Role of Noncovalent Interactions in The Reaction of Bromine with Alkylacetamides
- Authors: Zarechnaya O.M.1, Mikhailov V.A.1
-
Affiliations:
- L. M. Litvinenko Institute of Physical Organic and Coal Chemistry
- Issue: Vol 94, No 3 (2024)
- Pages: 315-334
- Section: Articles
- URL: https://ogarev-online.ru/0044-460X/article/view/261491
- DOI: https://doi.org/10.31857/S0044460X24030011
- EDN: https://elibrary.ru/FZOJJF
- ID: 261491
Cite item
Full Text
Abstract
Sequential transformations of molecular complexes and ionic intermediates lead to ionic products of nonionic bromine and alkylacetamides interaction. Molecular geometry, electron structure and thermodynamic parameters were evaluated at ωB97xV/dgdzvp level for all final products and supposed intermediates. A number of intra- and intermolecular noncovalent interactions such as Br···O, C-H···O, C-H···Br, H···O···H and other were revealed with combined use of spectral and computational methods, and defining role of these interactions in products and intermediates stabilization was demonstrated.
Full Text
ВВЕДЕНИЕ
Вторичные и третичные амиды низших монокарбоновых кислот широко используются в органическом синтезе [1–3], их аналоги и производные (в том числе комплексы с донорами водородной и галогеновой связи) нашли применение в качестве лекарственных средств [4, 5], компонентов косметических композиций [6] и электрохимических устройств [7, 8]. Химические и физические свойства амидов изучены и систематизированы, изложены в ряде монографий [1, 2] и обзоров [3, 9], для простейших – приведены в учебниках. Молекулярное строение простейших амидов – N,N-диметилацетамида (ДМА) и N-метилацетамида (НМА) – установлено прямыми экспериментальными методами [10–14]. В согласии с общепринятыми представлениями о геометрии амидов, молекула НМА планарна как в кристалле [10, 12], так и в газовой фазе [11]. В газовой фазе атомы остова молекулы ДМА отклоняются от плоскости [13]. Расчеты в различных приближениях [15–25], как правило, приводят к плоским структурам, за редкими исключениями [26]; связи C–H лежат в этой плоскости, по одной от каждой метильной группы. Структурно изучен только термодинамически более стабильный [27, 28] цис-изомер НМА с синперипланарной ориентацией N-метильной группы относительно кислорода и амидной связи C–N. Внутримолекулярная динамика колебаний и вращений по связям C–C и C–N амидов изучена экспериментальными [29–33] и расчетными [18, 20, 23, 24] методами. Указаний на внутримолекулярные взаимодействия в амидах с участием атомов водорода немного [13, 34]. Примеров оценки внутримолекулярных C–H···CH₃ взаимодействий (подобных найденным в комплексах протонодоноров с алканами [35–38] и в ансамблях металлорганических соединений [39]) в молекулах амидов не встречалось. В обзорах [3, 40, 41] и оригинальных работах [14, 24] распространено мнение об относительной инертности (химической стабильности) третичных амидов, в частности, по отношению к галогенам. Так, ДМА был успешно использован как среда для бромирования [42] в мягких условиях (при комнатной температуре). Однако даже в этих мягких условиях ДМА реагирует с бромом [43] с заметной скоростью, образуя смесь продуктов. Строение некоторых продуктов этого взаимодействия изучено прямыми структурными методами [43–47], но полной картины промежуточных продуктов и путей превращения пока не установлено. В настоящей работе предпринята попытка выявить ряд нековалентных взаимодействий в молекулах ДМА и НМА, их комплексов и продуктов реакции с бромом, водой и бромоводородом, а также оценить влияние этих взаимодействий на ход и результат реакции ДМА с бромом и интергалогенами.
РЕЗУЛЬТАТЫ И ОБСУЖДЕНИЕ
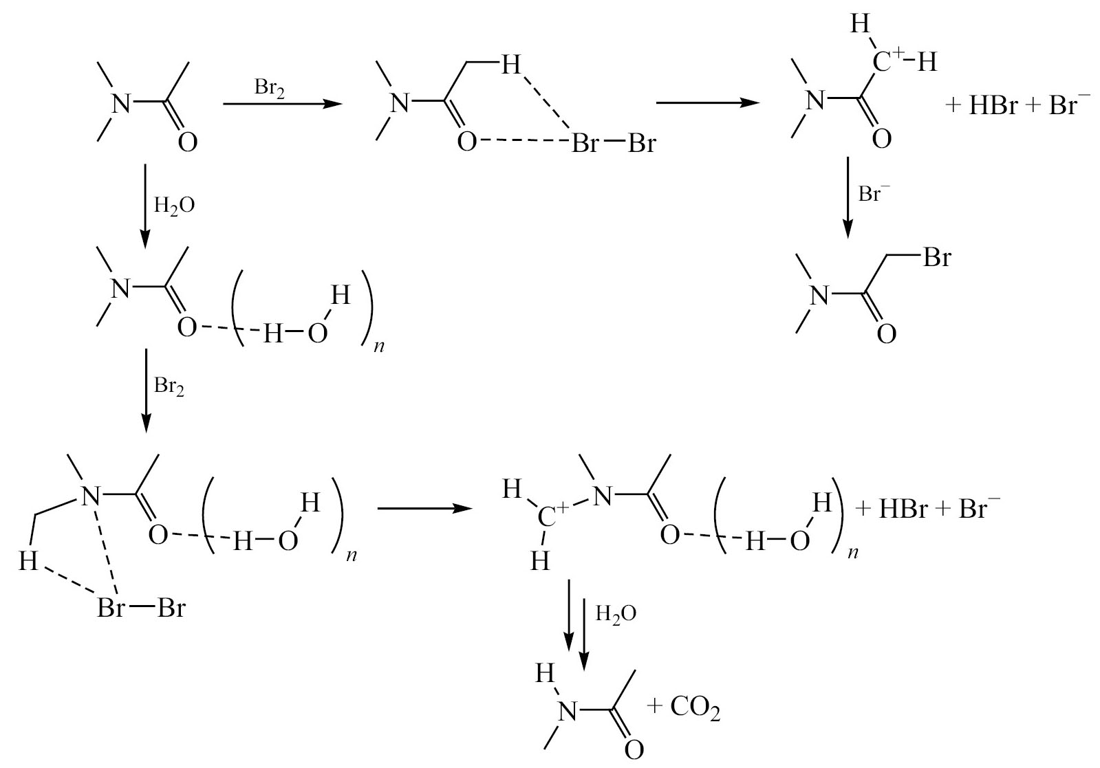
Свойства реакции. Протекание реакции N,N-диметилацетамида с бромом зависит от ряда условий (как было установлено ранее [43]), одно из них – присутствие воды. В отсутствие воды в максимально сухих условиях реакция ДМА с бромом приводит к двум выделяемым продуктам – дибромбромату бис(N,N-диметилацетамид)водорода 1 и 2-бром-N,N-диметилацетамиду 2 (схема 1).
Схема 1.
В присутствии значительных количеств воды реакция приводит к дибромбромату 1, дибромбромату бис(N-метилацетамид)водорода 3 и двуокиси углерода (схема 2).
Схема 2.
Никаких признаков образования 2-бром-N,N-диметилацетамида 2 при этом не отмечается. Сходный по строению с дибромброматом 1 продукт – дихлориодат бис(N,N-диметилацетамид)водорода – выделен в реакции ДМА с хлоридом иода [48]. Подобные продукты реакции других диалкиламидов с бромом описаны в работах [49, 50], с интергалогенами – в работе [51]. Свободный НМА также может быть введен в реакцию с бромом (протекает с выделением углекислого газа и образованием дибромбромата 3; другие продукты не установлены), но этот процесс при сопоставимых условиях протекает медленнее (см. Экспериментальную часть).
Свойства продуктов и предполагаемых интермедиатов. Молекулярное строение дибромбромата 1 установлено рентгеноструктурным исследованием независимо несколькими авторами [43–45]. Электропроводность дибромбромата 1 в твердой фазе (34.5 мкС/см) при комнатной температуре на два порядка ниже электропроводности жидкого дибромбромата бис(N,N-диметилформамид)водорода [52] и резко возрастает при плавлении. Вероятно, все полигалогениды хорошо проводят электрический ток только в жидком состоянии, как показано для соответствующих солей тетраалкиламмония [53]. Твердый при обычных условиях дибромбромат 3 не удалось получить в аналитически чистом виде; при попытке перегонки в вакууме и перекристаллизации вещество теряет бром и превращается в бромид бис(N-метилацетамид)водорода 4. Молекулярное и кристаллическое строение соединения 4 установлено рентгеноструктурным исследованием [47]. Следует отметить, что соответствующий бромид бис(N,N-диметилацетамид)водорода не существует или неустойчив; вне зависимости от соотношения реагентов все попытки получить это соединение приводят к гидробромиду N,N-диметилацетамида 5 (см. Экспериментальную часть). Молекулярное и кристаллическое строение близкого аналога – гидрохлорида N,N-диметилацетамида 6 – установлено рентгеноструктурным исследованием [46]. Протон в катионе соединения 1 резонирует в очень слабом поле, и положение сигнала зависит от концентрации [49]. В спектре ИК дибромбромата 1 хорошо различимы лишь две широкие полосы при 1600 и 1625 см⁻¹ (в остальном спектр представляет собой «черное стекло»; теоретические модели такого поведения соединений с короткой водородной связью O···H···O рассмотрены в работе [54]). В неразбавленном ДМА полосу сильного поглощения при 1640 см⁻¹ относят к колебаниям двойной связи C=H [46].
Многочисленные исследования ранее указывали на образование молекулярных комплексов при взаимодействии ДМА (и других амидов) с бромом [55, 56] и другими электрофилами (интергалогенами [55, 56], донорами протонов [57, 58], катионами металлов [59]). Судя по косвенным признакам, преимущественно координация молекулы галогена/интергалогена осуществляется по атому кислорода карбонильной группы [55, 56], хотя в отдельных случаях есть указания на возможность координации по атому азота диалкиламиногруппы [56, 60]. Для близкого к ДМА по строению N,N′-диацетилпиперазина получены твердые кристаллические комплексы с иодом и хлоридом иода, их молекулярное строение установлено рентгеноструктурным исследованием [51].
Сопоставление расчетной и экспериментальной геометрий для исходных соединений и продуктов реакции. Ранее было показано, что расчет в приближении (ωB97X-V/DGauss-DZVP) хорошо воспроизводит строение молекулы H₂O, Br₂ и HBr [52]. Строение N,N-диметилацетамида [13, 14] и N-метилацетамида [10–12] экспериментально изучено прямыми структурными методами. Расчет хорошо воспроизводит основные геометрические характеристики ДМА и НМА (табл. 1, рис. 1).
Таблица 1. Длины связей и углы в расчетных и экспериментальных структурах амидов и производных.
Структура | Длина связи, Å | Угол, град | ||||||||
C²–O³ | C¹–C² | C²–N⁴ | N⁴–C⁶ | N⁴–C⁵ | ∠O³C²N⁴ | ∠N⁴C²C¹ | ∠C²N⁴C⁶ | ∠C²N⁴C⁵ | ∠O³C²C¹ | |
ДМАрасчет | 1.229 | 1.521 | 1.375 | 1.455 | 1.458 | 121.97 | 117.33 | 123.73 | 118.81 | 120.70 |
ДМАэксп [13] | 1.226 | 1.527 | 1.368 | 1.453 | 1.453 | 121.0 | 115.9 | 123.8 | 117.8 | н/у |
НМАрасчет | 1.228 | 1.518 | 1.366 | – | 1.457 | 121.88 | 116.15 | – | 120.77 | 121.97 |
NMAэксп [12] | 1.246 | 1.519 | 1.322 | – | 1.448 | 121.68 | 116.33 | – | 120.95 | 121.99 |
Iрасчет | 1.320 | 1.500 | 1.302 | 1.475 | 1.483 | 115.03 | 124.33 | 123.48 | 119.74 | 120.64 |
6эксп [46] | 1.303 | 1.474 | 1.290 | 1.478 | 1.444 | 117.3 | 123.0 | 120.9 | 121.4 | 119.3 |
II-Part Aрасчет | 1.288 | 1.506 | 1.319 | 1.470 | 1.472 | 117.85 | 121.42 | 123.49 | 120.81 | 120.72 |
II-Part Bрасчет | 1.270 | 1.511 | 1.332 | 1.467 | 1.468 | 119.74 | 119.71 | 123.59 | 120.78 | 120.55 |
1эксп [45] | 1.279 | 1.498 | 1.313 | 1.462 | 1.461 | 118.58 | 120.92 | 123.36 | 121.61 | 120.50 |
Рис. 1. Расчетные структуры молекул ДМА, НМА и амида 2. Линиями показаны короткие внутримолекулярные контакты.
Стереохимически молекула ДМА несимметрична; при расположении, как на рис. 1 (последовательность лигандов C¹, O³, N⁴ вокруг центрального атома C² – против часовой стрелки), обращенная к зрителю сторона обозначена как грань а, обратная сторона – грань b. Четыре атома центрального фрагмента C¹C²O³N⁴ образуют почти идеальную плоскость в молекуле ДМА (параметр молекулярной планарности mpp = 0.0033 Å), атомы углерода диметиламиногруппы C⁵ и C⁶ отклоняются от этой плоскости в разные стороны: двугранный угол ∠∠O³C²N⁴C⁵ = –11.2°, ∠∠C¹C²N⁴C⁶ = 18.6°. Сумма углов между связями в окружении атома азота несколько меньше (358.18°), чем можно было бы ожидать для sp²-гибридного состояния; в эксперименте [5] эта величина еще меньше (354.1°). За счет поворота вокруг ординарных связей, три атома водорода (H⁷, H¹⁰, H¹⁴; по одному от каждой метильной группы) оказываются очень близки к плоскости центрального фрагмента C¹C²O³N⁴. При этом возникают короткие внутримолекулярные контакты H⁷···O³, H¹⁰···C¹, H¹⁰···H¹³ и H¹⁰···H¹⁴ (рис. 1a). Для N-метилацетамида в электронографическом [11] и рентгеноструктурных [10, 12] исследованиях выявлен только цис-изомер (синперипланарная конформация N-метильной группы относительно карбонильного кислорода, рис. 1б). На эту же конфигурацию указывают сопоставление расчетов и ЯМР-измерений на различных ядрах [16]; сопоставление расчетов и результатов ИК спектроскопии в сверхзвуковой струе [22]. Предполагаемый транс-изомер НМА (антиперипланарная конформация) в обычных условиях существует в минорных количествах и проявляет себя только в ИК [28] и ЯМР спектрах [17, 27]; детально его строение не изучено и в настоящей работе не рассматривается. Молекула цис-НМА ближе к плоскости по сравнению с ДМА; для четырех центральных атомов C¹C²O³N⁴ параметр mpp = 0.0018 Å, для пяти неводородных атомов mpp = 0.014 Å. Три атома водорода (NH и по одному от каждого метила: Н9, H¹⁰, H¹³) также размещаются близко к этой плоскости. Близкие к 180° двугранные углы H¹³C¹C²O³ и H⁹C⁵C²O³ исключают возможность внутримолекулярных коротких контактов H···O и связывающих взаимодействий. Эта же конформация была определена как предпочтительная в результате многочисленных расчетов молекулы НМА [16, 21–23]; отличающиеся конформации были получены в работах [15, 19, 20]. Насколько такие конформационные предпочтения важны для химических свойств амидов ДМА и НМА, неясно. По существующим представлениям, барьеры вращения диметиламиногруппы по амидной связи C²–N⁴ в молекуле ДМА весьма существенны и при обычных условиях (комнатная температура, атмосферное давление) достаточны для пребывания в одной только конформации [~18 ккал/моль (~75 кДж/моль)] для неразбавленной жидкости [30]); напротив, барьеры вращения метильных групп в молекуле ДМА очень невелики (менее 7.5 кДж/моль [33]), а в молекуле НМА еще меньше [32]. Двугранные углы в расчетных структурах отличаются от экспериментальных в значительно большей степени, как и результаты многочисленных более ранних расчетов [15, 19–25].
Для 2-бром-N,N-диметилацетамида 2 в литературе приводятся только результаты расчетов в различных приближениях [61], вполне совпадающие с результатами настоящей работы. Для этого вещества предпочтительна антиклинальная конформация атома брома относительно атома кислорода (∠∠Br¹⁵C¹C²O³ = 106.6°). Ранее было показано, что антиклинальные конфигурации энергетически выгодны для α-галогенальдегидов [62].
Экспериментальные структуры соответствующих солей известны для катионов монопротонированного N,N-диметилацетамида [46], бис(N,N-диметилацетамид)водорода [43–45] и бис(N-метилацетамид)водорода [47, 63]. Расчет в целом адекватно передает форму этих катионов (рис. 2, 3, табл. 1).
Рис. 2. Расчетная структура катиона монопротонированного N,N-диметилацетамида I и экспериментальная молекулярная структура гидрохлорида N,N-диметилацетамида 6 [46].
В последнем случае приведена симметричная структура катиона III, выявленная в кристаллической структуре дибромбромата 1 [43, 45]; известны и несимметричные структуры [45] с другими анионами. На асимметричность короткой водородной связи O···H···O в бромиде бис(ацетамид)водорода указывалось в работе [64].
Геометрия молекулярных комплексов. Хорошее соответствие расчетной и экспериментальной геометрий молекулярных соединений позволяет рассчитывать на адекватное воспроизведение структуры молекулярных комплексов N,N-диметилацетамида с бромом и водой. Основные геометрические характеристики комплексов представлены на рис. 4.
Рис. 3. Расчетные (а) структуры катиона бис(N-метилацетамид)водорода II и катиона бис(N,N-диметилацетамид)водорода III, экспериментальные (б) молекулярные структуры бромида бис(N-метилацетамид)водорода 4 [47] и дибромбромата бис(N,N-диметилацетамид)водорода [45].
Два центра координации по кислороду доступны: в E-конфигурации IV молекула брома располагается в плоскости центрального фрагмента молекулы ДМА, при этом двугранный угол ∠∠BrO³C²N⁴ равен 175.38°, и проксимальный атом брома Brα оказывается в транс-положении относительно атома азота и двойной связи C=H). В Z-конфигурации V электрофил отклоняется от плоскости центрального фрагмента молекулы ДМА, и двугранный угол ∠∠BrO³C²N⁴ равен 61.63° (рис. 4); проксимальный атом брома Brα близок к цис-положению относительно атома азота. В N-комплексе VI молекула брома практически перпендикулярна плоскости молекулы амида; двугранный угол ∠∠BrN⁴C²O³ равен –97.58°. Комплексообразование по кислороду в комплексах IV и V приводит к небольшому удлинению связи C=H, укорочению связи C²–N⁴ в молекуле амида и удлинению связи Br–Br в молекуле брома; другие изменения ковалентных связей менее значительны. При координации брома по азоту в комплексе VI связи С–N удлиняются, связь C=H укорачивается.
Рис. 4. Общий вид комплексов N,N-диметилацетамида с бромом IV (E- ДМА–Br₂), V (Z-ДМА–Br₂,), VI (N-ДМА–Br₂) и водой VII (E-H₂O) и VIII (Z-H₂O).
Молекулы воды в комплексах с ДМА также размещаются в E- или Z-положении относительно кислорода (рис. 4), в меньшей степени отклоняясь от плоскости молекулы амида в Z-конфигурации по сравнению с комплексом брома; изменения в длинах связей амидного фрагмента аналогичны комплексам брома, связь Н–О в молекуле воды удлиняется. Подобные структуры для координации воды по E- и Z-позициям атома кислорода в молекуле ДМА были найдены ранее [65]; там же обоснована вероятность координации более чем одной молекулы воды по атому кислорода в молекуле амида. В экспериментах по рассеянию рентгеновских лучей в жидкой фазе для комплекса ДМА–H₂O состава 1:1 межатомное расстояние О···О найдено 2.83 Å [58], в расчете для комплекса VII получено 2.838 Å. В этой работе также показана возможность координации нескольких (более одной) молекул воды по атому кислорода молекулы ДМА [58].
Термодинамика образования молекулярных комплексов и продуктов. Судя по отрицательной величине расчетной энтальпии (табл. 2), образование таких комплексов может быть энергетически выгодным, хотя экспериментальные оценки скудны [55, 58]. Координация электрофилов по кислороду в растворе и газовой фазе более выгодна, как указывалось в экспериментальных работах [55–59] и ранее произведенных расчетах [56, 65]; координация брома или протона по азоту менее выгодна. Взаимодействие ДМА с водой по кислороду энергетически выгоднее, чем с бромом, при всех достижимых температурах. Надо полагать, взаимодействие с водой способно подавлять взаимодействие с бромом, судя по различиям в результатах реакции в присутствии и в отсутствие воды [43]. Таким образом, водородная и галогеновая связь могут быть не только ортогональны [12], но и конкурентны по отношению друг к другу.
Таблица 2. Расчетные термодинамические характеристики молекулярных и ионных комплексов ДМА и НМА.
Комплекс | ∆Н, кДж/моль | ∆G, кДж/моль |
I | –894.8675 | –863.548 |
II | –1029.031 | –945.7025 |
III | –1040.16 | –961.63 |
IV | –27.02 | 11.92 |
V | –23.89 | 15.71 |
VI | –20.15 | 22.67 |
VII | –30.48 | 4.90 |
VIII | –29.31 | 4.95 |
Разница в расчетных энтальпиях цис-НМА и транс-НМА составляет 8.27 кДж/моль; в эксперименте грубая оценка энтальпии перехода составляет 2.3 ккал/моль (9.6 кДж/моль [28]).
Синклинальная конформация амида 2 (цис-изомер 2-бром-N,N-диметилацетамида, плоская структура) представляет собой локальный минимум на потенциальной поверхности. Расчетная энтальпия для этой структуры на 11 кДж/моль менее отрицательна, чем для антиклинальной конформации (рис. 1), расчетная энергия Гиббса – на 10 кДж/моль. В ранее произведенном расчете [61] в приближении B3LYP/aug-cc-pVTZ были получены близкие оценки [3.7 ккал/моль (15.5 кДж/моль)] для этих двух конформеров.
Электронное строение исходных соединений и молекулярных продуктов. Для всех ковалентных связей в молекулах амидов (ДМА, НМА, 2-бром-N,N-диметилацетамид 2) выявлены пути связывания и критические точки связывания с сигнатурой (3,–1). Длины связей и основные характеристики электронной плотности в этих критических точках приведены в табл. 3.
Таблица 3. Характеристики электронной плотности в критических точках связывания (3,–1) ковалентных связей остова в молекулах амидов.
Молекула | Связь | ρ, a.e. | Ñρ(r) | G(r) | V(r) |
ДМА | C¹–C² | 0.249 | –0.650 | 0.0556 | –0.273 |
C²=O³ | 0.390 | –0.337 | 0.541 | –1.16 | |
C²–N⁴ | 0.305 | –0.739 | 0.200 | –0.585 | |
N⁴–C⁵ | 0.254 | –0.569 | 0.138 | –0.420 | |
N⁴–C⁶ | 0.257 | –0.597 | 0.131 | –0.413 | |
НМА | C¹–C² | 0.251 | –0.660 | 0.0557 | –0.276 |
C²=O³ | 0.391 | –0.330 | 0.546 | –1.17 | |
C²–N⁴ | 0.310 | –0.743 | 0.213 | –0.611 | |
N⁴–C⁵ | 0.252 | –0.553 | 0.140 | –0.419 | |
Амид 2 | C¹–C² | 0.251 | –0.661 | 0.0525 | –0.270 |
C²=O³ | 0.391 | –0.337 | 0.544 | –1.17 | |
C²–N⁴ | 0.310 | –0.750 | 0.207 | –0.602 | |
N⁴–C⁵ | 0.253 | –0.556 | 0.140 | –0.421 | |
N⁴–C⁶ | 0.254 | –0.574 | 0.136 | –0.416 | |
C¹–Br¹⁵ | 0.142 | –0.121 | 0.0442 | –0.119 |
Все эти значения вполне типичны для ковалентных связей такого рода. Заселенности бассейнов («заряд по Бейдеру») трех атомов: азота, кислорода и C¹ превышают заряд ядра во всех изученных амидах, их молекулярных комплексах и протонированных формах. Вопреки распространенному мнению, карбонильная группа не уменьшает «заряд на атоме» углерода соседней метильной группы (т. е. на атоме C¹). Возможно, это общее правило: даже в катионе ацетилия [CH₃C=O]⁺ заряд по Малликену на метильном углероде тоже отрицательный [66].
Рис. 5. ELF (а) и LOL (б) представление для молекулы ДМА. Красным выделены дисинаптические, зеленым – моносинаптические бассейны.
Функция локализации электронов ELF и локатор локализованных орбиталей LOL находят два моносинаптических бассейна атома кислорода и только один атома азота в молекуле ДМА (рис. 5). Моносинаптический бассейн азота в молекуле НМА определяет только ELF (рис. 6).
Рис. 6. ELF для цис-конформации НМА (а) и антиклинальной конформации амида 2 (б). Красным выделены дисинаптические, зеленым – моносинаптические бассейны.
Внутримолекулярные нековалентные взаимодействия в молекулах амидов. В цис-конформере НМА (рис. 1б) нековалентных связывающих взаимодействий не обнаружено. В низколежащих энергетически выгодных структурах амидов (ДМА, амид 2) найдены также короткие внутримолекулярные контакты с межатомными расстояниями менее суммы вандерваальсовых радиусов (рис. 1а, в). Распределение электронной плотности внутри этих контактов характерно для связывающих взаимодействий: наличествуют путь связывания и критические точки связывания с сигнатурой (3,–1); соответствующие характеристики приведены в табл. 4.
Таблица 4. Характеристики электронной плотности в критических точках связывания (3,–1) внутримолекулярных нековалентных взаимодействий в молекулах ДМА и амида 2.
Молекула | Контакт | r, Å | ρ, a.e. | Ѳρ(r) | G(r) | V(r) |
ДМА | H⁷···O³ | 2.291 | 0.0168 | 0.0733 | 0.0152 | –0.0122 |
H¹⁰···C¹ | 2.496 | 0.0125 | 0.0529 | 0.0111 | –0.00907 | |
H¹⁰···H¹³ | 2.363 | 0.00939 | 0.0378 | 0.00754 | –0.00562 | |
H¹⁰···H¹⁵ | 2.252 | 0.00968 | 0.0398 | 0.00794 | –0.00592 | |
Амид 2 | H⁷···O³ | 2.289 | 0.0167 | 0.0736 | 0.0152 | –0.00312 |
H¹⁰···C¹ | 2.527 | 0.0124 | 0.0545 | 0.0112 | –0.00893 | |
H¹⁰···H¹³ | 2.109 | 0.0105 | 0.0429 | 0.00865 | –0.00658 | |
H¹⁰···Br¹⁵ | 2.986 | 0.00862 | 0.0336 | 0.00675 | –0.00510 |
Судя по этим характеристикам и геометрии размещения атомов C⁵H⁷O³C² в молекулах ДМА и амида 2, контакт C–H···O=C можно рассматривать как вполне обычную слабую водородную связь [67]. На вероятность такого связывания указывалось в ранних работах [13], не включавших анализ электронного строения. Ранее взаимодействие метильных групп в молекуле ДМА рассматривалось как репульсивное [31]. Однако выявленные в молекулах ДМА и амида 2 взаимодействия C–H···H–C носят все признаки связывающих и не сводятся к притяжению противоположным образом поляризованных атомов водорода (диводородная связь [68, 69]). Природа таких взаимодействий, вероятно, ближе к внутримолекулярным водород-водородным [70, 71] и дальнодействующим межмолекулярным [72–74] аттрактивным H···H взаимодействиям, хотя это явление и не находит согласованного объяснения [75, 76] в рамках различных подходов, придерживающихся жесткого и нежесткого размежевания пространства [77]. Для взаимодействия C–H···CH₃ (контакт H¹⁰···C¹) можно усмотреть некоторую аналогию с металлорганическими соединениями [39], содержащими отрицательно поляризованный атом углерода. Заселенность бассейна атома C¹ незначительно превышает заряд ядра («заряд по Бейдеру» отрицателен), но роль этого обстоятельства неясна и требует отдельного детального исследования. Атом углерода может выступать в роли центра координации водородной связи даже в столь мало поляризованной структуре, как молекула этана [35, 38, 72] (как и в молекулах других алканов [36, 37]).
Молекулярный электростатический потенциал (МЭП) в молекулах амидов распределен крайне неравномерно (рис. 7), минимум (максимум отрицательного потенциала) локализуется вблизи атома кислорода.
Рис. 7. Распределение МЭП в молекулах ДМА (а), НМА (б) и амида 2 (в).
В теоретических работах принято использовать локализацию минимума МЭП на изоэлектронной поверхности 0.001 a.e. (принимаемой за условную границу электронной плотности молекулы) как маркер координации электрофила. В расчетных структурах молекулярных комплексов IV, V, VII, VIII электрофилы с выраженным максимумом МЭП преимущественно связываются с молекулой амида по атому кислорода, однако локализация электрофильного центра (атома брома, или атома водорода в случае воды или протона) не совпадает с минимумом МЭП для изоповерхности 0.001 a.e.
Рис. 8. Сопоставление минимумов МЭП и аттракторов ELF и LOL со структурой E-комплексов IV и VII.
На рис. 8 совмещены (насколько это возможно для неидентичных молекул) расчетные структуры ДМА и E-комплексов с бромом IV и водой VII. Как видно из рис. 8, аттракторы ELF и LOL лучше предсказывают геометрию E-комплексов по сравнению с минимумом МЭП; ни один дескриптор не предсказывает структуру Z- и N-комплексов.
Нековалентное связывание в молекулярных комплексах ДМА. Характеристики электронной плотности в критических точках связывания комплексов ДМА с бромом и водой приведены в табл. 5. Судя по этим характеристикам, роль водородных связей C–H···Br невелика. Однако N,N-диметилпиваламид, в котором такие взаимодействия невозможны, связывается с иодом слабее, чем ДМА [60].
Таблица 5. Характеристики электронной плотности в критических точках связывания (3,–1) межмолекулярных нековалентных взаимодействий в комплексах ДМА с бромом и водой.
Комплекс | Контакт | r, Å | ρ, a.e. | Ѳρ(r) | G(r) | V(r) |
IV | O···Br | 2.630 | 0.0248 | 0.0923 | 0.0206 | –0.0182 |
HDMA···Br | 2.973 | 0.00649 | 0.0242 | 0.00479 | –0.00353 | |
V | O···Br | 2.678 | 0.0214 | 0.0831 | 0.0181 | –0.0154 |
VI | N···Br | 2.783 | 0.0234 | 0.0674 | 0.0159 | –0.0150 |
VII | ODMA···Hw | 1.879 | 0.0297 | 0.112 | 0.0267 | –0.0254 |
HDMA···Ow | 2.456 | 0.00914 | 0.0375 | 0.00766 | –0.00593 | |
VIII | ODMA···Hw | 1.889 | 0.0278 | 0.108 | 0.0255 | –0.0238 |
Перенос заряда и деформационная плотность в молекулярных комплексах ДМА. Численные оценки переноса заряда в комплексах брома O(N)···Brα–Brβ приведены в табл. 6.
Таблица 6. Поляризация молекулы брома и перенос заряда в комплексах ДМА с бромом.
Комплекс | Brα | Brβ | Ω (Br₂) |
IV | 0.072 | –0.113 | –0.0407 |
V | 0.0647 | –0.0958 | –0.0310 |
VI | 0.0239 | –0.0739 | –0.0499 |
В этих комплексах поляризация молекулы галогена Brαδ+–Brβδ– существенно превышает перенос заряда в целом. Перенос заряда в комплексах с водой еще меньше: 0.026е в комплексах VII и VIII. При этом перестройка электронной плотности при комплексообразовании захватывает всю молекулу брома и почти всю молекулу амида (рис. 9).
Рис. 9. Распределение деформационной плотности в комплексах ДМА–бром. Красным выделены области с увеличившейся заселенностью/электронной плотностью, синим – области уменьшения плотности.
Нековалентное связывание в ионных комплексах амидов. Короткая водородная связь O···H···O в структуре катиона II (рис. 3) удерживает два фрагмента НМА в этом катионе, других связывающих взаимодействий не выявлено. Напротив, множественное связывание выявлено в структуре катиона III (рис. 10). Красной рамкой на рис. 10 выделена часть А с более короткой O··· H-связью, синей рамкой обведена часть В с более длинной O ··· H -связью. Тонкими линиями выделены менее прочные водородные связи C–H··· O. В табл. 7 приведены характеристики электронной плотности связывающих контактов.
Рис. 10. Пути и критические точки связывания в катионе III. Синие точки – критические точки связывания ковалентных связей: звездочками выделены критические точки связывания в контактах O··· H··· O и C–H ··O.
Характеристики электронной плотности в критических точках связывания несимметричной связи O···H···O в центральном фрагменте катионов II и III типичны для короткой прочной водородной связи [78] и приближаются к характеристикам ковалентных связей. Межмолекулярные связывающие контакты C–H···O впервые выявлены для такого рода катионов. Электронная плотность в критических точках связывания этих контактов невелика; вероятно, и вклад в энергию связывания невелик.
Таблица 7. Характеристики электронной плотности в критических точках связывания (3,–1) межмолекулярных водородных связей в катионах I–III.
Катион | Контакт | r, Å | ρ, a.e. | Ñ2ρ(r) | G(r) | V(r) |
I | O···H⁺ | 0.973 | 0.336 | –0.206 | 0.0573 | –0.630 |
II | (A)–O···H⁺ | 1.109 | 0.217 | –0.651 | 0.0794 | –0.321 |
(B)–O···H⁺ | 1.323 | 0.118 | 0.0448 | 0.0768 | –0.142 | |
III | (A)–O···H⁺ | 1.102 | 0.2208 | –0.701 | 0.0786 | –0.332 |
(A) C–H···O (B) | 2.411 | 0.00964 | 0.0444 | 0.00890 | –0.00669 | |
(B)–O···H⁺ | 1.332 | 0.115 | 0.0562 | 0.0761 | –0.138 | |
(B) C–H···O (A) | 2.651 | 0.00559 | 0.0267 | 0.00509 | –0.00349 |
Свойства спаренных электронов в связывающих взаимодействиях катионов I–III. Существенные детали организации водородных связей O ··· H и H ··· O ···Н приоткрывают функции ELF и LOL. Во всех протонированных формах амидов (катионах I–III) исчезает моносинаптический бассейн атома азота (показанный на рис. 5); с точки зрения ELF и LOL, все внешние электроны азота принимают участие в образовании ковалентных связей. Обе процедуры (ELF и LOL) позволяют трактовать водородную связь в катионе I как ковалентную, с одним общим для кислорода и водорода аттрактором и соответствующим дисинаптическим бассейном; у атома кислорода при этом сохраняется один моносинаптический бассейн (рис. 11).
Рис. 11. ELF (а) и LOL (б) представления для катиона I. Красным выделены дисинаптические, зеленым – моносинаптические бассейны.
Обе процедуры (ELF и LOL) приписывают центральному атому водорода (протону) в катионах II и III свой обособленный моносинаптический бассейн со своим обособленным аттрактором (рис. 12).
Рис. 12. ELF представления для катионов III и II. Красным выделены дисинаптические, зеленым – моносинаптические бассейны.
У атомов кислорода остается по два моносинаптических бассейна, каждый со своим аттрактором. С этой точки зрения, контакт H···O···H не выглядит ковалентной связью, как в схеме 3с-4е (трехцентрового четырехэлектронного связывания), скорее, совокупность (синергическая, взаимно упрочняющая) обычных водородных связей.
Молекулярный электростатический потенциал катионов. Распределение МЭП существенно разнится в катионах I, II и III (рис. 13).
Рис. 13. Распределение МЭП в катионах I, II и III. Звездочкой отмечены максимумы потенциала (ккал/моль).
Как видно, в катионе III потенциал делокализован в наибольшей степени (по сравнению с I и II). Возможно, это способствует большей стабильности дибромбромата бис(N,N-диметилацетамид)водорода 1 по сравнению с дибромброматом бис(N-метилацетамид)водорода 3 (см. Экспериментальную часть). Во всех случаях, расчетные максимумы потенциала для свободного катиона неплохо соответствуют локализации противоаниона в реальных солях в кристалле (см. рис. 2, 3).
Термохимия образования катионов I–III и сопоставление с экспериментом. В эксперименте энтальпия реакции ДМА с катионом I оценена как 133.05 кДж/моль [79]; в сумме с табличным значением сродства к протону (PA) диметилацетамида, равного 908 кДж/моль [80]), это дает энтальпию образования комплекса III, равную –1041.05 кДж/моль, очень близкую к расчетной в реакции (1):
2ДМА + H⁺ → III, (1) ∆H = –1040.16 кДж/моль, ∆G = –961.63 кДж/моль.
Для реакции НМА с протоном соответствие несколько хуже: PA(НМА) = 888.5 кДж/моль [80] и энтальпия реакции H⁺ с НМА 124.68 кДж/моль [79] дают в сумме –1013.18 кДж/моль, тогда как расчетные значения для реакции составляют:
2HМА + H⁺ → II, (2) ∆H = –1029.03 кДж/моль, ∆G = –945.70 кДж/моль.
Высокая теплота протонирования амидов может быть одной из причин (движущей силой) самопроизвольного протекания реакции ДМА с бромом.
Преимущественное образование НМА или 2-бром-N,N-диметилацетамида 2 в зависимости от присутствия воды или ее отсутствия не столь очевидно, и требует отдельного рассмотрения.
Вероятные пути реакции брома с ДМА. В нашей предыдущей статье [51] обсуждались возможные пути реакции близкого по строению амида (ДМФА) с бромом через автоионизацию или легко протекающий гомолиз [81] молекулы брома, и приводились многочисленные доводы «за» и «против». По существующим представлениям, взаимодействие свободных радикалов (включая атомы галогенов) с третичными амидами ограничивается отрывом атома водорода [25], преимущественно от N-метильной группы [82] амида, и последующей трансформацией этой группы. Очевидным образом эти представления недостаточны для объяснения наблюдаемого результата реакции брома и ДМА. Полученные данные о строении и термодинамической стабильности молекулярных и ионных комплексов ДМА I–VIII позволяют предположить вероятный механизм появления таких центров – согласованный перенос электрона/отрыв протона [83, 84] (схема 3).
Схема 3.
В отсутствие больших количеств воды образуется комплекс ДМА–бром (например, IV с локализацией брома по атому кислорода и дополнительной водородной связью C–H···Br с участием метильной группы ацетила). При одноэлектронном окислении происходит согласованный отрыв протона от метильной группы ацетила, и к этому карбкатионному центру немедленно присоединяется бромид-анион. Образовавшийся 2-бром-N,N-диметилацетамид 2 окисляется с большим трудом, нежели исходный ДМА, и в мягких условиях может быть зафиксирован в реакционной массе или даже выделен в свободном виде. Образующийся бромистый водород дает с избытком брома и ДМА дибромбромат 1.
При изначально высоком содержании воды преимущественно образуется комплекс ДМА–вода (например, VII или VIII), и последующее присоединение брома возможно только по атому азота с образованием дополнительной водородной связи C–H···Br с участием N-метильной группы. При последующем переносе электрона протон отрывается уже от этой N-метильной группы, и образующийся карбокатион атакуется молекулой воды, как наиболее нуклеофильной частицей в этой среде. Продукты такого присоединения неустойчивы в окислительной среде, и окисляются далее вплоть до деметилирования/выделения углекислого газа и образования НМА. В целом, цепочка стадий согласованного переноса электрона/отрыва протона обеспечивают выделение энергии [85] и самопроизвольное протекание реакции брома с ДМА.
ВЫВОДЫ
Расчет в приближении wB97X/dgdzvp адекватно воспроизводит структуру и термодинамические свойства исходных реагентов и продуктов реакции N,N-диметилацетамида и брома в различных условиях (в отсутствие и в присутствии воды). Для свободных молекул амидов ДМА и 2-бром-N,N-диметилацетамид 2 в их низкоэнергетических конформациях стабилизирующее воздействие оказывают нековалентные контакты C–H···O, C–H···C–H, C–H···H–C (тогда как в литературе есть указания на стерическое отталкивание метильных групп [31]). Для молекулярных комплексов ДМА с бромом выявлены связывающие нековалентные взаимодействия атомов азота или кислорода молекулы амида с молекулой брома; для комплексов с водой предпочтительной является координация по кислороду карбонильной группы. Две изомерные формы комплексов (E и Z) энергетически предпочтительны для О-комплексов. Для ряда структур выявлены дополнительные связывающие взаимодействия типа C–H···Br и C–H···O с участием атомов водорода метильных групп молекулы амида и атомов брома или воды. Перенос заряда в комплексах ДМА–Br₂ невелик (<0.05e), однако незначительные изменения в распределении электронной плотности (деформационная плотность) затрагивают всю молекулу брома и почти всю молекулу амида. Поляризация молекулы брома при комплексообразовании превышает перенос заряда для всех комплексов. Локализация электронов с низкой кинетической энергией (электронных пар) в бассейнах азота и кислорода молекулы ДМА соответствует ожидаемой для sp²-гибридных атомов: процедуры ELF и LOL выявляют два моносинаптических бассейна у атома кислорода, и один – у атома азота. Эта картина мало меняется при комплексообразовании ДМА с бромом или водой; протонирование молекулы амида вызывает более глубокую перестройку электронной плотности. Связывание в катионах II [(НМА)₂H⁺] и III [(ДМА)₂H⁺] обеспечивается прочной несимметричной O···H···O связью с очень высокой электронной плотностью в критических точках связывания, приближающейся по своим характеристикам к ординарной ковалентной связи. Для этих катионов впервые выявлены дополнительные связывающие взаимодействия вида C–H···O с участием метильных групп и атомов кислорода ацетильной группы каждого лиганда. Связывание в катионе ДМА H⁺ I надо рассматривать как ковалентную связь О–Н, как следует из анализа ELF, LOL и характеристик электронной плотности в критических точках связывания. При формально одинаковом заряде катионов, молекулярный электростатический потенциал распределен в разной степени неравномерно (примерно в последовательности I > II > III ). В наименьшей степени эта неравномерность выражена в катионе III; возможно, по этой причине полибромидные соли с этим катионом наиболее устойчивы. Во всех молекулах протонированных амидов отсутствуют моносинаптические (в смысле ELF и LOL) бассейны азота, все электроны внешней оболочки вовлечены в образование ковалентных связей.
Физико-химические свойства дибромбромата бис(N,N-диметилацетамид)водорода 1 в целом коррелируют с результатами расчета электронного строения катиона III (и ранее проведенного расчета аниона [Br–Br–Br]–). Высокая степень делокализации заряда и МЭП в катионе III обеспечивает возможность сосуществования с анионом [Br–Br–Br], чувствительным к возмущающему действию электростатического заряда катиона. Легкоплавкое солеобразное соединение – дибромбромат бис(N,N-диметилацетамид)водорода 1 – представляет собой ионную жидкость (т. пл. < 100°C), хорошо проводит электрический ток, вместе с тем перегоняется без разложения в невысоком вакууме. Протон центрального фрагмента катиона III быстро обменивается со средой даже в неполярных средах. Устойчивость аниона [Br–Br–Br]– к диссоциации в растворе обеспечивает проявление отличной от брома реакционной способности в реакциях бромирования [45], что позволяет селективно бромировать такие капризные объекты, как метилкетоны [86], эпоксиды [87] и антрациклины [88].
ЭКСПЕРИМЕНТАЛЬНАЯ ЧАСТЬ
Растворители для физико-химических измерений (метанол, ацетонитрил, хлороформ) очищали от восстанавливающих примесей, как описано ранее [51, 89]. Другие коммерчески доступные органические растворители использовали в синтезе без дополнительной очистки. Воду для финальных операций дважды перегоняли, ее характеристики приведены в работе [90]. Бром фильтровали от механических примесей и перегоняли, отбирая среднюю фракцию с т. кип. 56–59°C. Диметилацетамид очищали, как диметилформамид в работе [52], для экспериментов в «сухих» условиях перегоняли непосредственно перед проведением опыта, отбирая среднюю фракцию в пределах 0.5°C. Углекислый газ, выделяющийся в ходе реакции, собирали над слоем воды.
Рутинные спектры 1H записаны на спектрометре Bruker Avance II (400 МГц) с использованием стандартного набора параметров при 24°C. Внутренний стандарт – тетраметилсилан (для растворов в CDCl₃); внешний стандарт – тетраметилсилан в (CD3)2C=O (для растворов в CHCl₃). УФ спектры записаны на спектрометре Specord M40. ИК спектры записаны для образцов в тонкой пленке между пластинками бромида калия. Измерения электропроводности проведены, как описано в работе [51], в двухэлектродной ячейке с гладкими (неплатинированными) электродами, калиброванной по раствору хлорида калия. Определения методом высокоэффективной жидкостной хроматографии (ВЭЖХ) и газожидкостной хроматографии (ГЖХ) проведены, как описано в работе [52]. Содержание бромистого водорода и активного брома определяли методом иодометрического титрования.
Синтез дибромбромата бис(N,N-диметилацетамид)водорода 1 описан в работах [43, 89]; простой и эффективный способ получения приведен в работе [86]. Для целей физико-химического исследования образец перекристаллизовывали из метанола, свободного от восстанавливающих примесей, и сушили при пониженном давлении (<0.1 мм рт. ст.) без нагревания. Поглощение в УФ спектре (λ ≈ 270 нм) типично для солей с анионом [Br–Br–Br]–, положение максимума и зависимости оптической плотности от концентрации для различных растворителей приведены в работе [89]. Во всей доступной ИК области (400–3300 см⁻¹) вещество поглощает очень сильно, без резко выраженных экстремумов, за исключением двух широких полос при 1600 и 1625 см⁻¹. Спектры ЯМР ¹H и ¹³C приведены в работе [43], спектры ЯМР ¹⁵N и ¹⁷O – в работе [49].
Взаимодействие N,N-диметилацетамида с бромом при комнатной температуре. К 5.0 мл N,N-диметилацетамида (4.69 г, 0.054 моль) приливали по каплям 3 мл брома (9.3 г, 0.058 моль) при перемешивании и охлаждении на водяной бане (20–25°C) в течение 1 ч. Из полученной реакционной массы отгоняли летучие компоненты в вакууме водоструйного насоса, остаток перегоняли в вакууме (т. кип. 90–102°C, 0.05 мм рт. ст.). Отгон – красная быстро затвердевающая масса (4.60 г, 0.011 моль), выход 41% в расчете на исходный ДМА. После перекристаллизации из этанола (10 мл) получили красно-оранжевые кристаллы, т. пл. 89–92°C. Спектр ЯМР ¹H (CDCl₃), δ, м. д.: 16.1 с (1H), 3.38 с (6H), 3.27 с (6H), 2.55 с (6H). Содержание активного брома (38.0%) и HBr (18.8%) близко к соответствующим величинам для дибромбромата бис(N,N-диметилацетамид)водорода 1 (38.51 и 19.50% соответственно). В азотной ловушке при перегонке собирается непрореагировавший ДМА, загрязненный бромом; кубовый остаток содержит примеси N-метилацетамида (по данным ГЖХ и ЯМР).
Дибромбромат бис(N-метилацетамид)водорода (3). К 4.70 мл (0.032 моль) водного 40%-ного раствора HBr прибавляли 1.60 мл (0.031 моль) Br₂, после остывания приливали 4.60 мл (4.40 г, 0.060 моль) N-метилацетамида. Летучие компоненты отгоняли в вакууме водоструйного насоса. В кубе остается красная, быстро затвердевающая жидкость (11.1 г), т. пл. 131–137°C. Содержание Br₂ (41.0%) и HBr (19.9%), по результатам иодометрического титрования, соответствует дибромбромату бис(N-метилацетамид)водорода 3. Спектр ЯМР ¹H (CDCl₃), δ, м. д.: 17.0 с (1H), 10.1 уш. с (2H), 2.90 д (6H, ³J 4.0 Гц), 2.40 с (6H). При перекристаллизации из метанола теряет бром, превращаясь в бромид бис(N-метилацетамид)водорода. Иодометрически определенное содержание HBr – 35.12% (расчетное 35.23%). Синтез и другие свойства бромида бис(N-метилацетамид)водорода подробно описаны в работе [43], кристаллическая и молекулярная структура – в работе [47].
Взаимодействие N-метилацетамида с бромом. К нагретому до 100°C N-метилацетамиду (4.6 мл, 4.40 г, 0.06 моль) приливали по каплям бром (3.0 мл, 9.3 г, 0.058 моль) в течение 10 мин, собирая выделившийся газ (22 мл) над поверхностью воды. Температура смеси при этом снижается; в дальнейшем ее поддерживали внешним нагреванием в пределах 95–105°C. Реакционную массу нагревали в течение 1 ч, при этом выделилось еще 11 мл газа (всего 33 мл, 0.0015 моль). Из реакционной массы (13.5 г) отгоняли летучие компоненты в вакууме водоструйного насоса, затем в вакууме масляного насоса с азотной ловушкой. По данным ГЖХ, в ловушке собирается N-метилацетамид, загрязненный бромом. Спектр ЯМР (неразбавленная жидкость), δ, м. д.: 7.85 уш. с (1H), 2.25 д (3H, ³J 4.0 Гц), 1.48 с (3H). Кубовый остаток – твердое темно-красное твердое вещество; содержание активного брома (41.4%) и HBr (20.1%) и спектр ЯМР ¹H соответствуют дибромбромату бис(N-метилацетамид)водорода 3, выход 22% (5.1 г) в расчете на исходный N-метилацетамид. После перекристаллизации из метанола получили желтые кристаллы, т. пл.127–130°C; после повторной кристаллизации получили бесцветные кристаллы с т. пл. 129–132°C. Спектр ЯМР ¹H и содержание HBr соответствуют бромиду бис(N-метилацетамид)водорода 4 [53]. Взаимодействие N-метилацетамида с бромом в присутствии воды подробно описано в работе [43].
Гидробромид N,N-диметилацетамида (5). Из смеси N,N-диметилацетамида (10.0 мл, 9.37 г, 0.1076 моль) и водного раствора HBr (7.95 мл, 0.0541 моль) отгоняли воду. Кубовый остаток – желтое масло, медленно и неполностью кристаллизующееся при охлаждении (13.3 г). Продукт хорошо растворяется в воде, спирте, хлороформе. При переосаждении из хлороформа гексаном масса резко уменьшается. После повторного переосаждения получили белое твердое вещество, т. пл. 170°C (возг.) (т. пл. 167–168°C [57]). Спектр ЯМР ¹H (CDCl₃), δ, м. д.: 13.1 с (1H), 3.57 с (3H), 3.48 с (3H), 2.82 с (3H).
Теоретические расчеты выполнены с использованием пакета ORCA 5.0.3 [91] в рамках теории функционала плотности (DFT). Для полной оптимизации геометрии без ограничений по симметрии использовали сочетание полноэлектронного валентно-расщепленного базиса DGauss-DZVP с добавлением поляризационных функций [92] и гибридного функционала ωB97X-V [93] с разделением по диапазонам и поправкой на дисперсию VV10 [94]. Для всех оптимизированных структур на том же уровне рассчитаны частоты гармонических колебаний в целях подтверждения истинности минимумов потенциальной энергии (отрицательных значений не обнаружено) и определения термических поправок к энтальпии и энергии Гиббса при 298 K и 1 атм. Термохимические характеристики комплексообразования вычисляли как разницу соответствующих энергий комплекса и суммы энергий несвязанных мономеров в их равновесных геометриях. Параметр молекулярной планарности mpp для атомов выборки рассчитан по [95] как корень квадратный из суммы квадратов расстояний атомов выборки до средней по выборке плоскости, деленной на число атомов выборки. Для расчета МЭП и анализа электронной плотности (RDG, ELF, LOL) в рамках квантовой теории атомов в молекулах (QTAIM) использовали пакет Multiwfn v.3.8 [96, 97], для визуализации результатов – пакет VMD [98] и Mercury [99].
ФИНАНСОВАЯ ПОДДЕРЖКА
Работа выполнена при поддержке Министерства науки и высшего образования Российской Федерации (грант FRES 2023-0001).
КОНФЛИКТ ИНТЕРЕСОВ
Авторы заявляют об отсутствии конфликта интересов.
About the authors
O. M. Zarechnaya
L. M. Litvinenko Institute of Physical Organic and Coal Chemistry
Email: v_mikhailov@yahoo.com
Russian Federation, Donetsk, 283048
V. A. Mikhailov
L. M. Litvinenko Institute of Physical Organic and Coal Chemistry
Author for correspondence.
Email: v_mikhailov@yahoo.com
ORCID iD: 0000-0002-4184-1805
Russian Federation, Donetsk, 283048
References
- The chemistry of amides / Ed. J. Zabicky. Wiley, 1970. 927 p.
- Bailey P.D., Mills T.J., Pettecrew R., Price R.A. In: Comprehensive Organic Functional Group Transformations II / Eds A.R. Katritzky, R.J.K. Taylor, R. Jones. Elsevier, 2005. Vol. 5. P. 201.
- Li G., Ma S., Szostak M. // Trends in Chemistry. 2020. Vol. 2. P. 914. doi: 10.1016/j.trechm.2020.08.001
- rd WHO Model List of Essential Medicines. https://iris.who.int/bitstream/handle/10665/371090/WHO-MHP-HPS-EML-2023.02-eng.pdf?sequence=1
- Elufioye T.O., Habtemariam S., Adejare A. // Rev. Bras. Farmacogn. 2020. Vol. 30. P. 622. doi: 10.1007/s43450-020-00095-5
- Wynendaele E., De Spiegeleer B., Gevaert B., Janssens Y., Suleman S., Cattoor S., Saunders J.H., Veryser L. // Regul. Toxicol. Pharmacol. 2018. Vol. 98. P. 215. doi: 10.1016/j.yrtph.2018.07.003
- Yu Y., Huang G., Du J.-Y., Wang J.-Z., Wang Y., Wu Z.-J., Zhang X.-B. // Energy Environ. Sci. 2020. Vol. 13. P. 3075. doi: 10.1039/D0EE01897J
- Li M., Feng X., Yin J., Cui T., Li F., Chen J., Lin Y., Xu X., Ding S., Wang J. // J. Mater. Chem. (A). 2023. Vol. 11. P. 25545. doi: 10.1039/D3TA04565J
- Kovács E., Rózsa B., Csomos A., Csizmadia I., Mucsi Z. // Molecules. 2018. Vol. 23. Art. 2859. doi: 10.3390/molecules23112859
- Katz J.L., Post B. // Acta Crystallogr. 1960. Vol. 13. P. 624. doi: 10.1107/S0365110X60001485
- Kitano M., Fukuyama T., Kuchitsu K. // Bull. Chem. Soc. Japan. 1973. Vol. 46. P. 384. doi: 10.1246/bcsj.46.384
- Vasylyeva V., Nayak S.K., Terraneo G., Cavallo G., Metrangolo P., Resnati G. // CrystEngComm. 2014. Vol. 16. P. 8102. doi: 10.1039/C⁴CE01514B
- Mack H.-G., Oberhammer H. // J. Am. Chem. Soc. 1997. Vol. 119. P. 3567. doi: 10.1021/ja964374x
- Di Mino C., Clancy A.J., Sella A., Howard C.A., Headen T.F., Seel A.G., Skipper N.T. // J. Phys. Chem. (B). 2023. Vol. 127. P. 1357. doi: 10.1021/acs.jpcb.2c07155
- Beicastro M., Marino T., Mineva T., Russo N., Sicilia E., Toscano M. // Theor. Comp. Chem. 1996. Vol. 4. P. 743. doi: 10.1016/S1380-7323(96)80102-6
- Ludwig R., Weinhold F., Farrar T. C. // J. Phys. Chem. (A). 1997. Vol. 101. P. 8861. doi: 10.1021/jp971360k
- Cuevas G., Renugopalakrishnan V., Madrid G., Hagler A.T. // Phys. Chem. Chem. Phys. 2002. Vol. 4. P. 1490. doi: 10.1039/B110777C
- Kang Y.K., Park H.S. // J. Mol. Struct. THEOCHEM. 2004. Vol. 676. P. 171. doi: 10.1016/j.theochem.2004.01.024
- Glover S.A., Rosser A.A. // J. Org. Chem. 2012. Vol. 77. P. 5492. doi: 10.1021/jo300347k.
- Nandi A., Qu C., Bowman J.M. // J. Chem. Phys. 2019. Vol. 151. art. 084306. doi: 10.1063/1.5119348
- Nandini G., Sathyanarayana D.N. // J. Mol. Struct. THEOCHEM. 2002. Vol. 579 P. 1. doi: 10.1016/S0166-1280(01)00711-4
- Forsting T., Gottschalk H.C., Hartwig B., Mons M., Suhm M.A. // Phys. Chem. Chem. Phys. 2017. Vol. 19. P. 10727. doi: 10.1039/C⁶CP07989J
- Thakkar B.S., Svendsen J.S.M., Engh R.A. // J. Phys. Chem. (A). 2017. Vol. 12. P. 6830. doi 10.1021/ acs.jpca.7b05584
- Mujika J.I., Matxain J.M., Eriksson L.A., Lopez X. // Chem. Eur. J. 2006. Vol. 12. P. 7215. doi: 10.1002/chem.200600052
- Samai S., Rouichi S., Ferhati A., Chakir A. // Arab. J. Chem. 2019. Vol. 12. P. 4957. doi 10.1016/ j.arabjc.2016.10.012
- Wiberg K.B., Rush D.J. // J. Org. Chem. 2002. Vol. 67. P. 826. doi: 10.1021/jo010817q
- Baker R.H., Boudreaux G.J. // Spectrochim. Acta (A). 1967. Vol. 23. P. 727. doi: 10.1016/0584-8539(67)80326-X
- Ataka S., Takeuchi H., Tasumi M. // J. Mol. Struct. 1984. Vol. 113. P. 147. doi: 10.1016/0022-2860(84)80140-4
- Drakenberg T., Forsen S. // J. Chem. Soc. (D). 1971. P. 1404. doi: 10.1039/C²9710001404
- Drakenberg T., Dahlqvist K. J., Forsen S. // J. Phys. Chem. 1972. Vol. 76. P. 2178. doi: 10.1021/j100659a020
- Wiberg K.B., Rablen P.R., Rusch D.J., Keith T.A. // J. Am. Chem. Soc. 1995. Vol. 117. P. 4261. doi: 10.1021/ja00120a006
- Ohashi N., Hougen J.T., Suenram R.D., Lovas F.J., Kawashima Y., Fujitake M., Pyka J. // J. Mol. Spectrosc. 2004. Vol. 227. P. 28. doi: 10.1016/j.jms.2004.04.017
- Fujitake M., Kubota Y., Ohashi N. // J. Mol. Spectrosc. 2006. Vol. 236. P. 97. doi: 10.1016/j.jms.2005.12.013
- Sandoval-Lira J., Fuentes L., Quintero L., Höpfl H., Hernández-Pérez J.M., Terán J.L., Sartillo-Piscil F. // J. Org. Chem. 2015. Vol. 80. P. 4481. doi: 10.1021/acs.joc.5b00286.
- Legon A.C., Wallwork A.L., Warner H.E. // Chem. Phys. Lett. 1992. Vol. 191. P. 97. doi: 10.1016/0009-2614(92)85375-K
- Atkins M.J., Legon A.C., Wallrock A.L. // Chem. Phys. Lett. 1992. Vol. 192 P. 368 doi: 10.1016/0009-2614(92)85484-R
- Raghavendra B., Arunan E. // Chem. Phys. Lett. 2008. Vol. 467. P. 37. doi: 10.1016/j.cplett.2008.11.009
- Sosulin I.S., Lukianova M.A., Volosatova A.D., Drabkin V.D., Kameneva S.V. // J. Mol. Struct. 2021. Vol. 1231. art. 129910. doi: 10.1016/j.molstruc.2021.129910
- Loveday O., Echeverría J. // Nat. Commun. 2021. Vol. 12. Art. 5030. doi: 10.1038/s41467-021-25314-y
- Adachi S., Kumagai N., Shibasaki M. // Tetrahedron Lett. 2018. Vol. 59. P. 1147. doi: 10.1016/j.tetlet.2018.01.097
- Kovács E., Rózsa B., Csomos A., Csizmadia I., Mucsi Z. // Molecules. 2018. Vol. 23. Art. 2859. doi 10.3390/ molecules23112859
- Kim K., Ryu E.K., Seo Y. // Tetrahedron Lett. 1990. Vol. 31. P. 5043. doi: 10.1016/S0040-4039(00)97801-8
- Михайлов В.А., Юфит Д.С., Стручков Ю.Т. // ЖОХ. 1992. Т. 62. С. 399; Mikhailov V.A., Yufit D.S., Struchkov Yu.T. // J. Gen. Chem. USSR. 1992. Vol. 62. P. 322.
- Губин А.И., Буранбаев М., Костынюк В.П., Копоть О.И., Ильин А.И. // Кристаллография. 1988. Т. 33. С. 1411; Gubin A.I., Buranbaev M., Kostynyuk V.P., Kopot O.I., Il’in A.I. // Kristallografiya. 1988. Vol. 33. P. 1393.
- Mammadova G.Z., Mertsalov D.F., Shchevnikov D.M., Grigoriev M.S., Akkurt M., Yıldırım S.Ö., Bhattarai A. // Acta Crystallogr. (E). 2023. Vol. 79. P. 690. doi: 10.1107/S2056989023005509
- Benedetti E., Di Blasio B., Baine P. // J. Chem. Soc. Perkin Trans. 2. 1980. P. 500. doi: 10.1039/P29800000500
- Wei B. // Acta Crystallogr. (E). 2012. Vol. 68. o1491. doi: 10.1107/S1600536812016984
- Губин А.И., Буранбаев М., Пугина Е.Г., Костынюк В.П., Ильин А.И. // Кристаллография. 1990. Т. 35. С. 218; Gubin A.I., Buranbaev M., Pugina E.G., Kostynyuk V.P., Ilin A.I. // Kristallografiya. 1990. Vol. 35. P. 218.
- Родыгин М.Ю., Зубрицкий М.Ю., Михайлов В.А., Савелова В.А., Роженко А.Б. // Укр. хим. ж. 1993. Т. 59. С. 411.
- Бураков Н.И., Каниболотский А.Л., Осиченко Г.Ю., Михайлов В.А., Савелова В.А., Космынин В.В. // ЖОрХ. 2001. Т. 37. С. 1276; Burakov N.I., Kanibolotskii A.L., Osichenko G.Yu., Mikhailov V.A., Savelova V.A., Kosmynin V.V. // Russ. J. Org. Chem. 2001. Vol. 37. P. 1210. doi: 10.1023/A:1013146630045
- Suponitsky K.Yu., Burakov N.I., Кanibolotsky A.L., Mikhailov V.A. // J. Phys. Chem. (A). 2016. Vol. 120. P. 4179. doi: 10.1021/acs.jpca.6b02192
- Заречная О.М., Михайлов В.А. // ЖОХ. 2024. Т. 94. С. 10. doi: 10.31857/S0044460X24010022
- Gully T.A., Voßnacker P., Schmid J.R., Beckers H., Riedel S. // ChemistryOpen. 2021. Vol. 10. P. 255. doi: 10.1002/open.202000263
- Vener M.V., Librovich N.B. // Int. Rev. Phys. Chem. 2009. Vol. 28. P. 407. doi: 10.1080/01442350903079955
- Drago R.S., Wenz D.A. // J. Am. Chem. Soc. 1962. Vol. 84. P. 526. doi: 10.1021/ja00863a004
- El Firdoussi A., Esseffar M., Bouab W., Abboud J.L., Mó O., Yáñez M. // J. Phys. Chem. (A). 2004. Vol. 108. P. 10568. doi: 10.1021/jp904827z
- Cook D. // Can. J. Chem. 1964. Vol. 42. P. 2721. doi: 10.1139/v64-402
- Takamuku T., Matsuo D., Tabata M., Yamaguchi T., Nishi N. // J. Phys. Chem. (B). 2003. Vol. 107 P. 6070. doi: 10.1021/jp0226578
- Waghorne W.E., Rubalcava H. // J. Chem. Soc. Faraday Trans. 1. 1982. Vol. 78. P. 1199. doi: 10.1039/F19827801199
- Guiheneuf G., Abboud J.-L.M., Lachkar A. // Can. J. Chem. 1988. Vol. 66. P. 1032. doi: 10.1139/v88-171
- Martins C.R., Rittner R., Tormena C.F. // J. Mol. Struct. 2005. Vol. 728. P. 79. doi: 10.1016/j.theochem.2005.04.033
- Silva D.R., Santos L.A., Hamlin T.A., Bickelhaupt F.M., Freitas M.P., Guerra C.F. // Phys. Chem. Chem. Phys. 2021. Vol. 23. P. 20883. doi: 10.1039/D1CP02502C
- Jaber M., Guilhem J., Loiseleur H. // Acta Crystallogr. (C). 1983. Vol. 39. P. 485. doi: 10.1107/S0108270183005211
- Groth P. // Acta Chem. Scand. (A). 1977. Vol. 31. P. 607 doi: 10.3891/acta.chem.scand.31a-0607
- Biswas S., Mallik B.S. // Comp. Theor. Chem. 2020. Vol. 1190. Art. 113001. doi: 10.1016/j.comptc.2020.113001
- Boer F.P. // J. Am. Chem. Soc. 1966. Vol. 88. P. 1572. doi: 10.1021/ja00959a059
- Koch U., Popelier P.L.A. // J. Phys. Chem. 1995. Vol. 99. P. 9747. doi: 10.1021/j100024a016
- Bakhmutov V.I. Dihydrogen Bonds: Principles, Experiments, and Applications. New York: Wiley, 2007. 241 p.
- Freindorf M., McCutcheon M., Beiranvand N., Kraka E. // Molecules. 2022. Vol. 28. Art. 263. doi 10.3390/ molecules28010263
- Lomas J.S. // Magn.Res. Chem. 2019. Vol. 57. P. 1121. doi: 10.1002/mrc.4900
- Riu M.-L.Y., Bistoni G., Cummins C.C. // J. Phys. Chem. (A). 2021. Vol. 125. P. 6151. doi: 10.1021/acs.jpca.1c04046
- Monteiro N.K.V., Firme C.L. // J. Phys. Chem. (A). 2014. Vol. 118. P. 1730. doi: 10.1021/jp500131z
- Della Porta P., Zanasi R., Monaco G. // J. Comput. Chem. 2015. Vol. 36. P. 707. doi: 10.1002/jcc.23841
- Mitoraj M.P., Sagan F., Babashkina M.G., Isaev A.Y., Chichigina Y.M., Safin D.A. // Eur. J. Org. Chem. 2019. Vol. 2019. P. 493. doi: 10.1002/ejoc.201801041
- Matczak P. // Bull. Chem. Soc. Japan. 2016. Vol. 89. P. 92. doi: 10.1246/bcsj.20150229
- Jabłoński M. // ChemistryOpen. 2019. Vol. 8. P. 497. doi: 10.1002/open.201900109
- Popelier P.L.A. // J. Mol. Model. 2022. Vol. 28. Art. 276. doi: 10.1007/s00894-022-05188-7.
- Vener M.V., Levina E.O., Astakhov A.A., Tsirelson V.G // Chem. Phys. Lett. 2015. Vol. 638. P. 233. doi 10.1016/ j.cplett.2015.08.053
- Meot-Ner M. // J. Am. Chem. Soс. 1984. Vol. 106. P. 278. doi: 10.1021/ja00314a003
- Hunter E.P.L., Lias S.G. // J. Phys. Chem. Ref. Data. 1998. Vol. 27. P. 413. doi: 10.1063/1.556018
- Wang H., Liu H., Wang M., Huang M., Shi X., Wang T., Cong X., Yan J., Wu J. // iScience 24. 2021. Art. 102693. doi: 10.1016/j.isci.2021.102693
- Solignac G., Mellouki A., Le Bras G., Barnes I., Benter Th. // J. Photochem. Photobiol. (A). 2005. Vol. 176. P. 136. doi: 10.1016/j.jphotochem.2005.07.020
- Mayer J.M. // J. Am. Chem. Soc. 2023. Vol. 145. P. 7050. doi: 10.1021/jacs.2c10212
- Groff B.D., Koronkiewicz B., Mayer J.M. // J. Org. Chem. 2023. Vol. 88. P. 16259. doi: 10.1021/acs.joc.3c01748
- Nocera D.G. // J. Am. Chem. Soc. 2022. Vol. 144. P. 1069. doi: 10.1021/jacs.1c10444
- Заречная О.М., Михайлов В.А. // Вестн. ДонНТУ. 2021. C. 34.
- Mertsalov D.F., Zaytsev V.P., Pokazeev K.M., Grigoriev M.S., Bachinsky A.V., Celikesir S.T., Akkurt M., Mlowe S. // Acta Crystallogr. (E). 2021. Vol. 77. P. 255. doi: 10.1107/S2056989021001481
- Zabudkin A.F., Matvienko V., Itkin A.M., Matveev A. Pat. US 8802830 (2014).
- Дорохова Т.В., Михайлов В.А., Каниболоцкий А.Л., Прокопьева Т.М., Савелова В.А., Попов А.Ф. // ТЭХ. 2008. Т. 44. С. 298; Dorokhova T.V., Mikhailov V.A., Kanibolotskii A.L., Prokop’eva T.M., Savelova V.A., Popov A.F. // Theor. Exp. Chem. 2008. Vol. 44. P. 307. doi: 10.1007/s11237-008-9042-9
- Zabolotniy A.A., Trush E.N., Zarechnaya O.M., Mikhailov V.A. // J. Ionic Liq. 2022. Vol. 2. Art. 100045. doi: 10.1016/j.jil.2022.100045
- Neese F., Wennmohs F., Becker U., Riplinger C. // J. Chem. Phys. 2020. Vol. 152. Art. 224108. doi: 10.1063/5.0004608
- Godbout N., SalahubD.R., Andzelm, J., Wimmer E. // Can. J. Chem. 1992. Vol. 70, P. 560. doi: 10.1139/v92-079
- Mardirossian N., Head-Gordon M. // Phys. Chem. Chem. Phys. 2014. Vol. 16. P. 9904. doi: 10.1039/C³CP54374A
- Vydrov O.A., Van Voorhis T. // J. Chem. Phys. 2010. Vol. 133. Art. 244103. doi: 10.1063/1.3521275.
- Lu T., Chen F. // J. Comput. Chem. 2012. Vol. 33. P. 580. doi: 10.1002/jcc.22885
- Zhang J., Lu T. // Phys. Chem. Chem. Phys. 2021. Vol. 23. P. 20323. doi: 10.1039/D1CP02805G
- Lu T. // J. Mol. Model. 2021. Vol. 27. P. 263. doi: 10.1007/s00894-021-04884-0
- Humphrey W., Dalke A., Schulten K. // J. Mol. Graphics. 1996. Vol. 14. P. 33. doi: 10.1016/0263-7855(96)00018-5
- Macrae C.F., Sovago I., Cottrell S.J., Galek P.T.A., McCabe P., Pidcock E., Platings M., Shields G.P., Stevens J.S., Towler M., Wood P.A. // J. Appl. Cryst. 2020. Vol. 53. P. 226. doi: 10.1107/S1600576719014092
Supplementary files


















