Alkylation of Adenyne with (Halomethyl)trimethylsilanes
- Authors: Lazareva N.F.1, Albanov A.I.1, Gostevsky B.A.1, Lazarev I.M.1
-
Affiliations:
- A. E. Favorsky Irkutsk Institute of Chemistry Siberian Branch of the Russian Academy of Sciences
- Issue: Vol 94, No 3 (2024)
- Pages: 419-428
- Section: Articles
- URL: https://ogarev-online.ru/0044-460X/article/view/261510
- DOI: https://doi.org/10.31857/S0044460X24030128
- EDN: https://elibrary.ru/FYELSC
- ID: 261510
Cite item
Full Text
Abstract
The reaction of adenine with (halomethyl)trimethylsilanes HlgCH₂SiMe3 (Hlg = Cl, I) in the presence of a strong base and under neutral conditions was studied. The structure of the reaction products was proven by NMR spectroscopy. For the first time, NMR spectroscopy methods have proven that the interaction of adenine with 1,8-diazabicycloundecene leads to the formation of an adenine anion.
Full Text
ВВЕДЕНИЕ
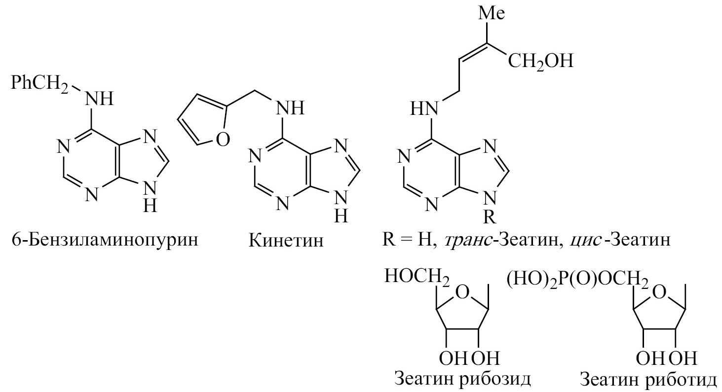
Аденин (6-аминопурин) – азотсодержащий гетероцикл, производное пурина – является одним из ключевых фрагментов, входящих в состав как ДНК, так и РНК, с его участием протекают биохимические процессы в живых организмах. Природные N6-замещенные аденины являются фитогормонами (цитокининами) и регулируют рост и развитие растений. В эту группу входят 6-бензиламинопурин, кинетин, зеатины и др. (схема 1) [1–7].
Соединения, содержащие адениновый фрагмент, широко используются в медицинской практике. В частности, их применяют в качестве агонистов и антагонистов аденозиновых рецепторов, ингибиторов ферментов, противовирусных, противотуберкулезных, противоопухолевых средств, некоторые из этих соединений приведены на схеме 2.
Схема 2.
О высокой актуальности этих исследований свидетельствуют многочисленные публикации в научных журналах химического и биомедицинского профиля (см., например, [8–20]. Возможности применения аденина и его конъюгатов в биологии и медицинской практике далеко не исчерпаны. Синтез и изучение новых производных аденина представляет большой интерес для разработки эффективных лекарственных средств.
Биоизостерическая замена атомов или групп в исходной структуре на близкие по размеру и валентности является одним из базовых приемов [21], используемых при разработке не только новых лекарственных средств [22–26], но и новых препаратов в агрохимии [27–31]. Атомы углерода и кремния являются классическими биоизостерами, и основная причина изменения биологической активности при замещении углерода на кремний связана с их фундаментальными характеристиками (изменение электроотрицательности, ковалентного радиуса) [21, 32–34]. Биоизостерическое С/Si замещение успешно применяют в агрохимии [35–37]. Следует также отметить высокий интерес исследователей к изучению биологической активности биоизостерически модифицированных производных аденина [38, 39]. На основании вышесказанного можно предполагать потенциальную биологическую активность N-(силил)алкилированных производных аденина. Однако к настоящему времени лишь в нескольких работах описан их синтез. Так, N⁹-[(триметилсилил)алкил]аденины синтезированы взаимодействием аденина и 6-бензиладенина с Cl(CH₂)nSiMe₃ (n = 1, 3), реакция протекает в бензоле в присутствии небольшого избытка KOH и триоктилметиламмоний хлорида как межфазного катализатора [40]. (4-Бромбутил)силаны, -ди и -трисилоксаны реагируют с аденином в среде ДМСО в присутствии карбоната калия, образуя соответствующие N⁹-[4-(силил)бутил]аденины [41]. Реакция гидросилилирования производных N⁹-аллиладенина была использована для получения N⁹-(3-силилпропил)аденинов, содержащих у атома кремния функциональные группы [42–44]. Обнаружено, что N6-(силилалкил)- и N⁹-силилалкиладенины проявляют высокую противовирусную и противоопухолевую активность [45, 46].
Как правило, в результате взаимодействия алкилгалогенидов с аденином образуются N⁹-, N⁷- или N³-алкиладенины. Региоселективность процесса алкилирования зависит как от природы реагентов, так и от условий реакции [47–50]. Цель этой работы заключалась в изучении продуктов реакции (галогенметил)триметилсиланов HlgCH₂SiMe₃ (Hlg = Cl, I) c аденином.
РЕЗУЛЬТАТЫ И ОБСУЖДЕНИЕ
Аденин почти не растворим в большинстве органических растворителей [51] и, как правило, реакции с его участием проводят в ДМСО или ДМФА. Мы изучили поведение смеси аденин–1,8-диазабициклоундецен (DBU) в ДМСО-d6 методом мультиядерной спектроскопии ЯМР. Взаимодействии аденина с DBU приводит к переносу протона и образованию солевой структуры 1 (cхема 3). На образование аниона аденина указывает изменение химических сдвигов в спектре ЯМР ¹H, ¹³C. Следует отметить, что подобные изменения в спектрах ЯМР отмечены ранее при образовании натриевых и калиевых солей аденина (табл. 1) [52].
Таблица 1. Химические сдвиги пуринового гетероцикла в спектрах ЯМР ¹H и ¹³C.
Соединение | δН, м. д. | δC, м. д. | Ссылка | ||||||
HC² | HC⁸ | RN | C² | C⁴ | C⁵ | C⁶ | C⁸ | ||
1 | 7.90 | 7.68 | 148.93 | 158.89 | 120.34 | 154.24 | 148.14 | Данная работа | |
2а | 8.34 | 7.73 | 3.77 | 152.26 | 149.65 | 118.90 | 155.31 | 139.94 | Данная работа |
2 | 8.32 | 8.00 | 3.76 | Данная работа | |||||
3а | 8.03 | 7.94 | 4.04 | Данная работа | |||||
3 | 8.23 | 8.12 | 3.99 | Данная работа | |||||
5 | 8.92 | 8.78 | 4.24 | 147.10 | 147.57 | 110.54 | 152.63 | 144.81 | Данная работа |
Аденин | 8.11 | 8.09 | 152.4 | 150.6 | 118.2 | 155.6 | 139.2 | [52] | |
Аd-Na | 7.90 | 7.66 | 146.9 | 157.7 | 119.7 | 154.3 | 149.4 | [52] | |
Аd-K | 7.72 | 7.42 | 147.9 | 160.7 | 121.7 | 155.0 | 150.5 | [52] | |
N¹-MeAdа | 8.07 | 7.88 | 3.67 | 144.7 | 158.3 | 119.7 | 150.0 | 155.5 | [53] |
N³-MeAdа | 8.14 | 7.82 | 3.83 | 146.4 | 151.3 | 120.8 | 156.0 | 153.9 | [53] |
N³-MeAd | 8.29 | 7.76 |
| 143.6 | 150.3 | 120.3 | 154.9 | 152.4 | [55] |
N³-BnAd | 8.57 | 7.79 |
| 143.4 | 149.7 | 120.2 | 154.8 | 152.4 | [55] |
[N³-AcCH₂Ad]⁺I– | 8.50 | 8.38 |
| 149.4 | 148.4 | 110.3 | 154.3 | 146.0 | [56] |
N⁷-MeAdа | 8.08 | 8.01 | 3.90 | 153.7 | 159.4 | 113.2 | 153.3 | 148.0 | [53] |
7-PhCH₂Ad | 8.18 | 8.43 |
| 152.4 | 160.1 | 110.8 | 151.5 | 146.4 | [54] |
9-MeAdа | 8.08 | 7.94 | 3.64 | 153.6 | 150.6 | 119.5 | 156.6 | 144.2 | [53] |
9-MeAd | 8.14 | 8.07 |
| 152.4 | 149.8 | 118.6 | 155.8 | 141.3 | [55] |
a Растворитель – СDCl₃.
Отнесение резонансных сигналов протонов и углеродов аниона аденина выполнено с помощью двумерных корреляционных спектров HSQC 1H–¹³C и HMBC 1H–¹³C. В спектрах ЯМР ¹³C химический сдвиг атома C⁵ пуринового цикла находится в значительно более сильном поле по сравнению с другими углеродными атомами [53, 56–58]. В спектре HMBC 1H–¹³C присутствуют кросс-пики протонов H² и H⁸ со всеми углеродами гетероцикла, однако кросс-пики протонов H² с C⁵ и H⁸ с C⁶ более слабые, так как ядра взаимодействуют через четыре связи. В двумерном спектре HMBC 1H–¹⁵N присутствуют два кросс-пика протона H⁸ с двумя соседними атомами азота N⁹ и N⁷ (–155.3 и –149.9 м. д. соответственно) и два кросс-пика протона H² с геминальными азотами N¹ и N³ (–151.0 и –139.6 м. д.). Если повышение sp²-характера (двоесвязанности) атома азота коррелирует с уменьшением суммы длин связей, то на основании данных РСА [52] можно предполагать следующую последовательность уменьшения sp²-характера и, следовательно, увеличения экранирования ядра азота-15: N¹ ≥ N⁹ ≥ N⁷ ≥ N³. Это позволяет отнести сильнопольные химические сдвиги в спектре ¹⁵N к атомам N⁹ и N³.
Схема 3.
Аденин в присутствии DBU реагирует с (хлорметил)триметилсиланом. Реакция протекает в ДМСО при комнатной температуре. Мониторинг реакции методом спектроскопии ЯМР ¹H показывает, что в этих условиях реакция завершается через 96 ч. После обработки реакционной смеси выделена смесь двух продуктов в соотношении ~ 12:1 (судя по соотношению интегральных интенсивностей в спектрах ЯМР ¹H, схема 3, рис. 1).
Выделить индивидуальные соединения в чистом виде пока не удалось. Изучение их строения методом мультиядерной спектроскопии свидетельствует о том, что основным продуктом реакции является N⁹-[(триметилсилил)метил]аденин (N⁹-[(триметилсилил)метил]пурин-6-амин) 2. Отнесение сигналов в спектрах ЯМР ¹H , ¹³C и определение химических сдвигов атомов азота ¹⁵N выполнено с помощью двумерных корреляционных методик HSQC 1H–¹³C, HMBC 1H–¹³C и HMBC 1H–¹⁵N. Спектр HMBC 1H–¹³C содержит кросс-пики протонов группы NCH₂Si с углеродами пуринового цикла в положениях 4 и 8. Это однозначно доказывает, что алкилирование аденина (хлорметил)триметилсиланом в присутствии DBU приводит к образованию N⁹-[(триметилсилил)метил]аденина. Полученный результат согласуется с тем фактом, что N⁹-алкиладенины являются основными продуктами алкилирования гетероцикла аденина в присутствии оснований [48–50, 53, 56, 57]. Следует отметить, что N⁹-алкилирование аденина имеет важное значение для развития методов синтеза биологически активных соединений. Проблема заключается в том, что в результате алкилирования аденина, как правило, образуется смесь двух или трех региоизомеров (N⁹, N³ и N⁷) [48, 53, 56, 57, 59, 60]. Основная причина их образования – таутомерия гетероциклической системы аденина и его производных. Результаты исследования их строения методами спектроскопии ЯМР и квантовой химии свидетельствуют о том, что N⁷H- и N⁹H-таутомеры более предпочтительны, чем N1H и N³H [56, 61–64]. Несмотря на эту закономерность, вопрос о стабильности таутомеров, остается открытым и должен рассматриваться в каждом отдельном случае. На таутомерное равновесие влияет как природа заместителей, так и внешние факторы (природа растворителя, температура).
Таблица 2. Химические сдвиги в спектрах ЯМР ¹⁵N пуринового гетероцикла.
Соединение | δ, м. д. | Ссылка | |||
N¹ | N³ | N⁷ | N⁹ | ||
1 | –139.6 | –151.0 | –149.9 | –155.3 | Данная работа |
2 | –149.1 | –154.5 | –146.4 | –224.7 | Данная работа |
5 | –146.0 | –222.6 | –147.8 | –147.8 | Данная работа |
3-MeAdа | –150.8 | –229.6 | –135.4 | –145.0 | [54] |
3-PhCH₂Adа | –149.5 | –217.7 | –136.8 | –144.6 | [54] |
[3-АсCH₂Ad]+I– | –227.5 | [55] | |||
7-PhCH₂Adа | –141.2 | –134.4 | –225.2 | –134.3 | [54] |
9-MeAdа | –144.4 | –154.4 | –140.4 | –229.1 | [54] |
9-MeAd | –141.1 | –151.1 | –137.1 | –225.9 | [65] |
а δCH₃NO₂ = δNH₃ – 380.5.
Второй продукт, полученный в результате взаимодействия аденина с (хлорметил)триметилсиланом, является N³- либо N⁷-[(триметилсилил)метил]аденином (на схеме 3 соединения 3 и 4 соответственно). Уверенно идентифицировать это соединение не удалось из-за его низкой концентрации в растворе. Сравнение положения сигналов протонов H², H⁸ в спектрах ЯМР ¹H этого соединения и региоизомеров N¹-, N³-, N⁷- и N⁹-метиладенинов (табл. 1, [53]) позволяет предположить, что минорное соединение 3 является N⁷-[(триметилсилил)метил]аденином.
Схема 4
(Хлорметил)триметилсилан в отсутствие основания не реагирует с аденином даже при длительном нагревании, однако (иодметил)триметилсилан взаимодействует с аденином образуя иодид N³-[(триметилсилил)метил]аденина 5 (схема 4).
Схема 5.
Химические сдвиги сигналов протонов H² и H⁸ в спектре ЯМР ¹H соединения 5 смещены в слабое поле по сравнению с нейтральными N³-метил- и N³-бензиладенинами [53, 54], как и в спектре иодида N³-(2-оксопропил)аденина [55] (табл. 1). Химические сдвиги углеродов C², C⁴, C⁵, C⁶ и C⁸ в спектрах ЯМР ¹³C и азота N³ в спектрах ЯМР ¹⁵N (табл. 2) этих двух солей близки. Как уже отмечено выше, алкилирование в присутствии основания приводит к образованию смеси региоизомеров. Экспериментально показано, что при алкилировании в нейтральных условиях преимущественно образуются N³-алкилированные соли аденина. Однако в зависимости от строения алкилирующего реагента и внешних факторов в реакционной смеси могут присутствовать и другие региоизомеры [47]. Выполненное квантово-химическое исследование таутомерных катионов N¹-, N³-, N⁷- и N⁹-[(триметилсилил)метил]аденинов показало, что наиболее стабилен катион N³-(триметилсилил)метил-7Н-аденина (схема 5). Эти результаты подтверждают экспериментальные данные.
ВЫВОДЫ
В результате выполненной работы впервые методами спектроскопии ЯМР доказано, что взаимодействие аденина с DBU приводит к образованию аниона аденина. В результате его взаимодействия с (хлорметил)триметилсиланом образуются два продукта. Основной продукт – N⁹-[(триметилсилил)метил]аденин, его строение доказано с использованием гомо- (NOESY) и гетероядернных (HMBC и HSQC 1H–¹³C) методов двумерной спектроскопии ЯМР. Надежно идентифицировать второе соединение не удалось. Однако анализ полученных спектральных данных и их сопоставление с литературными данными позволяет предполагать, что минорное соединение является N⁷-региоизомером. При алкилировании аденина (иодметил)триметилсиланом в нейтральных условиях получен иодид N³-[(триметилсилил)метил]аденина.
ЭКСПЕРИМЕНТАЛЬНАЯ ЧАСТЬ
Спектры ЯМР 1H, 13C, 29Si и 15N записаны в растворе СDCl3 при комнатной температуре на спектрометрах Bruker DPX 400 и AV-400 (400.13, 100.61, 79.50 и 40.56 МГц соответственно). В качестве внутреннего стандарта использовали ТМС и циклогексан. Отнесение сигналов 1H и 13C в спектрах выполнено с помощью экспериментов 2D: гомо- (NOESY) и гетероядернных HMBC и HSQC 1H–13C. Значения δ 15N получены с помощью 2D 1H–15N HMBC эксперимента. ИК спектры зарегистрированы на ИК Фурье-спектрометре Varian 3100. Элементный анализ выполнен на автоматическом анализаторе CHNS Thermo Scientific Flash 2000.
Все реакции проводили в тщательно высушенной стеклянной посуде в атмосфере аргона. Перед использованием растворители очищали стандартными методами [66].
Квантово-химические расчеты выполнены с помощью программы Gaussian’09 с полной оптимизацией геометрии методом B3LYP/6-311++G(**) [67]. Принадлежность структур минимумам поверхности потенциальной энергии подтверждалась положительными собственными значениями гессиана. Относительная устойчивость изомеров (ΔE) рассчитана по отношению к наиболее стабильному изомеру, оценивалась как разность их полных энергий (E) с учетом энергии нулевых колебаний (ZPVE).
Взаимодействие аденина с DBU. К суспензии 0.027 г (0.2 ммоль) аденина в 2 мл ДМСО-d6 прибавляли с помощью шприца 0.030 г (0.2 ммоль) DBU. Смесь тщательно перемешивали до полного растворения аденина и анализировали методом спектроскопии ЯМР. Спектры соединения 1 регистрировали через 3 ч после смешивания реагентов. Следует отметить, что спектры не изменялись после хранения образца в течение 10 сут. Спектр ЯМР 1Н (ДМСО-d6), δ, м. д.: 1.49–1.61 м (6Н, СН27′,8′,9′), 1.73 к (2Н, СH23′, 3J 5.9 Гц), 2.38–2.42 м (2Н, СН210′), 3.13 т (2Н, Н2′, 3J 5.6 Гц), 3.22–3.28 м (4Н, СН24′,6′), 6.20 уш. c (2Н, NH2), 7.68 с (1Н, Н8), 7.90 с (1Н, Н2). Спектр ЯМР 13С (ДМСО-d6), δС, м. д.: 21.36, 25.15, 27.54, 28.92, 34.82 (СН23′,7′,8′,9′,10′); 41.63, 47.69, 52.34 (C2′,4′,6′); 120.34 (С5), 148.14 (С8), 148.93 (С2), 154.24 (С6), 158.89 (С4), 161.64 (С11′). Спектр ЯМР 15N (ДМСО-d6), δN, м. д.: –155.3 (N9), –151.0 (N3), –149.9 (N7), –139.6 (N1).
Взаимодействие аденина с (хлорметил)триметилсиланом в присутствии DBU. К раствору соединения 1 (1 мл, 0.1 ммоль) в ДМСО-d6 прибавляли шприцем (хлорметил)триметилсилан (0.012 г, 0.1 ммоль). Раствор выдерживали при комнатной температуре в течение 4 сут и выливали в 5 мл смеси вода–хлористый метилен (1:1). Органический слой отделяли и сушили молекулярными ситами 4 Å. Растворитель удаляли в вакууме и остаток сушили в вакууме. Выход 0.18 г (83%), белое вещество. По данным спектроскопии ЯМР, получена смесь двух соединений.
N9-[(Триметилсилил)метил]аденин (2). Спектр ЯМР 1Н (СDСl3), δ, м. д.: 0.12 c [9Н, (СН3)3Si], 3.77 c (2Н, СH2Si), 6.32 уш. c (2Н, NH2), 7.74 c (1Н, Н8), 8.34 c (1Н, Н2). Спектр ЯМР 13С (СDСl3), δС, м. д.: –2.88 [(СН3)3Si], 34.26 (СH2Si), 118.90 (С5), 139.94 (С8), 149.65 (С4), 152.26 (С2), 155.31 (С6). Спектр ЯМР 15N (СDСl3), δN, м. д.: –224.7 (N9), –154.5 (N3), –146.4 (N7), –149.1 (N1). Спектр ЯМР 29Si (СDСl3): δSi 2.9 м. д.
N7-[(Триметилсилил)метил]аденин (3). Спектр ЯМР 1Н (СDСl3), δ, м. д.: 0.12 c [9Н, (СН3)3Si], 4.04 c (2Н, СH2Si), 7.94 c (1Н, Н8), 8.03 c (1Н, Н2). Спектр ЯМР 13C (СDСl3), δC, м. д.: –2.80 [(СН3)3Si], 41.07 (СH2Si). Найдено, %: С 48.59; Н 6.67; N 31.72. C9H15N5Si. Вычислено, %: С 48.84; Н 6.83; N 31.64 (состав смеси региоизомеров).
N3-[(Триметилсилил)метил]аденина иодид (5). Смесь аденина 1 г (7.40 ммоль), (иодметил)триметилсилана 1.60 г (7.47 ммоль) и 20 мл тщательно обезвоженного MeCN перемешивали в стеклянной вакуумированной ампуле в течение 5 ч при температуре 195–200°С. Ампулу охлаждали, вскрывали и удаляли легколетучие соединения при пониженном давлении. Полученный твердый остаток промывали Et2O (2×20 мл) и сушили в вакууме. Выход 2.34 г (91%), желто-кремовый порошок. Спектр ЯМР 1Н (ДМСО-d6), δ, м. д.: 0.13 с (9Н, SiMe₃), 4.24 c (2Н, СН2SiMe₃), 8.62 уш. с (2Н, NН2), 8.79 c (1Н, H8), 8.92 c (1Н, H2), 9.19 уш. с (1Н, NН). Спектр ЯМР 13С (ДМСО-d6), δС, м. д.: –2.47 (SiMe₃), 40.83 (СН2SiMe₃), 110.54 (C5), 144.81 (С8), 147.10 (С2), 147.57 (С4).152.63 (C6). Спектр ЯМР 15N (ДМСО-d6), δN, м. д.: –146.0 (N1), –222.6 (N3), –147.8. Спектр ЯМР 29Si (ДМСО-d6): δSi 4.3 м. д.
ФИНАНСОВАЯ ПОДДЕРЖКА
Работа выполнена при финансовой поддержке Российского научного фонда (грант № 23-23-00278) с использованием аналитического оборудования Байкальского центра коллективного пользования СО РАН.
КОНФЛИКТ ИНТЕРЕСОВ
Авторы заявляют об отсутствии конфликта интересов.
About the authors
N. F. Lazareva
A. E. Favorsky Irkutsk Institute of Chemistry Siberian Branch of the Russian Academy of Sciences
Author for correspondence.
Email: nataly_lazareva@irioch.irk.ru
Russian Federation, Irkutsk, 664033
A. I. Albanov
A. E. Favorsky Irkutsk Institute of Chemistry Siberian Branch of the Russian Academy of Sciences
Email: nataly_lazareva@irioch.irk.ru
Russian Federation, Irkutsk, 664033
B. A. Gostevsky
A. E. Favorsky Irkutsk Institute of Chemistry Siberian Branch of the Russian Academy of Sciences
Email: nataly_lazareva@irioch.irk.ru
Russian Federation, Irkutsk, 664033
I. M. Lazarev
A. E. Favorsky Irkutsk Institute of Chemistry Siberian Branch of the Russian Academy of Sciences
Email: nataly_lazareva@irioch.irk.ru
Russian Federation, Irkutsk, 664033
References
- Cardenas-Aquino M.R., Sarria-Guzm Y., Martínez-Antonio A. // Plant Sci. 2022. Vol. 319. N 111240. doi 10.1016/ j.plantsci.2022.111240
- Choi J., Choi D., Lee S., Ryu C.M., Hwang I. // Trends Plant Sci. 2011. Vol. 16. N 7. P. 388. doi 10.1016/ j.tplants.2011.03.003
- Mandal S., Ghorai M., Anand U., Roy D., Kant N., Mishra T., Mane A.B., Jha N.K., Lal M.K., Tiwari R.K., Kumar M., Radha, Ghosh A., Bhattacharjee R., Proćków J., Dey A. // Front. Genet. 2022. Vol. 13. N 883930. doi: 10.3389/fgene.2022.883930
- Mangena P. // Front. Sustain. Food Syst. 2022. Vol. 6. N 992581. doi: 10.3389/fsufs.2022.992581
- Kieber J.J., Schaller G.E. // Cytokinins. Arabidopsis Book. 2014. P. e0168. doi: 10.1199/tab.0168
- Prasad R. // Front. Genet. 2022. Vol. 13. Art. no. 883924. doi: 10.3389/fgene.2022.883924
- Voller J., Berés T., Zatloukal M., Džubák P., Hajdúch M., Doležal K., Schmülling T., Miroslav S. // Phytochem. Rev. 2019. Vol. 18. P. 1101. doi: 10.1007/s11101-019-09620-4.
- Gillingham D., Geigle S., von Lilienfeld O.A. // Chem. Soc. Rev. 2016. Vol. 45. N 9. P. 2637. doi: 10.1039/C⁵cs00271k
- De Clercq E. // Chem. Asian J. 2019. Vol. 14. N 22. P. 3962. doi: 10.1002/asia.201900841
- Груздев Д.А., Мусияк В.В., Левит Г.Л., Краснов В.П., Чарушин В.Н. // Усп. хим. 2018. Т. 87. № 6. С. 604; Gruzdev D.A., Musiyak V.V., Levit G.L., Krasnov V.P., Charushin V.N. // Russ. Chem. Rev. 2018. Vol. 87. N 6. P. 604. doi: 10.1070/RCR4772
- Матюгина Е.С., Кочетков С.Н., Хандажинская А.Л. // Усп. хим. 2021. Т. 90. № 11. С. 1454; Matyugina E.S., Kochetkov S.N., Khandazhinskaya A.L. // Russ. Chem. Rev. 2021. Vol. 90. N 11. P. 1454. doi: 10.1070/RCR5013
- Мухин Е.М., Саватеев К.В., Русинов В.Л. // Изв. АН. Сер. хим. 2023. Т. 72. № 2. С. 425; Mukhin E.M., Savateev K.V., Rusinov V.L. // Russ. Chem. Bull. 2023. Vol. 72. N 2. P. 425. doi: 10.1007/s11172-023-3810-1
- Di Iorio P., Ciccarelli R. // Cells. 2021. Vol. 10. N 1. Art. no. 188. doi: 10.3390/cells10010188
- Rohde K.H., Sorci L. // Front. Microbiol. 2021. Vol. 11. Art. no. 634640. doi: 10.3389/fmicb.2020.634640
- Jacobson K.A., Siddiqi S.M., Olah M.E., Ji X.D., Melman N., Bellamkonda K., Meshulam Ya., Stiles G.L., Kim H.O. // J. Med. Chem. 1995. Vol. 38. N 10. P. 1720. doi: 10.1021/jm00010a017
- Ilhami F.B., Alemayehu Y.A., Fan W.L., Tsai H.C., Kao C.Y., Cheng C.C. // Macromol. Biosci. 2020. Vol. 20. Art. no. 2000233. doi 0.1002/mabi.202000233
- Wong X.K., Yeong K.Y. // Curr. Med. Chem. 2021. Vol. 28. N 34. P. 7076. doi: 10.2174/0929867328666210215113828
- Krasnov V.P., Levit G.L., Musiyak V.V., Gruzdev D.A., Charushin V.N. // Pure Appl. Chem. 2020. Vol. 92. N 8. P. 1277. doi: 10.1515/pac-2019-1214
- Tsimberidou A.M., Keating M.J. // Cancer. 2009. Vol. 115. N 13. P. 2824. doi: 10.1002/cncr.24329
- Hirota K., Kazaoka K., Sajiki H. // Bioorg. Med. Chem. 2003. Vol. 11. N 13. P. 2715. doi: 10.1016/s0968-0896(03)00234-7
- Зефирова О.Н., Зефиров Н.С. // Вестн. МГУ. Сер. 2. Химия. 2002. Т. 43. № 4. С. 251.
- Mehta V., Abhyankar A., Degani M.S. // Eur. J. Med. Chem. 2023. Vol. 260. Art. no. 115761. doi 10.1016/ j.ejmech.2023.115761
- Bredael K., Geurs S., Clarisse D., De Bosscher K., D’hooghe M. // J. Chem. Vol. 2022. Art. no. 2164558. doi: 10.1155/2022/2164558
- Cuozzo A., Daina A., Perez M.A.S., Michielin O., Zoete V. // Nucl. Acids Res. 2022. Vol. 50. P. D1382. doi: 10.1093/nar/gkab1047
- Kumari S., Carmona A.V., Tiwari A.K., Trippier P.C. // J. Med. Chem. 2020. Vol. 63. N 21. P. 12290. doi: 10.1021/acs.jmedchem.0c00530
- Subbaiah M.A.M., Meanwell N.A. // J. Med. Chem. 2021. Vol. 64. N 19. P. 14046. doi: 10.1021/acs.jmedchem.1c01215
- Meanwell N.A. // J. Agric. Food Chem. 2023. Vol. 71. N 47. P. 18087. doi: 10.1021/acs.jafc.3c00765
- Zhao L.X., Peng J.F., Liu F.Y., Zou Y.L., Gao S., Fu Y., Ye F. // J. Agric. Food Chem. 2022. Vol. 70. N 4. P. 1003. doi: 10.1021/acs.jafc.1c05210
- Cai H., Gan X., Jin Z., Hao G. // J. Agric. Food Chem. 2023. Vol. 71. N 26. P. 9973. doi: 10.1021/acs.jafc.3c00951
- Lamberth C. // J. Agric. Food Chem. 2023. Vol. 71. N 47. P. 18123. doi: 10.1021/acs.jafc.3c00997
- Frackenpohl J., Abel S.A.G., Alnafta N., Barber D.M., Bojack G., Brant N.Z., Helmke H., Mattison R.L. // J. Agric. Food Chem. 2023. Vol. 71. N 47. P. 18141. doi: 10.1021/acs.jafc.3c01809
- Meanwell N.A. // J. Med. Chem. 2011. Vol 54. N 10. P. 2529. doi 1021/jm1013693
- Franz A.K., Wilson S.O. // J. Med. Chem. 2013. Vol. 56. N 2. P. 388. doi: 10.1021/jm3010114
- Fotie J., Matherne C.M., Wroblewski J.E. // Chem. Biol. Drug Des. 2023. Vol. 102. N 2. P. 235. doi: 10.1111/cbdd.14239
- Wei G., Huang M.-W., Wang W.-J, Wu Y., Mei S.-F., Zhou L.-M., Mei L.-C., Zhu X.-L., Yang G.-F. // J. Agric. Food Chem. 2021. Vol. 69. N 13. P. 3965. doi: 10.1021/acs.jafc.0c07322
- Zhou C., Wang X., Quan X., Cheng J., Li Z., Maienfisch P. // J. Agric. Food Chem. 2022. Vol. 70. N 36. P. 11063. doi: 10.1021/acs.jafc.2c00804
- Perez C.C., Benatti F.R., Martins Jr D.P., Silva A.A. // Rev. Virtual Quim. 2021. Vol. 13. N 4. P. 981. doi: 10.21577/1984-6835.20210023
- Bianucci A.M., Biagi G., Coi A., Giorgi I., Oreste L., Pacchini F., Scartoni V., Lucacchini A., Costa B. // Drug Development Res. 2001. Vol. 54. N 2. P. 52. doi: 10.1002/ddr.1205
- Zhang N., Jiang S., Li T., Liu Y., Zhang Y. // ACS Omega. 2023. Vol. 8. N 28. P. 25165. doi: 10.1021/acsomega.3c02243
- Алкснис Е., Лидак М., Куйевитц E. // ХГС. 1995. № 5. С. 654; Alksnis É., Lidak M., Kyjevits É. // Chem. Heterocycl. Compd. 1995. Vol. 31. N 5. P. 577. doi: 10.1007/BF01166333
- Kociok-Köhn G., Mahon M.F., Molloy K.C., Price G.J., PriorbT.J., Smitha D.R.G. // Dalton Trans. 2014. Vol. 43. N 21. P. 7734. doi: 10.1039/C⁴dt00554f
- Thibon J., Latxague L., Déléris G. // J. Org. Chem. 1997. Vol. 62. N 14. P. 4635. doi: 10.1021/jo962165p
- Delord B., Guillorit M.C., Lafay J., Andréola M.L., Tharaud D., Tarrago-Litvak L., Fleury H.J.A., Déléris G. // Eur. J. Med. Chem. 1996. Vol. 31. N 2. P. 111. doi: 10.1016/0223-5234(96)80444-2
- Arrachart G., Carcel C., Moreau J.J.E., Hartmeyer G., Alonso B., Massiot D., Creff G., Bantignies J.L., Dieudonne P., Man M.W.C., Althoff G., Babonneau F., Bonhomme C. // J. Mater. Chem. 2008. Vol. 18. N 4. P. 392. doi: 10.1039/b714785f
- Stephen G. Pat. US 2009054369A1 (2009).
- Stephen G. Pat. WO 2007019221A2 (2007).
- Beasley A.E., Rasmussen M. // Aust. J. Chem. 1981. Vol. 34. N 5. P. 1107. doi: 10.1071/CH⁹811107
- Rasmussen M., Hope J.M. // Aust. J. Chem. 1982. Vol. 35. N 3. P. 525. doi: 10.1071/CH⁹820525
- Al-Harbi R.A.K., Abdel-Rahman A.A.H. // Acta Pol. Pharm. 2012. Vol. 69. N 5. P. 917.
- Skwarczynski M., Ziora Z.M., Coles D.J., Lin I.C., Toth I. // Chem. Commun. 2010. Vol. 46. N 18. P. 3140. doi: 10.1039/b924371b
- Ts’o P.O.P., Melvin I.S., Olson A.C. // J. Am. Chem. Soc. 1963. Vol. 85. N 9. P. 1289 doi: 10.1021/ja00892a016
- Buyens D.M.S., Pilcher L.A., Roduner E. // Chem. Phys. Chem. 2021. Vol. 22. N 19. P. 2025. doi: 10.1002/cphc.202100098
- Iyer R.S., Voehler M.W., Harris T.M. // J. Am. Chem. Soc. 1994. Vol. 116. N 20. P. 8863. doi: 10.1021/ja00099a001
- Marek R., Krřįstkova A, Maliňáková K., Toušek J., Marek J., Hocek M., Malkina O.M., Malkin V.G. // J. Phys. Chem. (A). 2010. Vol. 114. N 24. P. 6689. doi: 10.1021/jp102186r
- Жилицкая Л.В., Ярош Н.О., Шагун Л.Г., Дорофеев И.А., Ларина Л.И. // ЖОХ. 2014. Т. 84. № 10. C. 1754; Zhilitskaya L.V., Yarosh N.O., Shagun L.G., Dorofeev I.A., Larina L.I. // Russ. J. Gen. Chem. 2014. Vol. 84. N 10. P. 2055. doi: 10.1134/S1070363214100363
- Bartl T., Zacharová Z, Sečkárŏvá P., Kolehmainen E., Marek R. // Eur. J. Org. Chem. 2009. N 9. P. 1377. doi: 10.1002/ejoc.200801016
- Buyens D.M.J.S. PhD Thesis (Chem.). Pretoria, 2015.
- Dračínský M., Pohl R. // Ann. Rep. NMR Spectr. 2014. Vol. 82. P. 52. doi: 10.1016/B978-0-12-800184-4.00002-3
- Lambertucci C., Antonini I., Buccioni M., Ben D.D., Kachare D.D., Volpini R., Klotz K.-N., Cristalli G. // Bioorg. Med. Chem. 2009. Vol. 17. N 7. P. 2812. doi: 10.1016/j.bmc.2009.02.030
- Brown Ripin D.H., Teager D.S., Fortunak J., Basha S.M., Bivins N., Boddy C.N., Byrn S., Catlin K.K., Houghton S.R., Jagadeesh S.T., Kumar K.A., Melton J., Muneer S., Rao L.N., Rao R.V., Ray P.C., Reddy N.G., Reddy R.M., Shekar K.C., Silverton T., Smith D.T., Stringham R.W., Subbaraju G.V., Talley F., Williams A. // Org. Proc. Res. Dev. 2010. Vol. 14. N 5. P. 1194. doi: 10.1021/op1001337
- Broo A., Holmen A. // Chem. Phys. 1996. Vol. 21. N 1–3. P. 147. doi: 10.1016/0301-0104(96)00184-X
- Guerra C.F., Bickelhaupt F.M., Saha S., Wang F. // J. Phys. Chem. (A). 2006. Vol. 110. N 11. P. 4012. doi: 10.1021/jp057275r
- Jezuita A., Wieczorkiewicz P.A., Szatylowicz H., Krygowski T.M. // ACS Omega. 2021. Vol. 6. N 29. P. 18890. doi: 10.1021/acsomega.1c02118
- Sečkářová P., Marek R., Maliňáková K., Kolehmainen E., Hocková D., Hocek M., Sklenář V. // Tetrahedron Lett. 2004. Vol. 45. N 33. P. 6259. doi 10.1016/ j.tetlet.2004.06.088
- Longato B., Pasquato L., Mucci A., Schenetti L. // Eur. J. Inorg. Chem. 2003. N 1. 128. doi: 10.1002/ejic.200390013
- Armarego W.L.F., Chai C.L.L. Purification of Laboratory Chemicals. Butterworth-Heinemann: Elsevier, 2009. 752 p.
- Frisch M.J., Trucks G.W., Schlegel H.B., Scuseria G.E., Robb M.A., Cheeseman J.R., Scalmani G., Barone V., Mennucci B., Petersson G.A., Nakatsuji H., Caricato M., Li X., Hratchian H.P., Izmaylov A.F., Bloino J., Zheng G., Sonnenberg J.L., Hada M., Ehara M., Toyota K.,Fukuda R., Hasegawa J., Ishida M., Nakajima T., Honda Y., Kitao O., Nakai H., Vreven T., Montgomery J.A., Peralta J.E., Ogliaro F., Bearpark M., Heyd J.J., Brothers E., Kudin K.N., Staroverov V.N., Kobayashi R., Normand J., Raghavachari K., Rendell A., Burant J.C., Iyengar S.S., Tomasi J., Cossi M., Rega N., Millam N.J., Klene M., Knox J.E., Cross J.B., Bakken V., Adamo C., Jaramillo J., Gomperts R., Stratmann R.E.,Yazyev O., Austin A.J., Cammi R., Pomelli C., Ochterski J.W., Martin R.L., Morokuma K., Zakrzewski V.G., Voth G.A., Salvador P., Dannenberg J.J., Dapprich S., Daniels A.D., Farkas O., Foresman J.B., Ortiz J.V., Cioslowski J., Fox D.J. Gaussian 09, Revision E.01
Supplementary files







