Quaternization of Methyl Picolinate with Some Phenacyl Bromides. Synthesis of DL-Baikiain Alkaloid
- Authors: Lomov D.A.1, Abramyants M.G.1, Zaporozhets O.O.1, Pekhtereva T.M.1
-
Affiliations:
- L. M. Litvinenko Institute of Physical Organic and Coal Chemistry
- Issue: Vol 94, No 1 (2024)
- Pages: 105-112
- Section: Articles
- URL: https://ogarev-online.ru/0044-460X/article/view/258263
- DOI: https://doi.org/10.31857/S0044460X24010095
- EDN: https://elibrary.ru/HKQMKV
- ID: 258263
Cite item
Full Text
Abstract
By fusing methyl picolinate with phenacyl bromides, the corresponding phenacyl salts were obtained, cyclization of which in acetic anhydride led to previously undescribed 3-aryl-1H-pyrido[2,1-c][1,4]oxazinium bromides. Reduction of the quaternary salts of methyl picolinate followed by acid hydrolysis leads to the alkaloid DL-baikiain.
Full Text
ВВЕДЕНИЕ
Байкиаин 1 (4,5-дегидропипеколиновая кислота, 1,2,3,6-тетрагидропиридин-2-карбоновая кислота, схема 1) – алкалоид пиперидинового ряда, содержащийся в древесине Родезийского тика (Baikiaea plurijuga) [1], а также в красных водорослях видов Amphiroa beauvoisii и Corallina officinalis [2]. Он малотоксичен [3]; в опытах на цыплятах показано, что L-байкиаин в концентрации 1.5 мкмоль обладает свойствами ретроактивного амнезиака [4] и может применяться для лечения депрессии.
Схема 1
(S)-N-Boc-байкиаин 2 является исходным реагентом в синтезе некоторых индолизиновых алкалоидов [5], а также алкалоида анатабина 3 [6], применямого за рубежом в качестве пищевой добавки. В опытах на мышах показано, что соединение 3 эффективно в терапии болезни Альцгеймера [7]. Анатабин также перспективен в лечении и профилактике хронического лимфоцитарного тиреоидита [8], дерматологических патологий [9] и заболеваний опорно-двигательного аппарата [10].
Впервые DL-байкиаин получен в 1950 г. многостадийным путем, основанным на циклизации по Дикману триэтил-N-карбоксиэтилглутамата [1]. Авторами работы [11] осуществлен 11-стадийный синтез DL-байкиаина исходя из 1,4-бутиндиола, согласно которому целевое соединение 1 получено с общим выходом 3.2%. Позже сообщалось о синтезах байкиаина, основанных на циклизации 1,4-дихлорбутена-2 диэтилацетамидомалонатом [12], а также на [4+2]-циклоприсоединении бутадиена к диэтилэтоксикарбонилиминомалонату [13]. Также известен ряд асимметрических синтезов байкиаина [14–19] с использованием труднодоступных хиральных реагентов, экстремальных условий проведения реакций и дорогостоящих комплексных катализаторов.
РЕЗУЛЬТАТЫ И ОБСУЖДЕНИЕ
В настоящей работе изучена кватернизация метилового эфира пиколиновой кислоты 4 фенацилбромидами 5а–е и циклизация полученных четвертичных солей. Также предложен простой альтернативный способ получения байкиаина, который заключается в восстановлении четвертичных фенацилиевых солей метиловых эфиров пиколиновой кислоты боргидридом натрия с последующим кислотным расщеплением терминальной C–N связи.
Кипячение эквимольных количеств метилпиколината 4 и фенацилбромидов 5а–е в ацетоне, нитрометане или изопропаноле не привело к положительным результатам, однако реакция кватернизации протекает при сплавлении вышеуказанных соединений. Продуктами данного превращения являются фенацилиевые соли метилового эфира пиколиновой кислоты 6а–е, полученные с выходами 16–44%, и фенацилиевые соли пиколиновой кислоты 7б–е, образующиеся с выходами 20–56% (схема 2). Следует отметить, что продолжительное нагревание эфира 4 с фенацилбромидами 5а, б, г, д в ацетонитриле приводит к соответствующим фенацилиевым солям пиридиния 8а, б, г, д.
Схема 2
Соединения 6а–е и 7б–е можно легко разделить, используя большую разницу их растворимости в изопропаноле. Взаимодействие соединений 4 и 5а приводит только к образованию эфира 6а. В спектрах ЯМР 1Н соединений 6а–е присутствуют сигналы протонов метоксикарбонильной группы (3.88–3.91 м. д.), а также сигналы протонов метиленовой группы (6.65–6.70 м. д.). В спектрах ЯМР 13С солей 6а–е наблюдаются сигналы атомов углерода метоксикарбонильной группы при 55.0–56.6 и 160.1–164.4 м. д., а также сигналы метиленового и карбонильного атомов углерода при 65.3–67.8 и 188.6–191.8 м. д. соответственно. Что касается продуктов кватернизации 7б–е, то в ЯМР 1Н и 13С спектрах данных соединений отсутствуют сигналы метоксикарбонильной группы. В спектрах ЯМР 13С производных 7б–е, помимо сигналов атомов углерода, отнесенных к ароматическим фрагментам, наблюдаются сигналы атомов углерода метиленовой группы при 64.9–66.9 м. д., карбоксильной группы при 160.5–164.6 м. д. и карбонильной группы при 198.3–191.9 м. д. В спектрах ЯМР 1Н и 13С солей 8а, б, г, д отсутствуют сигналы протонов и атомов углерода метоксикарбонильной или карбоксильной групп.
Четвертичные соли 6а–е являются малоизученными соединениями, поэтому интересны для исследования некоторых их химических свойств. Нами обнаружено, что нагревание солей 6а–г в среде уксусного ангидрида приводит к образованию ранее неописанных 3-арил-1Н-пиридо[2,1-с][1, 4]оксазиний бромидов 10а–г с выходами 70–82% (схема 3). Реакция, вероятно, протекает через промежуточное образование ацетатов енолов 9.
Схема 3
Соединения 10а–г представляют собой слабоокрашенные вещества с высокими температурами плавления. На протекание реакции циклизации указывает тот факт, что в спектрах ЯМР 1Н соединений 10а–г исчезают сигналы метоксикарбонильной и метиленовой групп и появляется синглетный сигнал этиленового протона оксазиниевого фрагмента при 9.05–9.19 м. д. Аналогичная картина наблюдается и в спектрах ЯМР 13С солей 10а–г, в которых появляется сигнал этиленового атома углерода в области 108.9–109.9 м. д.
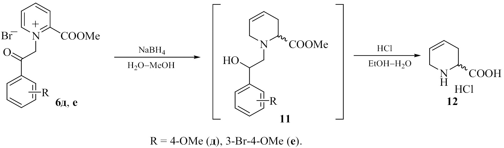
Ранее было обнаружено, что восстановление фенацилиевых солей эфиров никотиновой и изоникотиновой кислот комплексными гидридами бора с последующим кислотным гидролизом приводит к алкалоидам гувацину и изогувацину соответственно [20, 21]. Аналогичная картина наблюдается и в случае восстановления фенацилиевых солей 6д, е, содержащих в пара-положении арильного остатка метоксигруппу, боргидридом натрия в водно-метанольном растворе с последующим кипячением продуктов восстановления в спиртовом растворе соляной кислоты, приводящее к получению гидрохлорида байкиаина 12 с выходами 50–68% (схема 4).
Схема 4
Реакция протекает через промежуточное образование интермедиатов 11, которые с целью повышения выхода байкиаина гидрохлорида подвергали гидролизу без выделения. В спектре ЯМР 1Н соединения 12 наблюдаются неразрешенные сигналы протонов двух метиленовых групп при 2.34–2.41 (3-СН2) и 3.57 м. д. (6-СН2), сигнал протона карбоксильной группы при 4.08 м. д., а также дублеты этиленовых протонов при 5.70 и 5.86 м. д. В спектре ЯМР 13С наблюдаются сигналы атомов углерода двух метиленовых групп при 24.7 и 41.2 м. д., сигналы двух этиленовых атомов углерода при 120.9 и 124.1 м. д. и сигнал углерода карбоксигруппы при 169.9 м. д.
Для окончательного установления структуры байкиаина гидрохлорида 12 записан спектр гетероядерной корреляции 1Н–13С HSQC, который позволил осуществить отнесение сигналов в спектре ЯМР 1Н. Сигналы углеродных атомов при 120.9 и 124.1 м. д. коррелируют с сигналами протонов при 5.70 и 5.86 м. д. соответственно. Сигналы атомов углерода при 24.7, 41.2 и 52.0 м. д. коррелируют с сигналами протонов при 2.34–2.41, 3.57 и 4.08 м. д. соответственно. Спектр ЯМР 1Н уточнен с использованием метода гомоядерной корреляции COSY. В спектре COSY наблюдаются кросс-пики между протонами Н4/Н5, Н4/Н3(е), Н5/Н6, Н2/Н3, Н3(а)/Н3(е), что указывает на наличие спин-спинового взаимодействия между соответствующими протонами, а также подтверждает структуру полученного соединения 12.
ВЫВОДЫ
Таким образом, разработан метод синтеза фенацилиевых солей пиколиновой кислоты и метилпиколината. Циклизация последних в среде уксусного ангидрида ведет к образованию ранее неописанных 3-арил-1Н-пиридо[2,1-с][1, 4]оксазинийбромидов. Восстановление некоторых фенацилиевых солей боргидридом натрия с последующим кислотным гидролизом приводит к получению алкалоида байкиаина.
ЭКСПЕРИМЕНТАЛЬНАЯ ЧАСТЬ
Спектры ЯМР 1Н и 13С записаны на приборе Bruker AvanceII (400 и 100 МГц соответственно) в ДМСО-d6, внутренний стандарт – ТМС. Содержание углерода и водорода определено весовым методом Прегля, азота – газометрическим микрометодом Дюма. Температуры плавления синтезированных соединений определены на нагревательном приборе типа Boetius без коррекции.
Общая методика получения четвертичных солей 6а–е и 7б–е. Смесь 10 ммоль метилового эфира пиколиновой кислоты 4 и 10 ммоль соответствующего фенацилбромида 5а–е сплавляли при температуре 60–70°С до полного затвердевания (5–10 ч). Плав измельчали и перекристаллизовывали из изопропанола, выпавшие в осадок соединения 6а–е отфильтровывали и промывали ацетоном. Спиртовой раствор упаривали досуха, остаток, представляющий собой соли 7б–е, перекристаллизовывали из воды.
2-(Метоксикарбонил)-1-(2-оксо-2-фенилэтил)пиридинийбромид (6а). Выход 24%, т. пл. 157–159°С. Спектр ЯМР 1Н (ДМСО-d6), δ, м. д.: 3.89 с (3Н, СООСН3), 6.69 с (2Н, СН2), 7.66 т (2Н, Ph, 3JНН 14.8 Гц), 7.80 т (1Н, Ph, 3JНН 14.4 Гц), 8.05 д (2Н, Ph, 3JНН 7.2 Гц), 8.51 т (1Н, Н5, 3JНН 12.8 Гц), 8.70 д (1Н, Н3, 3JНН 7.6 Гц), 8.93 т (1Н, Н4, 3JНН 15.2 Гц), 9.23 д (1Н, Н6, 3JНН 5.6 Гц). Спектр ЯМР 13С (ДМСО-d6), δС, м. д.: 55.0 (СООСН3), 66.5 (СН2), 128.7, 129.8, 130.8, 131.3, 133.7, 135.3, 142.1, 148.7, 150.6, 160.2 (СООСН3), 190.9 (СН2СО). Найдено, %: С 53.38; Н 4.26; N 4.11. C15H14BrNO3. Вычислено, %: С 53.59; Н 4.20; N 4.17.
2-(Метоксикарбонил)-1-[2-(4-метилфенил)-2-оксоэтил]пиридинийбромид (6б). Выход 44%, т. пл. 155–156°С. Спектр ЯМР 1Н (ДМСО-d6), δ, м. д.: 2.43 с (3Н, СН3), 3.88 с (3Н, СООСН3), 6.66 с (2Н, СН2), 7,46 д (2Н, Н3′, Н5′, 4JНН 8.0 Гц), 7.95 д (2Н, Н2′, Н6′, 4JНН 7.6 Гц), 8.51 т (1Н, Н5, 3JНН 13.2 Гц), 8.69 д (1Н, Н3, 3JНН 7.6 Гц), 8.92 т (1Н, Н4, 3JНН 15.6 Гц), 9.24 д (1Н, Н6, 3JНН 5.6 Гц). Спектр ЯМР 13С (ДМСО-d6), δС, м. д.: 21.8 (СН3), 55.0 (СООСН3), 66.4 (СН2), 128.8, 130.3, 130.7, 131.2, 131.3, 142.2, 146.1, 148.6, 150.6, 160.1 (СООСН3), 190.3 (СН2СО). Найдено, %: С 54.71; Н 4.63; N 4.07. C16H16BrNO3. Вычислено, %: С 54.87; Н 4.61; N 4.00.
1-[2-(4-Хлорфенил)-2-оксоэтил]-2-(метоксикарбонил)пиридинийбромид (6в). Выход 30%, т. пл. 140–142°С. Спектр ЯМР 1Н (ДМСО-d6), δ, м. д.: 3.91 с (3Н, СООСН3), 6.70 с (2Н, СН2), 7.77 д (2Н, Н3′, Н5′, 4JНН 8.4 Гц), 8.09 д (2Н, Н2′, Н6′, 4JНН 8.4 Гц), 8.54 т (1Н, Н5, 3JНН 13.2 Гц), 8.71 д (1Н, Н3, 3JНН 7.6 Гц), 8.96 т (1Н, Н4, 3JНН 15.6 Гц), 9.24 д (1Н, Н6, 3JНН 5.6 Гц). Спектр ЯМР 13С (ДМСО-d6), δС, м. д.: 55.1 (СООСН3), 66.4 (СН2), 129.9, 130.6, 130.8, 131.3, 132.4, 140.2, 142.1, 148.8, 150.6, 160.1 (СООСН3), 190.1 (СН2СО). Найдено, %: С 48.49; Н 3.59; N 3.81. C15H13BrClNO3. Вычислено, %: С 48.61; Н 3.54; N 3.78.
1-[2-(4-Бромфенил)-2-оксоэтил]-2-(метоксикарбонил)пиридинийбромид (6г). Выход 34%, т. пл. 145–147°С. Спектр ЯМР 1Н (ДМСО-d6), δ, м. д.: 3.89 с (3Н, СООСН3), 6.65 с (2Н, СН2), 7.90 д (2Н, Н3′, Н5′, 4JНН 8.0 Гц), 7.99 д (2Н, Н2′, Н6′, 4JНН 8.4 Гц), 8.51 т (1Н, Н5, 3JНН 13.6 Гц), 8.70 д (1Н, Н3, 3JНН 7.6 Гц), 8.93 т (1Н, Н4, 3JНН 15.6 Гц), 9.21 д (1Н, Н6, 3JНН 6.0 Гц). Спектр ЯМР 13С (ДМСО-d6), δС, м. д.: 56.6 (СООСН3), 67.8 (СН2), 131.1, 132.2, 132.4, 132.8, 134.2, 134.4, 143.6, 150.3, 152.2, 161.7 (СООСН3), 191.8 (СН2СО). Найдено, %: С 43.18; Н 3.22; N 3.35. C15H13Br2NO3. Вычислено, %: С 43.40; Н 3.16; N 3.37.
2-(Метоксикарбонил)-1-[2-(4-метоксифенил)-2-оксоэтил]пиридинийбромид (6д). Выход 16%, т. пл. 155–157°С. Спектр ЯМР 1Н (ДМСО-d6), δ, м. д.: 3.89 с (3Н, СООСН3), 3.90 с (3Н, ОСН3), 6.68 с (2Н, СН2), 7.18 д (2Н, Н3′, Н5′, 4JНН 8.4 Гц), 8.04 д (2Н, Н2′, Н6′, 4JНН 8.4 Гц), 8.52 т (1Н, Н5, 3JНН 12.0 Гц), 8.69 д (1Н, Н3, 3JНН 7.6 Гц), 8.94 т (1Н, Н4, 3JНН 15.2 Гц), 9.29 д (1Н, Н6, 3JНН 5.2 Гц). Спектр ЯМР 13С (ДМСО-d6), δС, м. д.: 54.5 (ОСН3), 55.8 (СООСН3), 65.7 СН2, 114.5, 126.0, 130.2, 130.8, 141.3, 141.8, 148.1, 150.1, 159.7, 164.4 (СООСН3), 188.6 (СН2СО). Найдено, %: С 52.21; Н 4.45; N 3.80. C16H16BrNO4. Вычислено, %: С 52.48; Н 4.40; N 3.82.
1-[2-(3-Бром-4-метоксифенил)-2-оксоэтил]-2-(метоксикарбонил)пиридинийбромид (6е). Выход 19%, т. пл. 155–157°С. Спектр ЯМР 1Н (ДМСО-d6), δ, м. д.: 3.89 с (3Н, СООСН3), 4.00 с (3Н, ОСН3), 6.68 с (2Н, СН2), 7.37 д (1Н, Н5′, 3JНН 8,4 Гц), 8.09 д (1Н, Н6′, 3JНН 8.4 Гц), 8.25 с (1Н, Н2′), 8.52 т (1Н, Н5, 3JНН 12.8 Гц), 8.68 д (1Н, Н3, 3JНН 7.6 Гц), 8.92 т (1Н, Н4, 3JНН 15.2 Гц), 9.23 д (1Н, Н6, 3JНН 5.2 Гц). Спектр ЯМР 13С (ДМСО-d6), δС, м. д.: 47.7 (ОСН3), 57.5 (СООСН3), 65.3 (СН2), 111.6, 113.2, 128.1, 128.3, 129.2, 130.5, 133.4, 146.4, 147.5, 149.9, 160.8, 161.8 (СООСН3), 188.8 (СН2СО). Найдено, %: С 43.07; Н 3.43; N 3.22. C16H15Br2NO4. Вычислено, %: С 43.17; Н 3.40; N 3.15.
2-Карбокси-1-[2-(4-метилфенил)-2-оксоэтил]пиридинийбромид (7б). Выход 52%, т. пл. 130–132°С (разл.). Спектр ЯМР 1Н (ДМСО-d6), δ, м. д.: 2.41 с (3Н, СН3), 6.54 с (2Н, СН2), 7.41 д (2Н, Н3′, Н5′, 4JНН 8.0 Гц), 7.92 д (2Н, Н2′, Н6′, 4JНН 8.0 Гц), 8.03 т (1Н, Н5, 3JНН 13.6 Гц), 8.25 д (1Н, Н3, 3JНН 8.0 Гц), 8.57 т (1Н, Н4, 3JНН 15.6 Гц), 8.74 д (1Н, Н6, 3JНН 6.0 Гц). Спектр ЯМР 13С (ДМСО-d6), δС, м. д.: 21.8 (СН3), 64.9 (СН2), 126.8, 128.4, 128.8, 130.0, 131.8, 145.5, 146.8, 146.9, 153.5, 160.5 (СООН), 190.6 (СН2СО). Найдено, %: С 53.39; Н 4.26; N 4.27. C15H14BrNO3. Вычислено, %: С 53.59; Н 4.20; N 4.17.
2-Карбокси-1-[2-(4-хлорфенил)-2-оксоэтил]пиридинийбромид (7в). Выход 23%, т. пл. 151–153°С (разл.). Спектр ЯМР 1Н (ДМСО-d6), δ, м. д.: 6.54 с (2Н, СН2), 7.68 д (2Н, Н3′, Н5′, 4JНН 8.0 Гц), 8.06 м (3Н, Н2′, Н6′, Н5), 8.30 д (1Н, Н3, 3JНН 7.6 Гц), 8.61 т (1Н, Н4, 3JНН 15.2 Гц), 8.77 д (1Н, Н6, 3JНН 5.6 Гц). Спектр ЯМР 13С (ДМСО-d6), δС, м. д.: 66.5 (СН2), 128.3, 130.1, 131.2, 132.1, 134.6, 141.1, 148.2, 148.4, 155.2, 161.9 (СООН), 191.9 (СН2СО). Найдено, %: С 46.99; Н 3.18; N 3.87. C14H11BrClNO3. Вычислено, %: С 47.15; Н 3.11; N 3.93.
1-[2-(4-Бромфенил)-2-оксоэтил]-2-карбоксипиридинийбромид (7г). Выход 42%, т. пл. 163–165°С (разл.). Спектр ЯМР 1Н (ДМСО-d6), δ, м. д.: 6.53 с (2Н, СН2), 7.84 д (2Н, Н3′, Н5′, 4JНН 8.4 Гц), 7.97 д (2Н, Н2′, Н6′, 4JНН 8.4 Гц), 8.10 т (1Н, Н5, 3JНН 13.6 Гц), 8.31 д (1Н, Н3, 3JНН 8.0 Гц), 8.62 т (1Н, Н4, 3JНН 15.6 Гц), 8.78 д (1Н, Н6, 3JНН 6.0 Гц). Спектр ЯМР 13С (ДМСО-d6), δС, м. д.: 65.7 СН2, 128.8, 129.2, 129.6, 130.7, 132.8, 133.2, 147.8, 148.5, 149.0, 161.0 (СООН), 190.5 (СН2СО). Найдено, %: С 41.68; Н 2.82; N 3.56. C14H11Br2NO3. Вычислено, %: С 41.93; Н 2.76; N 3.49.
2-Карбокси-1-[2-(4-метоксифенил)-2-оксоэтил]пиридинийбромид (7д). Выход 56%, т. пл. 164–166°С (разл.). Спектр ЯМР 1Н (ДМСО-d6), δ, м. д.: 3.88 с (3Н, ОСН3), 6.62 с (2Н, СН2), 7.14 д (2Н, Н3′, Н5′, 4JНН 8.8 Гц), 8.02 д (2Н, Н2′, Н6′, 4JНН 8.4 Гц), 8.23 т (1Н, Н5, 3JНН 13.2 Гц), 8.45 д (1Н, Н3, 3JНН 7.6 Гц), 8.72 т (1Н, Н4, 3JНН 15.6 Гц), 8.98 д (1Н, Н6, 3JНН 6.0 Гц). Спектр ЯМР 13С (ДМСО-d6), δ, м. д.: 56.2 (ОСН3), 65.7 (СН2), 114.8, 126.9, 128.4, 129.3, 131.1, 147.8, 148.2, 149.4, 161.0, 164.6 (СООН), 189.3 (СН2СО). Найдено, %: С 50.83; Н 4.07; N 3.82. C15H14BrNO4. Вычислено, %: С 51.16; Н 4.01; N 3.98.
1-[2-(3-Бром-4-метоксифенил)-2-оксоэтил]-2-карбоксипиридинийбромид (7е). Выход 20%, т. пл. 152–155°С (разл.). Спектр ЯМР 1Н (ДМСО-d6), δ, м. д.: 3.98 с (3Н, ОСН3), 6.57 с (2Н, СН2), 7.33 д (1Н, Н5′, 3JНН 8.8 Гц), 8.07 д (1Н, Н6′, 3JНН 8.4 Гц), 8.24 уш. с (2Н, Н2′, Н5), 8.44 д (1Н, Н3, 3JНН 8.0 Гц), 8.71 т (1Н, Н4, 3JНН 15.2 Гц), 8.91 д (1Н, Н6, 3JНН 5.6 Гц). Спектр ЯМР 13С (ДМСО-d6), δС, м. д.: 59.0 (ОСН3), 66.9 (СН2), 113.2, 114.7, 129.5, 130.0, 130.9, 132.1, 135.0, 149.1, 149.7, 151.1, 162.1, 162.4 (СООН), 190.3 (СН2СО). Найдено, %: С 41.61; Н 3.08; N 3.21. C15H13Br2NO4. Вычислено, %: С 41.79; Н 3.04; N 3.25.
Общая методика получения фенацилиевых солей пиридиния 8а, б, г, д. К раствору 1 ммоль метилового эфира пиколиновой кислоты 4 в 1 мл ацетонитрила прибавляли 1 ммоль соответствующего фенацилбромида 5а, б, г, д, растворенного в 1 мл ацетонитрила. Смесь нагревали в течение 15 ч. Ацетонитрил отгоняли досуха, остаток перекристаллизовывали из этанола.
1-(2-Оксо-2-фенил)пиридинийбромид (8а). Выход 72%, т. пл. 200–202°С. Спектр ЯМР 1Н (ДМСО-d6), δ, м. д.: 6.59 с (2Н, СН2), 7.65 т (2Н, Ph, 3JНН 14.8 Гц), 7.78 т (1Н, Ph, 3JНН 14.0 Гц), 8.06 д (2Н, Ph, 3JНН 7.2 Гц), 8.27 т (2Н, Н3, Н5, 3JНН 12.8 Гц), 8.74 т (1Н, Н4, 3JНН 15.2 Гц), 9.06 д (2Н, Н2, Н6, 3JНН 5.2 Гц). Спектр ЯМР 13С (ДМСО-d6), δС, м. д.: 66.8 (СН2), 128.4, 128.8, 129.7, 134.0, 135.3, 146.8, 146.9, 191.3 (СН2СО). Найдено, %: С 56.03; Н 4.37; N 5.01. C13H12BrNO. Вычислено, %: С 56.14; Н 4.35; N 5.04.
1-[2-(4-Метилфенил)-2-оксоэтил]пиридинийбромид (8б). Выход 60%, т. пл. 197–200°С. Спектр ЯМР 1Н (ДМСО-d6), δ, м. д.: 2.43 с (3Н, СН3), 6.49 с (2Н, СН2), 7.46 д (2Н, Н3’, Н5’, 4JНН 7.6 Гц), 7.95 д (2Н, Н2’, Н6’, 4JНН 7.6 Гц), 8.25 т (2Н, Н3, Н5, 3JНН 13.6 Гц), 8.72 т (1Н, Н4, 3JНН 15.6 Гц), 9.01 д (2Н, Н2, Н6, 3JНН 5.2 Гц). Спектр ЯМР 13С (ДМСО-d6), δС, м. д.: 21.9 (СН3), 66.7 (СН2), 128.3, 128.9, 130.2, 131.5, 146.0, 146.8, 146.9, 191.3 (СН2СО). Найдено, %: С 57.39; Н 4.86; N 4.83. C14H14BrNO. Вычислено, %: С 57.55; Н 4.83; N 4.79.
1-[2-(4-Бромфенил)-2-оксоэтил]пиридинийбромид (8г). Выход 81%, т. пл. 228–230°С. Спектр ЯМР 1Н (ДМСО-d6), δ, м. д.: 6.51 с (2Н, СН2), 7.88 д (2Н, Н3’, Н5’, 4JНН 8.4 Гц), 7.99 д (2Н, Н2’, Н6’, 4JНН 8.4 Гц), 8.26 т (2Н, Н3, Н5, 3JНН 13.6 Гц), 8.73 т (1Н, Н4, 3JНН 15.6 Гц), 9.01 д (2Н, Н2, Н6, 3JНН 6.0 Гц). Спектр ЯМР 13С (ДМСО-d6), δС, м. д.: 66.7 СН2, 128.4, 129.4, 130.7, 132.8, 133.1, 146.8, 147.0, 190.6 (СН2СО). Найдено, %: С 43.58; Н 3.17; N 3.77. C13H11Br2NO. Вычислено, %: С 43.73; Н 3.11; N 3.92.
1-[2-(4-Метоксифенил)-2-оксоэтил]пиридинийбромид (8д). Выход 73%, т. пл. 203–206°С. Спектр ЯМР 1Н (ДМСО-d6), δ, м. д.: 3.89 с (3Н, ОСН3), 6.47 с (2Н, СН2), 7.17 д (2Н, Н3’, Н5’, 4JНН 8.8 Гц), 8.04 д (2Н, Н2’, Н6’, 4JНН 8.4 Гц), 8.26 т (2Н, Н3, Н5, 3JНН 13.6 Гц), 8.72 т (1Н, Н4, 3JНН 15.2 Гц), 9.01 д (2Н, Н2, Н6, 3JНН 5.6 Гц). Спектр ЯМР 13С (ДМСО-d6), δС, м. д.: 57.8 (ОСН3), 67.9 (СН2), 116.4, 128.3, 129.8, 132.7, 148.3, 148.5, 166.2, 190.9 (СН2СО). Найдено, %: С 54.50; Н 4.66; N 4.45. C14H14BrNO2. Вычислено, %: С 54.56; Н 4.58; N 4.54.
Общая методика получения 3-арил-1Н-пиридо[2,1-с][1, 4]оксазинийбромидов 10а–г. Смесь 0.6 ммоль соединений 6а–г и 3 мл уксусного ангидрида нагревали 2–2.5 ч при 140–145°С. Избыток уксусного ангидрида отгоняли досуха в вакууме, остаток обрабатывали бензолом и отфильтровывали. Продукты реакции перекристаллизовывали из диметилформамида и промывали ацетоном.
1-Оксо-3-фенил-1Н-пиридо[2,1-с][1, 4]оксазинийбромид (10а). Выход 73%, т. пл. >300°С. Спектр ЯМР 1Н (ДМСО-d6), δ, м. д.: 7.64–7.69 м (3Н, Ph), 7.95–7.98 м (2Н, Ph), 8.57 т (1Н, Н6, 3JНН 15.2 Гц), 8.80 т (1Н, Н7, 3JНН 15.6 Гц), 8.87 д (1Н, Н8, 3JНН 8.0 Гц), 9.18 с (1Н, Н4), 9.36 д (1Н, Н5, 3JНН 6.0 Гц). Спектр ЯМР 13С (ДМСО-d6), δС, м. д.: 109.4 (С4), 125.9, 128.2, 128.3, 130.1, 132.2, 132.8, 134.3, 140.2, 146.2, 148.8, 154.4 (СОО). Найдено, %: С 55.07; Н 3.40; N 4.55. C14H10BrNO2. Вычислено, %: С 55.29; Н 3.31; N 4.61.
3-(4-Метилфенил)-1-оксо-1Н-пиридо[2,1-с]- [1, 4]оксазинийбромид (10б). Выход 80%, т. пл. >300°С. Спектр ЯМР 1Н (ДМСО-d6), δ, м. д.: 2.42 с (3Н, СН3), 7.47 д (2Н, Н3′, Н5′, 4JНН 7.2 Гц), 7.85 д (2Н, Н2′, Н6′, 4JНН 7.6 Гц), 8.55 т (1Н, Н6, 3JНН 15.0 Гц), 8.77 т (1Н, Н7, 3JНН 15.2 Гц), 8.85 д (1Н, Н8, 3JНН 7.6 Гц), 9.10 с (1Н, Н4), 9.30 д (1Н, Н5, 3JНН 4.4 Гц). Спектр ЯМР 13С (ДМСО-d6), δС, м. д.: 108.9 (С4), 125.6, 128.3, 129.8, 130.2, 132.2, 140.1, 143.3, 145.9, 147.9, 149.1, 154.5 (СОО). Найдено, %: С 56.49; Н 3.84; N 4.46. C15H12BrNO2. Вычислено, %: С 56.62; Н 3.80; N 4.40.
3-(4-Хлорфенил)-1-оксо-1Н-пиридо[2,1-с]- [1, 4]оксазинийбромид (10в). Выход 70%, т. пл. >300°С. Спектр ЯМР 1Н (ДМСО-d6), δ, м. д.: 7.74 д (2Н, Н3′, Н5′, 4JНН 8.4 Гц), 7.95 д (2Н, Н2′, Н6′, 4JНН 8.0 Гц), 8.54 т (1Н, Н6, 3JНН 12.8 Гц), 8.80 т (1Н, Н7, 3JНН 15.6 Гц), 8.87 д (1Н, Н8, 3JНН 8.0 Гц), 9.05 с (1Н, Н4), 9.24 д (1Н, Н5, 3JНН 5.6 Гц). Спектр ЯМР 13С (ДМСО-d6), δС, м. д.: 109.9 (С4), 125.9, 127.3, 128.2, 128.5, 129.8, 130.6, 132.3, 137.5, 140.5, 146.5, 154.2 (СОО). Найдено, %: С 49.53; Н 2.74; N 4.18. C14H9BrClNO2. Вычислено, %: С 49.66; Н 2.68; N 4.14.
3-(4-Бромфенил)-1-оксо-1Н-пиридо[2,1-с]- [1, 4]оксазинийбромид (10г). Выход 82%, т. пл. 292–294°С. Спектр ЯМР 1Н (ДМСО-d6), δ, м. д.: 7.89 уш. с (4Н, Н2′, Н3′, Н5′, Н6′), 8.56 т (1Н, Н6, 3JНН 14.0 Гц), 8.81 т (1Н, Н7, 3JНН 15.2 Гц), 8.84 д (1Н, Н8, 3JНН 8.0 Гц), 9.19 с (1Н, Н4), 9.32 д (1Н, Н5, 3JНН 6.0 Гц). Спектр ЯМР 13С (ДМСО-d6), δС, м. д.: 109.4 (С4), 123.9, 129.3, 129.9, 130.1, 130.6, 132.7, 132.9, 145.8, 148.3, 149.4, 155.4 СОО. Найдено, %: С 43.82; Н 2.43; N 3.61. C14H9Br2NO2. Вычислено, %: С 43.90; Н 2.37; N 3.66.
Байкиаина гидрохлорид (12). К раствору 1 ммоль соединения 6д, е в смеси 2 мл воды и 5 мл метанола при перемешивании прибавляли порциями в течение 30 мин 2.5 ммоль боргидрида натрия. Реакционную смесь кипятили в течение 2 ч и упаривали досуха. Продукт восстановления извлекали хлороформом, сушили Na2SO4 и отгоняли досуха. Остаток растворяли в смеси 5 мл этанола и 1 мл конц. соляной кислоты и кипятили 5 ч. Растворители отгоняли досуха. Продукт реакции промывали ацетоном и перекристаллизовывали из этанола. Выход 50–68%, т. пл. 262–264°С (т. пл. 264°С [1]). Спектр ЯМР 1Н (ДМСО-d6), δ, м. д.: 2.34–2.41 м (2Н, 3-СН2), 3.57 уш. с (2Н, 6-СН2), 4.08 к (1Н, 2-СН, J 7.2 Гц), 5.70 д (1Н, Н4, 3JНН 9.6 Гц), 5.86 д (1Н, Н5, 3JНН 9.6 Гц), 9.79 уш. с (2Н, NH2+). Спектр ЯМР 13С (ДМСО-d6), δС, м. д.: 24.7 (3-СН2), 41.2 (6-СН2), 51.9 (2-СН), 120.9 (С5Н), 124.1 (С4Н), 169.9 (СООН). Найдено, %: С 43.96; Н 6.21; N 8.52. C6H10ClNO2. Вычислено, %: С 44.05; Н 6.16; N 8.56.
ФИНАНСОВАЯ ПОДДЕРЖКА
Работа выполнена при поддержке Министерства науки и высшего образования Российской Федерации (тема «Разработка новых методов синтеза конденсированных азациклов с фрагментами пиррола, имидазола и пиридина, обладающих широким спектром биологической активности», FRES-2023-0004).
КОНФЛИКТ ИНТЕРЕСОВ
Авторы заявляют об отсутствии конфликта интересов.
About the authors
D. A. Lomov
L. M. Litvinenko Institute of Physical Organic and Coal Chemistry
Author for correspondence.
Email: lomov_dmitrii@mail.ru
Russian Federation, Donetsk
M. G. Abramyants
L. M. Litvinenko Institute of Physical Organic and Coal Chemistry
Email: lomov_dmitrii@mail.ru
Russian Federation, Donetsk
O. O. Zaporozhets
L. M. Litvinenko Institute of Physical Organic and Coal Chemistry
Email: lomov_dmitrii@mail.ru
Russian Federation, Donetsk
T. M. Pekhtereva
L. M. Litvinenko Institute of Physical Organic and Coal Chemistry
Email: lomov_dmitrii@mail.ru
Russian Federation, Donetsk
References
- King F.E., King T.J., Warwick A.J. // J. Chem. Soc. 1950. P. 3590. doi: 10.1039/JR9500003590
- Kornprobst J.-M. Encyclopedia of Marine Natural Products. New Jersey: Wiley-VCH Verlag GmbH & Co., 2014. Vol. 1. P. 328.
- Pelletier S.W. In: Alkaloids: Chemical and Biological Perspectives. New York: Springer-Verlag, 1992. Vol. 8. P. 154. doi: 10.1007/978-1-4612-2908-7_2
- Davis J.L., Gerbrandt L.K., Cherkin A. // Physiol. Behav. 1978. Vol. 21. P. 653. doi: 10.1016/0031-9384(78)90144-0
- Alegret C., Riera A. // J. Org. Chem. 2008. Vol. 73. P. 8661. doi: 10.1021/jo801645p
- Leete E., Mueller M.E. // J. Am. Chem. Soc. 1982. Vol. 104. P. 6440. doi: 10.1021/ja00387a048
- Verma M., Beaulieu-Abdelahad D., Ait-Ghezala G., Li, R., Crawford F., Mullan M., Paris D. // PLoS One. 2015. Vol. 10. N 5. P. e0128224. doi: 10.1371/journal.pone.012822
- Schmeltz L.R., Blevins T.C., Aronoff S.L., Ozer K., Leffert J.D., Goldberg M.A., Horowitz B.S., Bertenshaw R.H., Troya P., Cohen A.E., Lanier R.K., Wright IV C. // J. Clin. Endocrinol. Metab. 2014. Vol. 99. N 1. P. e137. doi: 10.1210/jc.2013-2951
- Laniera R.K., Cohena A.E., Weinkle S.H. // Case Rep. Dermatol. 2013. Vol. 5. P. 347. doi: 10.1159/000357019
- Lanier R.K., Gibson K.D., Cohen A.E., Varga M. // Clin. Med. Insights: Arthritis and Musculoskeletal Disorders. 2013. Vol. 6. P. 73. doi: 10.4137/CMAMD.S13001
- Dobson N.A., Raphael R.A. // J. Chem. Soc. 1958. P. 3642. doi: 10.1039/JR9580003642
- Burgstahler A.W., Aiman C.E. // J. Org. Chem. 1960. Vol. 25. P. 489. doi: 10.1021/jo01074a001
- Herdeis C., Engel W. // Arch. Pharm. 1993. Vol. 326. P. 297. doi: 10.1002/ardp.19933260509
- Ginesta X., Pericas M.A., Riera A. // Tetrahedron Lett. 2002. Vol. 43. P. 779. doi: 10.1016/S0040-4039(01)02271-7
- Kim C.M.F. Tjen, Kinderman S.S., Schoemaker H.E., Hiemstra H., Floris P.J.T. Rutjes // Chem. Comm. 2000. P. 699. doi: 10.1039/b001253j
- Floris P.J.T. Rutjes, Schoemaker H.E. // Tetrahedron Lett. 1997. Vol. 38. N 4. P. 677. doi: 10.1016/S0040-4039(96)02390-8
- Chang M.-Y., Kung Y.-H., Wu T.-C. // Heterocycles. 2006. Vol. 68. N 11. P. 2365. doi: 10.3987/COM-06-10874
- Mazon A., Najera C. // Tetrahedron Asym. 1997. Vol. 8. N 11. P. 1855. doi: 10.1016/S0957-4166(97)00180-8
- Servatius P., Kazmaier U. // Synlett. 2015 Vol. 26. N 14. P. 2001. doi: 10.1055/s-0034-1378720
- Ломов Д.А., Абрамянц М.Г., Запорожец О.О., Пехтерева Т.М. // ЖОрХ. 2022. Т. 58. Вып. 6. С. 632; Lomov D.A., Abramyants M.G., Zaporozhets O.O., Pekhtereva T.M. // Russ. J. Org. Chem. Vol. 58. N 4. P. 791. doi: 10.1134/S1070428022060057
- Абрамянц М.Г., Ломов Д.А., Лящук С.Н., Запорожец О.О. // ЖОрХ. 2018. Т. 54. Вып. 4. С. 591; Abramyants M.G., Lomov D.A., Lyashchuk S.N., Zaporozhets O.O. // Russ. J. Org. Chem. Vol. 54. N 4. P. 593. doi: 10.1134/S1070428018040139
Supplementary files






