазового переноса, водный раствор NaOH – в качестве неорганической фазы и хлорбензол – в качестве органической фазы. Реакция протекает при комнатной температуре в течение 25 мин (выход 88–92%).
Схема 44
При кипячении смеси 2,3-нафталевого ангидрида и рацемического 2,2-диметил-4-оксиметил-1,3-диоксолана образуется 2-[(2,2-диметил-1,3-диоксолан-4-ил)метил]-2,3-нафталендикарбоксилат с выходом 95% (схема 45) [157]. Реакция протекает в среде пиридина в течение 1 ч при 90°C.
Схема 45
Фосфорилирование бис[2-оксо-3(2H)-оксазолил)]-4-хлорфениловым эфиром фосфиновой кислоты 2,2-диметил-4-оксиметил-1,3-диоксолана (схема 46) под действием ацетилацетоната Mn приводит к арилфосфатному эфиру [158]. В качестве растворителя используют смесь бутанола и тетрагидрофурана, реакционную смесь выдерживают 3 ч при комнатной температуре (выход 62%).
Схема 46
В присутствии трифенилфосфина I2 замещает гидроксильную группу в 2,2-диметил-4-оксиметил-1,3-диоксолана (схема 47), образуя иодид 2,2-диметил-4-оксиметил-1,3-диоксолана с количественными выходами [159–165]. Реакция протекает в толуоле в течение 1–4 ч при комнатной температуре (выход 90–95%).
Схема 47
Синтез бромида и иодида 2,2-диметил-4-оксиметил-1,3-диоксолана (схема 48) осуществляют взаимодействием 2,2-диметил-4-оксиметил-1,3-диоксолана с бис(диэтиламино)хлорфосфином с последующим разложением промежуточного продукта этилгалогенидом [166].
Схема 48
Превращение спиртов в алкилгалогениды проводят однореакторным способом. Вначале спирт обрабатывают бис(диэтиламино)хлорфосфином и выдерживают в течение 30 мин при 0°C, затем перемешивают при нагреве в течение 2 ч с этилиодидом или бромидом. Выходы галогенидов достигают 75–80%.
Сочетание триамида гексаметилфосфора и CCl4 [167] со спиртом является весьма эффективным методом активации гидроксильной группы для замещения различными нуклеофилами (схема 49). Образующийся в реакции хлорид-ион реагирует с промежуточным ионом алкоксифосфония с образованием алкилхлорида с выходом 70%.
Схема 49
Галогениды 2,2-диметил-4-оксиметил-1,3-диоксолана получают [168] действием метилсульфонхлорида на 2,2-диметил-4-оксиметил-1,3-диоксолан в триэтиламине с последующей обработкой галогенидами тетрабутиламмония (схема 50). Реакцию проводят при комнатной температуре в течение 20 ч. Выходы галогенидов достигают 70–80%.
Схема 50
Авторами [169] предложен метод синтеза пиридинов и хинолинов конденсацией аммиака и анилина с 2,2-диметил-4-оксиметил-1,3-диоксоланом на цеолитных катализаторах с микро- и микромезомакропористой структурой (схема 51). Синтез пиридинов осуществляется взаимодействием 2,2-диметил-4-оксиметил-1,3-диоксолана с аммиаком или анилином в проточном реакторе с неподвижным слоем цеолитного катализатора при 350–500°C.
Схема 51
В работах [170–183] 2,2-диметил-4-оксиметил-1,3-диоксолан превращен в соответствующий простой эфир с количественным выходом взаимодействием с дигидропираном (схема 52). Реакция завершается за 15–20 ч при кипячении в среде хлористого метилена.
Схема 52
Сульфонилкарбаматная группа [184] является удобной защитной группой для гидроксильного фрагмента в 2,2-диметил-4-оксиметил-1,3-диоксолане (схема 53). Получение соответствующего эфира количественным выходом проводят в тетрагидрофуране.
Схема 53
Присоединением 2,2-диметил-4-оксиметил-1,3-диоксолана к акрилонитрилу [185] получают 3-[(2,2-диметил-1,3-диоксолан-4-ил)метокси]пропаннитрил (схема 54). Цианогруппу восстанавливали боргидридом натрия, полученный амин обрабатывали трифторуксусным ангидридом в присутствии триэтиламина в среде хлористого метилена. Выход конечного амида составил 89%.
Схема 54
В работе [186] рассматривается двухстадийное превращение 2,2-диметил-4-оксиметил-1,3-диоксолана в амин (схема 55). Первоначально реакцию проводят в присутствии трифенилфосфина и фталимида в тетрагидрофуране при комнатной температуре. На втором этапе промежуточный продукт нагревали с гидразингидратом в метаноле (выход 43%).
Схема 55
2,2-диметил-4-оксиметил-1,3-диоксолана реагирует с бензиловым спиртом (схема 56) с образованием соответствующего простого эфира с выходом 60% [187]. В качестве катализатора используется п-толуолсульфокислота. Продолжительность реакции составляет 12 ч при 110°C.
Схема 56
В работах [188–191] выполнено каталитическое окисление 2,2-диметил-4-оксиметил-1,3-диоксолана кислородом воздуха до 2,2-диметил-1,3-диоксолан-4-карбоновой кислоты (схема 57). Реакция протекает в водных и слабоосновных средах при комнатной температуре в течение 12 ч, выход целевой кислоты – 80–90%.
Схема 57
Окислением по Сверну (схема 58) осуществляют превращение 2,2-диметил-4-оксиметил-1,3-диоксолана в ацетонид глицеральдегида с выходом 50% [192, 193]. Реакцию проводят 30 мин при комнатной температуре в присутствии триэтиламина в среде ДМСО.
Схема 58
В работах [194–201] рассмотрена регенерация глицерина из 2,2-диметил-4-оксиметил-1,3-диоксолана (схема 59). Реакции протекают под действием УФ, микроволнового облучения или в присутствии кислотных катализаторов и приводят к образованию глицерина с количественными выходами (90–97%).
Схема 59
ИСПОЛЬЗОВАНИЕ 2,2-ДИМЕТИЛ-4-ОКСИМЕТИЛ-1,3-ДИОКСОЛАНА В ХИМИЧЕСКОЙ ТЕХНОЛОГИИ И В СИНТЕЗЕ БИОЛОГИЧЕСКИ АКТИВНЫХ И ЛЕКАРСТВЕННЫХ ПРЕПАРАТОВ И КОМПОЗИЦИЙ
2,2-диметил-4-оксиметил-1,3-диоксолан – бесцветная жидкость, хорошо смешивается с водой, различными органическими растворителями. В среде сильных кислот 2,2-диметил-4-оксиметил-1,3-диоксолан гидролизуется с образованием ацетона и глицерина. Соединение относительно безвредно, не раздражает кожные покровы и ткани.
2,2-диметил-4-оксиметил-1,3-диоксолан применяется в фармацевтической промышленности в качестве вспомогательного вещества при производстве медицинских и ветеринарных препаратов, косметики, синтезе органических соединений, а также в кожевенной отрасли, в фотохимическом производстве и для создания сорбентов [202]. Например, 2,2-диметил-4-оксиметил-1,3-диоксолан используется при производстве парентеральных растворов тетрациклина [203]. Служит универсальным физиологически приемлемым растворителем, пластификатором. 2,2-диметил-4-оксиметил-1,3-диоксолан используется в составе лекарственных препаратов, таких как растворы и суспензии для инъекций и для наружного применения, пасты, гели, в качестве универсального физиологически приемлемого растворителя, пластификатора, фармацевтического вспомогательного вещества (сорастворитель, суспензионный агент) [204]. Более того, было обнаружено, что 2,2-диметил-4-оксиметил-1,3-диоксолан полезен в фармацевтике в качестве хирального промежуточного продукта для производства молекул, которые невозможно получить из природных источников. Его также можно использовать при синтезе различных лекарств, в том числе противораковых и противовоспалительных средств [205].
2,2-диметил-4-оксиметил-1,3-диоксолан может выступать альтернативой этанолу в композициях, где необходимо использовать солюбилизирующие и другие физико-химические свойства этанола [206]. Композиции на основе 2,2-диметил-4-оксиметил-1,3-диоксолана представляют собой прозрачные микроэмульсии, уникальным отличием которых от большинства эмульгаторов является успешное прохождение циклов замораживания-оттаивания без возникновения расслоения и/или помутнения эмульсии. 2,2-диметил-4-оксиметил-1,3-диоксолан является наилучшим растворителем для веществ группы триазинов (толтразурил,толтразурил-сульфон, клазурил, диклазурил, летразурил и поназурил) и других структур, характерных для мало растворимых в воде соединений (фипронил, бупренорфин, пенетаматагидроиодид, ципротерона ацетат, мегестрола ацетат, хлортетрациклина гидрохлорид, празиквантел) и поназурил) и других мало растворимых в воде соединений [207]. Благодаря своим свойствам 2,2-диметил-4-оксиметил-1,3-диоксолан применяется и в косметической промышленности. Он является отличным растворителем для многих косметических ингредиентов и может использоваться в качестве носителя в составе различных кремов, лосьонов и других косметических средств. Кроме того, благодаря увлажняющим свойствам 2,2-диметил-4-оксиметил-1,3-диоксолан можно использовать в качестве увлажнителя, помогающего удерживать воду в косметических рецептурах, сохраняя кожу увлажненной и эластичной [208]. Более того, 2,2-диметил-4-оксиметил-1,3-диоксолан имеет явный потенциал в качестве биопроизводных расщепляемых поверхностно-активных веществ [209–212] и «зеленых» растворителей [213]. Научные успехи в этой области были подтверждены недавним запуском промышленного производства новой линейки растворителей под торговой маркой Augeo, где одним из ключевых компонентов является 2,2-диметил-4-оксиметил-1,3-диоксолан. Эти продукты разработаны для замены невозобновляемых, токсичных и относительно дорогих эфиров этилен- и пропиленгликоля [214].
В промышленной химии 2,2-диметил-4-оксиметил-1,3-диоксолан широко используется в качестве растворителя в таких крупномасштабных процессах, как производство смол, покрытий, клеев и пластификаторов; в составах красок и чернил, чистящих средств и охлаждающих агентов [215]. Кроме того, его можно использовать в качестве мономера для синтеза полимеров, включая полиуретаны, простые и сложные полиэфиры [23]. 2,2-диметил-4-оксиметил-1,3-диоксолан используется в полимерной химии как функциональная добавка, улучшающая механические свойства полимеров.
Отмечена эффективность использования 2,2-диметил-4-оксиметил-1,3-диоксолана в качестве топливной присадки для улучшения характеристик эксплуатации двигателей за счет снижения выбросов и улучшения топливной экономичности [216]. Для 2,2-диметил-4-оксиметил-1,3-диоксолана описан потенциал использования в качестве топливных добавок: его использование обеспечивает эффект повышения октанового числа (чистый 2,2-диметил-4-оксиметил-1,3-диоксолан имеет октановое число 98) при смешивании с бензинами [24, 217]. Использование 2,2-диметил-4-оксиметил-1,3-диоксолана также снижает выбросы угарного газа из бензина и дизеля, лишь с небольшим увеличением выбросов NOx. Несмотря на кислородсодержащую природу, 2,2-диметил-4-оксиметил-1,3-диоксолан не оказывает существенного негативного влияния на термический КПД бензина при использовании в низких концентрациях смесей [218]. Помимо повышения октанового числа 2,2-диметил-4-оксиметил-1,3-диоксолан может эффективно снижать образование смол в бензинах. Авторы [219] показали, что 2,2-диметил-4-оксиметил-1,3-диоксолан уменьшает образование смол и улучшает октановое число бензинов как в присутствии этанола, так и в его отсутствие. Следовательно, его можно использовать в качестве топливной присадки для снижения выбросов твердых частиц и улучшения устойчивости к окислению при добавлении в бензин.
ЗАКЛЮЧЕНИЕ
Таким образом, имеющиеся в настоящее время методы позволяют получать 2,2-диметил-4-оксиметил-1,3-диоксолан как в виде рацемата, так и в качестве индивидуальных энантиомеров с высоким выходом и селективностью. Достигнуты значительные успехи в синтезе на основе 2,2-диметил-4-оксиметил-1,3-диоксолана разнообразных соединений – простых и сложных эфиров, аминов, амидов, пиридинов, и др. Перспективно применение 2,2-диметил-4-оксиметил-1,3-диоксолана и его производных в фармацевтической, медицинской, косметической химии. Добавка 2,2-диметил-4-оксиметил-1,3-диоксолана в бензин повышает октановое число, подавляет образование смол и снижает образование угарного газа, улучшает устойчивость к окислению. В этой связи исследования, направленные на расширение круга новых производных 2,2-диметил-4-оксиметил-1,3-диоксолана и определение областей их использования, весьма важны и актуальны.
ФИНАНСОВАЯ ПОДДЕРЖКА
Работа выполнена в рамках государственного задания Министерства высшего образования и науки Российской Федерации в сфере научной деятельности (номер для публикаций FEUR–2022-0007 «Нефтехимические реагенты, масла и материалы для теплоэнергетики»).
КОНФЛИКТ ИНТЕРЕСОВ
Авторы заявляют об отсутствии конфликта интересов.
About the authors
E. R. Nurieva
Ufa State Petroleum Technological University
Author for correspondence.
Email: ern_lbrn@bk.ru
ORCID iD: 0000-0002-2031-0060
Russian Federation, Ufa
Yu. G. Borisova
Ufa State Petroleum Technological University
Email: ern_lbrn@bk.ru
ORCID iD: 0000-0001-6452-9454
Russian Federation, Ufa
G. Z. Raskildina
Ufa State Petroleum Technological University
Email: ern_lbrn@bk.ru
ORCID iD: 0000-0001-9770-5434
Russian Federation, Ufa
R. M. Sultanova
Ufa State Petroleum Technological University
Email: ern_lbrn@bk.ru
ORCID iD: 0000-0001-6719-2359
Russian Federation, Ufa
S. S. Zlotsky
Ufa State Petroleum Technological University
Email: ern_lbrn@bk.ru
ORCID iD: 0000-0001-6365-5010
Russian Federation, Ufa
References
- Tokgoz S., Zhang W., Msangi S., Bhandary P. // Agriculture. 2012. Vol. 2. P. 414. doi: 10.3390/agriculture2040414
- Кузнецов Б.Н., Кузнецова С.А., Тарабанько В.Е. // Рос. хим. ж. 2004. Т. 48. № 3. С. 4.
- Яновская Л.А., Юфит С.С., Кучеров В.Ф. Химия ацеталей. М.: Наука, 1975. 275 с.
- Greenе T.W., Wuts P.G.N. Protective Groups in Organic Synthesis. New York: Wiley, 1991. Vol. 4. P. 212.
- Climent M.J., Velty A., Corma A. // Green Chem. 2002. Vol. 4. P. 565. doi: 10.1039/B207506G
- Bauer K., Garbe D., Surburg H. Common Fragrances and Flavour Materials. New York: VCH, 1990.
- Arctander S. Perfumery and Flavour Chemicals. New York: Allured Publishing, 1969.
- Burdock G.A. Fenaroli’s Handbook of Flavour Ingredients. New York: CRC, 1995. Vol. 2.
- Clode D.M. // Chem. Rev. 1979. Vol. 79. N 6. P. 491. doi: 10.1021/cr60322a002
- Ley S.V., Priepke H.W.M. // Angew. Chem. 1994. Vol. 106. P. 2412. doi: 10.1002/anie.199422901
- Bruns K., Conard J., Steigel A. // Tetrahedron. 1979. Vol. 35. P. 2523. doi: 10.1016/0040-4020(79)88015-1
- Dimmock J.R., Smith L.M. // J. Pharm. Sci. 1980. Vol. 69. N 5. Р. 575.
- Blickenstaff R.T., Brandstadter S.M., Foster E., Reddy S., Witt R. // Ind. Eng. Chem. Res. 1993. Vol. 32. N 11. Р. 2455.
- Elliot A.J. In: Comprehensive Heterocyclic Polymers. Oxford: Pergamon Press, 1984. Vol. 6.
- Garcia E., Laca M., Perez E., Garrido A. // Energy Fuels. 2008. Vol. 22. N 6. P. 4274. doi: 10.1021/ef800477m
- Silva P.H.R., Gon alves V.L.C., Mota C.J.A. // Biores. Techn. 2010. Vol. 101. N 15. P. 6225. doi 10.1016/ j.biortech.2010.02.101
- Monbaliu J.C.M.R., Winter M., Chevalier B., Schmidt F., Jiang Y., Hoogendoorn R., Kousemaker M., Stevens C.V. // Chem. Today. 2010. Vol. 28. N 4. P. 8. doi 10.1021/ acs.iecr.5b01444
- De Torres M., Jimйnezosйs G., Mayoral J.A., Pires E., de Los Santos M. // Fuel. 2012. Vol. 94. P. 614. doi: 10.1016/j.fuel.2011.11.062
- Melero J.A., Vicente G., Morales G., Paniagua M., Bustamante J. // Fuel. 2010. Vol. 89. P. 2011. doi 10.1016/ j.fuel.2010.03.042
- Грехов Л.В., Марков В.А. // Транспорт на альтернативном топливе. 2010. Т. 3. № 15. С. 62.
- Arteconi A., Mazzarini A., Di Nicolo G. // Water, Air, Soil Pollut. 2011. Vol. 221. N 1–4. P. 405. doi: 10.1007/s11270-011-0804-y
- Bagheri S., Julkapli N.M., Yehye W.A. // Renew. Sust. Energ. Rev. 2015. Vol. 41. P.113. doi: 10.1016/j.rser.2014.08.031
- Alptekin E., Canakci M. // Appl. Therm. Eng. 2017. Vol. 124. P. 504. doi: 10.1016/j.applthermaleng.2017.06.064
- Mota C.J.A., Da Silva C.X.A., Rosenbach N., Costa J., Da Silva F. // Energy and Fuels. 2010. Vol. 24. N. 4. P. 2733. doi: 10.1021/ef9015735
- Rodrigues R., Santos M.S., Nunes R.S., Carvalho W.A., Labuto G. // Fuel. 2021. P. 299. doi: 10.1016/j.fuel.2021.120923
- Yang J., Li N., Ma W.J., Zhou J.H., Sun H.Z. // Adv. Mater. Res. 2014. Vol. 830. P. 176. doi: 10.4028/ href='www.scientific.net/AMR.830.176' target='_blank'>www.scientific.net/AMR.830.176
- Konosu T., Oida S. // Chem. Pharm. Bull. 1991. Vol. 39. N 9. P. 2212. doi: 10.1248/cpb.39.2212
- Zhou C.H., Beltramini J.N., Lu G.Q. // Chem. Soc. Rev. 2008. Vol. 37(3). P. 527. doi: 10.1039/b707343g
- Agirre I., García I., Requies J., Barrio V.L., Güemez M.B., Cambra J.F., Ariasn P.L. // Biomass and Bioenergy. 2011. Vol. 35. N 8. P. 3636. doi: 10.1016/j.biombioe.2011.05.008
- Silva V.M.T.M., Rodrigues A.E. // Chem. Eng. Sci. 2001. Vol. 56. N 4. P. 1255. doi: 10.1016/S0009-2509(00)00347-X
- Barros A.O., Faísca A.T., Lachter E.R., Nascimento R.S.V., Gil R.A.S.S. // J. Braz. Chem. Soc. 2011. Vol. 22. N 2. P. 359. doi: 10.1590/S0103-50532011000200023
- Chansorn N., Amnuaypanich S., Soontaranon S., Rugmai S., Amnuaypanich S. // J. Ind. Eng. Chem. 2022. Vol. 112. P. 233. doi: 10.1016/j.jiec.2022.05.017
- Dashtipour B., Dehghanpour S., Sharbatdaran M. // Polyhedron. 2024. P. 247. doi: 10.1016/j.poly.2023.116733
- Aguado-Deblas L., Estevez R., Russo M., La Parola V., Bautista F.M., Testa M.L. // J. Environ. Chem. Eng. 2022. Vol. 10. N 6. doi: 10.1016/j.jece.2022.108628
- Pham P.D., Monge S., Lapinte V., Raoul Y., Robin J.J. // Eur. Polym. J. 2017. Vol. 95. P. 491. doi 10.1016/ j.eurpolymj.2017.08.014
- Zhang D., Culver H.R., Bowman C.N. // ACS Appl. Nano Mater. 2019. Vol. 2. N 12. P. 7549. doi: 10.1021/acsanm.9b01634
- Vanlaldinpuia K., Bez G. // Tetrahedron Lett. 2011. Vol. 52. N 29. P. 3759. doi: 10.1016/j.tetlet.2011.05.050
- Yip L., Kubczyk T.M., Davies T.E., Taylor S.H., Apperley D.C., Graham A.E. // Catal. Sci. Technol. 2012. Vol. 2. N 11. P. 2258. doi: 10.1039/c2cy20188g
- Smith B.M., Kubczyk T.M., Graham A.E. // Tetrahedron. 2012. Vol. 68. N 38. P. 7775. doi: 10.1016/j.tet.2012.07.048
- Deutsch J., Martin A., Lieske H. // J. Catal. 2007. Vol. 245. N 2. P. 428. doi: 10.1016/j.jcat.2006.11.006
- Kumar I., Rana S., Cho J.W., Rode C.V. // Tetrahedron Asym. 2010. Vol. 21. N 3. P. 352. doi10.1016/ j.tetasy.2010.02.002
- Lorca M., Kuhn D., Kurosu M. // Tetrahedron Lett. 2001. Vol. 42. P. 6243. doi: 10.1016/S0040-4039(01)01276-X
- Ashton W.T., Canning L.F., Reynolds G.F., Tolman R.L., Karkas J.D., Liou R., Davies M.E., DeWitt C.M., Perry H.C., Field A.K. // J. Med. Chem. 1985. Vol. 28. N 7. P. 926. doi: 10.1021/jm00145a014
- Marco J.L., Rodrfguez B. // Tetrahedron Lett. 1997. Vol. 29. N 16. P. 1997. doi: 10.1016/S0957-4166(97)00236-X
- Hubschwerlen C. // Synthesis. 1986. Vol. 11. P. 962. doi: 10.1055/s-1986-31839
- De Wilde H., De Clercql P., Vandewalle M., Centre D. // Tetrahedron Lett. 1987. Vol. 28. N 40. P. 4757. doi: 10.1016/S0040-4039(00)96618-8
- MaloneyHuss K.E. // Synth. Commun. 1985. Vol. 15. N 4. P. 273. doi: 10.1080/00397918508063799
- Iranpoor N., Adibi H. // Bull. Chem. Soc. Japan. 2000. Vol. 73. N 3. P. 675. doi: 10.1246/bcsj.73.675
- Procopio A., Dalpozzo R., De Nino A., Maiuolo L., Nardi M., Russo B. // Adv. Synth. Catal. 2005. Vol. 347. N 10. P. 1447. doi: 10.1002/adsc.200505096
- Orita A., Sakamoto K., Hamada Y., Otera J. // Lett. Synlett. 2000. N 1. P. 140. doi: 10.1055/s-2000-6474
- Dieskau A.P., Plietker B. // Org. Lett. 2011. Vol. 13. N 20. P. 5544. doi: 10.1021/ol202270g
- Chen E., Ling X.-H., He Y.-P., Peng X.-H. // Synthesis. 2001. Vol. 12. P. 12. doi: 10.1055/s-2001-17515
- Mallik S., Prasad R., Bhattacharya A., Sen P. // ACS Med. Chem. Lett. 2018. Vol. 9. N 5. P. 434. doi: 10.1021/acsmedchemlett.8b00008
- Bibak N., Hajdu J. // Tetrahedron Lett. 2003. Vol. 44. N 31. P. 5875. doi: 10.1016/S0040-4039(03)01419-9
- Kotsovolou S., Verger R., Kokotos G. // Org. Lett. 2002. Vol. 4. N 16. P. 2625. doi: 10.1021/ol026039l
- Sauvageau J., Foster A.J., Khan A.A., Chee S.H., Sims I.M., Timmer M.S.M., Stocker B.L. // ChemBioChem. 2012. Vol. 13. N 16. P. 2416. doi: 10.1002/cbic.201200468
- Chen A., Zheng Y., Zhou X. // Synth. Commun. 1999. Vol. 29. N 19. P. 3421. doi: 10.1080/00397919908085970
- Malik S., Kartha K.P.R. // Synlett. 2009. Vol. 11. P. 1809. doi: 10.1055/s-0029-1217356
- Liang K., Li X., Wei D., Jin C., Liu C., Xia C. // Chem. 2023. Vol. 9. N 2. P. 511. doi: 10.1016/j.chempr.2022.11.001
- Barluenga J., Fañanás F.J., Sanz R., Marcos C., Ignacio J.M. // Chem. Commun. 2005. Vol. 7. P. 933. doi: 10.1039/b414966a
- Manabe S., Ueki A., Ito Y. // Tetrahedron Lett. 2008. Vol. 49. N 35. P. 5159. doi: 10.1016/j.tetlet.2008.06.081
- Aragozzini F., Maconi E., Potenza D., Scolastico C. // Synthesis. 1989. Vol. 3. P. 225. doi: 10.1055/s-1989-27211
- Babu K.C., Vysabhattar R., Srinivas K.S.V., Nigam S., Madhusudhan G., Mukkanti K. // Tetrahedron Asym. 2010. Vol. 21. N 21–22. P. 2619. doi: 10.1016/j.tetasy.2010.10.012
- Lebar M.D., Baker B.J. // Tetrahedron Lett. 2007. Vol. 48. N 45. P. 8009. doi: 10.1016/j.tetlet.2007.09.053
- Ohno M., Fujita K., Nakai H., Kobayashi S., Inoue K., Nojima S. // Chem. Pharm. Bull. 1985. Vol. 33. N 2. P. 572. doi: 10.1248/cpb.33.572
- Al-Hakim A.H., Haines A.H., Morley C. // Synthesis. 1985. Vol. 2. P. 207. doi: 10.1055/s-1985-31158
- Sanderson J.R., Lin J.J., Duranleau R.G., Yeakey E.L., Marquis E.T. // J. Org. Chem. 1988. Vol. 53. N 12. P. 2859. doi: 10.1021/jo00247a043
- Chiellini E., Faggioni S., Solaro R. // J. Bioact. Compat. Polym. 1990. Vol. 5. N 1. P. 16. doi 10.1177/ 088391159000500103
- Baldwin J.J., Raab A.W., Mensler K., Arison B.H., McClure D.E. // J. Org. Chem. 1978. Vol. 43. N 25. P. 4876. doi: 10.1021/jo00419a036
- Tang R., Yan Z., Luo Y. // J. Cent. South Univ. 2005. Vol. 12. N 6. P. 693. doi: 10.1007/s11771-005-0071-4
- Bradshaw J.S., Huszthy P., Mcdaniel C.W., Zhu C.Y., Dalley N.K., Izatt R.M., Lifson S. // J. Org. Chem. 1990. Vol. 55. P. 105. doi: 10.1080/00958979209407947
- Martins R. de S., Pereira M.P., de Castro P.P., Bombonato F.I. // Tetrahedron. 2020. Vol. 76. N 5. P. 130855. doi: 10.1016/j.tet.2019.130855
- Ramadan E.S., Rasheed H.A., El Ashry E.S.H. // J. Serb. Chem. Soc. 2019. Vol. 84. N 1. P. 1. doi: 10.2298/JSC171127067R
- Srikanth V., Prasad R.B.N., Poornachandra Y., Phani Babu V.S., Ganesh Kumar C., Jagadeesh B., Jala R.C.R. // J. Med. Chem. 2016. Vol. 109. P. 134. doi 10.1016/ j.ejmech.2015.12.048
- Mohammed M.O., Baird M.S., Al Dulayymi J.R. // Tetrahedron Lett. 2015. Vol. 56. N 23. P. 3268. doi 10.1016/ j.tetlet.2015.01.070
- Ganesan M., Muraleedharan K.M. // Nucleosides, Nucleotides and Nucleic Acids. 2010. Vol. 29. N 2. P. 91. doi: 10.1080/15257771003597709
- Жданкина Г.М., Серебряков Э.П. // Изв. АН СССР. Сер. хим. 1985. Т. 34. № 11. С. 2414; Zhdankina G.M., Serebryakov E.P. // Bull. Acad. Sci. USSR Div. Chem. Sci. 1985. Vol. 34. N 11. P. 2414. doi: 10.1007/bf00956813
- Amma J.P., Stille J.K. // J. Org. Chem. 1982. Vol. 47. N 3. P. 468. doi: 10.1021/jo00342a019
- Pirrung M.C., Dunlap S.E., Trinks U.P. // Helv. Chim. Acta. 1989. Vol. 72. P. 1301. doi: 10.1002/hlca.19890720618
- Jurczak J., Pikul S., Bauer T. // Tetrahedron 1986. Vol. 42. P. 447. doi: 10.1016/S0040-4020(01)87445-7
- Xia J., Hui Y.Z. // Tetrahedron Asym. 1997. Vol. 8. P. 3019. doi: 10.1016/S0957-4166(97)00005-0
- Molinari F., Cavenago K.S., Romano A., Romano D., Gandolfi R. // Tetrahedron Asym. 2004. Vol. 15. N 12. P. 1945. doi: 10.1016/j.tetasy.2004.05.010
- Maconi E., Gualandris R., Aragozzini F. // Biotechnol. Lett. 1990. Vol. 12. N 6. P. 415. doi: 10.1007/bf01024395
- Reetz M.T., Höbenreich H., Soni P., Fernández L. // Chem. Commun. 2008. Vol. 43. P. 5502. doi: 10.1039/b814538e
- Romano D., Falcioni F., Mora D., Molinari F., Buthe A., Ansorge-Schumacher M. // Tetrahedron Asym. 2005. Vol. 16. N 4. P. 841. doi: 10.1016/j.tetasy.2004.12.021
- Terao Y., Tsuji K., Murata M., Achiwa K., Nishio Y., Watanabe N., Seto K. // Chem. Pharm. Bull. 1989. Vol. 37. N 6. P. 1653. doi: 10.1248/cpb.37.1653
- Vänttinen E., Kanerva L.T. // Tetrahedron Asym. 1997. Vol. 8. N 6. P. 923. doi: 10.1016/s0957-4166(97)00057-8
- Geerlof A., Stoorvogel J., Jongejan J.A., Leenen E.J.T.M., Van Dooren T.J.G.M, Van Den Tweel W.J.J., Duine J.A., Van W.J.J. // Appl. Microbiol. Biotechnol. 1994. Vol. 42. P. 8.
- Godinho L.F., Reis C.R., Tepper P.G., Poelarends G.J., Quax W.J. // Appl. Environ. Microbiol. 2011. Vol. 77. N 17. P. 6094. doi: 10.1128/AEM.05122-11
- Fronza G., Fuganti C., Mele A., Pedrocchi-Fantoni G., Servi S. // J. Org. Chem. 1992. Vol. 57. N 3. P. 999. doi: 10.1021/jo00029a039
- Fronza G., Fuganti C., Pedrocchi-Fantoni G., Servi S. // Chem. Lett. 1989. Vol. 18. N 12. P. 2141. doi: 10.1246/cl.1989.2141
- Vinogradov M.G., Kurilov D.V., Ferapontov V.A., Heise G.L. // Mendeleev Commun. 2003. Vol. 13. N 3. P. 125. doi: 10.1070/MC2003v013n03ABEH001804
- Chenault H.K., Chafin L.F., Liehr S. // J. Org. Chem. 1998. Vol. 63. N 12. P. 4039. doi: 10.1021/jo980122y
- Kodali D.R. // J. Lipid Res. 1987. Vol. 28. N 4. P. 464.
- Perkins M.V., Jacobs M.F., Kitching W., Cassidy P.J., Lewis J.A., Drew R.A.I. // J. Org. Chem. 1992. Vol. 57. N 12. P. 3365. doi: 10.1021/jo00038a027
- Barbosa S.L., Ottone M., de Almeida M.T., Lage G.L.C., Almeida M.A.R., Nelson D.L., dos Santos W.T.P., Clososki G.C., Lopes N.P., Klein S.I., Zanatta L.D. // J. Braz. Chem. Soc. 2018. Vol. 29. N 8. P. 1663. doi: 10.21577/0103-5053.20180039
- Lozano P., Gomez C., Nicolas A., Polo R., Nieto S., Bernal J.M., García-Verdugo E., Luis S.V. // ACS Sustain. Chem. Eng. 2016. Vol. 4. N 11. P. 6125. doi: 10.1021/acssuschemeng.6b01570
- Umbarkar S.B., Kotbagi T.V., Biradar A.V., Pasricha R., Chanale J., Dongare M.K., Mamede A.S., Lancelot C., Payen E. // J. Mol. Catal. Chem. 2009. Vol. 310. N 1–2. P. 150. doi: 10.1016/j.molcata.2009.06.010
- Barbosa S.L., Lima P.C., dos Santos W.T.P., Klein S.I., Clososki G.C., Caires F.J. // Catal. Commun. 2019. Vol. 120. P. 76. doi: 10.1016/j.catcom.2018.12.005
- Cook P.F.E., Showler A.J. // J. Chem. Soc. 1965. Vol. 851. P. 4594. doi: 10.1039/JR9650004594
- Fraser B.H., Perlmutter P., Wijesundera C. // J. Am. Oil Chem. Soc. 2007. Vol. 84. N 1. P. 11. doi: 10.1007/s11746-006-1001-9
- Gras J.-L., Bonfanti J.-F. // Synlett. 1998. P. 1835. doi: 10.1055/s-1999-2936
- Huy P.H., Mbouhom C. // Chem. Sci. 2019. Vol. 10. N 31. P. 7399. doi: 10.1039/c9sc02126d
- Joshi A., Shaikh M., Singh S., Rajendran A., Mhetre A., Kamat S.S. // J. Bio. Chem. 2018. Vol. 293. N 44. P. 16953. doi: 10.1074/jbc.RA118.005640
- Mori K. // Tetrahedron. 2012. Vol. 68. N 40. P. 8441. doi: 10.1016/j.tet.2012.07.086
- Neamtu C., Stepan E., Plesu V., Bozga G., Tuluc A. // Rev. Chim. 2019. Vol. 70. N 4. P. 10.37358/RC.19.4.7086
- Omar I.C., Saeki H., Nishio N., Nagal S. // Biotech. Lett. 1989. Vol. 3. P. 161.
- Perosa A., Moraschini A., Selva M., Noè M. // Molecules. 2016. Vol. 21. N 2. doi: 10.3390/molecules21020170
- Pillai P.K.S., Mohanan A., Bouzidi L., Narine S.S. // Ind. Crops Prod. 2016. Vol. 94. P. 431. doi 10.1016/ j.indcrop.2016.09.018
- Torregrosa R., Balcells M., Torres M., Canela-Garayoa R. // Nat. Prod. Commun. 2014. Vol. 9. P. 1095. doi: 10.1177/1934578x1400900809
- Wang Y., Aleiwi B.A., Wang Q., Kurosu M. // Org. Lett. 2012. Vol. 14. N 18. P. 4910. doi: 10.1021/ol3022337
- Zniszczoo A., Walczak K.Z. // Lett. Org. Chem. 2014. Vol. 11. P. 1021. doi: 10.2174/157017861101140113155507
- Wang M., Pinnamaraju S., Ranganathan R., Hajdu J. // Chem. Phys. Lipids. 2013. Vol. 172. P. 78. doi 10.1016/ j.chemphyslip.2013.05.003
- García-Domínguez P., Lepore I., Erb C., Gronemeyer H., Altucci L. // Org. Biomol. Chem. 2011. Vol. 9. N 20. P. 6979. doi: 10.1039/c1ob05932g
- Rodriguez C.M., Martin T., Ramirez M.A., Martin V.S. // J. Org. Chem. 1994. Vol. 59. P. 144. doi: 10.1021/jo00105a027
- Romano D., Ferrario V., Molinari F., Gardossi L., Montero J.M.S., Torre P., Converti A. // J. Mol. Catal. (B). 2006. Vol. 41. N 3–4. P. 71. doi: 10.1016/j.molcatb.2006.04.009
- Wang Q., Wang Y., Kurosu M. // Org. Lett. 2012. Vol. 14. N 13. P. 3372. doi: 10.1021/ol3013556
- Sutharsan J., Dakanali M., Capule C.C., Haidekker M.A., Yang J., Theodorakis E.A. // Chem. Med. Chem. 2010. Vol. 5. N 1. P. 56. doi: 10.1002/cmdc.200900440
- Lund J., Stensrud C., Rajender Bohov P., Thoresen G.H., Berge R.K., Wright M., Kamal A., Rustan A.C., Miller A.D., Skorve J. // Bioorg. Med. Chem. 2016. Vol. 24. N 6. P. 1191. doi: 10.1016/j.bmc.2016.01.045
- Bonnefont J.P., Djouadi F., Prip-Buus C., Gobin S., Munnich A., Bastin J. // Mol. Aspects Med. 2004. Vol. 25. N 5–6. P. 495. doi: 10.1016/j.mam.2004.06.004
- Li Z., Baker D.L., Tigyi G., Bittman R. // J. Org. Chem. 2006. Vol. 71. N 2. P. 629. doi: 10.1021/jo052030w
- Ungur N., Gavagnin M., Fontana A., Cimino G. // Tetrahedron. 2000. Vol. 56. P. 2503. doi: 10.1016/S0040-4020(00)00097-1
- Yin G.-Z., Wang D.-Y. // Arxiv Pre-print. 2021. P. 1. doi: 10.48550/arXiv.2201.04941
- Ilankumaran P., Verkade J.G. // J. Org. Chem. 1999. Vol. 64. N 5. P. 9063. doi: 10.1021/jo990928d
- Bosco J.W.J., Agrahari A., Saikia A.K. // Tetrahedron Lett. 2006. Vol. 47. N 24. P. 4065. doi 10.1016/ j.tetlet.2006.03.182
- Jeyakumar K., Chand D.K. // J. Mol. Catal. Chem. 2006. Vol. 255. N 1–2. P. 275. doi: 10.1016/j.molcata. 2006.04.026
- Bartoli G., Bosco M., Dalpozzo R., Marcantoni E., Massaccesi M., Sambri L. // Eur. J. Org. Chem. 2003. Vol. 23. P. 4611. doi: 10.1002/ejoc.200300458
- Lee S.H., Wu T.C., Yang C.Y. // Synth. Commun. 1988. Vol. 18. N 4. P. 359. doi: 10.1080/00397918808063999
- Peng Z., Orita A., An D., Otera J. // Tetrahedron Lett. 2005. Vol. 46. N 18. P. 3187. doi 10.1016/ j.tetlet.2005.03.055
- Qiu R., Zhu Y., Xu X., Li Y., Shao L., Ren X., Cai X., An D., Yin S. // Catal. Commun. 2009. Vol. 10. N 14. P. 1889. doi: 10.1016/j.catcom.2009.06.019
- Reddy T.S., Narasimhulu M., Suryakiran N., Mahesh K.C., Ashalatha K., Venkateswarlu Y. // Tetrahedron Lett. 2006. Vol. 47. N 38. P. 6825. doi 10.1016/ j.tetlet.2006.07.059
- Zeraatpisheh M. // Chin. J. Chem. 2009. Vol. 27. P. 347. doi: 10.1002/cjoc.200990056
- Khan A.T., Islam S., Majee A., Chattopadhyay T., Ghosh S. // J. Mol. Catal. Chem. 2005. Vol. 239. N 1–2. P. 158. doi: 10.1016/j.molcata.2005.05.042
- Mori K. // Tetrahedron. 2014. Vol. 70. N 35. P. 5752. doi: 10.1016/j.tet.2014.06.049
- Beyaz K., Charton M., Rouilly A., Vedrenne E., Vaca-Garcia C., Benaboura A., Thiebaud-Roux S. // Ind. Crops Prod. 2017. Vol. 97. P. 32. doi 10.1016/ j.indcrop.2016.12.001
- Beyaz K., Vaca-Garcia C., Vedrenne E., Haddadine N., Benaboura A., Thiebaud-Roux S. // Int. J. Polym. Anal. Charact. 2019. Vol. 24. N 3. P. 245. doi: 10.1080/1023666X.2019.1567085
- Pham P.D., Monge S., Lapinte V., Raoul Y., Robin J.J. // Eur. Polym. J. 2017. Vol. 95. P. 491. doi 10.1016/ j.eurpolymj.2017.08.014
- Pham P.D., Monge S., Lapinte V., Raoul Y., Robin J.J. // J. Mater. Sci. 2017. Vol. 52. N 2. P. 968. doi: 10.1007/s10853-016-0392-8
- Rossi N.A.A., Zou Y., Scott M.D., Kizhakkedathu J.N. // Macromolecules. 2008. Vol. 41. N 14. P. 5272. doi: 10.1021/ma800606k
- Shrinidhi A. // ChemistrySelect. 2016. Vol. 1. N 12. P. 3016. doi: 10.1002/slct.201600421
- Sousa S.C.O., Junior C.G.L., Silva FP.L., Andrade N.G., Barbosa T.P., Vasconcellos M.L.A.A. // J. Braz. Chem. Soc. 2011. Vol. 22. P. 1. doi: 10.1590/S0103-50532011001100028
- Yu D.M., Smith D.M., Kim H., Rzayev J., Russell T.P. // Macromolecules. 2019. Vol. 52. N 17. P. 6458. doi: 10.1021/acs.macromol.9b01323
- Zhang D., Zhang H., Nie J., Yang J. // Polym. Int. 2010. Vol. 59. N 7. P. 967. doi: 10.1002/pi.2814
- Zhang Q., Hou Z., Louage B., Zhou D., Vanparijs N., de Geest B.G., Hoogenboom R. // Angew. Chem. 2015. Vol. 127. N 37. P. 11029. doi: 10.1002/ange.201505145
- Zhang Q., Vanparijs N., Louage B., de Geest B.G., Hoogenboom R. // Polym. Chem. 2014. Vol. 5. N 4. P. 1140. doi: 10.1039/c3py00971h
- Prabhakar P., Suryakiran N., Venkateswarlu Y. // Chem. Lett. 2007. Vol. 36. P. 732. doi: 10.1016/j.catcom.2007.01.04
- Nakamura H., Lee J.D., Ueno M., Miyajima Y., Ban H.S. // Nanobiotechnology. 2007. Vol. 3. N 2. P. 135. doi: 10.1007/s12030-008-9000-6
- Губская В.П., Фазлеева Г.М., Гильмутдинова А.А., Латыпов Ш.К., Шарафутдинова Д.Р., Нуретдинов И.А., Синяшин О.Г. // Изв. АН. Cер. хим. 2014. № 6. С. 1386; Gubskaya V.P., Fazleeva G.M., Gil’Mutdinova A.A., Latypov S.K., Sharafutdinova D.R., Nuretdinov I.A., Sinyashin O.G. // Russ Chem Bull. 2014. Vol. 63. N 6. P. 1386. doi: 10.1007/s11172-014-0607-6
- Яковенко Е.А., Баймурзина Ю.Л., Раскильдина Г.З., Злотский С.С. // ЖПХ. 2020. Т. 93. № 5. С. 705. doi: 10.31857/S0044461820050126; Yakovenko E.A., Baimurzina Y.L., Raskil’dina G.Z., Zlotskii S.S. // Russ. J. Appl. Chem. 2020. Vol. 93. N 5. P. 712. doi: 10.1134/S1070427220050122
- Bartoli G., Bosco M., Carlone A., Dalpozzo R., Locatelli M., Melchiorre P., Palazzi P., Sambri L. // Synlett. 2006. Vol. 13. P. 2104. doi: 10.1055/s-2006-949609
- Suryakiran N., Prabhakar P., Venkateswarlu Y. // Synth. Commun. 2008. Vol. 38. N 2. P. 177. doi: 10.1080/00397910701749617
- Gilmutdinova A.A., Gubskaya V.P., Fazleeva G.M., Latypov S.K., Zhelonkina T.A., Sharafutdinova D.R., Nuretdinov I.A., Sinyashin O.G. // Tetrahedron. 2014. Vol. 70. N 35. P. 5947. doi: 10.1016/j.tet.2014.06.009
- Kosarev M.A., Gavrilov D.E., Nifant’ev I.E., Shlyakhtin A.V., Tavtorkin A.N., Dyadchenko V.P., Roznyatovsky V.A., Ivchenko P.V. // Mendeleev Commun. 2019. Vol. 29. N 5. P. 509. doi: 10.1016/j.mencom.2019.09.010
- Müller L.K., Steinbach T., Wurm F.R. // RSC Adv. 2015. Vol. 5. N 53. P. 42881. doi: 10.1039/c5ra07167d
- Song W.J., Du J.Z., Liu N.J., Dou S., Cheng J., Wang J. // Macromolecules, 2008. Vol. 41. N 19. P. 6935. doi: 10.1021/ma801043m
- Ramani V.C., Shah N.M., Shah R.D. // Asian J. Chem. 2018. Vol. 30. N 10. P. 2352. doi: 10.14233/ajchem.2018.21576
- Pallavicini M., Valoti E., Villa L., Piccolo O. // Tetrahedron Asym. 2001. Vol. 12. N 17. P. 2489. doi: 10.1016/s0957-4166(01)00439-6
- Kunieda T. // Tetrahedron Lett. 1987. Vol. 28. P. 2375. doi: 10.1016/S0040-4039(00)96128-8
- Kaur A., Poonam Patil M.T., Mehta S.K., Salunke D.B. // RSC Adv. 2018. Vol. 8. N 18. P. 9587. doi: 10.1039/c8ra01387j
- Liu Y., Yan B., Wang Z., Zhu H., Yin X., Wang K., Wang M., Zhao W. // ACS Med. Chem. Lett. 2020. Vol. 11. N 7. P. 1371. doi: 10.1021/acsmedchemlett.9b00579
- Noronha-Blob L., Kachur J.F., Goyal R.K. // Trends Pharmacol. Sci. 1992. Vol. 35. P. 562.
- Tursun A., Canet I., Aboab B., Sinibaldi M.E. // Tetrahedron Lett. 2005. Vol. 46. N 13. P. 2291. doi 10.1016/ j.tetlet.2005.02.009
- Wu W., Li R., Malladi S.S., Warshakoon H.J., Kimbrell M.R., Amolins M.W., Ukani R., Datta A., David S.A. // J. Med. Chem. 2010. Vol. 53. N 8. P. 3198. doi: 10.1021/jm901839g
- Yadav M., Raghupathy R., Saikam V., Dara S., Singh P.P., Sawant S.D., Mayor S., Vishwakarma R.A. // Org. Biomol. Chem. 2014. Vol. 12. P. 1163. doi: 10.1039/c3ob42116c
- Zarbin P.H.G., Oliveira A.R.M., Simonelli F., Villar J.A.F.P., Delay O. // Tetrahedron Lett. 2004. Vol. 45. N 40. P. 7399. doi: 10.1016/j.tetlet.2004.08.083
- Колодяжная А.О., Кухарь В.П., Колодяжный О.И. // ЖОХ. 2008. Т. 78. № 12. С. 2061; Kolodyazhnaya A.O., Kukhar’ V.P., Kolodyazhnyi O.I. // Russ. J. Gen. Chem. 2008. Vol. 78. N 12. P. 2407. doi: 10.1134/S1070363208120207
- Taschner M.J. // eEROS. 2001. doi: 10.1002/047084289x.rt404
- Kawakami Y., Asai T., Umeyama K., Yamashita Y. // J. Org. Chem. 1982. Vol. 47. N 18. P. 3581. doi: 10.1021/jo00139a049
- Байбуртли А.В., Григорьева Н.Г., Раскильдина Г.З., Злотский С.С., Кутепов Б.И. // Докл. АН. Химия, науки о материалах. 2020. T. 490. № 1. C. 29. doi: 10.31857/s2686953520010033; Bayburtli A.V., Raskil’dina G.Z., Zlotsky S.S., Grigorieva N.G., Kutepov B.I. // Doklady Chem. 2020. Vol. 490. N 2. P. 32. doi: 10.1134/S0012500820020019
- Bartoli G., Giovannini R., Giuliani A., Marcantoni E., Massaccesi M., Melchiorre P., Paoletti M., Sambri L. // Eur. J. Org. Chem. 2006. Vol. 6. P. 1476. doi: 10.1002/ejoc.200500780
- Gogoi D., Baruah N., Bez G. // Synth. Commun. 2007. Vol. 37. N 4. P. 593. doi: 10.1080/00397910601055123
- Khan A.T., Choudhury L.H., Ghosh S. // Tetrahedron Lett. 2004. Vol. 45. N 42. P. 7891. doi 10.1016/ j.tetlet.2004.08.141
- Khan A.T., Ghosh S., Choudhury L.H. // Eur. J. Org. Chem. 2005. Vol. 22. P. 4891. doi: 10.1002/ejoc.200500400
- Khan A.T., Mondal E., Borah B.M., Ghosh S. // Eur. J. Org. Chem. 2003. Vol. 21. P. 4113. doi: 10.1002/ejoc.200300429
- Khan A.T., Parvin T., Choudhury L.H. // Synthesis. 2006. Vol. 15. P. 2497. doi: 10.1055/s-2006-942465
- Kotke M., Schreiner P.R. // Synthesis. 2007. N 5. P. 779. doi: 10.1055/s-2007-965917
- Miura T., Masaki Y. // Synth. Commun. 1995. Vol. 25. N 13. P. 1981. doi: 10.1080/00397919508015875
- Patel B.K., Samal A.K., Kavala V., Samal A.K. // Arkivoc. 2005. P. 29.
- Prabhavathi Devi B.L.A., Gangadhar K.N., Siva Kumar K.L.N., Shiva Shanker K., Prasad R.B.N., Sai Prasad P.S. // J. Mol. Catal. Chem. 2011. Vol. 345. N 1–2. P. 96. doi: 10.1016/j.molcata.2011.05.025
- Reddy T.S., Ravinder K., Suryakiran N., Narasimhulu M., Mahesh K.C., Venkateswarlu Y. // Tetrahedron Lett. 2006. Vol. 47. N 14. P. 2341. doi 10.1016/ j.tetlet.2006.02.011
- Rosseto R., Bibak N., Hajdu J. // Org. Biomol. Chem. 2006. Vol. 4. N 12. P. 2358. doi: 10.1039/b603788g
- Stephens J.R., Butler P.L., Clow C.H., Oswald M.C., Smith R.C., Mohan R.S. // Eur. J. Org. Chem. 2003. Vol. 19. P. 3827. doi: 10.1002/ejoc.200300295
- Tanemura K., Suzuki T. // Tetrahedron Lett. 2013. Vol. 54. N 49. P. 6740. doi: 10.1016/j.tetlet.2013.09.137
- Manabe S., Yamaguchi M., Ito Y. // Chem. Commun. 2013. Vol. 49. N 75. P. 8332. doi: 10.1039/c3cc43968b
- Xu X., Jiang M., Miao D., Liu Y., Tan X., Hu J., Gu C., Peng W., Jiang F. // ChemistrySelect. 2022. Vol. 7. P. 35. doi: 10.1002/slct.202202781
- Schade B., Singh A.K., Wycisk V., Cuellar-Camacho J.L., von Berlepsch H., Haag R., Böttcher C. // Chem. Eur. J. 2020. Vol. 26. N 30. P. 6919. doi: 10.1002/chem.201905745
- Suriyaprapadilok N., Kitiyanan B. // Energy Procedia. 2011. Vol. 9. P. 63. doi: 10.1016/j.egypro.2011.09.008
- Handa S., Hawes J.E., Pryce R.J. // Synth. Commun. 1995. Vol. 25. N 18. P. 2837. doi 10.1080/ 00397919508011831
- Rafiee M., Konz Z.M., Graaf M.D., Koolman H.F., Stahl S.S. // ACS Catal. 2018. Vol. 8. N 7. P. 6738. doi: 10.1021/acscatal.8b01640
- Yamaoka H., Moriya N., Ikunaka M. // Org. Proc. Res. Develop. 2004. Vol. 8. N 6. P. 931. doi: 10.1021/op049940k
- Zweifel T., Naubron J.V., Grützmacher H. // Angew. Chem. 2009. Vol. 48. N 3. P. 559. doi: 10.1002/anie.200804757
- Babu K.C., Vysabhattar R., Srinivas K.S.V., Nigam S., Madhusudhan G., Mukkanti K. // Tetrahedron Asym. 2010. Vol. 21. N 21–22. P. 2619. doi 10.1016/ j.tetasy.2010.10.012
- Chandra Babu K., Ramadasu G., Gangaiah L., Madhusudhan G., Mukkanti K. // Ind. J. Chem. 2010. Vol. 49. P. 24.
- Anil S.M., Vinayaka A.C., Rajeev N., Swaroop T.R., Mallesha N., Rangappa K.S., Sadashiva M.P. // ChemistrySelect. 2018. Vol. 3. N 7. P. 1999. doi: 10.1002/slct.201800032
- Chaiseeda K., Chantharadet L., Chavasiri W. // Res. Chem. Intermed. 2018. Vol. 44. N 2. P. 1305. doi: 10.1007/s11164-017-3168-0
- He Y., Johansson M., Sterner O. // Synth. Commun. 2004. Vol. 34. N 22. P. 4153. doi: 10.1081/SCC-200036616
- Subhas Bose D., Jayalakshmi B., Narsaiah A.V. // Synthesis. 2000. Vol. 1. P. 67. doi: 10.1021/jo981839o
- Kim K.S., Song Y.H., Lee B.H., Hahn C.S. // J. Org. Chem. 1986. Vol. 51. N 3. P. 404. doi: 10.1021/jo00353a027
- Chen C.Y., Han W.B., Chen H.J., Wu Y., Gao P. // Eur. J. Org. Chem. 2013. Vol. 20. P. 4311. doi: 10.1002/ejoc.201300247
- Gras J.-L., Bonfanti J.-F. // Synlett. 1999. Vol. 11. P. 1835. doi: 10.1055/s-1999-2936
- Nakamura H., Ueda N., Ban H.S., Ueno M., Tachikawa S. // Org. Biomol. Chem. 2012. Vol. 10. N 7. P. 1374. doi: 10.1039/c1ob06500a
- Esteban J., Garciá-Ochoa F., Ladero M. // Green Proc. Synth. 2017. Vol. 6. N 1. P. 79. doi: 10.1515/gps-2016-0105
- Pat. US 3004894 (1961).
- Pat. US 8771729B2 (2011).
- Pat. US 2023204413A1 (2023).
- Pat. US 9957246B2 (2015).
- Пат. RU 2484825C2 (2007).
- Pat. US 10501706B2 (2019).
- Piasecki A., Mayhew A. // J. Surf. Deterg. 2000. Vol. 3. P. 59. doi: 10.1007/s11743-000-0114-3
- Piasecki A., Mayhew A. // J. Am. Oil Chem. Soc. 2000. Vol. 3. P. 59. doi: 10.1007/s11743-000-0114-3
- Burczyk B., Banaszczyk M., Sokolowski A., Piasecki A. // JAOCS. 1988. Vol. 65. P. 1204.
- Ono D., Yamamura S., Nakamura M., Takeda T., Masuyama A., Nakatsuji Y. // J. Am. Oil Chem. Soc. 1995. Vol. 72. P. 853. doi: 10.1007/bf02541036
- Moity L., Benazzouz A., Molinier V., Nardello-Rataj V., Elmkaddem M.K., de Caro P., Thiébaud-Roux S., Gerbaud V., Marion P., Aubry J.-M. // Green Chem. 2015. Vol. 17. P. 1779. doi: 10.1039/C4GC02377C
- Augeo® SL191. http://www.solvay.com/en/markets-and-products/featured-products/augeo.html
- Раджаббаева Л.У., Хасанова М.М., Юлдашова И.Э., Умиров Н.Н. // Tехн. науки. 2024. T. № 3. С. 120.
- García E., Laca M., Pérez E., Garrido A., Peinado J. // Energy Fuels. 2008. Vol. 22. N 6. P. 4274. doi: 10.1021/ef800477m
- Ilgen O., Yerlikaya S., Akyurek F.O. // Period. Polytech. Chem. Eng. 2016. Vol. 61. P. 144. doi: 10.3311/PPch.8895
- Oparina L.A., Kolyvanov N.A., Gusarova N.K., Saprygina V.N. // Proceed. Univ. Appl. Chem. Biotechnol. 2018. Vol. 8. N 1. P. 19. doi: 10.21285/2227-2925-2018-8-1-19-34
- Максимов А.Л., Нехаев А.И., Рамазанов Д.Н. // Нефтехимия. 2015. Т. 55. № 1. С. 3. doi: 10.7868/S0028242115010104; Maximov A.L., Nekhaev A.I., Ramazanov D.N. // Petroleum Chem. 2015. Vol. 55. N 1. P. 1. doi: 10.1134/S0965544115010107
Supplementary files





























































