On local species saturation of synanthropic plant communities in the Western Caucasus and the role of alien species in its achievement
- Authors: Akatov V.V.1,2, Akatova T.V.2, Eskina T.G.2, Sazonets N.M.1, Chefranov S.G.1
-
Affiliations:
- Maykop State Technological University
- Caucasus State Nature Biosphere Reserve
- Issue: Vol 86, No 1 (2025)
- Pages: 17-33
- Section: Articles
- URL: https://ogarev-online.ru/0044-4596/article/view/287430
- DOI: https://doi.org/10.31857/S0044459625010026
- EDN: https://elibrary.ru/sotgmj
- ID: 287430
Cite item
Full Text
Abstract
Destruction of natural landscapes in combination with their subsequent urbanization is considered as one of the main reasons for the extinction of species. This process is accompanied by the penetration of alien plants into disturbed habitats. If at the local level the disappearance of native species is fully compensated by the appearance of alien ones, then synanthropic communities should be characterized by no less saturation than natural or semi-natural communities of the same area. We considered this issue using the example of plant communities of the city of Maykop, its environs and adjacent territories (Western Caucasus, 180– 700 m above sea level). For this purpose, we compared the species richness of communities with different levels of synanthropization, but similar production. Additionally, for each range of the production gradient, we considered the ratio between the number of alien species, native species and the total number of species in communities with a high level of synanthropization. For the analysis, we used 1256 samples of dry aboveground biomass. The results showed that biomass samples collected in synanthropic communities, as expected, are characterized by a significantly higher proportion of alien plant species, their proportion among synanthropic species, and the frequency of their dominance compared to samples collected in natural and semi-natural communities. At the same time, the level of their saturation is not the same in different parts of the production gradient. The lowest saturation level is found in communities (biomass samples) with a high level of synanthropization (81–100%) and average production (50–150 g per 0.25 m2). Their species richness is 15–25% lower than in natural (semi-natural) communities and 20–40% lower than in slightly disturbed communities (with a synanthropization level from 1 to 20%). Synanthropic, natural (semi-natural) and slightly disturbed communities of highly productive habitats (more than 200 g per 0.25 m2) differ insignificantly in this regard. The highest level of saturation is characteristic of synanthropic communities of low-productivity habitats (less than 50 g per 0.25 m2). Moreover, it can be assumed that in areas of 0.25 m2 their species richness is close to the upper limit.
Full Text
Рост численности и потребностей населения требует постоянного увеличения количества используемых ресурсов и площади освоенной территории (для расширения сельскохозяйственных угодий, роста числа и площади городов, сети дорог и т. д.). В результате к началу XX в. естественные ландшафты суши были разрушены примерно на 20%, к началу XXI в. – более чем на 60%, к настоящему времени – более чем на 70% (Лосев, 2006; Сергеев, Кулеш, 2017). Хотя некоторые антропогенные нарушения во многом имитируют естественные (например, вызванные локальными изменениями климата или уровня грунтовых вод, заготовкой древесины, выпасом домашних животных или традиционным земледелием), другие отличаются от них по характеру, частоте или масштабу (регулярная вспашка бывших лугов или степей, использование биоцидов, накопление в атмосфере, воде и почвах загрязняющих веществ, увеличение площади непроницаемых поверхностей и т. д.) (Kowarik, 1990; Marzluff, Ewing, 2001; McKinney, 2002, 2006; Stewart, Oke, 2012; English et al., 2022). При этом в наибольшей степени среда, растительный покров и биота в целом изменены в пределах промышленных зон и городов (Kowarik, 1990; Ruas et al., 2022), где трансформация среды нередко имеет необратимый характер (Marzluff, Ewing, 2001; McKinney, 2002, 2006) и заканчивается формированием местообитаний, которые можно рассматривать уже не столько как нарушенные, а как новые – произведенные человеком (McKinney, 2006; Карманова и др., 2021). В настоящее время города занимают относительно небольшой процент площади суши, однако он стремительно растет (McKinney, 2002, 2006; Antrop, 2004; Wania et al., 2006; Сергеев, Кулеш, 2017; Карманова и др., 2021). Поэтому разрушение природных ландшафтов в сочетании с их дальнейшей урбанизацией рассматривается в качестве одной из основных причин исчезновения местных видов (Czech et al., 2000; McKinney, 2002, 2006). Те из них, которые оказались способными адаптироваться к новым условиям и произрастать на антропогенных местообитаниях, получили название “апофиты” (Горчаковский, 1984; Kowarik, 1990).
По мнению палеонтологов, состояние природных комплексов во многом определяет характер эволюционных процессов (Красилов, 1969, 1973; Жерихин, 1979). В сбалансированных экосистемах с высоким видовым богатством и разнообразными механизмами биотической регуляции численности популяций происходит когерентная эволюция – плавная, относительно медленная, осуществляемая путем конкурентного замещения видов в рамках прежней экологической структуры и прогрессирующего сужения экологических ниш. Она направлена преимущественно в сторону усиления взаимодействия между компонентами сообществ и способствует росту их устойчивости. Но такое состояние может быть нарушено из-за биоценотических кризисов или крупномасштабных изменений среды (Красилов, 1973; Жерихин, 1979; Ricklefs, 1987). В этом случае в противовес лавинообразному исчезновению ранее существовавших видов начинается процесс интенсивного видообразования, приобретающий также взрывной характер (некогерентная эволюция). По мнению В. В. Жерихина (1979), характерной чертой такой эволюции, направленной на освоение новой адаптивной зоны, является невозможность ее прогноза (в том числе из-за высокой вероятности появления видов с существенно новыми свойствами) и остановки внешним воздействием. Он предположил, что масштаб изменений среды и вымирания видов, наблюдаемых в последние десятилетия, может вскоре подвести биоту к ее началу.
В экологическом масштабе времени видовое богатство сообществ определяется процессами локального вымирания и колонизации видов (MacArthur, Wilson, 1963; Eriksson, 1993; Tilman, Pacala, 1993; Olivares et al., 2018, и др.). Скорость колонизации пропорциональна числу видов в региональном видовом пуле сообществ минус число видов, уже присутствующих в них (т. е. числу потенциальных колонизаторов, остающихся в видовом пуле – “темное разнообразие”, по: Pärtel et al., 2011, 2013). Скорость вымирания зависит от числа видов на участках сообществ, площади этих участков, абиотических и биотических условий среды. Чем больше размер регионального видового пула, тем большее число видов проникает в сообщества, тем в среднем меньшим числом особей они будут представлены на их участках, тем выше вероятность локального вымирания видов, тем ближе будет их видовое богатство к возможному верхнему пределу, т. е. к ситуации, когда процессы колонизации и исчезновения видов уравновесят друг друга (Terborgh, Faaborg, 1980; Cornell, 1993; Eriksson, 1993; Tilman, Pacala, 1993; Olivares et al., 2018, и др.). Растительные сообщества с видовым богатством ниже этого порога рассматриваются как неполночленные (Ricklefs, 1987; Olivares et al., 2018).
Размер видового пула сообществ определяется преимущественно региональными и историческими факторами: их площадью и степенью изоляции в настоящем и историческом прошлом, эволюционным возрастом, скоростью видообразования, крупномасштабными нарушениями, миграциями и т. д. (Ricklefs, 1987; Cornell, 1993; Pärtel et al., 1996; Cornell, Harrison, 2014; Zobel, 2016, и др.). Несмотря на то, что земледелие и строительство городов практикуются в течение тысячелетий, в масштабе эволюционного времени этот период можно считать относительно коротким. Поэтому флористические комплексы антропогенных местообитаний (видовые пулы синантропных сообществ) было бы логично рассматривать как эволюционно молодые и окончательно не сформированные (Жерихин, 2003). Однако, как показала инвентаризация флор ряда городов мира (т. е. наиболее нарушенных человеком территорий), проведенная в разные годы (McKinney, 2002, 2006, 2008; Kühn et al., 2004; Hou et al., 2023), во многих из них произрастает даже большее число спонтанных (некультивируемых) видов растений, чем в их окрестностях, сельских районах или в более или менее нетронутых ландшафтах того же размера. Это может быть связано как с неоднородностью городской среды (Kühn et al., 2004; Wania et al., 2006; McKinney, 2008; English et al., 2022) и непрерывным появлением неиспользованных ресурсов (в результате частых нарушений растительного покрова; Davis et al., 2000, 2005), так и с активным проникновением в нарушенные сообщества чужеродных растений (Falinski, 1971; Kowarik, 1990; McKinney, 2002; Hope et al., 2003; Kühn et al., 2004; Wania et al., 2006; Qi et al., 2024). В частности, в некоторых из обследованных городов скорость исчезновения видов оказалась ниже, чем скорость иммиграции, но в других – наоборот (McKinney, 2002, 2006, 2008; Kühn et al., 2004; Hou et al., 2023). Одним из наиболее значимых отрицательных последствий этого процесса можно считать гомогенизацию биоты в крупном пространственном масштабе (Kowarik, 1990; Hope et al., 2003; Kühn et al., 2004; Kühn, Klotz, 2006; McKinney, 2006; Qian, Ricklefs, 2006; Wania et al., 2006; Qi et al., 2024). Но одновременно внутри- и межконтинентальные миграции синантропных растений способствуют локальному насыщению видами нарушенных и антропогенных местообитаний, а поэтому, возможно, снижают риск возникновения взрывного видообразования (некогерентной эволюции), по крайней мере в долгосрочной перспективе. Соответственно, если распространение чужеродных видов растений рассматривать в таком аспекте, то этот процесс нельзя считать однозначно негативным явлением.
В том случае, если исчезновение местных видов в результате разрушения природных ландшафтов полностью компенсируется проникновением в них чужеродных растений, можно ожидать, что растительные сообщества, состоящие преимущественно из таких видов и апофитов (т. е. с высоким уровнем синантропизации; Горчаковский, 1984), должны характеризоваться в локальном масштабе не меньшей полночленностью, чем естественные или полуестественные сообщества того же района. В настоящей статье мы попытались проверить это предположение на примере травяных сообществ Западного Кавказа с разным уровнем синантропизации и адвентивизации.
МАТЕРИАЛ И МЕТОДЫ
Оценка уровня полночленности растительных сообществ
Существует несколько подходов к оценке данного феномена. Считается, что наиболее строгими из них являются экспериментальные или полевые наблюдения за результатами внедрения новых видов в сообщества (Раменский, 1924; Работнов, 1983; Olivares et al., 2018). В частности, с позиции этого подхода тот факт, что большинство вторжений чужеродных видов растений в сообщества регионов-реципиентов не влечет за собой исчезновение местных видов (Stohlgren, 2002; Sax, Gaines, 2003; Sax et al., 2005; Thomas, Palmer, 2015), может свидетельствовать о неполночленности многих растительных сообществ, и в первую очередь синантропных. Однако высказывается мнение, что такие выводы нельзя считать окончательными, поскольку часто необходимы годы и даже столетия после вторжения новых видов, прежде чем сообщества достигнут нового равновесия (Работнов, 1983; Gilbert, Levine, 2013; Olivares et al., 2018). При этом косвенным свидетельством видовой неполночленности может служить положительная корреляция между разнообразием чужеродных и аборигенных видов, разово оцененным в однотипных сообществах (Moore et al., 2001; Shea, Chesson, 2002). В свою очередь, отрицательная связь между этими характеристиками может указывать на наличие прямой конкуренции между видами этих групп (Shea, Chesson, 2002; Celesti-Grapow et al., 2006; Popp, Kalwij, 2021).
Согласно гипотезе видового пула, о неполночленности сообществ свидетельствует прямо пропорциональная связь между локальным видовым богатством сообществ и размером их видового пула (региональным богатством). Отклонения от нее (полиномиальная регрессия) могут быть индикатором их видовой полночленности (Ricklefs, 1987; Cornell, Lawton, 1992; Cornell, 1993; Pärtel, Zobel, 1999). Большинство исследований с использованием данного подхода показало, что неполночленные биологические сообщества встречаются гораздо чаще, чем полночленные (Pärtel et al., 1996; Lawton, 1999; Cornell, Harrison, 2014). Однако этот способ оценки рассматриваемого феномена критикуется по нескольким причинам, включая эффекты автокорреляции, проблемы с определением регионального видового пула и размера проб для оценки локального видового богатства, а также с интерпретацией линейной зависимости между значениями этих параметров (Keddy, Fraser, 1999; Srivastava, 1999; Herben, 2000; Loreau, 2000; Shurin et al., 2000; Hillebrand, Blenckner, 2002; Cornwell, Grubb, 2003; Akatov et al., 2005; Fox, Srivastava, 2006; Szava-Kovats et al., 2012; Cornell, Harrison, 2014; Michalet et al., 2015; Zobel, 2016; Olivares et al., 2018).
В соответствии с энергетической (species-energy) гипотезой (Wright, 1983) и объясняющей ее гипотезой “большего числа индивидуумов” (larger number of individuals; Srivastava, Lawton, 1998), количество доступной энергии (продуктивность среды обитания) может ограничивать число сосуществующих видов за счет ограничения плотности их особей (Wright, 1983; Currie, Paquin, 1987; Currie, 1991; Latham, Ricklefs, 1993; Hurlbert, Stegen, 2014). Это означает, что в полночленных сообществах с одинаковой продукцией (плотностью особей) видовое богатство должно быть сходным (Currie, Paquin, 1987; Francis, Currie, 1998; Cornell, Harrison, 2012; Ricklefs, He, 2016). Напротив, если сообщества со сходной продукцией или плотностью особей, но расположенные в разных местообитаниях, регионах или континентах, характеризуются разным видовым богатством, это может быть обусловлено в том числе разным уровнем их неполночленности (Garsia et al., 1993; Latham, Ricklefs, 1993; Kaspari et al., 2004; Longino, Colwell, 2011; Ricklefs, He, 2016; Akatov et al., 2022). В связи с этим обратим внимание, что, по данным Гарсии и его коллег (Garsia et al., 1993), солончаковые луга дельты Гвадалквивира (юго-запад Испании) имеют меньшее видовое богатство, чем сходные по биомассе рудеральные сообщества этого региона.
Разный уровень полночленности (неполночленности) однотипных сообществ предполагает разную среднюю плотность, а соответственно, и встречаемость особей формирующих их видов – чем ниже полночленность, тем выше их средняя встречаемость (т. е. соотношение между средним и общим числом видов на площадках, заложенных в пределах однородного участка сообщества). Этот тест был опробован на примере растительных сообществ подвижных и неподвижных осыпей, лесных полян и изолированных высокогорных массивов Западного Кавказа (Акатов, Акатова, 1999; Ескина, 2002; Akatov et al., 2005). Результаты показали хорошее соответствие предсказаниям теории динамического равновесия островной экологии Макартура и Уилсона (MacArthur, Wilson, 1963). Результаты аналогичных исследований показали, что встречаемость видов в трансформированных человеком растительных сообществах низкогорной и высокогорной зон Западного Кавказа в среднем не выше, чем в расположенных рядом малонарушенных сообществах, а поэтому можно предположить, что уровень их полночленности в среднем не ниже (Акатов и др., 2013). Однако опыт использования данного теста остается очень ограниченным, а возможности, соответственно, неопределенными.
Наконец, следует обратить внимание, что в начале прошлого века Л. Г. Раменским (1924) было предложено принципиально иное представление о видовой полночленности (неполночленности) растительных сообществ. Под полночленными он понимал те из них, в состав которых входят все виды растений, способные в них произрастать (т. е. все виды их видовых пулов) (Раменский, 1924). В соответствии с этим пониманием, абсолютно полночленные сообщества, скорее всего, в природе не встречаются (Работнов, 1983). Относительно недавно на основе этого подхода был разработан индекс полночленности сообщества, равный логарифму соотношения между наблюдаемым и “темным” разнообразием. Под последним понимается число локально отсутствующих (не выявленных в этом сообществе) видов его видового пула (Pärtel et al., 2011, 2013). По мнению Патела и соавт. (Pärtel et al., 2011), использование этой характеристики позволяет рассмотреть новые аспекты сходства (отличия) между видовым разнообразием сообществ разных географических регионов, местообитаний и трофических уровней. В последние годы наблюдается заметный рост интереса к этому подходу (Bello et al., 2016; Ronk et al., 2017; Tang et al., 2019; Fernandes et al., 2019; Carmona, Pärtel, 2020; Noreika et al., 2020; Trindade et al., 2020; Fanfarillo et al., 2024, и др.). При этом подчеркивается, что способы оценки уровня полночленности сообществ, разработанные на основе разных представлений об этом феномене, хотя и связаны между собой, но предназначены для решения разных задач (Pärtel et al., 2013).
В нашей работе мы придерживались представления о видовой полночленности сообществ как о верхнем пределе видового богатства на их участках, обусловленном равновесием между процессами вымирания и колонизации видов. Для достижения поставленной цели мы оценивали относительный уровень полночленности разных сообществ по соотношению их продукции и видового богатства. Выбор данного метода был обусловлен несколькими причинами: (1) из- за высокого разнообразия местообитаний на нарушенных ландшафтах (особенно в городах) точное определение размера видового пула для каждого сообщества представляет собой очень сложную задачу; (2) результаты анализа связи между продукцией и видовым богатством сообществ трактуются менее противоречиво, чем между локальным видовым богатством и размером регионального видового пула; (3) этот тест позволяет оценить уровень полночленности одних сообществ по отношению к другим; (4) в период с 2014 по 2021 г. авторами был собран значительный объем данных по биомассе, составу и видовому богатству растительных сообществ района исследования. Дополнительно мы сопоставили разнообразие чужеродных видов с разнообразием аборигенных и общим видовым богатством в сообществах с высоким уровнем синантропизации.
Район и объекты исследования
Сбор фактического материала проводили на Западном Кавказе в долинах рек Белая и Курджипс в пределах г. Майкопа и его окрестностей, а также в Майкопском районе в окрестностях поселков Краснооктябрьский, Гавердовский (180–310 м над ур. м.) и Каменномостский (370–700 м). Ровные и пологие участки этого района давно лишены лесной растительности и заняты в основном населенными пунктами, пустырями в их окрестностях, сельскохозяйственными угодьями и дорогами. Однако многие речные террасы, а также большая часть склонов невысоких горных хребтов покрыты широколиственными лесами с доминированием и содоминированием Quercus robur L., Q. petraea L., Fagus orientalis Lipsky, Carpinus betulus L., Alnus incana (L.) Moench, A. glutinosa (L.) Gaertn. и других видов, включающими многочисленные поляны антропогенного происхождения. В качестве объектов исследования использовали естественную (полуестественную) и синантропную травяную растительность, в том числе сообщества лесных полян, опушек, старых и молодых залежей, пустырей разного происхождения, мест рекреации, старых газонов, скоплений строительного мусора, обочин и межколейного пространства грунтовых дорог и т. д.
Метод сбора фактического материала
Использовали сухую надземную биомассу в качестве суррогатного показателя продукции растительных сообществ (Garsia et al., 1993; Bhattarai et al., 2004; Ma et al., 2010; Ricklefs, He, 2016). Пробы биомассы были отобраны с 2014 по 2021 г. на относительно однородных участках травяного покрова в период его наибольшего развития. Основная часть проб была отобрана регулярным способом на линейных трансектах, включающих 10 площадок площадью 0.25 м2 каждая. Остальные отбирали сериями по 3–10 проб на участок. Всего было отобрано и обработано 1256 проб надземной биомассы. Для каждой пробы были определены: сухая биомасса в граммах (W), общее число видов (S), число природных (не синантропных) и синантропных видов (Sn и Ss соответственно), аборигенных (Sа) и чужеродных (адвентивных) видов (Se); EL – доля чужеродных видов от общего числа видов в пробе (уровень адвентивизации сообществ); SL – доля синантропных видов от их общего числа (уровень синантропизации сообществ). Предполагалось, что SL отражает степень антропогенной трансформации сообществ (Горчаковский, 1984). Для групп проб со сходным уровнем синантропизации были определены: d – разнообразие доминантов (S/logN, где Sd – число доминирующих видов в группах проб, N – число проб в группе); Р и Pe – общее число и число чужеродных видов.
Разделение видов на аборигенные и чужеродные было выполнено согласно “Флоре Северо-Западного Кавказа” (Зернов, 2006). Включение видов в категорию синантропных основано на работе А. Л. Иванова (2019). В качестве синантропных были признаны как чужеродные, так и местные виды, отнесенные в этой работе к облигатным и факультативным рудеральным и сегетальным флороценоэлементам (Иванов, 2019). Номенклатура сосудистых растений дана в соответствии с базой данных POWO (Plants of the World Online; http://www.plantsoftheworldonline.org).
Методы анализа данных
Если уровень синантропизации (SL) не оказывает систематического влияния на видовое богатство (S) сообществ со сходной продукцией (W), то это может свидетельствовать о примерно равном уровне их полночленности. Для проверки этого предположения мы разделили градиент биомассы сообществ (градиент W) на шесть участков (классов) разного размера (менее 50 г, 51–100, 101–150, 151–200, 201–300, более 300 г). Затем мы сравнили видовое богатство сообществ (проб биомассы) с разным уровнем синантропизации (0, 1–20, 21–40, 41–60, 61–80, 80–100%) для каждого участка градиента W. Мы использовали дисперсионный анализ (ANOVA) для проверки значимости влияния SL на значения S и апостериорный тест Тьюки, чтобы определить, какие сообщества существенно отличаются друг от друга в этом отношении.
Дополнительно сопоставили средние значения Se, Sа и S в группах сообществ с высоким уровнем синантропизации (SL > 0.6) и сходной продукцией. Мы предположили, что монотонно убывающая связь между Se и Sа в сочетании с отсутствием связи между Se и S может свидетельствовать о конкуренции между чужеродными и аборигенными видами растений и о близости видового богатства синантропных сообществ (S) к верхнему пределу. В противном случае следует ожидать монотонно возрастающую связь между Se и S и отсутствие монотонно убывающей связи между Se и Sа. Статистическую значимость разницы между средними значениями S и Sа на разных участках градиента Se также оценивали путем однофакторного дисперсионного анализа (ANOVA). Визуализацию полученных результатов осуществляли путем построения диаграмм. Расчеты проводили с использованием программы Microsoft Excel 2013 с надстройкой Real Statistic Data Analysis Tools.
РЕЗУЛЬТАТЫ
Общая характеристика сообществ с разным уровнем синантропизации представлена в табл. 1 и 2 и на рис. 1. Из таблиц следует, что группы проб биомассы с наиболее высоким уровнем синантропизации по сравнению с пробами, отобранными в естественных и полуестественных сообществах, характеризуются существенно более высокими значениями разнообразия доминирующих видов (1), доли среди них чужеродных доминантов (2), частоты доминирования этих видов (3), продукции (сухой биомассой) (4), доли в пробах и их группах чужеродных видов растений (степенью адвентивизации сообществ) (5) и доли последних среди синантропных видов (6). При этом видовое богатство сообществ с высоким уровнем синантропизации (81–100%) в среднем несколько ниже, чем естественных или полуестественных сообществ, а наиболее высокими значениями S характеризуются сообщества (группы проб) с уровнем синантропизации 1–20%.
Таблица 1. Виды, наиболее часто доминирующие в растительных сообществах с разным уровнем синантропизации
SL, % | Sd | Доминирующие виды |
0 | 7 | Bothriochloa ischaemum, Brachypodium sylvaticum, Calamagrostis epigejos, Chrysopogon gryllus, Cephalaria gigantea, Medicago falcata |
0.1–20 | 14 | Bothriochloa ischaemum, Calamagrostis epigejos, Medicago falcata, Brachypodium sylvaticum, Equisetum telmateia, Filipendula ulmaria, Galega officinalis, Geranium sanguineum, Pentanema germanicum, Solidago canadensis |
21–40 | 11 | Medicago falcata, Solidago canadensis, Calamagrostis epigejos, Bothriochloa ischaemum, Elymus repens, Ambrosia artemisiifolia, Equisetum telmateia, Trifolium pratense, Lolium perenne, Crepis setosa |
41–60 | 22 | Solidago canadensis, Ambrosia artemisiifolia, Trifolium pratense, Medicago falcata, Crepis setosa, Equisetum telmateia, Erigeron annuus, Achillea millefolium, Chenopodium album, Melilotus officinalis |
61–80 | 33 | Ambrosia artemisiifolia, Melilotus officinalis, Solidago сanadensis, Convolvulus arvensis, Erigeron annuus, Calamagrostis epigejos, Crepis setosa, Elymus repens, Lolium perenne, Trifolium repens |
81–100 | 35 | Erigeron annuus, Ambrosia artemisiifolia, Acalypha australis, Parthenocissus quinquefolia, Polygonum aviculare, Bromus sterilis, Chenopodium album, Amaranthus albus, Convolvulus arvensis, Erigeron canadensis |
Примечание. SL – уровень синантропизации сообществ, Sd – число доминантов в пробах биомассы с разным уровнем синантропизации. В ячейках виды расположены в порядке снижения частоты их доминирования в группах проб. Синантропные виды выделены полужирным, чужеродные – подчеркнуты.
Рис. 1. Соотношение между продукцией (сухой надземной биомассой – W) и видовым богатством (S) изученных растительных сообществ.
Таблица 2. Характеристика сообществ (проб биомассы) с разным уровнем синантропизации
SL, % | N | d | W | S | P | Pe | Pe/P, % | Se/S, % | Se/Ss, % |
0 | 94 | 3.5 | 92 ± 5.5 | 8.8 ± 0.4 | 90 | 0 | 0 | 0 | 0 |
0.1–20 | 147 | 6.5 | 114.8 ± 5 | 11.7 ± 0.4 | 148 | 4 | 2.7 | 2.1 ± 0.3 | 16.3 ± 2.7 |
21–40 | 257 | 4.6 | 153.4 ± 4.3 | 8.8 ± 0.2 | 172 | 8 | 4.7 | 6.3 ± 0.5 | 19.4 ± 1.6 |
41–60 | 262 | 9.1 | 150 ± 4.7 | 8.5 ± 0.2 | 208 | 16 | 7.7 | 11.6 ± 0.6 | 19.6 ± 1.6 |
61–80 | 243 | 13.8 | 169.3 ± 7.5 | 7.8 ± 0.2 | 173 | 24 | 13.9 | 16.2 ± 0.9 | 22.5 ± 1.2 |
81–100 | 263 | 14.5 | 190.5 ± 8.6 | 7.7 ± 0.2 | 187 | 28 | 15.0 | 29.1 ± 1.1 | 31.2 ± 1.2 |
F | 21.2* | 31.5* | – | – | – | 165.6* | 29.9* | ||
Примечание. d – разнообразие доминантов в группах проб со сходным уровнем синантропизации (S/logN, где Sd – число доминирующих видов в группах проб, N – число проб в группе); W – средняя продукция (сухая биомасса) на 0.25 м2; Р и Pe – общее число и число чужеродных видов в группах проб со сходным уровнем синантропизации; S, Ss и Se – среднее число видов, число синантропных и чужеродных видов на 0.25 м2 (средние значения характеристик даны с их стандартными ошибками). F – фактические значения критерия Фишера (* – они превышают критические при p < 0.05).
На рис. 1 показано соотношение между продукцией (биомассой) и видовым богатством изученных сообществ (проб биомассы). Из рисунка видно, что связь между значениями этих характеристик имеет “заполненную” горбообразную форму, а соответственно, пробы как с разной, так и со сходной биомассой характеризуются существенно разным числом видов. Причем наиболее высокие значения S (21–23) были выявлены в пробах с промежуточными значениями W (60–140 г). 23% таких проб имеют уровень синантропизации от 40 до 60%. Классы SL от 1 до 20, 21–40, 61–80 и 81–100% включают по 16–18% таких проб, с отсутствием синантропных видов – 9.4%.
В табл. 3 показан вклад чужеродных видов растений в формирование растительных сообществ с разным уровнем синантропизации на разных участках градиента продукции (сухой биомассы). Из таблицы видно, что он ожидаемо растет при увеличении уровня синантропизации сообществ на каждом из участков этого градиента. При этом также видно, что в сообществах с уровнем синантропизации 41–80% более высокая степень адвентивизации видового состава наблюдается в более продуктивных сообществах. В сообществах с более высоким и более низким уровнем синантропизации эта закономерность выражена в меньшей степени или отсутствует.
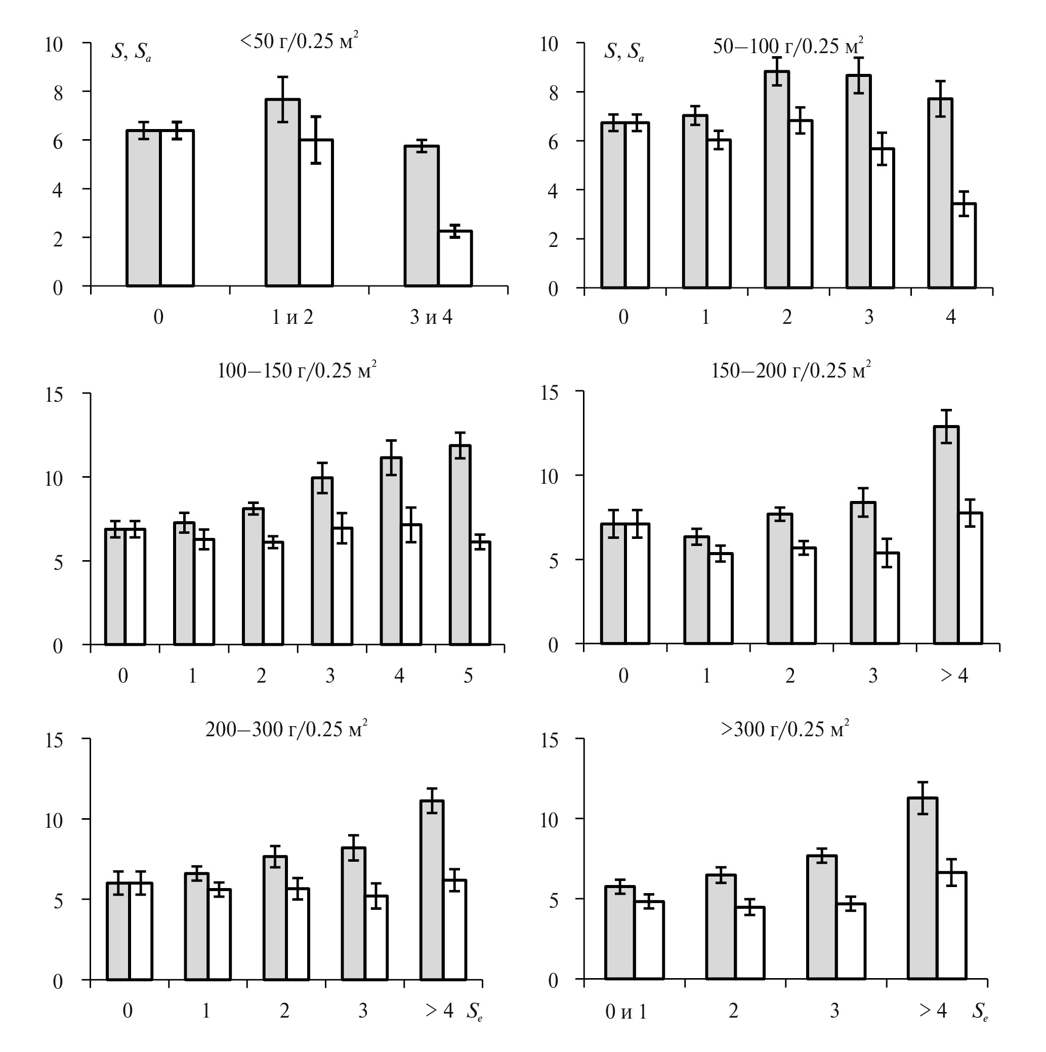
Таблица 3. Среднее видовое богатство на 0.25 м2 (S) и доля чужеродных видов в сообществах (EL) c разным уровнем синантропизации (SL) в разных диапазонах градиента сухой надземной биомассы (W)
SL, % | Классы сухой надземной биомассы (W) | F | |||||
< 50 г | 50–100 г | 100–150 г | 150–200 г | 200–300 г | > 300 г | ||
0 (a) | 5.6 ± 0.6 | 9.8 ± 0.6 | 10.0 ± 0.8 | 8.7 ± 2.2 | ̶ | ̶ | ̶ |
1–20 (b) | 7 ± 0.7 (4.0 ± 1.9) | 13.0 ± 0.6 (1.8 ± 0.5) | 12.5 ± 0.6 (2.1 ± 0.6) | 9.5 ± 1.0 (1.8 ± 1.0) | 8.6 ± 0.9 (2.9 ± 2.2) | ̶ | (0.6) |
21–40 (c) | 4.4 ± 0.6 (0) | 7.8 ± 0.4 (4.5 ± 1.1) | 9.1 ± 0.4 (5.4 ± 1.0) | 9.8 ± 0.4 (8.6 ± 1.3) | 9.3 ± 0.5 (8.4 ± 1.2) | 7.3 ± 0.8 (2.9 ± 2.9) | (3.9*) |
41–60 (d) | 6 ± 1.1 (0) | 8.9 ± 0.4 (7.8 ± 1.1) | 9.0 ± 0.3 (12.4 ± 1.0) | 8.0 ± 0.4 (13.0 ± 1.3) | 8.0 ± 0.5 (13.8 ± 1.8) | 7.8 ± 0.8 (16.2 ± 2.9) | (4.7*) |
61–80 (e) | 7.1 ± 0.5 (3.5 ± 1.9) | 7.7 ± 0.3 (10.1 ± 1.8) | 8.3 ± 0.3 (16.7 ± 1.6) | 7.3 ± 0.5 (15.3 ± 1.8) | 8.1 ± 0.6 (19.7 ± 2.1) | 7.4 ± 0.7 (28.8 ± 2.9) | (10.3*) |
81–100 (f ) | 6.5 ± 0.6 (30.7 ± 6.8) | 7.4 ± 0.3 (23.1 ± 2.3) | 8.5 ± 0.5 (29.3 ± 2.4) | 7.9 ± 0.5 (26.2 ± 2.5) | 7.8 ± 0.4 (35.1 ± 2.5) | 7.2 ± 0.4 (34.4 ± 2.1) | (3.7*) |
F | 2.6* | 24.8* | 10.5* | 3.9* | 1.4 | 0.1 | |
Q | c/e | a/e, f; b/a, c, d, e, f | b/a, c, d, e, f | c/d, e | |||
Примечание. В поле таблицы вне скобок представлено среднее видовое богатство (± стандартная ошибка) групп проб с разным уровнем синантропизации в разных диапазонах градиента сухой надземной биомассы (W); в скобках – степень их адвентивизации (EL). Наиболее высокие средние значения видового богатства выделены полужирным шрифтом и подчеркнуты. Для проверки статистической значимости влияния SL на значения S в целом, а также влияния W на EL использовался дисперсионный анализ (ANOVA). F – фактические значения критерия Фишера (* – они превышают критические при p < 0.05); Q – результаты анализа видового богатства проб с использованием апостериорного теста Тьюки (a, b, c, d, e и f – группы проб биомассы со сходным уровнем синантропизации; косой чертой отделены те из них, которые на уровнях значимости менее 0.05 отличаются друг от друга по данному признаку).
В табл. 3 представлено также видовое богатство растительных сообществ (S) с разным уровнем синантропизации и с разной продукцией. Однофакторный дисперсионный анализ выявил существенную (статистически значимую) разницу значений этой характеристики среди сообществ с разной долей синантропных видов в четырех из шести диапазонов градиента W. В частности, среди низкопродуктивных сообществ (менее 50 г на 0.25 м2) высокими значениями S характеризуются сообщества как с относительно низким (1–20%), так и с относительно высоким (61–80%) уровнем синантропизации. Среди проб со средней продуктивностью (вес сухой биомассы составляет от 50 до 200 г) наибольшее число видов было выявлено в тех из них, которые характеризуются низкими значениями SL (1–20% либо 21–40%). При этом в данном диапазоне градиента W число видов в пробах с наиболее высоким уровнем синантропизации (81– 100%) на 15–25% ниже, чем в пробах с отсутствием синантропных видов, и на 20–40% ниже, чем в пробах с относительно низкой долей таких видов (от 1 до 40%). В наибольшей степени эта разница выражена среди сообществ, имеющих биомассу от 50 до 100 г на 0.25 м2. На участках градиента сухой биомассы от 200 до 300 г и более 300 г различие значений S в группах проб с разным уровнем синантропизации статистически не значимо.
Рис. 2. Соотношение между числом чужеродных (Se) и аборигенных (Sа) видов, а также общим числом видов (S), в группах проб биомассы с высоким уровнем синантропизации (SL > 0.6) и сходной продукцией. S – темные столбцы, Sа – светлые.
На рис. 2 показаны средние значения Sа и S в группах проб биомассы с высоким уровнем синантропизации (более 60%) на разных участках градиента Se. Из него следует, что на наименее продуктивных местообитаниях (менее 50 г на 0.25 м2) сообщества с наиболее высоким числом чужеродных видов характеризуются наиболее низким числом аборигенных видов, и эта связь (монотонно убывающая) является статистически значимой (ANOVA, F = 7.28, p < 0.05). При этом разница между средними значениями S в пробах с разным числом чужеродных видов (Se) статистически не значима (ANOVA, F = 1.87). В диапазоне градиента биомассы от 50 до 100 г пробы с наиболее высоким числом чужеродных видов характеризуются относительно низким числом аборигенных видов (ANOVA, F = 4.27, p < 0.05), но относительно высоким общим видовым богатством (S) (монотонно возрастающая связь, F = 4.91, p < 0.05). На четырех других участках градиента W (т. е. с сухой биомассой 101–150, 151–200, 201–300 и более 300 г) рост числа чужеродных видов сопровождается существенным ростом общего видового богатства сообществ (ANOVA, F = 7.79, 8.58, 8.04 и 15.63 соответственно, p < 0.05) и при этом относительной стабильностью в них числа аборигенных видов (ANOVA, F = 0.51, 2.32, 0.30 и 2.60 соответственно).
ОБСУЖДЕНИЕ
Полученные нами и представленные выше результаты можно объединить в две группы. Первые характеризуют общие закономерности изменения растительного покрова района исследования на градиенте уровня его синантропизации. Вторые – относительную видовую полночленность сообществ с разным уровнем синантропизации на разных участках градиента продукции. Результаты первой группы в значительной мере оказались ожидаемыми, поскольку выявленные нами закономерности ранее были неоднократно описаны на примере растительного покрова других регионов. В целом они могут быть сведены к следующему:
(1) Растительные сообщества с высоким уровнем синантропизации характеризуются существенно большим разнообразием доминирующих видов, чем естественные или слабонарушенные сообщества (с отсутствием или небольшой долей в их составе синантропных видов), что косвенно может свидетельствовать в пользу ранее сделанных наблюдений о высокой пространственной неоднородности трансформированных человеком участков растительного покрова, в первую очередь городов и их окрестностей (Kühn et al., 2004; Wania et al., 2006; McKinney, 2008; English et al., 2022; Акатов и др., 2024).
(2) Они характеризуются в среднем и более высокой продукцией. Это может быть связано, например, с более высокой исходной продуктивностью нарушенных местообитаний, а также с более теплым климатом городов, чем сопредельных территорий (городские острова тепла), повышенной влажностью, сглаженностью сезонной амплитуды климатических изменений, искусственно обогащенными почвами и т. д. (Mittelbach et al., 2001; Kühn et al., 2004; Wania et al., 2006; McKinney, 2008; Taha, 2017; Карманова и др., 2021; English et al., 2022; Ruas et al., 2022). Кроме того, было сделано предположение о нередко более эффективном использовании ресурсов чужеродными растениями, чем местными (the biomass ratio hypothesis; Grime, 1998; Vilá, Weiner, 2004).
(3) Между продуктивностью сообществ и их видовым богатством наблюдается криволинейная (одновершинная) зависимость – максимальное видовое разнообразие наблюдается в сообществах со средней продуктивностью (60–140 г). Аналогичный результат был получен нами ранее для естественных (полуестественных) сообществ Западного Кавказа и Предкавказья (Akatov et al., 2022), а также многими другими авторами для травяных сообществ разных регионов мира с умеренным климатом (Moore, Keddy, 1989; Garsia et al., 1993; Waide et al., 1999; Mittelbach et al., 2001; Cornwell, Grubb, 2003; Bhattarai et al., 2004; Pӓrtel et al., 2007; Zobel, Pӓrtel, 2008; Ma et al., 2010; Adler et al., 2011; Fraser et al., 2015; Bhattarai, 2017). Высказывается мнение, что монотонное увеличение видового богатства от низкого до среднего уровня продуктивности отражает снижение степени суровости окружающей среды и рост количества доступных ресурсов (Latham, Ricklefs, 1993; Bhattarai et al., 2004; Šímová et al., 2013). Снижение видового богатства при более высоких уровнях продуктивности может быть связано с вытеснением некоторых видов в результате конкуренции за свет, эффектом выборки или небольшим размером пула видов, способных произрастать в высоких травостоях (Grime, 1973; Oksanen, 1996; Bhattarai et al., 2004; Zobel et al., 2011; Šímová et al., 2013).
(4) Слабо или умеренно нарушенные растительные сообщества (уровень синантропизации 1–20 или 21–40%) в среднем характеризуются более высоким видовым богатством по сравнению с естественными (полуестественными) и сильно нарушенными. Эта закономерность известна как гипотеза “промежуточного нарушения” (Grime, 1973; Kowarik, 1990, 2008; Wilkinson, 1999; McKinney, 2008; Fakhry et al., 2020; Hou et al., 2023, и др.). В соответствии с ней, слабое или умеренное антропогенное воздействие на растительные сообщества способствует снижению интенсивности межвидовой конкуренции, высвобождению пространства и ресурсов и, как следствие, проникновению в них новых видов, в том числе чужеродных. Однако его усиление ведет к снижению видового богатства из-за относительно небольшого пула видов, адаптированных к высокой частоте нарушений (Kowarik, 1990).
(5) Доля чужеродных видов от общего числа видов в пробах (группах проб), так же как и от числа синантропных видов, растет на градиенте уровня синантропизации (степени нарушенности) растительного покрова. В отдельных пробах биомассы, отобранных в сообществах, предположительно, наиболее нарушенных местообитаний, она превышает 30%, в группе этих проб – 15%. Данная закономерность является широко распространенной (Kowarik, 1990, 1995, 2008; McKinney, 2002, 2008; Kühn et al., 2004; Wania et al., 2006; English et al., 2022; Hou et al., 2023), но, по-видимому, не универсальной (Qi et al., 2024). По данным Коварика (Kowarik, 1990, 1995), в Европе наиболее высокая доля чужеродных видов выявляется в центральных районах крупных городов – 50–70%, в средних городах – 40–50%, в пригородах и населенных пунктах меньшего размера – до 25–30%. Так как г. Майкоп является относительно небольшим по размеру населенным пунктом (численность его жителей составляет около 140 тыс. человек), можно сделать вывод, что наши результаты вполне соответствуют представленным выше данным. При этом отметим, что, по мнению некоторых других авторов, негативное воздействие на растительные сообщества небольших городов и мегаполисов имеет сходный характер (Ruas et al., 2022; Hou et al., 2023). Тот факт, что доля чужеродных видов в отдельных пробах преимущественно выше, чем в их группах (региональном богатстве), может свидетельствовать об их в среднем более высокой конкурентной способности в синантропных сообществах по сравнению с местными видами (Акатов и др., 2012).
Поскольку степень трансформации растительных сообществ, их продукция и видовое богатство разным способом связаны между собой, мы разделили градиент биомассы на несколько участков, а затем сравнили видовое богатство сообществ (проб) с разным уровнем синантропизации отдельно для каждого из них. В соответствии с энергетической гипотезой (Wright, 1983), в полночленных сообществах с примерно одинаковой продукцией видовое богатство должно быть сходным. Соответственно, если сообщества со сходной продукцией, но с разным уровнем синантропизации, характеризуются существенно разным видовым богатством, это может быть обусловлено разным уровнем их неполночленности. Если данное представление является правомерным, то полученные нами результаты могут свидетельствовать о более высокой степени неполночленности синантропных сообществ с продукцией от 50 до 200 г на 0.25 м2 по сравнению с естественными (полуестественными) и малонарушенными сообществами, в отличие от сходных по уровню синантропизации сообществ с более низкой и более высокой продукцией. Этот вывод согласуется с гипотезой Грайма и Хьюстона (Grime, 1973; Huston, 1999), в соответствии с которой неполночленные сообщества с большей вероятностью должны наблюдаться на средних участках градиента суровости окружающей среды. Действительно, как было показано выше, низко- и высокопродуктивные местообитания характеризуются, как правило, более низким разнообразием видов (видовой емкостью) по сравнению с умеренно продуктивными местообитаниями, а соответственно, при прочих равных условиях для их насыщения требуется меньший по размеру пул видов (региональное богатство).
Обратим внимание, что сравнение видового богатства синантропных сообществ с примерно равными по продукции естественными (полуестественными) лугами позволяет оценить только относительный уровень их полночленности. Причина – вероятная неполночленность самих эталонных сообществ. Как показали результаты наших исследований, опубликованные ранее (Akatov et al., 2022), луговые сообщества полян района исследования (эталонные сообщества) с сухой биомассой менее 50 г на 0.25 м2 уступают по видовому богатству сообществам альпийских лугов (около 12 видов на 0.25 м2), с биомассой 50–150 г – сообществам степей и субальпийских лугов (12–18 и 16–22 вида соответственно), более 150 г – субальпийских лугов (15.4 вида). Ранее мы обосновали предположение, что значительную разницу в локальном видовом богатстве этих сообществ (степей и лугов разных горных поясов) можно объяснить особенностями их формирования в историческом прошлом (Akatov et al., 2022).
Чтобы уточнить вывод о степени полночленности сообществ с наиболее высоким уровнем синантропизации, мы оценили характер соотношения чужеродного и аборигенного компонентов видового разнообразия (Se, Sа и S) в разных диапазонах градиента продукции. Для его интерпретации мы использовали представление, что монотонно убывающая связь между Se и Sа в сочетании с отсутствием связи между Se и S может косвенно свидетельствовать о прямой конкуренции между чужеродными и аборигенными видами растений и близости видового богатства сообществ (S) к верхнему пределу (Shea, Chesson, 2002; Celesti-Grapow et al., 2006; Popp, Kalwij, 2021). Результаты анализа показали, что такое соотношение между компонентами видового разнообразия наблюдается только в синантропных сообществах, сформированных на наименее продуктивных местообитаниях. Как следует из обзора Вании с соавторами (Wania et al., 2006), в публикациях приводятся разные варианты соотношения чужеродных и аборигенных видов растений. Некоторые из них свидетельствуют в пользу предположения о том, что в нарушенных сообществах чужеродные виды вытесняют местные. В других, напротив, показано, что связь между числом видов этих групп имеет положительный характер. Как следует из наших данных, одной из причин такой неопределенности может быть разная продуктивность изученных сообществ.
ЗАКЛЮЧЕНИЕ
Итак, если проникновение на нарушенные местообитания чужеродных растений полностью компенсирует исчезновение местных, то на локальном уровне синантропные сообщества должны характеризоваться не меньшим уровнем полночленности, чем естественные или полуестественные сообщества того же района. Мы рассмотрели этот вопрос на примере растительных сообществ относительно небольшого города, его окрестностей и близлежащих территорий. Результаты показали, что сообщества с более высоким уровнем синантропизации характеризуются, как правило, более высокой долей чужеродных видов в их составе. Можно предположить, что благодаря участию таких видов в формировании низко- и высокопродуктивных синантропных сообществ, их видовое богатство (а соответственно, уровень полночленности) несущественно отличается от сходных по продукции естественных (полуестественных) и малонарушенных сообществ. Причем можно также предположить, что на участках 0.25 м2 видовое богатство низкопродуктивных синантропных сообществ близко к верхнему пределу. Напротив, сообщества с высоким уровнем синантропизации и средней продукцией характеризуются относительно низким уровнем видовой полночленности. Такой результат хорошо согласуется с гипотезой Грайма и Хьюстона (Grime, 1973; Huston, 1999), в соответствии с которой неполночленные сообщества с большей вероятностью должны наблюдаться на средних участках градиента суровости окружающей среды.
В заключение отметим, что наши результаты получены на основе проб биомассы, отобранных на небольших пробных площадках (0.25 м2). Однако известно, что видовое богатство таких участков сообществ в меньшей степени зависит от размера видового пула и, соответственно, от исторических или региональных эффектов, чем крупных участков (Shurin et al., 2000; Akatov et al., 2005; He et al., 2005; Olivares et al., 2018; Onipchenko et al., 2020). Поэтому можно ожидать, что сообщества с разным уровнем синантропизации будут характеризоваться существенно более разным видовым богатством (а соответственно, и уровнем неполночленности), если оно будет оцениваться на участках площадью более 0.25 м2.
ФИНАНСИРОВАНИЕ
Исследование выполнено в рамках проекта Российского фонда фундаментальных исследований (гранты № 16-04-00228 и 20-04-00364) и государственного задания Министерства науки и высшего образования Российской Федерации (тема № FZRG-2024-0012).
КОНФЛИКТ ИНТЕРЕСОВ
Авторы заявляют об отсутствии конфликта интересов в финансовой или какой-либо другой области.
СОБЛЮДЕНИЕ ЭТИЧЕСКИХ СТАНДАРТОВ
Настоящая статья не содержит каких-либо исследований с использованием животных в качестве объектов.
About the authors
V. V. Akatov
Maykop State Technological University; Caucasus State Nature Biosphere Reserve
Author for correspondence.
Email: akatovmgti@mail.ru
Russian Federation, Pervomaiskaya, 191, Maykop, 385000; Sovetskaya, 187, Maykop, 385000
T. V. Akatova
Caucasus State Nature Biosphere Reserve
Email: akatovmgti@mail.ru
Russian Federation, Sovetskaya, 187, Maykop, 385000
T. G. Eskina
Caucasus State Nature Biosphere Reserve
Email: akatovmgti@mail.ru
Russian Federation, Sovetskaya, 187, Maykop, 385000
N. M. Sazonets
Maykop State Technological University
Email: akatovmgti@mail.ru
Russian Federation, Pervomaiskaya, 191, Maykop, 385000
S. G. Chefranov
Maykop State Technological University
Email: akatovmgti@mail.ru
Russian Federation, Pervomaiskaya, 191, Maykop, 385000
References
- Акатов В.В., Акатова Т.В., 1999. Видовая неполночленность субальпийских фитоценозов изолированных высокогорных массивов Западного Кавказа // Бюл. МОИП. Отд. биол. Т. 104. Вып. 3. С. 32–37.
- Акатов В.В., Акатова Т.В., Ескина Т.Г., 2024. Оценка степени антропогенной трансформации послелесной растительности пос. Гузерипль и его окрестностей (Республика Адыгея, Западный Кавказ) по составу и структуре комплексов доминирующих видов // Новые технологии / New technologies. Т. 20. № 3. С. 103–114. https://doi.org/10.47370/2072-0920-2024-20-3-103-114
- Акатов В.В., Акатова Т.В., Ескина Т.Г., Загурная Ю.С., 2012. Относительная конкурентоспособность адвентивных видов растений в травяных сообществах Западного Кавказа // Росс. журн. биол. инвазий. № 2. С. 2–15. [Akatov V.V., Akatova T.V., Eskina T.G., Zagurnaya Yu.S., 2012. Relative competitiveness of adventive plant species in herbaceous communities of the Western Caucasus // Russ. J. Biol. Invasions. V. 3. № 4. Р. 235–242].
- Акатов В.В., Акатова Т.В., Ескина Т.Г., Сазонец Н.М., Чефранов С.Г., 2013. Есть ли эффект компенсации плотностью в растительных сообществах антропогенных местообитаний? // Экология. № 6. С. 403–412. [Akatov V.V., Akatova T.V., Eskina T.G., Sazonets N.M., Chefranov S.G., 2013. Is there a density compensation effect in plant communities of anthropogenic habitats? // Russ. J. Ecol. V. 44. № 6. P. 445–454].
- Горчаковский П.Л., 1984. Антропогенные изменения растительности: мониторинг, оценка, прогнозирование // Экология. № 5. С. 3–16.
- Ескина Т.Г., 2002. Площадь и степень изоляции как факторы варьирования видовой полночленности фитоценозов лесных полян Северо-Западного Кавказа // Изв. вузов. Сев.-Кавк. регион. Сер. Ест. науки. № 4. С. 87–89.
- Жерихин В.В., 1979. Использование палеонтологических данных в экологическом прогнозировании // Экологическое прогнозирование. М.: Наука. С. 113–133.
- Жерихин В.В., 2003. Механизмы филоценогенеза // Жерихин В.В. Избранные труды по палеоэкологии и филоценогенетике. М.: Т-во науч. изд. КМК. С. 448–459.
- Зернов А.С., 2006. Флора Северо-Западного Кавказа. М.: Т-во науч. изд. КМК. 664 с.
- Иванов А.Л., 2019. Конспект флоры российского Кавказа (сосудистые растения). Ставрополь: Изд-во СКФУ. 341 с.
- Карманова Т.Н., Феоктистова Н.Ю., Фетисова Е.А., Мосалов А.А., Суров А.В., 2021. Экология города: ретроспектива и перспективы изучения // Журн. общ. биологии. Т. 82. № 3. С. 163–174.
- Красилов В.А., 1969. Филогения и систематика // Проблемы филогении и систематики. Мат-лы симп. Владивосток: ДВ филиал СО АН СССР. С. 12–30.
- Красилов В.А., 1973. Этапность эволюции и ее причины // Журн. общ. биологии. Т. 34. № 2. С. 227–240.
- Лосев К.С., 2006. Преобразование естественных ландшафтов // Современные глобальные изменения природной среды. В 2-х томах. Т. 2. М.: Науч. Мир. C. 203–212.
- Работнов Т.А., 1983. Фитоценология. М.: Изд-во МГУ. 296 с.
- Раменский Л.Г., 1924. Основные закономерности растительного покрова и методы их изучения // Вестн. опытного дела Средне-Черноземной области. Январь–февраль. Воронеж: Обл. ред. изд. комитета НКЗ. С. 37–73.
- Сергеев Ю.Н., Кулеш В.П., 2017. Проблемы цикличного и стационарного развития цивилизации в глобальных моделях // Биосфера. Т. 9. № 1. С. 13–47.
- Adler P.B., Seabloom E.W., Borer E.T. et al., 2011. Productivity is a poor predictor of plant species richness // Science. V. 333. P. 1750–1753.
- Akatov V.V., Afanasyev D.F., Akatova T.V., Chefranov S.G., Eskina T.G., Sushkova E.G., 2022. Small-scale species richness of plant communities with similar biomass: The influence of habitat types in the context of historical hypothesis (Western Caucasus and Ciscaucasia, Black and Azov Seas, Russia) // Botanica Pacifica. J. Plant Sci. Conserv. V. 11. № 1. P. 3–14.
- Akatov V., Chefranov S., Akatova T., 2005. The relationship between local species richness and species pool: A case study from the high mountains of the Greater Caucasus // Plant Ecol. V. 181. № 1. P. 9–22.
- Antrop M., 2004. Landscape change and the urbanization process in Europe // Landsc. Urban Plan. V. 67. P. 9–26.
- Bello F., de, Fibich P., Zelený D., Kopecký M., Mudrák O., et al., 2016. Measuring size and composition of species pools: A comparison of dark diversity estimates // Ecol. Evol. V. 6. P. 4088–4101.
- Bhattarai K.R., 2017. Variation of plant species richness at different spatial scales // Botanica Orientalis. J. Plant Sci. V. 11. P. 49–62.
- Bhattarai K.R., Vetaas O.R., Grytnes J.A., 2004. Relationship between plant species richness and biomass in an arid sub-alpine grassland of the Central Himalayas, Nepal // Folia Geobotanica. V. 39. P. 57–71.
- Carmona С.P., Pärtel M., 2020. Estimating probabilistic site-specific species pools and dark diversity from co-occurrence data // Global Ecol. Biogeogr. V. 30. № 1. P. 316–326.
- Celesti-Grapow L., Pyšek P., Jarošik V., Blasi C., 2006. Determinants of native and alien species richness in the urban flora of Rome // Divers. Distrib. V. 12. № 5. P. 490–501.
- Cornell H.V., 1993. Unsaturated patterns in species assemblage: The role of regional processes in setting local species richness // Species Diversity in Ecological Communities: Historical and Geographical Perspectives / Eds Ricklefs R.E., Schluter D. Chicago: Chicago Univ. Press. P. 243–253.
- Cornell H.V., Harrison S.P., 2012. Regional effects as important determinants of local diversity in both marine and terrestrial systems // Oikos. V. 122. № 2. P. 288–297.
- Cornell H.V., Harrison S.P., 2014. What are species pools and when are they important? // Annu. Rev. Ecol. Evol. Syst. V. 45. P. 45–67.
- Cornell H.V., Lawton J.H., 1992. Species interactions, local and regional processes, and limits to the richness of ecological communities: A theoretical perspective // J. Anim. Ecol. V. 61. P. 1–12.
- Cornwell W.K., Grubb P.J., 2003. Regional and local patterns in plant species richness with respect to resource availability // Oikos. V. 100. P. 417–428.
- Currie D.J., 1991. Energy and large-scale patterns of animal and plant-species richness // Am. Nat. V. 137. P. 27–40.
- Currie D.J., Paquin V., 1987. Large – scale biogeographical patterns of species richness of trees // Nature. V. 329. P. 326–327.
- Czech B., Krausman P.R., Devers P.K., 2000. Economic associations among causes of species endangerment in the United States // BioScience. V. 50. P. 593–601.
- Davis M.A., Grime J.P., Thompson K., 2000. Fluctuating resources in plant communities: A general theory of invisibility // J. Ecol. V. 88. P. 528–536.
- Davis M.A., Thompson K., Grime J.P., 2005. Invasibility: The local mechanism driving community assembly and species diversity // Ecography. V. 28. № 5. P. 696–704.
- English J., Barry K.E., Wood E.M., Wright A.J., 2022. The effect of urban environments on the diversity of plants in unmanaged grasslands in Los Angeles, United States // Front. Ecol. Evol. V. 10. Art. e921472. https://doi.org/10.3389/fevo.2022.921472
- Eriksson O., 1993. The species-pool hypothesis and plant community diversity // Oikos. V. 68. Р. 371–374.
- Fakhry A.M., Khazzan M.M., Aljedaani G.S., 2020. Impact of disturbance on species diversity and composition of Cyperus conglomeratus plant community in southern Jeddah, Saudi Arabia // J. King Saud Univ. – Science. V. 32. P. 600–605.
- Falinski J.B., 1971. Synanthropization of plant cover: Synanthropic flora and vegetation of towns connected with their natural condition history and function // Materialy Zakladu Fitosocjologii Stosowanej Univ. Warszawa. V. 2. P. 21–37.
- Fanfarillo E., Simone L., de, Fiaschi T., Foggi B., Gabellini A., et al., 2024. Drivers and patterns of community completeness suggest that Tuscan Fagus sylvatica forests can naturally have a low plant diversity // Forest Ecosyst. V. 12. Art. 100276. https://doi.org/10.1016/j.fecs.2024.100276
- Fernandes C.S., Batalha M.A., Bichuette M.E., 2019. Dark diversity in the dark: A new approach to subterranean conservation // Subterranean Biol. V. 32. Р. 69–80. https://doi.org/10.3897/subtbiol.32.38121
- Fox J.W., Srivastava D.S., 2006. Predicting local-regional richness relationships using island biogeography models // Oikos. V. 133. P. 376–382.
- Francis A., Currie D.J., 1998. Global patterns of tree species richness in moist forests: Another look // Oikos. V. 81. P. 598–602.
- Fraser L.H., Pither J., Jentsch A., et al., 2015. Worldwide evidence of a unimodal relationship between productivity and plant species richness // Science. V. 349. № 6245. P. 302–305.
- Garsia L.V., Maranόn T., Moreno F., Clemente L., 1993. Above-ground biomass and species richness in a Mediterranean salt march // J. Veg. Sci. V. 4. P. 417–424.
- Gilbert B., Levine J.M., 2013. Plant invasions and extinction debts // PNAS. V. 110. № 5. P. 1744–1749.
- Grime J.P., 1973. Competitive exclusion in herbaceous vegetation // Nature. V. 242. P. 344–347.
- Grime J.P., 1998. Benefits of plant diversity to ecosystems: immediate, filter and founder effects // J. Ecol. V. 86. P. 902–910.
- He F., Gaston K.J., Connor E.F., Srivastava D.S., 2005. The local-regional relationship: immigration, extinction, and scale // Ecology. V. 86. P. 360–365.
- Herben T., 2000. Correlation between richness per unit area and the species pool cannot be used to demonstrate the species pool effect // J. Veg. Sci. V. 11. P. 123–126.
- Hillebrand H., Blenckner T., 2002. Regional and local impact on species diversity from pattern to process // Oecologia. V. 132. P. 479–491.
- Hope D., Gries C., Zhu W., Fagan W.F., Redman C.L., et al., 2003. Socioeconomics drive urban plant diversity // Proc. Natl Acad. Sci. USA. V. 100. № 15. P. 8788–8792.
- Hou Y., Li J., Li G., Qi W., 2023. Negative effects of urbanization on plants: A global meta-analysis // Ecol. Evol. V. 13. Art. e9894. https://doi.org/10.1002/ece3.9894
- Hurlbert A.H., Stegen J.C., 2014. When should species richness be energy limited, and how would we know? // Ecol. Lett. V. 17. P. 401–413.
- Huston M.A., 1999. Local processes and regional patterns: Appropriate scales for understanding variation in the diversity of plants and animals // Oikos. V. 86. P. 393–401.
- Kaspari M., Ward P.S., Yuan M., 2004. Energy gradients and the geographic distribution of local ant diversity // Oecologia (Berlin). V. 140. P. 407–413.
- Keddy P., Fraser L.H., 1999. On the diversity of land plants // Ecoscience. V. 6. № 3. P. 366–380.
- Kowarik I., 1990. Some responses of flora and vegetation to urbanization in Central Europe // Urban Ecology: Plants and Plant Communities in Urban Environments / Eds Sukopp H., Hejny S., Kowarik I. The Hague: SPB Academic Publishing. P. 45–74.
- Kowarik I., 1995. Time lags in biological invasions with regard to the success and failure of alien species // Plant Invasions – General Aspects and Special Problems / Eds Pyšek P., Prach K., Rejmánek M., Wade M. Amsterdam: SPB Academic Publishing. P. 15–38.
- Kowarik I., 2008. On the role of alien species in urban flora and vegetation // Urban ecology. An International Perspective on the Interaction between Humans and Nature / Eds Marzluff J.M., Shulenberger E., Endlicher W., Alberti M., et al. N.-Y.: Springer. P. 321–338. https://doi.org/10.1007/978-0-387-73412-5
- Kühn I., Brandl R., Klotz S., 2004. The flora of German cities is naturally species rich // Evol. Ecol. Res. V. 6. P. 749–764.
- Kühn I., Klotz S., 2006. Urbanization and homogenization – comparing the floras of urban and rural areas in Germany // Biol. Conserv. V. 127. P. 292–300.
- Latham R.E., Ricklefs R.E., 1993. Continental comparisons of temperate-zone tree species diversity // Species Diversity in Ecological Communities: Historical and Geographical Perspectives / Eds Ricklefs R.E., Schluter D. Chicago: Chicago Univ. Press. P. 294–315.
- Lawton J.H., 1999. Are there general laws in ecology? // Oikos. V. 84. P. 177–192.
- Longino J.T., Colwell R.K., 2011. Density compensation, species composition, and richness of ants on a neotropical elevational gradient // Ecosphere. V. 2. № 3. P. 1–20.
- Loreau M., 2000. Are communities saturated? On the role of α, β, and γ diversity // Ecol. Lett. V. 3. P. 73–76.
- Luck M., Wu J.G., 2002. A gradient analysis of urban landscape pattern: A case study from the Phoenix metropolitan region, Arizona, USA // Landsc. Ecol. V. 17. P. 327–339.
- Ma W., He J.-S., Yang Y., Wang X., Liang C., et al., 2010. Environmental factors covary with plant diversity–productivity relationships among Chinese grassland sites // Global Ecol. Biogeogr. V. 19. P. 233–243.
- MacArthur R.H., Wilson E.O., 1963. An equilibrium theory of insular zoogeography // Evolution. V. 17. P. 373–387.
- Marzluff J.M., Ewing K., 2001. Restoration of fragmented landscapes for the conservation of birds: A general framework and specific recommendations for urbanizing landscapes // Restor. Ecol. V. 9. № 3. P. 280–292.
- McKinney M.L., 2002. Urbanization, biodiversity, and conservation // BioScience. V. 52. № 10. P. 883–890.
- McKinney M.L., 2006. Urbanization as a major cause of biotic homogenization // Biol. Conserv. V. 127. № 3. P. 247–260.
- McKinney M.L., 2008. Effects of urbanization on species richness: A review of plants and animals // Urban Ecosyst. V. 11. № 2. P. 161–176.
- Michalet R., Maalouf J.-P., Choler P., Clément B., Rosebery D., et al., 2015. Competition, facilitation and environmental severity shape the relationship between local and regional species richness in plant communities // Ecography. V. 38. № 4. P. 335–345.
- Mittelbach G.G., Steiner C.F., Scheiner S.M., Gross K.L., Reynolds H.L., et al., 2001. What is the observed relationship between species richness and productivity? // Ecology. V. 82. № 9. P. 2381–2396.
- Moore D.R.J., Keddy P.A., 1989. The relationship between species richness and standing crop in wetlands: The importance of scale // Vegetatio. V. 79. P. 99–106.
- Moore J.L., Mouquet N., Lawton J.H., Loreau M., 2001. Coexistence, saturation and invasion resistance in simulated plant assemblages // Oikos. V. 94. P. 303–314.
- Noreika N., Pärtel M., Öckinger E., 2020. Community completeness as a measure of restoration success: Multiple-study comparisons across ecosystems and ecological groups // Biodivers. Conserv. V. 29. P. 3807–3827. https://doi.org/10.1007/s10531-020-02050-1
- Oksanen J., 1996. Is the humped relationship between species richness and biomass an artefact due to plot size? // J. Ecol. V. 84. P. 293–295.
- Olivares I., Karger D.N., Kessler M., 2018. Assessing species saturation: Conceptual and methodological challenges // Biol. Rev. V. 93. № 4. P. 1874–1890.
- Onipchenko V.G., Kopylova N.A., Kipkeev A.M., Elumeeva T.G., Azovsky A., et al., 2020. Low floristic richness of afro-alpine vegetation of Mount Kenya is related to its small area // Alpine Bot. V. 130. № 1. P. 31–39.
- Pärtel M., Laanisto L., Zobel M., 2007. Contrasting plant productivity–diversity relationships in temperate and tropical regions: The role of evolutionary history // Ecology. V. 88. P. 1091–1097.
- Pärtel M., Szava-Kovats R., Zobel M., 2011. Dark diversity: Shedding light on absent species // Trends Ecol. Evol. V. 26. № 3. Р. 124–127. https://doi.org/10.1016/j.tree.2010.12.004
- Pärtel M., Szava-Kovats R., Zobel M., 2013. Community completeness: Linking local and dark diversity within the species pool concept // Folia Geobot. V. 48. Р. 307–317. https://doi.org/10.1007/s12224-013-9169-x
- Pärtel M., Zobel M., 1999. Small-scale plant species richness in calcareous grasslands determined by the species pool, community age and shoot density // Ecography. V. 22. P. 153–159.
- Pärtel M., Zobel M., Zobel K., Maarel E., van der, 1996. The species pool and its relation to species richness: Evidence from Estonian plant communities // Oikos. V. 75. P. 111–117.
- Popp M.R., Kalwij J.M., 2021. Abiotic conditions shape the relationship between indigenous and exotic species richness in a montane biodiversity hotspot // Plant Ecol. V. 222. № 4. P. 421–432.
- Qi R., Zhou X., Li Z., Ye Y., Yuan Z., et al., 2024. Plant diversity distribution along an urbanization gradient and relationships with environmental factors in urban agglomerations of Henan Province, China // Diversity. V. 16. № 1. Art. 53. https://doi.org/10.3390/d16010053
- Qian H., Ricklefs R.E., 2006. The role of exotic species in homogenizing the North American flora // Ecol. Lett. V. 9. P. 1293–1298.
- Ricklefs R.E., 1987. Community diversity: Relative roles of local and regional processes // Science. V. 235. P. 167–171.
- Ricklefs R.E., He F., 2016. Region effects influence local tree species diversity // PNAS. V. 113. № 3. P. 674–679.
- Ronk A., Szava-Kovats R., Zobel M., Pärtel M., 2017. Observed and dark diversity of alien plant species in Europe: Estimating future invasion risk // Biodivers. Conserv. V. 26. P. 899–916. https://doi.org/10.1007/s10531-016-1278-4
- Ruas R., Costa L., Bered F., 2022. Urbanization driving changes in plant species and communities – A global view // Global Ecol. Conserv. V. 38. Art. e02243. https://doi.org/10.1016/j.gecco.2022.e02243
- Sax D.F., Brown J.H., White E., Gaines S.D., 2005. Dynamics of species invasions: Insights into the mechanisms that limit species diversity // Species Invasions: Insights into Ecology, Evolution and Biogeography / Eds Sax D.F., Gaines S.D. Sunderland: Snauer Associates. P. 447–465.
- Sax D.F., Gaines S.D., 2003. Species diversity: From global decreases to local increases // Trends Ecol. Evol. V. 18. № 11. P. 561–566.
- Shea K., Chesson P., 2002. Community ecology theory as a framework for biological invasions // Trends. Ecol. Evol. V. 17. P. 170–176.
- Shurin J.B., Havel J.E., Leibold M.A., Pinel-Alloul B., 2000. Local and regional zooplankton species richness: A scale-independent test for saturation // Ecology. V. 81. P. 3062–3073.
- Šímová I., Li Y.M., Storch D., 2013. Relationship between species richness and productivity in plants: The role of sampling effect, heterogeneity and species pool // J. Ecol. V. 101. P. 161–170.
- Srivastava D.S., 1999. Using local-regional richness plots to test for species saturation: pitfalls and potentials // J. Anim. Ecol. V. 68. P. 1–16.
- Srivastava D.S., Lawton J.H., 1998. Why more productive sites have more species: An experimental test of theory using tree hole communities // Am. Nat. V. 152. P. 510–529.
- Stewart I.D., Oke T.R., 2012. Local climate zones for urban temperature studies // Bull. Am. Meteorol. Soc. V. 93. № 12. P. 1879–1900.
- Stohlgren T.J., 2002. Beyond theories of plant invasions: Lessons from natural landscapes // Comments Theor. Biol. V. 7. P. 355–379.
- Szava-Kovats R.C., Zobel M., Pärtel M., 2012. The local‐regional species richness relationship: New perspectives on the null‐hypothesis // Oikos. V. 121. № 3. P. 321–326.
- Taha H., 2017. Characterization of urban heat and exacerbation: Development of a heat island index for California // Climate. V. 5. № 3. Art. 59. https://doi.org/10.3390/cli5030059
- Tang L., Wang R., He K.S., Shi C., Yang T., et al., 2019. Throwing light on dark diversity of vascular plants in China: Predicting the distribution of dark and threatened species under global climate change // Peer J. V. 7. Art. e6731. https://doi.org/10.7717/peerj.6731
- Terborgh J., Faaborg J., 1980. Saturation of bird communities in the West-Indies // Am. Nat. V. 116. P. 178–195.
- Thomas C.D., Palmer G., 2015. Non-native plants add to the British flora without negative consequences for native diversity // Proc. Natl Acad. Sci. V. 112. № 14. Р. 4387–4392.
- Tilman D., Pacala S., 1993. The maintenance of species richness in plant communities // Species Diversity in Ecological Communities: Historical and Geographical Perspectives / Eds Ricklefs R.E., Schluter D. Chicago: Chicago Univ. Press. P. 13–26.
- Trindade D.P.F., Carmona C.P., Pärtel M., 2020. Temporal lags in observed and dark diversity in the Anthropocene // Global Change Biol. V. 26. № 6. P. 3193–3201. https://doi.org/10.1111/gcb.15093
- Vilá M., Weiner J., 2004. Are invasive plant species better competitors than native plant species? – Evidence from pair-wise experiments // Oikos. V. 105. P. 229–238.
- Waide R.B., Willig M.R., Steiner C.F., Mittelbach G., Gough L., et al., 1999. The relationship between productivity and species richness // Annu. Rev. Ecol. Syst. V. 30. P. 257–300.
- Wania A., Kühn I., Klotz S., 2006. Plant richness patterns in agricultural and urban landscapes in Central Germany – spatial gradients of species richness // Landsc. Urban Plan. V. 75. P. 97–110.
- Wilkinson D.M., 1999. The disturbing history of intermediate disturbance // Oikos. V. 84. № 1. P. 145–147.
- Wright D.H., 1983. Species-energy theory: An extension of species-area theory // Oikos. V. 41. P. 496–506.
- Zobel M., 2016. The species pool concept as a framework for studying patterns of plant diversity // J. Veg. Sci. V. 27. P. 8–18.
- Zobel M., Otto R., Laanisto L., Naranjo-Cigala A., Pärtel M., Fernandez-Palacios J.M., 2011. The formation of species pools: Historical habitat abundance affects current local diversity // Global Ecol. Biogeogr. V. 20. P. 251–259.
- Zobel M., Pärtel M., 2008. What determines the relationship between plant diversity and habitat productivity? // Global Ecol. Biogeogr. V. 17. P. 679–684.
Supplementary files




