Lactonization of N-Acyl-N-(2-cyclopent-1-en-1-yl-6-methylphenyl)glycines upon Raction with Halogens
- Authors: Gataullin R.R.1, Meshcheryakova E.S.2, Khalilov L.M.2
-
Affiliations:
- Ufa Institute of Chemistry, Ufa Federal Research Center of the Russian Academy of Sciences
- Institute of Petrochemistry and Catalysis of the Russian Academy of Sciences
- Issue: Vol 94, No 3 (2024)
- Pages: 385-394
- Section: Articles
- URL: https://ogarev-online.ru/0044-460X/article/view/261507
- DOI: https://doi.org/10.31857/S0044460X24030098
- EDN: https://elibrary.ru/FYURRI
- ID: 261507
Cite item
Full Text
Abstract
A study was carried out to identify the influence of the size of the cycloalkenyl ring and the nature of the substituent at the nitrogen atom on the structure and stability of the halogen cyclization products N-acyl-N-(2-cyclopent-1-en-1-yl-6-methylphenyl)glycines, which were synthesized from N-acyl-2-(1-cyclopenten-1-yl)-6-methylanilines and methyl bromoacetate followed by alkaline hydrolysis of the resulting methyl glycinates. It was shown that in the reaction of N-benzoyl and N-(4-nitrobenzoyl) derivatives with molecular bromine, 2′-bromo-9-methyl-N-aroyl-1,2-dihydro-3H-spiro[4,1-benzoxazepine-5,1′-cyclopentan]-3-ones and 8-methyl-N-aroyl-3,3a,6,7- tetrahydrobenzo[e]cyclopenta[g][1,4]oxazocin-5(2H)-ones is formed, the ratio of which in the case of the N-benzoyl derivative is ≈1:4, in the case of the N-nitrobenzoyl analogue reaches ≈1:1. Spiro-fused benzoxazepinones, unlike eight-membered heterocycles, are unstable. Samples of these compounds isolated by chromatography decompose with strong darkening within a few hours. In the case of the N-acetyl homologue, the resulting halogenlactonization products cannot be isolated due to their rapid decomposition. The aS*,R*-configuration of the substituents along the N⁷–C⁷a axis and at C³a center of chirality of N-aroylbenzoxazocinones was established by X-ray diffraction studies.
Keywords
Full Text
ВВЕДЕНИЕ
В некоторых биологически активных молекулах [1–4] основным структурным элементом является арилконденсированный N,O-гетероциклический остов. Существуют также такие соединения, выделенные из экстрактов растительного сырья [5, 6]. Кроме биологически активных гетероциклов этого ряда, известны представители, проявляющие антикоррозионные свойства в кислой среде [7, 8]. Подходы к синтезу этих гетероциклов позволяют их получать с различной региолокализацией атомов азота, кислорода и боковых функциональных групп. При этом обычно в семи- или восьмичленных арилконденсированных гетероциклах, хотя и не всегда, наблюдается атропоизомерия [9], которая обусловлена наличием стереогенных элементов в молекулах, таких как ось и центр хиральности. Известны также случаи выраженной атропоизомерии в виде равновесной смеси двух аксиальных диастереомеров [10] или первоначально образовавшийся кинетический продукт реакции необратимо превращается в устойчивый пространственный изомер [11].
При получении гетероциклических соединений также используют реакции производных N-алкенилкарбоновых кислот [12] с галогенами. При этом строение образующихся продуктов реакции может зависеть от природы заместителей [13–15].
Ранее нами были проведены исследования по синтезу бензоконденсированных N,O-гетероциклов реакцией N-тозил-, N-мезил-, N-ацетил- или N-бензоил-N-(1-циклоалкен-1-ил)фенилглицинов с галогенами. Установлена зависимость структуры и наличие или отсутствие атропоизомерии в продукте реакции от природы заместителя при атоме азота и при орто-положении ароматического кольца. В этом ряду неизученными оставались циклопентенилзамещенные производные с остатком карбоновой кислоты при атоме азота. С целью восполнения этого пробела в данной работе получены циклопентенильные гомологи вышеупомянутых глицинов, имеющие при атоме азота остатки уксусной, бензойной и нитробензойной кислот.
ОБСУЖДЕНИЕ РЕЗУЛЬТАТОВ
Необходимые для данного исследования производные глицина были синтезированы последовательными реакциями из амидов 1a [16], 1б [17] и 1в при перемешивании их с метиловым эфиром монобромуксусной кислоты в присутствии мелкоизмельченного гидроксида калия и бромида триэтилбензиламмония (TEBAB) в тетрагидрофуране. Образующиеся эфиры 2а–в в водном тетрагидрофуране в присутствии LiOH гидролизуются до литиевых солей кислот 3а–в (схема 1).
Схема 1.
Эти соли хорошо растворимы в воде, что позволяет легко очищать реакционную смесь путем экстракции органическими растворителями от ограниченно растворимых в воде нежелательных примесей. На последующем этапе обработки этой водной фазы раствором 1 н. соляной кислоты выделяется обильная взвесь нерастворимой в воде кислоты 3а–в, которая легко экстрагируется хлороформом или хлористым метиленом. Полученная таким образом кислота 3а–в практически чистая для дальнейших исследований. Если есть необходимость в более высокой степени ее чистоты, бензоильные и нитробензоильные аналоги хорошо кристаллизуются из ацетонитрила.
Схема 2.
Далее мы изучили галогенлактонизацию [18] полученных кислот в присутствии бикарбоната натрия (схема 2). Попытки получить гетероциклы из N-ацетилированного глицина 3а под действием как молекулярного брома, так и иода не увенчались успехом. При использовании для этой цели брома после обработки реакционной смеси и удаления растворителя в вакууме, остаток достаточно быстро темнел. Анализ спектра ЯМР этого порошка показал наличие множества сигналов. При внесении этой реакционной массы на хроматографическую колонку, заполненную силикагелем, она также быстро темнеет и выделить продукт не удается. В случае реакции с иодом в спектрах ЯМР сырой реакционной смеси зафиксированы четкие сигналы двух гетероциклов, которые с высокой вероятностью были отнесены к бензоксазепинону 4а и бензоксазоцинону 5а, в соотношении 2:1. Однако при кратковременном хранении этой смеси в CDCl₃ на стенках ампулы появляется обильный осадок в виде темного налета. Попытка выделить хотя бы один из продуктов реакции также не увенчалась успехом. Фрагмент ароматической карбоновой кислоты у атома азота глицинов 3б и 3в, вероятно, повышает устойчивость к деградации образующегося восьмичленного гетероцикла. При взаимодействии глицинов 3б, в с молекулярным бромом в обоих случаях наблюдается образование двух продуктов реакции: спиросочлененного с циклопентаном бензоксазепинона 4б, в и бензоксазоцинона 5б, в, аннелированного с циклопентеном. При взаимодействии бензоильного производного 3б с молекулярным бромом получена смесь гетероциклов 4б и 5б в соотношении ≈1:5, тогда как в случае нитробензоильного аналога 3в соотношение смеси 4в и 5в составляет ≈1:1.
Мы предположили механизмы образования гетероциклов 4б, в через классическую 7-экзо-галолактонизацию [19] первоначально генерируемого иона бромония 6, которая приводит к бензоксазепинону 4. Другим направлением реакции является превращение ониевого иона 6 в карбокатион 7. От карбокатиона 7 отщепляется протон и образуется аллилгалогенид 8. Далее в результате внутримолекулярной конденсации путем замещения брома на кислород карбоксильной группы глицина 8 образуется восьмичленный лактон 5.
Обращает на себя внимание разница в соотношениях при образовании семи- и восьмичленных гетероциклов в случае бензоильных и нитробензоильных производных глицина. Бензоксазоцинон 5в и спироциклическое соединение 4в образуются примерно в равных пропорциях. Это позволяет предположить, что, вероятно, сумма скоростей двух последовательных превращений: (1) образования карбокатиона 7 и (2) его превращения в аллилгалогенид 8 должна быть близка к скорости 7-экзо-галогенциклизации кислоты 3в в бензоксазепинон 4в. В случае значительного преобладания одной из этих скоростей соотношение гетероциклов могло быть иным. При этом надо иметь в виду, что аллилгалогенид 8 не может превратиться в семичленный гетероцикл 4в. В случае образования бензоильных аналогов 4б и 5б обсуждаемые скорости, вероятно, сильно различаются, что отражается и на соотношении этих продуктов реакции.
Для корректного установления структуры полученных соединений использованы инструменты спектрального анализа и метод рентгеновской дифракции. Сигналы олефинового протона H¹ и метинового протона H₃a бензоксазоцинона 5б близко расположены друг к другу. Это создает некоторые трудности при проведении ЯМР-экспериментов по установлению структуры этого соединения. Правильное отнесение этих сигналов к соответствующим атомам углерода было осуществлено путем проведения эксперимента HSQC ЯМР. Однако это не помогает достоверно установить ориентацию бензоильной группы молекулы гетероцикла 5б в пространстве. В случае бензоксазоцинона 5б спектр ЯМР NOESY имеет кросс-пик на пересечении сигналов метинового протона H₃a и фенильных протонов бензоильной группы. Однако из-за перекрытия сигнала протона H₃a с сигналом протона H¹ возникают сомнения в корректности отнесения принадлежности этого кросс-пика одному из этих сигналов, поскольку возможно также дальнее взаимодействие протонов бензоила с протоном H¹. Это вызывает сомнения в достоверности вывода о взаимной пространственной ориентации протона H₃a и бензоильной группы при использовании для этого методов спектроскопии ЯМР. Нам удалось вырастить соответствующий кристалл этого соединения путем медленного выпаривания этанола из раствора. Кристалл оказался пригодным для рентгеноструктурного анализа, на основании которого установлена син-ориентация протона H₃a и бензоильного фрагмента относительно условной плоскости восьмичленного гетероциклического кольца (рис. 1).
Рис. 1. Общий вид молекулы соединения 5б в представлении тепловыми эллипсоидами с вероятностью 50%.
В случае нитробензоильного производного 5в, в спектре ЯМР ¹H химические сдвиги сигналов протонов H¹ и H₃a различаются на 0.18 м. д. и поэтому методами спектроскопии ЯМР удалось предположить взаимное пространственное расположение протона H₃a и нитробензоильного фрагмента, поскольку в эксперименте NOESY обнаружилось наличие кросс-пика протона H₃a и протонов нитробензоильной группы. Данные рентгеноструктурных исследований гетероцикла 5б, а также наличие кросс-пика сигнала протона H₃a (6.20 м .д.) с бензоильными протонами H²′,⁶′ (7.31 м. д.) гетероцикла 5в позволяют приписать с высокой степенью вероятности aS*,R*-дескрипторы к элементам стереогенности, которые имеются в восьмичленных гетероциклах 5б, в.
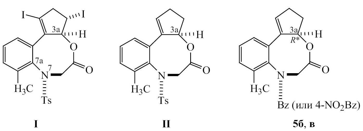
По данным рентгеноструктурного анализа, циклопентеновый фрагмент разупорядочен по двум позициям с заселенностью 0.65068:0.34932 и имеет конформацию конверт. Восьмичленный гетероциклический фрагмент принимает конформацию ванна–ванна, как и в полученном ранее 1,3-дииодзамещенном аналоге I [20]. На схеме 3 представлены ранее полученные 1,3-дииодзамещенный аналог I [20], а также циклопентабензоксазоцинон II [11] и синтезированные в этой работе бензоильные аналоги 5б, в. Все гетероциклы имеют aS*-аксиальную хиральность по связи N⁷–C⁷a, а заместители при хиральном центре C³a имеют R*-конфигурацию.
Схема 3.
Замена тозильной группы на бензоильную группу при атоме азота не влияет на длины связей C⁶–N⁷ и N⁷–C⁷a, которые в соединении 5б составляют 1.4599(16) и 1.4426(14) Å соответственно. Атом азота N⁷ в структуре 5б, в отличие от полученного ранее 1,3-дииодзамещенного аналога I [20], имеет промежуточный тип конформации между пирамидальной и планарной формами, сумма углов при N⁷ составляет 355.13°. Кристаллическая структура включает только водородные связи типа C–H∙∙∙O, благодаря которым молекулы образуют листы, лежащие вдоль оси [010].
ВЫВОДЫ
Таким образом, установлен факт существенного влияния тозил- [11] и ацильного фрагментов при атоме азота на структуру продуктов взаимодействия N-ацил-N-(2-циклопент-1-ен-1-ил-6-метилфенил)глицинов с молекулярным бромом. В отличие от N-тозильного производного [11], в случае N-бензоильных или нитробензоильных аналогов реакция протекает в двух направлениях и приводит к образованию смеси спироконденсированного с 2′-бромциклопентаном семичленного гетероцикла и циклопента[g]аннелированного бензоксазоцинона. Соотношение образующихся в этих реакциях семи- и восьмичленных гетероциклов зависит от природы ароильного заместителя при атоме азота. Спиросочлененные бензоксазепиноны, выделенные хроматографией на колонке с силикагелем, нестойки и быстро разлагаются даже в твердом состоянии. В случае производного глицина с N-ацетильным заместителем при атоме азота полученные продукты реакции крайне нестабильны и разлагаются в течение нескольких часов. В случае N-бензоильного аналога 5б методом рентгеноструктурного анализа подтверждена aS*-конфигурация заместителей вдоль оси N⁷–C⁷a в молекуле.
ЭКСПЕРИМЕНТАЛЬНАЯ ЧАСТЬ
Спектральный анализ выполнен на оборудовании Центра коллективного пользования Уфимского института химии РАН. Температуры плавления определены на столике Boetius и не корректировались. ИК спектры записаны на спектрофотометре с Фурье-преобразователем IR Prestige-21 Shimadzu. Спектры ЯМР ¹H и ¹³C записаны на приборе Bruker Avance III при частотах 500.13 и 125.13 МГц соответственно. Для корректного отнесения сигналов в спектрах ЯМР использовали спектральные методы гомо- и гетероядерной корреляции COSY, HMBC и HSQC. Масс-спектры получены на приборе Shimadzu LCMS-2010EV [колонка Luna 5μ С(18) 150×4.6 мм, сорбент – октадецилсилан, подвижная фаза – MeCN–H₂O, 95:5, 20 эВ]. Элементный анализ выполнен на приборе CHNS Elemental Analyser EURO EA-3000. Содержание брома определено колбовым методом Шенигера с последующим потенциометрическим титрованием. Препаративное хроматографическое разделение проведено на силикагеле МН 60 (35–75 мкм) с последующим ТСХ-анализом на пластинках Sorbfil (ЗАО Сорбполимер, Краснодар), вещества детектировали парами иода.
Рентгеноструктурные исследования образцов проведены на оборудовании Института нефтехимии и катализа Уфимского научного центра РАН на автоматическом дифрактометре Agilent XCalibur (Gemini, Eos) (графитовый монохроматор, MoKα-излучение, режим ω-сканирования, 2θmax = 62°) при 293 K. Структура соединения 5б расшифрована прямыми методами и уточнена с помощью пакета программ SHELX [21, 22]. Структура уточнена полноматричным методом наименьших квадратов с использованием анизотропных тепловых параметров для не водородных атомов. Атомы водорода сгенерированы с использованием соответствующей команды HFIX и уточнены по модели наездника. Координаты атомов, длины связей, валентные углы и тепловые параметры депонированы в Кембриджском центре структурных данных (CCDC 2237405).
Метил-N-бензоил-N-(2-циклопент-1-ен-1-ил-6-метилфенил)глицинат (2б). Суспензию бензамида 1б [17] (0.83 г, 3 ммоль), KОН (0.17 г, 3 ммоль) и бромида триэтилбензиламмония (0.81 г, 3 ммоль) в тетрагидрофуране (10 мл) перемешивали в течение 10 мин, затем добавляли метилбромацетат (0.46 г, 3 ммоль). Перемешивание продолжали в течение 5 ч. По истечении этого времени к реакционной смеси добавляли воду (20 мл) и перемешивали смесь до растворения осадка. Продукт реакции экстрагировали хлористым метиленом (50 мл), промывали водой (10 мл) и сушили MgSO₄. После удаления растворителя в вакууме получали сухой остаток (1.01 г), очисткой которого хроматографией на силикагеле (5 г, элюент – хлороформ) выделяли 0.89 г (85%) эфира 2б в виде прозрачной вязкой жидкости, постепенно затвердевающей в процессе хранения с образованием белого аморфного порошка, Rf 0.4 (CHCl₃). Спектр ЯМР ¹H (CDCl₃), δ, м. д.: 2.27 с (3H, ArCH₃), 1.91–2.05 м и 2.54–2.67 м (6H, CH₂CH₂CH₂), 3.75 д (1H, NCH₂CO₂, ²J 16.5 Гц), 3.77 с (3H, OCH₃), 4.70 д (1H, NCH₂CO₂, ²J 16.5 Гц), 5.87 м (1H, C=СНCH₂), 7.01 д (1H, ArH, ³J 7.0 Гц), 7.26 т (1H, H⁴′, ³J 7.3 Гц), 7.07–7.14 м (4H, ArH), 7.34 д (2H, H³′,⁵′, ³J 7.3 Гц). Спектр ЯМР ¹³C (CDCl₃), δС, м. д.: 18.84 (ArСH₃), 35.50, 33.98, 23.63 (C³′′′, C′⁴′′′, C⁵′′′), 51.91 (OCH₃), 52.74 (C²), 127.41, 128.94 (C²′,⁶′, С′³′,⁵′), 127.30, 127.82, 130.43, 130.63, 131.20 (C⁴′, C³′′, C⁴′′, C⁵′′, C²′′′), 134.76, 136.10, 136.77, 140.10, 140.69, 169.50 (C¹′, C¹′′, C²′′, C⁶′′, C¹′′′), 168.73, 168.78 (NC=O, CO₂Me). Масс-спектр, m/z, (Iотн, %): 350.3 (100) [M + H]⁺ (вычислено для C22H23NO3: 349); 276.3 (100) [M – CH₂CO₂CH₃]–. Найдено, %: C 75.48; H 6.47; N 3.85. C22H23NO3. Вычислено, %: C 75.62; H 6.63; N 4.01.
N-Ацетил-N-(2-циклопент-1-ен-1-ил-6-метилфенил)глицин (3а). Суспензию ацетамида 1а [16] (0.86 г, 4 ммоль), KОН (0.23 г, 4 ммоль) и бромида триэтилбензиламмония (1.08 г, 4 ммоль) в тетрагидрофуране (10 мл) перемешивали в течение 10 мин, затем добавляли метилбромацетат (0.62 г, 4 ммоль) и перемешивали еще 5 ч. В ходе реакции наблюдалось образование обильного осадка бромида калия. По истечении 5 ч к реакционной смеси добавляли воду (20 мл) и смесь перемешивали до растворения осадка. Продукт реакции экстрагировали хлористым метиленом (50 мл), промывали водой (10 мл), органический слой сушили MgSO₄. После удаления растворителя в вакууме получали 0.92 г сухого остатка. По данным ЯМР ¹H, конверсия исходного амида 1а составляет 70%. Амидный остаток 1а не мешает получению кислоты 3а гидролизом эфира 2а. Для получения кислоты 3а к раствору эфира 2а с примесью не прореагировавшего амида 1а в смеси ТГФ–H₂O (3:1 по объему, 80 мл) при 20°C добавляли LiOH·H₂O (0.21 г, 4.1 ммоль). Через 3 ч добавляли t-BuOMe (60 мл) и воду (50 мл). Водную фазу отделяли и экстрагировали t-BuOMe (2×20 мл). Непрореагировавший амид 1a в воде нерастворим и экстрагируется трет-бутиловым эфиром. К водной фазе добавляли соляную кислоту (10 мл, 1 н.), выделялась белая суспензия кислоты 3a, которую экстрагировали CH₂Cl₂ (60 мл). Органический слой сушили MgSO₄, растворитель упаривали в вакууме. Выход 0.67 г (61% на 2 стадии), белое пенообразное вещество, Rf 0.3 (CHCl₃–EtOH, 95:5). Спектр ЯМР ¹H (CDCl₃), δ, м. д.: 1.94 с (3H, CH₃), 1.96–2.04 м, 2.42–2.50 м и 2.51–2.68 м (6H, CH₂CH₂CH₂), 2.36 с (3H, ArCH₃), 3.74 д (1H, NCH₂CO₂, ²J 16.2 Гц), 4.49 д (1H, NCH₂CO₂, ²J 16.2 Гц), 5.74–5.75 м (1H, C=CH²′′′), 7.14–7.18 м (2H, ArH), 7.22 т (1H, ArH, J 7.3 Гц), 9.80 уш. с (1H, COOH). Спектр ЯМР ¹³C (CDCl₃), δС, м. д.: 18.18, 21.31 (2 ArСH₃), 23.69, 33.65, 36.05 (C³′′, C⁴′′, C⁵′′), 52.30 (C²), 127.86, 128.62, 130.37, 131.45 (C³′, C⁴′, C⁵′, C²′′), 136.67, 136.71, 138.98, 140.60 (C¹′, C²′, C⁶′, C¹′′), 171.75, 172.62 (NC=O, CO₂H). Масс-спектр, m/z, (Iотн, %): 256.1 (100) [M + H - H₂O]⁺, 274.2 (95) [M + H]⁺ (вычислено для C16H19NO₃: 273). Найдено, %: C 70.17; H 6.89; N 4.95. C16H19NO3. Вычислено, %: C 70.31; H 7.01; N 5.12.
N-Бензоил-N-(2-циклопент-1-ен-1-ил-6-метилфенил)глицин (3б). К перемешиваемому раствору эфира 2б (0.78 г, 2.24 ммоль) в смеси ТГФ–H²О (3:1, 80 мл) при 20°C добавляли LiOH·H₂O (0.21 г, 5.0 ммоль). Через 3 ч добавляли t-BuOMe (60 мл) и воду (50 мл). Водную фазу отделяли и экстрагировали t-BuOMe (2×20 мл). К водной фазе добавляли соляную кислоту (10 мл, 1 н.) и экстрагировали CH₂Cl₂ (60 мл). Органический слой сушили MgSO₄, растворитель удаляли в вакууме. Выход 0.65 г (86%), белые кристаллы, т. пл. 177-179°C (MeCN). ИК спектр (вазелиновое масло), ν, см⁻¹: 1714, 1651, 1620, 1448, 1415, 1429, 1348, 1336, 1321, 1246, 788, 738. Спектр ЯМР ¹H (CDCl₃), δ, м. д.: 1.94–2.00 м, 2.40–2.45 м и 2.49–2.58 м (6H, CH₂CH₂CH₂), 2.21 с (3H, ArCH₃), 3.85 д (1H, NCH₂CO₂, ²J 16.8 Гц), 4.71 д (1H, NCH₂CO₂, ²J 16.8 Гц), 5.84 м (1H, C=CH²′′′), 7.00 д (1H, ArH, ³J 7.4 Гц), 7.06 д (1H, ArH, ³J 7.4 Гц), 7.10–7.14 м (3H, ArH), 7.26 т (1H, Н4′, ³J 7.4 Гц), 7.35 д (2H, H³′,⁵′, ³J 8.3 Гц), 10.23 уш. с (1H, COOH). Спектр ЯМР ¹³C (CDCl₃), δС, м. д.: 18.72 (ArСH₃), 23.38, 33.89, 35.86 (C³′′′, C⁴′′′, C⁵′′′), 53.37 (C²), 127.37, 128.89 (C²′,⁶′, С³′,⁵′), 127.22, 127.95, 130.48, 130.60, 131.23 (C⁴′, C³′′, C⁴′′, C⁵′′, C²′′′), 134.10, 136.03, 136.36, 139.74, 140.42 (C¹′, C¹′′, C²′′, C⁶′′, C¹′′′), 170.40, 172.73 (NC=O, CO₂H). Масс-спектр, m/z, (Iотн, %): 336.3 (100) [M + H]⁺, 377.3 (25) [M + MeCN + H]⁺; 334.3 (100) [M - H]¯ (вычислено для C21H21NO3: 335). Найдено, %: C 75.06; H 6.14; N 3.99. C21H21NO3. Вычислено: C 75.20; H 6.31; N 4.18.
N-(2-Циклопент-1-ен-1-ил-6-метилфенил)-N-(4-нитробензоил)глицин (3в). Амид 1в получали ацилированием (2-циклопент-1-ен-1-ил-6-метилфенил)амина [16] нитробензоилхлоридом по стандартной методике. Аналогично синтезу эфира 2а по реакции амида 1в (0.73 г, 2.26 ммоль) с метилбромацетатом (0.35 г, 2.28 ммоль) после обработки реакционной смеси и удаления растворителя получено 0.81 г сухого остатка. Спектральный анализ сухого остатка показал неполную конверсию (70%) амида 1в, который не мешает получению кислоты 3в гидролизом эфира 2в гидроксидом лития в водном растворе тетрагидрофурана. Кислоту 3в получали аналогично методике получения кислоты 3а. Выход 0.43 г (81% на две стадии в расчете на 70%-ную конверсию исходного амида 1в), бесцветные кристаллы, т. пл. 239–242°C (MeCN). ИК спектр (вазелиновое масло), ν, см⁻¹: 3107, 1761, 1629, 1595, 1517, 1460, 1429, 1348, 1315, 1192, 1165, 869, 854, 786, 748, 721, 609. Спектр ЯМР ¹H (CDCl₃), δ, м. д.: 2.27 с (3H, ArCH₃), 1.92–2.04 м, 2.33–2.40 м и 2.51–2.61 м (6H, CH₂CH₂CH₂), 3.92 д (1H, NCH₂CO₂, ²J 16.7 Гц), 4.78 д (1H, NCH₂CO₂, ²J 16.7 Гц), 5.80 м (1H, C=CH₂′′′), 7.06 д (1H, ArH, ³J 7.6 Гц), 7.09 д (1H, ArH, ³J 7.6 Гц), 7.15 т (1H, ArH, ³J 7.6 Гц), 7.50 д (2H, H²′,⁶′, ³J 8.6 Гц), 8.00 д (2H, H³′,⁵′, J 8.6 Гц). Спектр ЯМР ¹³C (CDCl₃), δС, м. д.: 18.67 (ArСH₃), 23.3, 33.91, 35.95 (C³′′′, C⁴′′′, C⁵′′′), 52.97 (C²), 122.66, 129.67 (C²′,⁶′, С³′,⁵′), 127.64, 128.76, 130.83, 131.86 (C³′′, C⁴′′, C⁵′′, C²′′′), 136.02, 136.16, 138.65, 140.06, 140.13, 148.67 (C¹′, C⁴′, C¹′′, C²′′, C⁶′′, C¹′′′), 168.75, 171.87 (NC=O, CO₂H). Масс-спектр, m/z, (Iотн, %): 242.6 (100), 381.1 (50) [M + H]⁺, 422.4 (45) [M + H + MeCN]⁺, 379.3 (100) [M - H]–, 759.6 (5) [2M - H]– (вычислено для C21H20N2O5: 380). Найдено, %: C 66.18; H 5.19; N 7.28; S 6.23. C21H20N2O5. Вычислено, %: C 66.31; H 5.30; N 7.36.
Общая методика получения бензоксазепинонов 4б, в и бензоксазоцинонов 5б, в. К суспензии глицина 3б, в (0.5 ммоль) и NaHCO³ (0.41 г, 5 ммоль) в CH₂Cl₂ (7 мл) по каплям добавляли Br₂ (0.08 г, 0.5 ммоль). Происходило мгновенное изменение цвета капель, попадающих в реакционную смесь. Перемешивание продолжали 4 ч, затем добавляли воду (15 мл), продукты реакции экстрагировали метиленхлоридом (50 мл). Органический слой сушили MgSO₄, растворитель упаривали в вакууме. Сухой остаток хроматографировали на силикагеле (10 г), элюент – CHCl₃. В первых фракциях выделяли менее полярный бензоксазепинон 4б, в. Дальнейшее элюирование хроматографической колонки дает бензоксазоцинон 5б, в.
2′-Бром-9-метил-1-бензоил-1,2-дигидро-3H-спиро[4,1-бензоксазепин-5,1′-циклопентан]-3-он (4б). Выход 33 мг (16%), белое пенообразное вещество, Rf 0.35 (CHCl₃–EtOH, 200:1). После выделения хроматографией на колонке с силикагелем через несколько часов темнеет. Спектры ЯМР, полученные через 20 ч, непригодны для интерпретации.
8-Метил-7-бензоил-3,3а,6,7-тетрагидробензо[e]циклопента[g][1,4]оксазоцин-5(2H)-он (5б). Выход 93 мг (56%), бесцветные кристаллы, т. пл. 141–143°C (EtOH), Rf 0.30 (CHCl₃–EtOH, 200:1). Спектр ЯМР ¹H (CDCl₃), δ, м. д.: 2.23 с (3H, ArCH₃), 2.05–2.14 м, 2.46–2.56 м, 2.58–2.64 м (4H, CH₂CH₂), 4.10 д (1H, NCH₂CO₂, ²J 16.8 Гц), 5.99 д (1H, NCH₂CO₂, ²J 16.8 Гц), 6.19 т (1H, H₃a, ³J 7.3 Гц), 6.21 с (1H, H¹), 7.04–7.07 м (3H, ArH), 7.10–7.14 м (3H, ArH), 7.18 д (1H, ArH, ³J 7.3 Гц), 7.20 д (1H, ArH, ³J 7.3 Гц). Спектр ЯМР ¹³C (CDCl₃), δC, м. д.: 17.42 (ArСH₃), 29.70, 32.23 (C², C³), 50.39 (C⁶), 83.53 (C³a), 127.29, 127.51 (C²′,⁶′, С³′,⁵′), 127.61, 129.66, 130.27, 131.19 (C⁹, C¹⁰ , C¹¹, C⁴′), 133.74 (C¹), 134.31, 134.50, 136.36, 136.62, 143.11 (C⁷a, C⁸, C¹¹a, C¹¹b, C¹′), 167.75, 170.02 (OC=O, NC=O). Масс-спектр, m/z, (Iотн, %): 334.1 (100) [M + H]⁺ (вычислено для C21H19NO3: 333). Найдено, %: C 75.57; H 5.68; N 3.98. C21H19NO3. Вычислено, %: C 75.66; H 5.74; N 4.20.
2′-Бром-9-метил-1-(4-нитробензоил)-1,2-дигидро-3H-спиро[4,1-бензоксазепин-5,1′-циклопентан]-3-он (4в). Выход 94 мг (41%), бесцветные кристаллы, т. пл. 217–221°C, Rf 0.35 (CHCl₃). Спектр ЯМР ¹H (CDCl₃), δ, м. д.: 1.74 с (3H, ArCH₃), 2.01–2.28 м, 2.41–2.52 м, 2.65–2.77 м и 3.18–3,24 м (6H, CH₂CH₂CH₂), 4.03 д (1H, NCH₂CO₂, ²J 18.6 Гц), 5.00 д (1H, BrCH₂′, ³J 4.6 Гц), 5.93 д (1H, NCH₂CO₂, ²J 18.6 Гц), 7.19 д (1H, ArH, ³J 7.6 Гц), 7.40 т (1H, ArH, ³J 7.6 Гц), 7.61 д (1H, ArH, ³J 7.6 Гц), 7.76 д (2H, H²′′,⁶′′, ³J 8.9 Гц), 8.00 д (2H, H³′′,⁵′′, ³J 8.9 Гц). Спектр ЯМР ¹³C (CDCl₃), δC, м. д.: 17.6 (ArСH₃), 18.0, 35.0, 35.4 (C³′, C⁴′, C⁵′), 50.1 (C²), 55.37 (BrC²′), 95.7 (C⁵), 122.5, 131.4 (C²′′,⁶′′, С³′′,⁵′′), 128.1, 129.4, 133.5 (C⁵, C⁶, C⁷), 135.4, 135.8, 137.3, 137.8, 149.2 (C¹, C⁵a, C⁸a, C¹′′, C⁴′′), 166.2, 166.9 (OC=O, NC=O). Масс-спектр, m/z, (Iотн, %): 459.3, 461.3 (100) [M + H]⁺, 500.3, 502.3 (55) [M + H + MeCN]⁺ (вычислено для C21H19BrN2O5: 458, 460). Найдено, %: C 54.78; H 4.01; Br 17.19; N 5.91. C21H19BrN2O5. Вычислено, %: C 54.92; H 4.17; Br 17.40; N 6.10.
8-Метил-7-(4-нитробензоил)-3,3а,6,7-тетрагидробензо[e]циклопента[g][1,4]оксазоцин-5(2H)-он (5в). Выход 78 мг (41%), белое пенообразное вещество, Rf 0.30 (CHCl₃). Спектр ЯМР ¹H (CDCl₃), δ, м. д.: 2.26 с (3H, ArCH₃), 2.10–2.18 м, 2.50–2.62 м и 2.64–2.69 м (4H, CH₂CH₂), 4.22 д (1H, NCH₂CO₂, ²J 16.8 Гц), 6.02 д (1H, NCH₂CO₂, ²J 16.8 Гц), 6.20 д. к (1H, H₃a, ³J 1.5, ³J 7.5 Гц), 6.30–6.32 м (1H, Н¹), 7.09 д (1H, ArH, ³J 7.3 Гц), 7.18 т (1H, ArH, ³J 7.3 Гц), 7.23 д (1H, ArH, ³J 7.3 Гц), 7.31 д (2H, H²′,⁶′, ³J 8.9 Гц), 7.97 д (2H, H³′,⁵′, ³J 8.9 Гц). Спектр ЯМР ¹³C (CDCl₃), δC, м. д.: 17.28 (ArСH₃), 29.71, 32.09 (C², C³), 50.20 (C⁶), 83.86 (C³a), 122.86 (C²′,⁶′), 127.92 (С³′,⁵′), 127.87, 130.38, 131.48 (C⁹, C¹⁰ , C¹¹), 134.16, 134.94, 136.35, 142.20 (C⁷a, C⁸, C¹¹a, C¹¹b), 135.02 (C¹), 140.35 (C¹′), 148.43 (C⁴′), 167.89, 168.64 (OC=O, NC=O). Масс-спектр, m/z, (Iотн, %): 420.1 (20) [M + CH₂CN]⁺, 379.1 (100) [M + H]⁺, 230.1 (50) [M – O2NC6H4CO]⁺ (вычислено для C21H18N2O5: 378). Найдено, %: C 66.54; H 4.71; N 7.31. C21H18N2O5. Вычислено, %: C 66.66; H 4.79; N 7.40.
Кристаллографические данные для соединения 5б: C21H19NO3 (М = 333.37), триклинные кристаллы, пространственная группа P-1, a = 8.3156(4), b = 9.2715(3), c = 11.9124(4) Å, 89.750(3), β = 69.725(4)°, 81.802(3), V = 851.71(6) ų, Z = 2, dвыч = 1.300 г/см³, μ(MoKα) = 0.087 мм–¹, F(000) = 352.0. Экспериментальный набор 41172 (8706 независимых отражений, Rint = 0.0490) использован в уточнении. Сходимость уточнения по всем независимым отражениям wR² = 0.1772, GOOF 1.027 для всех независимых отражений [R¹ = 0.0688 рассчитано для 8706 отражений с I > 2σ(I)], CCDC 2237405.
ФИНАНСОВАЯ ПОДДЕРЖКА
Работа выполнена в рамках программы государственного задания «Новые подходы и усовершенствование известных стратегий направленного синтеза поли-, би- и моноциклических N,N-, N,O-, S,O-содержащих гетероциклов с выявлением их биологической, антикоррозионной активностей и разработкой технологии практической реализации полученных соединений с соответствующими свойствами» (номер регистрации темы в ЕГИСУ 122031400274-4).
КОНФЛИКТ ИНТЕРЕСОВ
Авторы заявляют об отсутствии конфликта интересов.
About the authors
R. R. Gataullin
Ufa Institute of Chemistry, Ufa Federal Research Center of the Russian Academy of Sciences
Author for correspondence.
Email: gataullin@anrb.ru
ORCID iD: 0000-0003-3269-2729
Russian Federation, Ufa, 450054
E. S. Meshcheryakova
Institute of Petrochemistry and Catalysis of the Russian Academy of Sciences
Email: gataullin@anrb.ru
Russian Federation, Ufa, 450075
L. M. Khalilov
Institute of Petrochemistry and Catalysis of the Russian Academy of Sciences
Email: gataullin@anrb.ru
Russian Federation, Ufa, 450075
References
- Moghaddam F.M., Taheri S., Mirjafary Z., Saeidian H., Kiamehr M., Tafazzoli M. // Helv. Chim. Acta. 2011. Vol. 94. N 1. P. 142. doi: 10.1002/hlca.201000144
- Шинкевич Е.Ю., Новиков М.С., Хлебников А.Ф., Костиков Р.Р., Kopf J., Magull J. // ЖОрХ. 2007. Т. 43. Вып. 7. C. 1071; Shinkevich E.Yu., Novikov M.S., Khlebnikov A.F., Kostikov R.R., Kopf J., Magull J. // Russ. J. Org. Chem. 2007. Vol. 43. N 7. P. 1065. doi: 10.1134/S1070428007070214
- Dockendorff C., Faloon P.W., Pu J., Yu M., Johnston S., Bennion M., Penman M., Nieland T.J.F., Dandapani S., Perez J.R., Munoz B., Palmer M.A., Schreiber S.L., Krieger M. // Bioorg. Med. Chem. Lett. 2015. Vol. 25. N 10. P. 2100. doi: 10.1016/j.bmcl.2015.03.073
- Sanga M., Banach J., Ledvina A., Modi N.B., Mittur A. // Xenobiotica. 2016. Vol. 46. N 11. P. 1001. doi: 10.3109/00498254.2015.1136989
- Prapalert W., Santiarworn D., Liawruangrath S., Liawruangrath B., Pyne S.G. // Nat. Prod. Commun. 2014. Vol. 9. N 10. P. 1433. doi: 10.1177/1934578X1400901008
- Nabi A.A., Scott L.M., Furkert D.P., Sperry J. // Org. Biomol. Chem. 2021. Vol. 19. N 2. P. 416. doi: 10.1039/d0ob01995j
- El-Haddad M.N., Elattar K.M. // Res. Chem. Intermed. 2013. Vol. 39. N 7. P. 3135. doi: 10.1007/s11164-012-0826-0
- El-Haddad M.N., Elattar K.M. // Res. Chem. Intermed. 2015. Vol. 6. N 1. P. 105. doi: 10.1007/s40090-015-0037-9
- Колотова Н.В., Козьминых В.О., Долбилкина Е.В., Козьминых Е.Н. // Изв. АН. Сер. хим. 1998. Т. 47. Вып. 11. С. 2317; Kolotova N.V., Koz’minykh V.O., Dolbilkina E.V., Koz’minykh E.N. // Russ. Chem. Bull. 1998. Vol. 47. N 11. P. 2246. doi: 10.1007/BF02494290
- Гатауллин Р.Р. // ЖОрХ. 2023. Т. 59. Вып. 6. С. 525; Gataullin R.R. // Russ. J. Org. Chem. 2023. Vol. 59. N 6. P. 639. doi: 10.1134/S1070428023040115
- Gataullin R.R. // Tetrahedron. 2021. Vol. 96. 132388. doi: 10.1016/j.tet.2021.132388
- Cheng Y.A., Yu W.Z., Yeung Y.-Y. // Angew. Chem. Int. Ed. 2015. Vol. 54. N 41. P. 12102. doi: 10.1002/anie.201504724
- Фролова Т.В., Ким Д.Г., Слепухин П.А. // ЖОрХ. 2016. Т. 52. Вып. 9. С. 1356; Frolova T.V., Kim D.G., Slepukhin P.A. // Russ. J. Org. Chem. 2016. Vol. 52. N 9. P. 1344. doi: 10.1134/S1070428016090165.
- Калита Е.В., Ким Д.Г., Рахматуллина Д.А., Пыльнева М.А., Крынина Е.М. // ЖОХ. 2019. Т. 89. Вып. 8. С. 1176; Kalita, E.V., Kim, D.G., Rakhmatullina, D.A., Pylneva M.A., Krynina E.M. // Russ. J. Gen. Chem. 2019. Vol. 89. N 8. P. 1570. doi: 10.1134/S107036321908005X
- Ким Д.Г., Фролова Т.В., Петрова К.Ю., Шарутин В.В. // ЖОХ. 2019. Т. 89. Вып. 5. С. 707; Kim D.G., Frolova T.V., Petrova K.Y., Sharutin V.V. // Russ. J. Gen. Chem. 2019. Vol. 89. N 5. P. 901. doi: 10.1134/S1070363219050074
- Гатауллин Р.Р., Афонькин И.С., Павлова И.В., Абдрахманов И.Б., Толстиков Г.А. // Изв. АН. Сер. хим. 1999. Вып. 2. С. 398; Gataullin R.R., Afon’kin I.S., Pavlova I.V., Abdrakhmanov I.B., Tolstikov G.A. // Russ. Chem. Bull. 1999. Vol. 48. N 2. P. 396. doi: 10.1007/BF02494577
- Гатауллин Р.Р., Афонькин И.С., Фатыхов А.А., Спирихин Л.В., Тальвинский Е.В., Абдрахманов И.Б. // Изв. АН. Сер. хим. 2001. Т. 50. Вып. 4. C. 633; Gataullin R.R., Afon’kin I.S., Fatykhov A.A. , Spirikhin L.V., Tal’vinski E.V., Abdrakhmanov I.B. // Russ. Chem. Bull. 2001. Vol. 50. N 4. P. 659. doi: 10.1023/A:1011312912357
- Nishidai Y., Kawabata T., Yubata K., Ota F., Takamiya H., Fujiwara H., Matsubara H. // Tetrahedron. 2022. Vol. 119. P. 132854. doi: 10.1016/j.tet.2022.132854
- Jian X., Liu H. In: Comprehensive Organic Synthesis / Eds. P. Knȍchel, G.A. Molander, J. Johnson. Amsterdam; Heidelberg: Elsevier LTD, 2014. Vol. 4. P. 412.
- Gataullin R.R., Mescheryakova E.S., Sultanov R.M., Fatykhov A.A., Khalilov L.M. // Synthesis. 2019. Vol. 51. N 18. P. 3485. doi: 10.1055/s-000000841
- Sheldrick G.M. // Acta Crystallogr. (A). 2015. Vol. 71. P. 3. doi: 10.1107/S2053273314026370
- Sheldrick G.M. // Acta Crystallogr. (C). 2015. Vol. 71. P. 3. doi: 10.1107/S2053229614024218
Supplementary files






