Synthesis and Some Regularities of Transformations of 5,5-Dimethyl-3-(2-methylalyl)-2-thioxo-2,3,5,6-tetrahydrobenzo[h]quinazoline-4(1H)-one. Antibacterial Activity of the Obtained Compounds
- Authors: Markosyan A.I.1, Ayvazyan A.S.1, Gabrielyan S.А.1, Danghyan M.Y.1, Avakimyan J.A.1, Arsenyan F.H.1
-
Affiliations:
- Scientific and Technological Center of Organic and Pharmaceutical Chemistry of the National Academy of Sciences of the Republic of Armenia
- Issue: Vol 94, No 3 (2024)
- Pages: 376-384
- Section: Articles
- URL: https://ogarev-online.ru/0044-460X/article/view/261506
- DOI: https://doi.org/10.31857/S0044460X24030083
- EDN: https://elibrary.ru/FYVFMI
- ID: 261506
Cite item
Full Text
Abstract
Based on ethyl 1-amino-3,3-dimethyl-3,4-dihydronaphthalene-2-carboxylate (amino ester), a method for the synthesis of 5,5-dimethyl-3-(2-methylallyl)-2-thioxo-2,3,5,6-tetrahydrobenzo[h]quinazoline-4(1H)-one was developed. The latter was alkylated with halides of various structures, resulting in the production of 2-alkylsulfanyl-5,5-dimethyl-3-(2-methylallyl)-5, 6-dihydrobenzo[h]quinazoline-4(3H)-ones. By condensation of thioxobenzoquinazoline with hydrazine hydrate, 2-hydrazinyl-5,5-dimethyl-3-(2-methylallyl)-5,6-dihydrobenzo[h]quinazoline-4(3H)-one was synthesized, but similar reactions with 2-ethanolamine and 3-propanolamine proceeded abnormally with the formation of 2-(2-hydroxyethyl)amino-5,5-dimethyl-5,6-dihydrobenzo[h]quinazoline-4(3H)-one and 2-(3-hydroxypropyl)amino-5,5-dimethyl-5,6-dihydrobenzo[h]quinazoline-4(3H)-one, respectively. The interaction of the indicated thioxobenzoquinazoline with benzylamine proceeds with intramolecular cyclization with the formation of 6,6,10,10-tetramethyl-9,10-dihydro-5H-benzo[h]thiazolo[2,3-b]quinazoline-7(6H)-one. The antibacterial properties of the synthesized compounds were studied. It was found that the studied compounds have antibacterial activity.
Full Text
ВВЕДЕНИЕ
Производные бензо[h]хиназолина проявляют противоопухолевые, антибактериальные, противогрибковые, противовирусные, психотропные и другие полезные свойства [1–18]. Сведения о 3-замещенных 5,5-диметил-бензо[h]хиназолинах ограничиваются нашими работами, результаты которых указывают на перспективность исследований в этой области [19–24]. В представленной работе приводятся данные о синтезе, некоторых превращениях и антибактериальной активности 5,5-диметил-3-(2-метилаллил)-2-тиоксо-2,3,5,6-тетрагидробензо[h]хиназолин-4(1H)-она.
РЕЗУЛЬТАТЫ И ОБСУЖДЕНИЕ
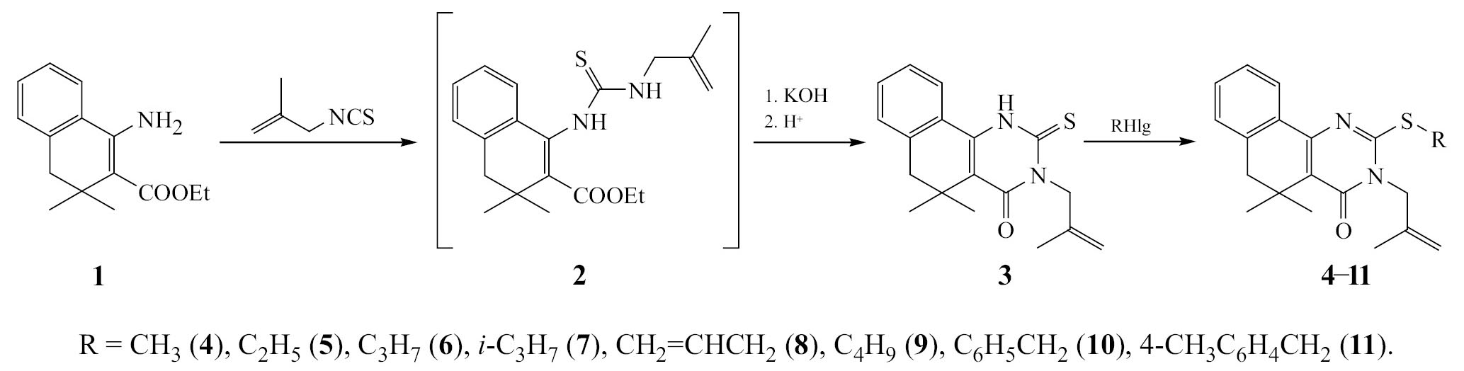
1-Амино-3,3-диметил-3,4-дигидронафталин-2-карбоксилат (аминоэфир) [19] в среде этанола введен во взаимодействие с 2-метилаллилизотиоцианатом. При проведении реакции в течение 18–20 ч образовавшаяся тиомочевина 2 уже в условиях реакции частично циклизуется в 5,5-диметил-3-(2-метилаллил)-2-тиоксо-2,3,5,6-тетрагидробензо[h]хиназолин-4(1H)-он 3 (в соотношении 1:1). Для повышения выхода соединения 3 реакционную смесь обрабатывали раствором едкого кали, что приводило к получению тиоксобензохиназолина 3 с выходом 38%. Алкилированием тиоксобензохиназолина 3 в присутствии едкого кали галогенидами различного строения в среде абсолютного этанола синтезированы 2-алкилсульфанил-5,5-диметил-3-(2-метилаллил)-5,6-дигидробензо[h]хиназолин-4(3H)- оны 4–11 (схема 1).
Схема 1.
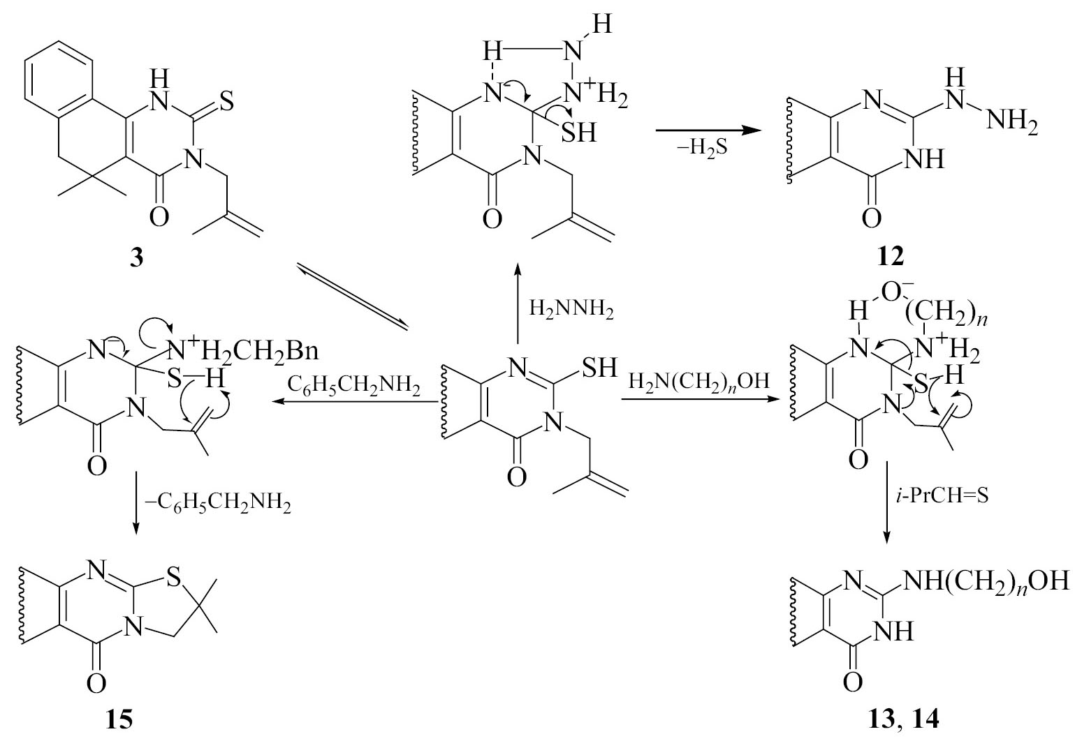
Взаимодействие тиоксобензохиназолина 3 с аминосоединениями в избытке гидразина завершается в течение 4 ч образованием 2-гидразинил-5,5-диметил-3-(2-метилаллил)-5,6-дигидробензо[h]хиназолин-4(3H)-она 12 с выходом 88% (схема 2). Аналогичные реакции тиоксобензохиназолина 3 с 2-этаноламином и 3-пропаноламином при температуре кипения последних протекали аномально. Вместо ожидаемых 2-(2-гидроксиэтил)амино-3-(2-метилаллил)-5,5-диметил-5,6-дигидробензо[h]хиназолин-4(3H)-она и 2-(3-гидроксипропил)амино-3-(2-метилаллил)-5,5-диметил-5,6-дигидробензо[h]хиназолин-4(3H)-она были получены продукты расщепления – 2-(2-гидроксиэтил)амино-5,5-диметил-5,6-дигидробензо[h]хиназолин-4(3H)-он 13 без 2-метилаллильных групп. Соединение 13 нами было получено также ранее конденсацией 5,5-диметил-2-тиоксо-2,3,5,6-тетрагидробензо[h]хиназолин-4(1H)-она с 2-этаноламином [20], 2-(3-гидроксипропил)амино-5,5-диметил-5,6-дигидробензо[h]хиназолин-4(3H)-он 14 получен в настоящей работе впервые. В результате взаимодействия соединения 3 с избытком бензиламина при температуре кипения последнего вместо ожидаемого 2-бензиламино-3-(2-метилаллил)-5,5-диметил-5,6-дигидробензо[h]хиназолин-4(3H)-она был получен продукт внутримолекулярной циклизации исходного тиоксобензохиназолина – 6,6,10,10-тетраметил-9,10-дигидро-5H-бензо[h]тиазоло[2,3-b]хиназолин-7(6H)-он 15 (схема 2). В масс-спектре соединения 15 масса молекулярного иона соответствует рассчитанному.
Схема 2.
Первой общей стадией всех превращений, очевидно, является присоединение амина по связи С=N тиольного таутомера соединения 3. Дальнейшие превращения аддукта определяются природой заместителя у атома азота: для гидразина – это замещение тиольной группы, для аддукта с бензиламином с наиболее основным атомом азота N¹ – это внутримолекулярная циклизация с последующим отщеплением бензиламина, выступающего как катализатор, для аддуктов с алканоламинами, в которых возможен перенос протона от гидроксила на атом азота N¹, реализуется перестройка с последующим разрывом связей C–S и C–N¹ и отщеплением тиоизобутиральдегида или продуктов его распада и, после таутомеризации, образованием продуктов 13 и 14 (схема 3).
Схема 3.
Антибактериальную активность соединений 3–14 изучали методом «диффузия в агаре» при бактериальной нагрузке 20 млн микробных тел на 1 мл среды [25]. В опытах использовали грамположительные (Staphylococcus aureus 209p, Bacillus subtilis АТСС 6633) и грамотрицательные штаммы (Sh. flexneri 6858, E. coli 0-55). В чашках Петри с посевами вышеуказанных штаммов микроорганизмов наносили растворы веществ в объеме 0.1 мл. Учет результатов проводили по диаметру (d, мм) зон отсутствия роста микробов на месте нанесения веществ после суточного выращивания тест культур в термостате при 37°C. В качестве положительного контроля использовали высокоэффективный в отношении грамположительных и грамотрицательных штаммов синтетический препарат фуразолидон. Опыты повторяли не менее трех раз.
Таблица 1. Антибактериальная активность соединений 3–14.
Соединение | d, мм | |||
St. Aureus 209 p | B. subtilis АТСС-6633 | Sh. flexneri 6858 | E. coli 0-55 | |
3 | 16.3±0.8 | 11.2±0.6 | 15.4±0.6 | 14.2±0.7 |
4 | 12.2±0.4 | 14.1±0.4 | 10.2±0.5 | 15.6±0.5 |
5 | 10.1±0.6 | 15.4±1.0 | 0 | 15.2±0.8 |
6 | 10.3±0.4 | 10.2±0.5 | 0 | 14.4±0.8 |
7 | 0 | 0 | 0 | 0 |
8 | 0 | 0 | 0 | 0 |
9 | 0 | 0 | 0 | 0 |
10 | 12.2±0.7 | 15.1±0.8 | 13.1±0.4 | 15.3±0.5 |
11 | 10.3±0.5 | 14.7±0.6 | 10.5±0.7 | 14.5±0.7 |
12 | 18.3±1.1 | 22.4±0.8 | 18.2±0.4 | 20.6±1.2 |
13 | 15.1±0.8 | 20.3±1.0 | 12.3±0.6 | 15.3±0.4 |
14 | 17.4±0.6 | 25.1±1.1 | 20.6±0.9 | 20.2±1.0 |
Фуразолидон | 24.6±1.2 | 24.2±0.9 | 24.4±1.0 | 24.7±1.1 |
Данные, приведенные в табл. 1, свидетельствуют о том, что в отношении грамположительных штаммов выраженное (d = 20.3–25.1 мм) или умеренное (d = 15.1–18.3 мм) антибактериальное действие, близкое к активности контрольного препарата фуразолидона (d = 24.2–24.7 мм), проявляют гидразинопроизводное 12 и аминопроизводные 13, 14. Остальные соединения оказывали умеренное действие лишь на отдельных штаммах, при этом сохранив слабую активность (d = 10.1–12.2 мм) в отношении других моделей. В случае грамотрицательных штаммов аминопроизводные 13, 14 также обладали выраженной антибактериальной активностью (d = 20.2 и 20.6 мм). Другие аналоги оказали умеренное действие (d = 14.2–15.6 мм) на штамм E. сoli и слабое (d = 10.2–13.1 мм) в опытах с Sh. flexneri. Практически неэффективными в отношении как грамположительных, так и грамотрицательных штаммов оказались соединения 7–9.
ВЫВОДЫ
Таким образом, разработан метод синтеза 5,5- диметил-3-(2-метилаллил)-2-тиоксо-2,3,5,6-тетрагидробензо[h]хиназолин-4(1H)-она (тиоксохиназолин), который конденсацией с галогенидами различного строения был переведен в соответствующие 2-алкилсульфанилпроизводные. Изучены реакции тиоксохиназолина с гидразингидратом, 2-этаноламином и 3-пропаноламином. В первом случае происходит образование 2-гидразинопроизводного с сохранением метилаллильной группировки, в то время как реакция с аминоалканолами происходит аномально с расщеплением метилаллильной группы. Реакция указанного тиоксохиназолина с бензиламином также протекает аномально: вместо образования 2-бензильного производного происходит циклизация подобно правилу Марковникова. Среди синтезированных соединений выявлены отдельные производные с выраженным антибактериальным действием, близким к активности препарата сравнения фуразолидона, что указывает на целесообразность продолжения поиска в данном ряду.
ЭКСПЕРИМЕНТАЛЬНАЯ ЧАСТЬ
ИК спектры сняты на спектрофотометре FT-IR NEXUS в вазелиновом масле. Спектры ЯМР ¹H (300 МГц) и ¹³C (75 МГц) зарегистрированы на приборе Varian Mercury-300 в ДМСО-d6–CCl4 (1:3), внутренний стандарт – ТМС или ГМДС. Масс-спектр снят на приборе Waters Xevo G3 QTOF. ТСХ проведена на пластинках SilufolR, проявитель – пары иода. Элементный анализ выполнен методами Дюма–Прегля при помощи сжигания (N), Коршун–Климовой при помощи сжигания и взвешивания (C, H) и Абрамяна при помощи сжигания и титрования (Cl, S).
5,5-Диметил-3-(2-метилаллил)-2-тиоксо-2,3,5,6-тетрагидробензо[h]хиназолин-4(1H)-он (3). Смесь 36.80 г (150 ммоль) этил-1-амино-3,3-диметил-3,4-дигидронафталин-2-карбоксилата [19], 150 мл этанола и 17.0 г (150 ммоль) 2-метилаллилизотиоцианата кипятили в течение 20 ч. К реакционной смеси добавляли раствор 16.8 г (300 ммоль) гидроксида калия в 70 мл воды и кипятили еще 4 ч. После охлаждения смесь подкисляли 10%-ной соляной кислотой до pH = 3.0–3.5. Образовавшийся осадок отфильтровывали, промывали водой и перекристаллизовывали из этанола. Выход 18.0 г (38%), т. пл. 185–187°C, Rf 0.57 (этилацетат–бензол, 1:10). ИК спектр, ν, см⁻¹: 1620 (С=С, Ar), 1681 (C=O), 3195 (NH). Спектр ЯМР ¹H, δ, м. д.: 1.27 с (6H, 5-Me), 1.81–1.82 м (3H, CH₃), 2.74 с (2H, 6-CH₂), 4.58–4.60 м (1H, =CH₂), 4.76–4.78 м (1H, =CH₂), 4.91–4.93 м (2H, NCH₂), 7.18–7.22 м (1H, Ar), 7.26–7.40 м (2H, Ar), 7.96–8.00 м (1H, Ar), 12.06 уш. с (1H, NH). Спектр ЯМР ¹³C, δС, м. д.: 20.4 (CH₃), 25.1 (5-Me), 32.6 (C⁵), 44.3 (6-CH₂), 49.7 (NCH₂), 109.2 (=CH₂), 116.6, 124.7 (CH), 125.1, 126.1 (CH), 127.7 (CH), 130.4 (CH), 136.5, 138.1, 142.6, 158.5 (CO), 175.8 (CS). Найдено, %: C 69.03; H 6.58; N 8.82; S 10.42. C18H20N2OS. Вычислено, %: C 69.20; H 6.45; N 8.97; S 10.26.
5,5-Диметил-3-(2-метилаллил)-2-метилсульфанил-5,6-дигидробензо[h]хиназолин-4(3H)-он (4). Смесь 2.18 г (7 ммоль) 2-тиоксобензо[h]хиназолина 3, 0.45 г (8 ммоль) гидроксида калия, 30 мл абс. этанола кипятили 10 мин, затем добавляли 1.14 г (8 ммоль) метилиодида и продолжали кипячение еще 12 ч. Реакционную смесь охлаждали, добавляли 20 мл воды. Осадок отфильтровывали, промывали водой, перекристаллизовывали из этанола и сушили на воздухе. Выход 1.9 г (83%), т. пл. 132–133°C, Rf 0.66 (этилацетат–бензол, 1:10). ИК спектр, ν, см⁻¹: 1603 (С=С, Ar), 1655 (C=O). Спектр ЯМР ¹H, δ, м. д.: 1.34 с (6H, 5-Me), 1.79–1.81 м (3H, CH₃), 2.66 с (3H, SCH₃), 2.76 с (2H, 6-CH₂), 4.55–4.59 м (2H, NCH₂), 4.62–4.65 м (1H, =CH₂), 4.85–4.88 м (1H, =CH₂), 7.11–7.16 м (1H, Ar), 7.22–7.33 м (2H, Ar), 8.06–8.11 м (1H, Ar). Спектр ЯМР ¹³C, δС, м. д.: 14.2 (SCH₃), 19.8 (CH₃), 25.6 (5-Me), 32.9 (C⁵), 44.1 (6-CH₂), 47.6 (NCH₂), 110.7 (=CH₂), 120.1, 124.8 (CH), 125.9(CH), 127.2 (CH), 129.6 (CH), 131.7, 136.3, 137.8, 150.7, 159.2 (CO), 159.7 (CS). Найдено, %: C 69.77; H 6.93; N 8.44; S 9.97. C19H22N2OS. Вычислено, %: C 69.90; H 6.79; N 8.58; S 9.82.
5,5-Диметил-3-(2-метилаллил)-2-этилсульфанил-5,6-дигидробензо[h]хиназолин-4(3H)-он (5) синтезировали аналогично, используя 1.092 г (8 ммоль) иодистого этила. Выход 1.9 г (80%), т. пл. 82–83°C (EtOH), Rf 0.64 (этилацетат–бензол, 1:10). ИК спектр, ν, см⁻¹: 1600 (С=С, Ar), 1664 (C=O). Спектр ЯМР ¹H, δ, м. д.: 1.34 с (6H, 5-Me), 1.47 т (3H, SCH₂CH₃, J 7.3 Гц), 1.79–1.81 м (3H, CH₃), 2.77 с (2H, 6-CH₂), 3.29 к (2H, SCH₂CH₃, J 7.3 Гц), 4.53–4.57 м (2H, NCH₂), 4.60–4.63 м (1H, =CH₂), 4.84–4.87 м (1H, =CH₂), 7.12–7.17 м (1H, Ar), 7.22–7.33 м (2H, Ar), 8.01–8.06 м (1H, Ar). Спектр ЯМР ¹³C, δС, м. д.: 13.7 (SCH₂CH₃), 19.8 (CH₃), 25.6 (5-Me), 25.7 (SCH₂), 32.9 (C⁵), 44.2 (6-CH₂), 47.6 (NCH₂), 110.5 (=CH₂), 120.2, 124.6 (CH), 125.9(CH), 127.3 (CH), 129.5 (CH), 131.7, 136.3, 137.7, 150.7, 158.8 (CO), 159.8 (CS). Найдено, %: C 70.66; H 7.26; N 8.08; S 9.55. C20H24N2OS. Вычислено, %: C 70.55; H 7.10; N 8.23; S 9.42.
5,5-Диметил-3-(2-метилаллил)-2-пропилсульфанил-5,6-дигидробензо[h]хиназолин-4(3H)-он (6) синтезировали аналогично, используя 0.92 г (7.5 ммоль) пропилбромида. Выход 2.2 г (89%), т. пл. 88–89°C (EtOH), Rf 0.64 (этилацетат–бензол, 1:10). ИК спектр, ν, см⁻¹: 1604 (С=С, Ar), 1668 (C=O). Спектр ЯМР ¹H, δ, м. д.: 1.09 т (3H, CH₂CH₃, J 7.3 Гц), 1.33 с (6H, 5-Me), 1.79–1.81 м (3H, CH₃), 1.84 т (2H, SCH₂CH₂, J 7.1 Гц), 2.76 с (2H, 6-CH₂), 3.26 т (2H, SCH₂, J 7.1 Гц), 4.55–4.58 м (2H, NCH₂), 4.60–4.62 м (1H, =CH₂), 4.84–4.87 м (1H, =CH₂), 7.12–7.16 м (1H, Ar), 7.22–7.33 м (2H, Ar), 8.00–8.04 м (1H, Ar). Спектр ЯМР ¹³C, δС, м. д.: 12.9 (CH₂CH₃), 19.8 (CH₂), 21.7 (CH₃), 25.6 (5-Me), 32.9 (C⁵), 33.2 8 (CH₂), 44.2 (6-CH₂), 47.6 (NCH₂), 110.5(=CH₂), 120.2, 124.5 (CH), 125.9(CH), 127.3 (CH), 129.5 (CH), 131.7, 136.3, 137.8, 150.7, 158.8 (CO), 159.8 (CS). Найдено, %: C 71.01; H 7.53; N 7.74; S 9.16. C21H26N2OS. Вычислено, %: C 71.15; H 7.39; N 7.90; S 9.04.
5,5-Диметил-2-изопропилсульфанил-3-(2-метилаллил)-5,6-дигидробензо[h]хиназолин-4(3H)-он (7) синтезировали аналогично, используя 0.92 г (7.5 ммоль) изопропилбромида. Выход 2.0 г (81%), т. пл. 105–106°C (EtOH), Rf 0.68 (этилацетат–бензол, 1:10). ИК спектр, ν, см⁻¹: 1603 (С=С, Ar), 1661 (C=O). Спектр ЯМР ¹H, δ, м. д.: 1.33 с (6H, 5-Me), 1.50 д (6H, CH₃, J 6.9), 1.79–1.81 м (3H, CH₃), 2.77 с (2H, 6-CH₂), 4.13 с (1H, SCH, J 6.9 Гц), 4.55–4.59 м (2H, NCH₂), 4.62–4.65 м (1H, =CH₂), 4.85–4.88 м (1H, =CH₂), 7.11–7.16 м (1H, Ar), 7.22–7.33 м (2H, Ar), 8.06–8.11 м (1H, Ar). Спектр ЯМР ¹³C, δС, м. д.: 19.9 (CH₂), 22.2 [CH(CH₃)₂], 25.6 (5-Me), 32.9 (C⁵), 37.0 (SCH), 44.2 (6-CH₂), 47.6 (NCH₂), 110.4(=CH₂), 120.2, 124.5 (CH), 126.0 (CH), 127.3 (CH), 129.5 (CH), 131.7, 136.3, 137.7, 150.8, 158.8 (CO), 159.7 (CS). Найдено, %: C 71.29; H 7.55; N 7.74; S 9.21. C21H26N2OS. Вычислено, %: C 71.15; H 7.39; N 7.90; S 9.04.
2-Аллилсульфанил-5,5-диметил-3-(2-метилаллил)-5,6-дигидробензо[h]хиназолин-4(3H)-он (8) синтезировали аналогично, используя 0.85 г (7 ммоль) аллилбромида. Выход 2.1 г (85%), т. пл. 94–95°C (EtOH), Rf 0.60 (этилацетат–бензол, 1:10). ИК спектр, ν, см⁻¹: 1600 (С=С, Ar), 1661 (C=O). Спектр ЯМР ¹H, δ, м. д.: 1.34 с (6H, 5-Me), 1.79–1.81 м (3H, CH₃), 2.77 с (2H, 6-CH₂), 3.96 д. т (2H, SCH₂, J 6.9, 1.1 Гц), 4.55–4.58 м (2H, NCH₂), 4.61–4.63 м (1H, =CH₂), 4.85–4.88 м (1H, =CH₂), 5.17 д. д. т (1H, CH =CH₂, J 10.1, 1.4, 1.1 Гц), 5.36 д. д. т (1H, CH =CH₂, J 17.0, 1.4, 1.1 Гц), 6.00 д. д. т (1H, =CH, J 17.0, 10.1, 6.9 Гц), 7.12–7.17 м (1H, Ar), 7.23–7.34 м (2H, Ar), 8.02–8.06 м (1H, Ar). Спектр ЯМР ¹³C, δС, м. д.: 19.8 (CH₃), 25.5 (5-Me), 32.9 (C⁵), 34.0 (SCH₂), 44.1 (6-CH₂), 47.7 (NCH₂), 110.6(=CH₂), 118.1 (CH =CH₂), 120.3, 124.7 (CH), 126.0(CH), 127.3 (CH), 129.6 (CH), 131.6, 132.2 (=CH), 136.3, 137.7, 150.7, 158.2 (CO), 159.7 (CS). Найдено, %: C 71.42; H 6.99; N 7.82; S 9.22. C21H24N2OS. Вычислено, %: C 71.55; H 6.86; N 7.95; S 9.10.
2-Бутилсульфанил-5,5-диметил-3-(2-метилаллил)-5,6-дигидробензо[h]хиназолин-4(3H)-он (9) синтезировали аналогично, используя 0.96 г (7 ммоль) бутилбромида. Выход 2.3 г (89%), т. пл. 89–90°C (EtOH), Rf 0.59 (этилацетат–бензол, 1:10). ИК спектр, ν, см⁻¹: 1603 (С=С, Ar), 1665 (C=O). Спектр ЯМР ¹H, δ, м. д.: 0.99 т (3H, CH₂CH₃, J 7.3 Гц), 1.33 с (6H, 5-Me), 1.46–1.58 м (2H, CH₂CH₃), 1.74–1.84 м (2H, SCH₂CH₂), 1.79–1.81 м (3H, CH₃), 2.77 с (2H, 6-CH₂), 3.28 т (2H, SCH₂, J 7.2 Гц), 4.55–4.57 м (2H, NCH₂), 4.60–4.62 м (1H, =CH₂), 4.84–4.86 м (1H, =CH₂), 7.12–7.16 м (1H, Ar), 7.22–7.33 м (2H, Ar), 8.00–8.04 м (1H, Ar). Спектр ЯМР ¹³C, δС, м. д.: 3.2 (CH₂CH₃), 19.9 (CH₂), 21.4 (CH₃), 25.6 (5-Me), 30.3 (CH₂), 31.0 (CH₂), 32.9 (C⁵), 44.2 (6-CH₂), 47.6 (NCH₂), 110.5 (=CH₂), 120.2, 124.6 (CH), 125.9 (CH), 127.3 (CH), 129.5 (CH), 131.7, 136.3, 137.8, 150.7, 158.9 (CO), 159.8 (CS). Найдено, %: C 71.86; H 7.53; N 7.48; S 8.87. C22H28N2OS. Вычислено, %: C 71.70; H 7.66; N 7.60; S 8.70.
2-Бензилсульфанил-5,5-диметил-3-(2-метилаллил)-5,6-дигидробензо[h]хиназолин-4(3H)-он (10) синтезировали аналогично, используя 0.89 г (7 ммоль) бензилхлорида. Выход 2.3 г (82%), т. пл. 109–110°C (EtOH), Rf 0.55 (этилацетат–бензол, 1:10). ИК спектр, ν, см⁻¹: 1603 (С=С, Ar), 1670 (C=O). Спектр ЯМР ¹H, δ, м. д.: 1.35 с (6H, 5-Me), 1.78–1.80 м (3H, CH₃), 2.78 м (2H, 6-CH₂), 4.56 c (2H, SCH₂), 4.55–4.57 м (2H, NCH₂), 4.61–4.63 м (1H, =CH₂), 4.84–4.87 м (1H, =CH₂), 7.13–7.17 м (1H, Ar), 7.21–7.34 м (5H, Ar), 7.38–7.42 м (2H, Ar), 8.05–8.09 м (1H, Ar). Спектр ЯМР ¹³C, δС, м. д.: 19.8 (CH₃), 25.6 (5-Me), 32.9 (C⁵), 35.8 (SCH₂), 44.1 (6-CH₂), 47.7 (NCH₂), 110.6 (=CH₂), 120.5, 124.8 (CH), 126.0 (CH), 127.3 (CH), 128.0 (2CH), 128.5 (2CH), 129.6 (CH), 131.6, 135.5, 136.3, 137.7, 150.7, 158.6 (CO), 159.7 (CS). Найдено, %: C 74.43; H 6.67; N 6.81; S 7.84. C25H26N2OS. Вычислено, %: C 74.59; H 6.51; N 6.96; S 7.97.
5,5-Диметил-3-(2-метилаллил)-2-[(4-метилбензил)сульфанил]-5,6-дигидробензо[h]хиназолин-4(3H)-он (11) синтезировали аналогично, используя 0.98 г (7 ммоль) 4-метилбензилхлорида. Выход 2.5 г (86%), т. пл. 148–149°C (BuOH), Rf 0.62 (этилацетат–бензол, 1:10). ИК спектр, ν, см⁻¹: 1604 (С=С, Ar), 1668 (C=O). Спектр ЯМР ¹H, δ, м. д.: 1.34 с (6H, 5-Me), 1.77–1.79 м (3H, CH₃), 2.33 с (3H, C₆H₄CH₃), 2.78 с, (2H, 6-CH₂), 4.51 c (2H, SCH₂), 4.54–4.56 м (2H, NCH₂), 4.60–4.62 м (1H, =CH₂), 4.84–4.86 м (1H, =CH₂), 7.03–7.11 м (2H, Ar), 7.13–7.17 м (1H, Ar), 7.23–7.34 м (4H, Ar), 8.06–8.10 м (1H, Ar). Спектр ЯМР ¹³C, δС, м. д.: 19.8 (CH₃), 20.5 (C₆H₅CH₃), 25.5 (5-Me), 32.9 (C⁵), 35.6 (SCH₂), 44.1 (6-CH₂), 47.7 (NCH₂), 110.6 (=CH₂), 120.4, 124.8 (CH), 126.0 (CH), 127.3 (CH), 128.5 (2CH), 128.6 (2CH), 129.6 (CH), 131.6, 132.3, 136.2, 136.3, 137.7, 150.7, 158.7 (CO), 159.7 (CS). Найдено, %: C 74.83; H 6.61; N 6.86; S 7.69. C26H28N2OS. Вычислено, %: C 74.96; H 6.77; N 6.72; S 7.70.
2-Гидразинил-5,5-диметил-3-(2-метилаллил)-5,6-дигидробензо[h]хиназолин-4(3H)-он (12). Смесь 10.0 г (30 ммоль) тиоксобензохиназолина 3 и 50 мл гидразингидрата кипятили 4 ч. Реакционную смесь охлаждали и прибавляли 100 мл ледяной воды. Выпавший осадок отфильтровывали, промывали водой, затем этанолом и сушили на воздухе. Выход 8.2 г (88%), т. пл. 214–216°C, Rf 0.51 (метанол–бензол, 1:1). ИК спектр, ν, см⁻¹: 1604 (C=C, Ar), 1631 (C=N), 1663 (C=O), 3150–3330 (NH, NH²). Спектр ЯМР ¹H, δ, м. д.: 1.30 с (6H, 5-Me), 1.76–1.78 м (3H, CH₃), 2.72 с (2H, 6-CH₂), 4.21 уш. с (2H, NH²), 4.47–4.51 м (1H, =CH₂), 4.76–4.79 м (1H, =CH₂), 7.08–7.13 м (1H, Ar), 7.20–7.29 м (2H, Ar), 7.8 уш. с (1H, NH), 8.11–8.17 м (1H, Ar). Спектр ЯМР ¹³C, δС, м. д.: 19.8 (CH₃), 26.1 (5-Me₂), 32.7 (C⁵), 43.7 (NCH₂), 44.7 (6-CH₂), 109.3 (=CH₂), 114.3, 125.0 (CH), 125.6 (CH), 127.0 (CH), 129.0 (CH), 132.6, 136.5, 138.8, 151.6, 153.9, 160.3 (CO). Найдено, %: C 69.79; H 7.02; N 18.21. C18H22N4O. Вычислено, %: C 69.65; H 7.14; N 18.05.
2-(2-Гидроксиэтиламино)-5,5-диметил-5,6-дигидробензо[h]хиназолин-4(3H)-он (13). Смесь 3.12 г (10 ммоль) 2-тиоксобензо[h]хиназолина и 15 мл аминоэтанола кипятили в течение 20 ч, затем добавляли 100 мл воды. Выпавшие кристаллы отфильтровывали и перекристаллизовывали из 60%-ного этанола. Выход 1.5 г (44%), т. пл. 169–170°C, Rf 0.68 (хлороформ–метанол, 6:1). ИК спектр, ν, см⁻¹: 1610 (С=С, Ar), 1635 (С=N), 1660 (C=O), 3200–3400 (OH, NH). Спектр ЯМР ¹H, δ, м.д.: 1.28 с (6H, 5-Me), 2.66 с (2H, 6-CH₂), 3.49 д. т (2H, NHCH₂CH₂OH, J 5.3, 5.0 Гц), 3.62 т (2H, NHCH₂CH₂OH, J 5.0 Гц), 4.64 уш. с (1H, OH), 6.21 уш. т (1H, NHCH₂, J 5.3 Гц), 7.03–7.08 м (1H, Ar), 7.16–7.23 м (2H, Ar), 7.99–8.04 м (1H, Ar), 10.38 уш. с (1H, 3-NH). Спектр ЯМР ¹³C, δС, м. д.: 26.4 (5-Me), 32.9 (C⁵), 42.8 (6-CH₂), 44.9 (NCH₂), 60.1 (OCH₂), 114.9, 125.2 (CH), 125.7 (CH), 127.1 (CH), 128.9 (CH), 133.0, 136.6, 152.6, 154.2, 162.1. Найдено, %: C 67.48; H 6.54; N 14.89. C16H19N3O2. Вычислено, %: C 67.35; H 6.71; N 14.73.
2-(3-Гидроксипропил)амино-5,5-диметил-5,6-дигидробензо[h]хиназолин-4(3H)-он (14) получали аналогично из 3.12 г (10 ммоль) 2-тиоксобензо[h]хиназолина 3 и 15 мл аминопропанола. Выход 1.6 г (54%), т. пл. 116–118°C, Rf 0.46 (хлороформ–метанол, 6:1). ИК спектр, ν, см⁻¹: 1589 (С=С, Ar), 1637 (C=O), 3150–3400 (OH, NH). Спектр ЯМР ¹H, δ, м. д.: 1.28 с (6H, 5-Me), 1.70–1.80 м (2H, CH₂), 2.66 с (2H, 6-CH₂), 3.47–3.57 м (4H, NCH₂ + OCH₂), 4.30 уш. с (1H, OH), 6.04 уш. т (1H, NHCH₂, J 5.6 Гц), 7.03–7.10 м (1H, Ar), 7.16–7.23 м (2H, Ar), 7.99–8.05 м (1H, Ar), 10.37 уш. с (1H, 3-NH). Спектр ЯМР ¹³C, δС, м. д.: 26.3 (5-Me), 31.8 (CH₂), 32.8 (C⁵), 37.2 (6-CH₂), 44.9 (NCH₂), 58.3 (OCH₂), 114.7, 125.1 (CH), 125.7 (CH), 126.9 (CH), 128.8 (CH), 133, 136.5, 152.5, 154.1, 162. Найдено, %: C 68.07; H 7.25; N 14.21. C17H21N3O2. Вычислено, %: C 68.20; H 7.07; N 14.04.
6,6,10,10-Тетраметил-9,10-дигидро-5H-бензо[h]тиазоло[2,3-b]хиназолин-7(6H)-он (15). Смесь 3.12 г (10 ммоль) 2-тиоксобензо[h]хиназолина 3 и 15 мл бензиламина кипятили 20 ч, затем охлаждали и добавляли 100 мл воды. Выпавшие кристаллы отфильтровывали и перекристаллизовывали из бутанола. Выход 2.2 г (71%), т. пл. 178–180°C, Rf 0.75 (этилацетат–бензол, 1:1). ИК спектр, ν, см⁻¹: 1602 (С=С, Ar), 1638 (С=O). Спектр ЯМР ¹H, δ, м. д.: 1.34 с (6H, 5-Me), 1.69 с (6H, CH₃), 2.75 с (2H, 6-CH₂), 4.18 с (2H, NCH₂), 7.10–7.15 м (1H, Ar), 7.20–7.32 м (2H, Ar), 7.99–8.04 м (1H, Ar). Спектр ЯМР ¹³C, δС, м. д.: 25.6 (5-Me), 28.3 (2CH₃), 32.9 (C⁵), 44.1 (6-CH₂), 49.6 (NCH₂), 60.3 (C), 120.8, 125.2 (CH), 125.9 (CH), 127.1 (CH), 129.5 (CH), 131.4, 136.0, 153.2, 159.4, 161.1 (CO). Масс-спектр, m/z: 314.14 [M]⁺. Найдено, %: C 69.33; H 6.30; N 8.81; S 10.33. C18H20N2OS. M 314.14. Вычислено, %: C 69.20; H 6.45; N 8.97; S 10.26.
ФИНАНСОВАЯ ПОДДЕРЖКА
Исследование выполнено при финансовой поддержке Комитета по науке Республики Армения (проект № 21T-1D061).
КОНФЛИКТ ИНТЕРЕСОВ
Авторы заявляют об отсутствии конфликта интересов.
About the authors
A. I. Markosyan
Scientific and Technological Center of Organic and Pharmaceutical Chemistry of the National Academy of Sciences of the Republic of Armenia
Email: ashot@mаrkosyan.am
ORCID iD: 0000-0001-6665-7118
Russian Federation, Yerevan, 0014 Armenia
A. S. Ayvazyan
Scientific and Technological Center of Organic and Pharmaceutical Chemistry of the National Academy of Sciences of the Republic of Armenia
Email: nfo@rcsi.science
ORCID iD: 0000-0001-8384-7431
Russian Federation, Yerevan, 0014 Armenia
S. А. Gabrielyan
Scientific and Technological Center of Organic and Pharmaceutical Chemistry of the National Academy of Sciences of the Republic of Armenia
Email: nfo@rcsi.science
Russian Federation, Yerevan, 0014 Armenia
M. Yu. Danghyan
Scientific and Technological Center of Organic and Pharmaceutical Chemistry of the National Academy of Sciences of the Republic of Armenia
Email: nfo@rcsi.science
Russian Federation, Yerevan, 0014 Armenia
J. A. Avakimyan
Scientific and Technological Center of Organic and Pharmaceutical Chemistry of the National Academy of Sciences of the Republic of Armenia
Email: nfo@rcsi.science
Russian Federation, Yerevan, 0014 Armenia
F. H. Arsenyan
Scientific and Technological Center of Organic and Pharmaceutical Chemistry of the National Academy of Sciences of the Republic of Armenia
Author for correspondence.
Email: nfo@rcsi.science
Russian Federation, Yerevan, 0014 Armenia
References
- Pozharskii A.F., Ozeryanskii V.A., Mikshiev V.Y., Antonov A.S., Chernyshev A.V., Metelitsa A.V., Borodkin G.S., Fedik N.S., Dyablo O.V. // J. Org. Chem. 2016. Vol. 81. N 13. P. 5574. doi: 10.1021/acs.joc.6b00917
- Sahoo M., Jena L., Daf S., Kumar S. // Genomics Inform. 2016. Vol. 14. N 3. P. 104. doi: 10.5808/GI.2016.14.3.104
- Maurya H.K., Hasanain M., Singh S., Sarkar J., Dubey V., Shukla A., Luqman S., Khanc F., Gupta A. // RSC Adv. 2016. Vol. 22 N 6. P. 18607. doi: 10.1039/C⁵RA24429C
- Wu L., Zhang Ch. // RSC Adv. 2016. Vol. 6. N 34. P. 287555. doi: 10.1039/C⁶RA03323G
- Gomha S.M., Abbas E.M.H., Farghaly T. // J. Heterocycl. Chem. 2017. Vol. 54. P. 610. doi: 10.1002/jhet.2632
- Keshari A.K., Singh A.K., Raj V., Rai A., Trivedi P., Ghosh B., Kumar U., Rawat A., Kumar D., Saha S. // Drug Des. Devel. Ther. 2017. Vol. 11. P. 1623. doi: 10.2147/DDDT.S136692
- Ebied M.Y., Zaghary W.A., Amin K.M., Hammad Sh.F. // J. Adv. Pharm. Res. 2017. Vol. 1 N 4. P. 216. doi: 10.21608/aprh.2017.4043
- Keshari A.K., Singh A.K., Kumar U., Raj V., Rai A., Kumar P., Kumar D., Maity B., Nath S., Prakash A., Saha S. // Drug Des. Devel. Ther. 2017. Vol. 11. P. 2981. doi: 10.2147/DDDT.S143075
- Xin L., Chen Y., Rong W., Qin Y., Li X., Guan D. // Molecules. 2018. Vol. 23 N 9. P. 2330. doi: 10.3390/molecules23092330
- Roudbaraki S.J., Janghorban S., Ghashang M. // Comb. Chem. High Throughput Screen. 2019. Vol. 22 N 6. P. 422. doi: 10.2174/1386207322666190617164617
- Nowak M., Fornal E., Kontek R., Sroczyński D., Jóźwiak A., Augustowska E., Warpas A., Adamczyk M., Malinowski Z. // Arkivoc. 2018. P. 248. doi: 10.24820/ark.5550190.p010.739
- Ramadan A., Kamel G., Awad N.E., Shokry A.A., Fayed H.M. // J. Herbmed. Pharmacol. 2020. Vol. 9 N 4. P. 400. doi: 10.34172/jhp.2020.50
- Pal A., Curtin J.F., Kinsella G.K. // Bioorg. Med. Chem. Lett. 2021. Vol. 31 N 1. P. 127672. doi: 10.1016/j.bmcl.2020.127672
- Gauni B., Mehariya K., Shah A., Duggirala S.M. // Lett. Drug Design Discov. 2021. Vol. 18. N 3. P. 222. doi: 10.2174/1570180817999201013165656
- Bora D., Kaushal A., Shankaraiah N. // Eur. J. Med. Chem. 2021. Vol. 215. N 5. P. 113263. doi: 10.1016/j.ejmech.2021.113263
- Luan M.Z., Zhang X.F., Yang Y., Meng Q.G., Hou G.G. // Bioorg. Chem. 2023. Vol. 132. P. 106360. doi: 10.1016/j.bioorg.2023.106360
- Constantine V., Milyutin N., Komogortsev A., Lichitsky B.V., Minyaev M.E., Melekhina V.G. // Beilstein J. Org. Chem. 2023. Vol. 19. P. 778. doi: 10.3762/bjoc.19.58
- Fang F., Xia J., Quan S., Chen S. // J. Org. Chem. 2023. Vol. 88 N 20. P. 14697. doi: 10.1021/acs.joc.3c01700
- Маркосян А.И., Торширзад Н.М., Габриелян С.А. // Хим. ж. Арм. 2013. Т. 66. № 1. С. 110.
- Маркосян А.И., Торширзад Н.М., Габриелян С.А., Авакимян Дж. А. // Хим. ж. Арм. 2013. Т. 66. № 2. С. 303.
- Маркосян А.И., Торширзад Н.М., Шахбазян Г.Г., Арсенян Ф.Г. // Хим.-фарм. ж. 2014. Т. 47. № 12. С. 29; Markosyan A.I., Torshirsad N.M., Shahbazyan G.G., Arsenyan F.H. // Pharm. Chem. J. 2014. Vol. 47. P. 651. doi: 10.1007/s11094-014-1025-7
- Маркосян А.И., Айрапетян К.К., Габриелян С.А., Мамян С.С., Арсенян Ф.Г., Авакимян Дж.А., Степанян Г.М. // Хим. ж. Арм. 2018. Т. 71. № 3. С. 377.
- Маркосян А.И., Айрапетян К.К., Габриелян С.А., Ширинян В.З., Мамян С.С., Авакимян Дж.А., Степанян Г.М. // ЖОрХ. 2018. Т. 54. С. 604; Markosyan A.I., Hayrapetyan K.K., Gabrielyan S.H., Shirinyan V.Z., Mamyan S.S., Avakimyan J.A., Stepanyan H.M. // Russ. J. Org. Chem. 2018. Vol. 54. P. 606. doi: 10.1134/S1070428018040152
- Маркосян А.И., Айрапетян К.К., Габриелян С.А., Мамян С.С., Ширинян В.З., Захаров А.В., Арсенян Ф.Г., Авакимян Дж.А., Степанян Г.М. // Хим.-фарм. ж. 2019. Т. 53. № 1. С. 17; Markosyan A.I., Hayrapetyan K.K., Gabrielyan S.A., Mamyan S.S., Shirinyan V.Z., Zakharov A.V., Arsenyan F.H., Avakimyan J.A., Stepanyan H.M. // Pharm. Chem. J. 2019. Vol. 53. N 1. P. 15. doi: 10.1007/s11094-019-01948-7
- Миронов А.Н. Руководство по проведению доклинических исследований лекарственных средств. М.: Медицина, 2012. С. 509.
Supplementary files





