Synthesis and physicochemical properties of magnesium complexes with 4Н pyran ligands
- Authors: Kozin S.V.1,2, Kravtsov A.A.1,2, Kindop V.K.1, Bespalov A.V.1, Ivaschenko L.I.1, Nazarenko M.A.1, Moiseev A.V.3, Churakov A.V.4, Vashurin A.S.4
-
Affiliations:
- Kuban State University
- Southern Scientific Center of the Russian Academy of Sciences
- Trubilin Kuban State Agrarian University
- Kurnakov Institute of General and Inorganic Chemistry of the Russian Academy of Sciences
- Issue: Vol 70, No 2 (2025)
- Pages: 191-200
- Section: СИНТЕЗ И СВОЙСТВА НЕОРГАНИЧЕСКИХ СОЕДИНЕНИЙ
- URL: https://ogarev-online.ru/0044-457X/article/view/289430
- DOI: https://doi.org/10.31857/S0044457X25020065
- EDN: https://elibrary.ru/ICOVAX
- ID: 289430
Cite item
Abstract
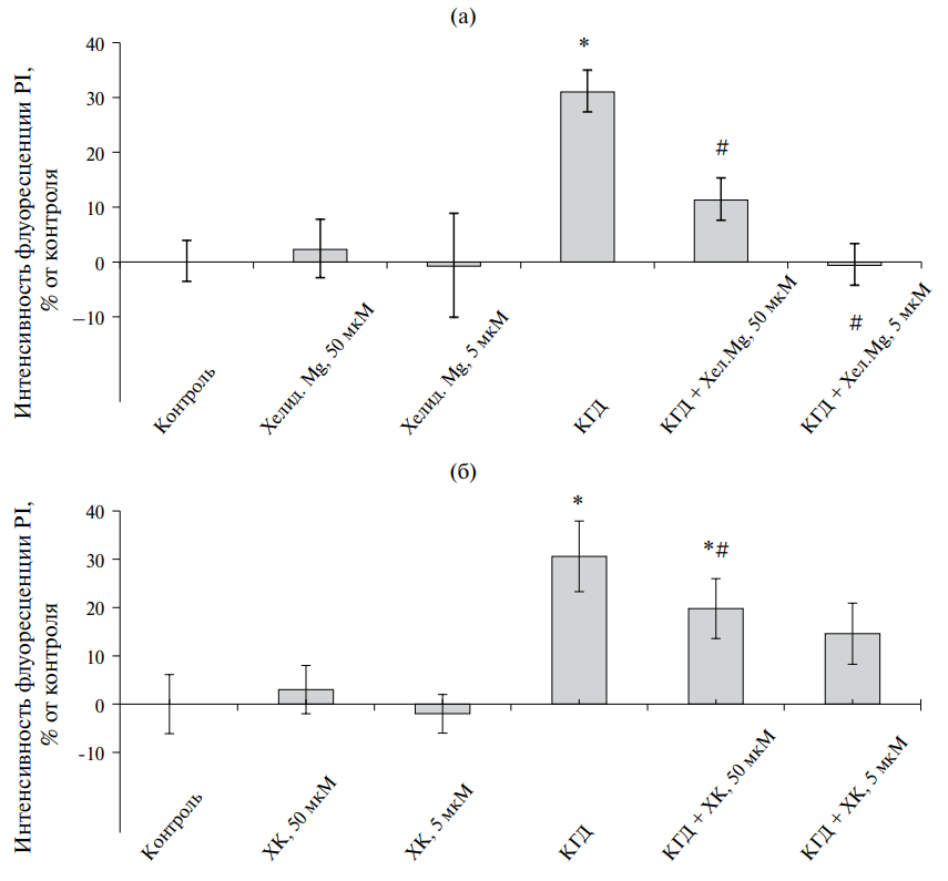
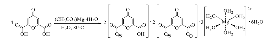
As a result of the interaction of 4-oxo-4H-pyran-2,6-dicarboxylic (chelidonic) acid with magnesium acetate, a cocrystalline compound was obtained – magnesium chelidonate. The study of the process of thermo-oxidative destruction of magnesium chelidonate showed that its dehydration occurs in two stages, and the thermal destruction of the organic part is accompanied by pronounced thermal effects. In the structure of magnesium chelidonate, there is both an internal and an external coordination sphere around the magnesium cation. The internal sphere includes six water molecules, forming a magnesium hexaaqua cation. The external sphere is formed by anionic residues of chelidonic acid, linked by hydrogen bonds with water molecules of the internal coordination sphere of the magnesium cation. The structure of magnesium chelidonate crystallizes in the triclinic syngony of the space group and has an extensive network of hydrogen bonds between coordinated water molecules, acid anions and magnesium hexahydrate cations. Comparative analysis of the neuroprotective action of magnesium chelidonate and chelidonic acid showed that both compounds protected cultured neurons in a cellular ischemia model. This effect was expressed by a decrease in neuronal death during oxygen-glucose deprivation. At the same time, magnesium chelidonate was more effective than chelidonic acid at the same concentrations.
Keywords
Full Text
About the authors
S. V. Kozin
Kuban State University; Southern Scientific Center of the Russian Academy of Sciences
Author for correspondence.
Email: kozinsv85@mail.ru
Laboratory of Problems of Distribution of Stable Isotopes in Living Systems
Russian Federation, Krasnodar, 350040; Rostov-on-Don, 344006A. A. Kravtsov
Kuban State University; Southern Scientific Center of the Russian Academy of Sciences
Email: kozinsv85@mail.ru
Laboratory of Problems of Distribution of Stable Isotopes in Living Systems
Russian Federation, Krasnodar, 350040; Rostov-on-Don, 344006V. K. Kindop
Kuban State University
Email: kozinsv85@mail.ru
Russian Federation, Krasnodar, 350040
A. V. Bespalov
Kuban State University
Email: kozinsv85@mail.ru
Russian Federation, Krasnodar, 350040
L. I. Ivaschenko
Kuban State University
Email: kozinsv85@mail.ru
Russian Federation, Krasnodar, 350040
M. A. Nazarenko
Kuban State University
Email: kozinsv85@mail.ru
Russian Federation, Krasnodar, 350040
A. V. Moiseev
Trubilin Kuban State Agrarian University
Email: kozinsv85@mail.ru
Russian Federation, Krasnodar, 350044
A. V. Churakov
Kurnakov Institute of General and Inorganic Chemistry of the Russian Academy of Sciences
Email: kozinsv85@mail.ru
Russian Federation, Moscow, 119991
A. S. Vashurin
Kurnakov Institute of General and Inorganic Chemistry of the Russian Academy of Sciences
Email: kozinsv85@mail.ru
Russian Federation, Moscow, 119991
References
- Walter a E.R.H., Hogg C., Parker D., Williams J.A. G. // Coord. Chem. Rev. 2021. V. 428. P. 213622. https://doi.org/10.1016/j.ccr.2020.213622
- de Baaij J.H., Hoenderop J.G., Bindels R.J. // Physiol.Rev. 2015. V. 95. P. 1. https://doi.org/10.1152/physrev.00012.2014. PMID: 25540137
- Louis J. M., Randis T. M. // JAMA. 2023. V. 330. P. 597. https://doi.org/10.1001/jama.2023.10673.
- Kim S. J., Kim D.S., Li Sh. et al. // Biol. Chem. 2023. V. 66. P. 12. https://doi.org/10.1186/s13765-022-00763-1
- Singh D.K., Gulati K., Ray A. // Int. Immunopharmacol. 2016. V. 40. P. 229. https://doi.org/10.1016/j.intimp.2016.08.009
- Oh H.A., Kim H.M., Jeong H.J. // Int. Immunopharmacol. 2011. V. 11. P. 39. https://doi.org/10.1016/j.intimp.2010.10.002
- Kim D.S., Kim S.J., Kim M.C. et al. // Biol. Pharm. Bull. 2012. V. 35. P. 666. https://doi.org/10.1248/bpb.35.666
- Avdeeva E., Porokhova E., Khlusov I. et al. // Pharmaceuticals. 2021. V. 146. P. 579. https://doi.org/10.3390/ph14060579
- Jeong H.J., Yang S.Y., Kim H.Y. et al. // Exp. Biol. Med. 2016. V. 241. P. 1559. https://doi.org/10.1177/1535370216642044
- Kozin S.V., Kravtsov A.A., Kravchenko S.V. et al. // Bull. Exp. Biol. Med. 2021. V. 171. P. 619. https://doi.org/10.1007/s10517-021-05281-6
- Rogachevskii I.V., Plakhova V.B., Penniyaynen V.A. et al. // Can. J. Physiol. Pharmacol. 2022. V. 100. P. 43. https://doi.org/10.1139/cjpp-2021-0286
- Kravtsov A.A., Shurygin A.Y., Skorokhod N.S., Khaspekov L.G. // Bull. Exp. Biol. Med. 2011. V. 150. P. 436. https://doi.org/10.1007/s10517-011-1162-x
- Shurygina L.V., Zlishcheva E.I, Kravtsov A.A., Kozin S.V. // Bull. Exp. Biol. Med. 2021. V.171. P. 338. https://doi.org/10.1007/s10517-021-05223-2
- Khan A., Park T.J., Ikram M. et al. // Mol. Neurobiol. 2021. V.58. P. 5127. https://doi.org/10.1007/s12035-021-02460-4
- Yasodha V., Govindarajan S., Low J.N., Glidewell C. // Acta Crystallogr C. 2007. V. 63. P. 207. https://doi.org/10.1107/S010827010701459X
- Ivashchenko L.I., Kozin S.V., Vasileva L.V. et al. // Russ. J. Coord. Chem. 2023. V. 49. P. 437. https://doi.org/10.31857/S0132344X22600412
- Case D.R., Gonzalez R., Zubieta J., Doyle R.P. // ACS Omega. 2021. V. 6. P. 29713. https://doi.org/10.1021/acsomega.1c04104
- Bannwarth C., Ehlert S., Grimme S. // J. Chem. Theory Comput. 2019. V. 15. P. 1652. https://doi.org/10.1021/acs.jctc.8b01176
- Pracht P., Grant D.F., Grimme S. // J. Chem. Theory Comput. 2020. V. 16. P. 7044. https://doi.org/10.1021/acs.jctc.0c00877
- Neese F. // WIREs Comput. Mol. Sci. 2011. V. 2. P. 73. https://doi.org/10.1002/wcms.81
- Neese F. // WIREs Comput. Mol. Sci. 2022. V. 12:c1606. P. 1. https://doi.org/10.1002/wcms.1606
- Kozin S., Kravtsov A., Ivashchenko L. et al. // Int. J. Mol. Sci. 2024. V. 25. P. 286. https://doi.org/10.3390/ijms25010286
- Kravtsov A., Kozin S., Basov A. et al. // Molecules. 2022. V. 27. P. 243. https://doi.org/10.3390/molecules27010243
- Malaganvi S.S., Tonannavar (Yenagi) J., Tonannavar J. // Heliyon. 2019. V. 5. P. 1. https://doi.org/10.1016/j.heliyon.2019.e01586
- Case D.R., Zubieta J., P Doyle R. // Molecules. 2020. V. 25. P. 3172. https://doi.org/10.3390/molecules25143172
- Khairnar S.I., Kulkarni Y.A., Singh K. // Rev Port Cardiol. 2024. V. 30. https://doi.org/10.1016/j.repc.2024.06.003.
Supplementary files






