Features of the synthesis of magnesium praseodymium hexaaluminate PrMgAl11O19 with a magnetoplumbite structure
- Authors: Ryumin М.А.1, Nikiforova G.Е.1, Gagarin P.G.1, Kondrat’eva O.N.1, Gavrcihev K.S.1
-
Affiliations:
- Kurnakov Institute of General and Inorganic Chemistry of RAS
- Issue: Vol 70, No 2 (2025)
- Pages: 172-180
- Section: СИНТЕЗ И СВОЙСТВА НЕОРГАНИЧЕСКИХ СОЕДИНЕНИЙ
- URL: https://ogarev-online.ru/0044-457X/article/view/289426
- DOI: https://doi.org/10.31857/S0044457X25020043
- EDN: https://elibrary.ru/IDCTMB
- ID: 289426
Cite item
Abstract
RE magnesium hexaaluminates with magnetoplumbite structure are considered as potential candidates for thermal barrier coatings. However, the synthesis of single-phase samples is associated with certain difficulties. In this work, the features of PrMgAl11O19 preparation by reverse precipitation and citrate sol-gel synthesis are compared. Based on the results of thermal analysis of precursors, stepwise annealing of the samples was carried out, followed by X-ray phase analysis of the product. It is shown that the optimal condition for producing single-phase hexaaluminate PrMgAl11O19 is long-term annealing of tableted precursors obtained by the sol-gel method at a temperature of 1600°C. Thermodynamic assessment of possible reactions of praseodymium magnesium hexaaluminate formation from oxides confirmed the decomposition of PrMgAl11O19 at temperatures above 1700°C.
Keywords
Full Text
ВВЕДЕНИЕ
В настоящее время основным материалом для термобарьерных покрытий (TБП) является стабилизированный иттрием диоксид циркония. Однако температурный интервал его применения ограничивается 1200°C за счет протекания фазового перехода из моноклинной структуры в тетрагональную модификацию [1–4]. Последние 30 лет ведется активный поиск новых материалов – кандидатов для ТБП – для улучшения производительности и эффективности работы газовых турбин различного назначения [5–8]. В качестве новых материалов для термобарьерных покрытий рассматриваются соединения со структурой магнетоплюмбита состава LnMAl11O19 (Ln = La–Gd, Ca, Sr; M = Mg, Zn, Cu, Mn) [9, 10], которые характеризуются низкой теплопроводностью и высокой термической устойчивостью [11–14].
Допирование гексаалюмината LaMgAl11O19 ионами Tm3+ и Dy3+ позволяет получать люминофорные материалы, цвет излучения которых меняется от голубого до белого в зависимости от длины волны возбуждения, что наряду с хорошей термической стабильностью указывает на возможность использования LaMgAl11O19:Tm3+, Dy3+ в белых светодиодах, возбуждаемых ультрафиолетовым светодиодом на основе GaN [15, 16]. В последнее время также ведутся разработки материалов на основе гексаалюминатов с целью их применения в гетерогенном катализе для таких процессов, как каталитическое сжигание CH4, частичное окисление и CO2-риформинг CH4 в синтез-газ, а также разложение N2O [17].
Одним из наиболее распространенных способов получения гексаалюминатов является твердофазный метод синтеза [12, 14–16, 18]. Однако для получения однофазного продукта, как правило, необходимо проведение промежуточных стадий синтеза, направленных на ускорение реакции, таких как механоактивация, плазменное распыление и прессование, в том числе горячее прессование. Добиться лучшей гомогенизации реагентов можно также путем проведения синтеза в две стадии. На первой стадии из растворов солей металлов методом соосаждения [13, 19] или золь-гель методом [9, 11, 20] получают прекурсоры, которые затем подвергают термической обработке.
В настоящей работе выполнен сравнительный анализ двух растворных методов получения гексаалюмината празеодима-магния PrMgAl11O19 с целью установления оптимальных параметров синтеза однофазных образцов со структурой магнетоплюмбита.
ЭКСПЕРИМЕНТАЛЬНАЯ ЧАСТЬ
Для синтеза гексаалюмината состава PrMgAl11O19 использовали кристаллогидраты нитратов празеодима (Pr(NO3)3 · 6H2O), алюминия (Al(NO3)3 · · 9H2O) и магния (Mg(NO3)2 · 6H2O), которые смешивали в стехиометрическом соотношении (Pr : Mg : Al = 1 : 1 : 11) и растворяли в дистиллированной воде.
Для синтеза методом обратного осаждения приготовленный раствор нитратов по каплям добавляли при перемешивании к избытку раствора аммиака. Выпавший осадок отстаивали, промывали дистиллированной водой и отделяли на центрифуге, затем помещали в сушильный шкаф (t = 90°C) на 72 ч. Высушенный прекурсор тщательно растирали и последовательно отжигали при температурах 600, 1000, 1300, 1400, 1500, 1600 и 1700°C.
Синтез PrMgAl11O19 золь-гель методом проводили с использованием лимонной кислоты, которую добавляли в раствор нитратов в избытке по сравнению с общим количеством металлов ν(C6H8O7) : ∑νM = 1.2 : 1. Полученный раствор упаривали до состояния желтого густого геля при температуре 80°C. Полученный гель выдерживали в сушильном шкафу при 115°С в течение 16 ч. В итоге сформировалась бледно-зеленая твердая воздушная масса. Отжиг промежуточного продукта проводили при температурах 1000 и 1500°С в течение 24 ч на каждой стадии, затем образцы прессовали в таблетки диаметром 15 мм. Дальнейший отжиг проводили при температурах 1600 и 1700°C в течение 6 и 4 ч соответственно.
Фазовый состав синтезированных образцов определяли методом рентгенофазового анализа (РФА) с помощью дифрактометра Bruker D8 Advance (CuKα-излучение, λ = 1.5418 Å, Ni-фильтр, детектор LYNXEYE, геометрия на отражение) в интервале углов 2θ = 10°–60°. Результаты исследования обрабатывали с помощью программного обеспечения Bruker EVA с использованием базы данных ICDD PDF-2.
Морфологию образца и его чистоту исследовали с помощью электронного микроскопа TescanAmber при ускоряющем напряжении 5 кэВ с использованием детектора LE BSE.
Термическое поведение прекурсоров исследовали на синхронном термическом анализаторе STA 449 F1 Jupiter фирмы Netzsch-Gerätebau GmbH. Измерения проводили в платинородиевых тиглях с крышкой в инертной атмосфере со скоростью 10 град/мин.
РЕЗУЛЬТАТЫ И ОБСУЖДЕНИЕ
Изучение прекурсора, полученного методом осаждения
На термограмме прекурсора, полученного методом осаждения (рис. 1), присутствует широкий комплексный эндоэффект в интервале температур 92–526°С, который сопровождается значительной потерей массы образца и обусловлен, по-видимому, десорбцией физически связанной воды, разложением гидроксидов и оксогидроксидов. Далее в области 700–900°С наблюдается широкий экзоэффект, связанный, вероятно, с кристаллизацией промежуточных фаз. Несколько неожиданным является эндоэффект с максимумом при 1215°С, сопровождаемый небольшой потерей массы, поскольку известно, что в этом температурном интервале происходит экзотермический фазовый переход метастабильных фаз оксида алюминия (γ-Al2O3, θ-Al2O3) в устойчивую a-модификацию [21, 22]. Этот эффект отчетливо виден на опубликованной ранее термограмме LaMgAl11O19 [23], однако в случае PrMgAl11O19 он полностью перекрывается эндоэффектом, отвечающим выделению остаточных гидроксильных групп.
Рис. 1. Температурные зависимости теплового потока и изменения массы прекурсора PrMgAl11O19, полученного методом осаждения.
Для уточнения превращений, происходящих в процессе синтеза, прекурсор PrMgAl11O19 отжигали при различных температурах и изучали методом рентгенофазового анализа (рис. 2). Образец PrMgAl11O19, отожженный при 600°C, является рентгеноаморфным. На дифрактограмме образца, полученного после отжига при 1000°C (рис. 2, кривая 2), присутствуют хорошо разрешенные рефлексы фазы PrAlO3 со структурой перовскита и размытые рефлексы, которые могут быть отнесены как к алюминату магния со структурой шпинели, так и к γ-Al2O3 со структурой дефектной шпинели. В образце также присутствует небольшое количество смешанного оксида празеодима (Pr6O11).
Рис. 2. Дифрактограммы прекурсора PrMgAl11O19, полученного методом осаждения и отожженного при 600 (1), 1000 (2), 1300 (3), 1400 (4), 1500 (5), 1600 (6) и 1700°C (7). P – PrAlO3 (перовскит), S – MgAl2O4 (шпинель), С – a-Al2O3 (корунд), O – Pr6O11, γ – γ-Al2O3. Необозначенные пики относятся к фазе PrMgAl11O19 со структурой магнетоплюмбита.
На дифрактограмме образца, отожженного при 1300°C (рис. 2, кривая 3), появляются рефлексы основной фазы – тройного оксида со структурой магнетоплюмбита. В образце также присутствуют двойные алюминаты магния и празеодима в качестве примесных фаз. Нагревание образца до 1400°C приводит к росту содержания PrMgAl11O19 в образце до 80%. Дальнейшее увеличение температуры отжига до 1500 и 1600°C приводит к повышению кристалличности всех фаз, при этом наблюдается уменьшение доли фазы перовскита и увеличение количества MgAl2O4. При повышении температуры прокаливания образцов до 1700°C происходит полное разрушение гексаалюмината на корунд (α-Al2O3), PrAlO3 и MgAl2O4 (рис. 2, кривая 7).
Анализ литературы показал, что метод осаждения ранее был применен лишь для получения гексаалюмината лантана-магния [13, 19]. Однофазный LaMgAl11O19 был получен спеканием таблетированного образца при 1500°C в течение 6 ч, а дальнейший отжиг образцов при температуре 1700°C приводил к частичному разложению LaMgAl11O19 и выделению фазы корунда. При попытке замещения лантана на неодим и диспрозий наблюдалась схожая картина. Дифрактограммы некоторых образцов, отожженных при температуре 1700°C, содержали рефлексы примесных фаз (α-Al2O3 и др.) [13, 19]. Таким образом, на основании полученных нами результатов и литературных данных можно заключить, что при синтезе гексаалюминатов LnMgAl11O19 (Ln = La, Pr) методом осаждения отжиг прекурсоров следует проводить при температуре не выше 1600°C.
Изучение прекурсора, полученного золь-гель методом
При нагревании прекурсора, полученного золь-гель методом и высушенного при 115°С, происходит постепенное уменьшение массы образца, которое можно связать с изменениями в органической составляющей смеси и ее частичным разложением. На термограмме образца в этом температурном интервале наблюдается начало эндотермического эффекта (рис. 3), который прерывается высоким узким экзоэффектом. При 190–210°С происходит быстрое сгорание цитратов металлов с выделением значительного количества тепла и образованием большого объема газообразных продуктов. Удаление оставшихся продуктов горения органической смеси продолжается до 600°С. Суммарная потеря массы прекурсора составляет 75.27 мас. %. На кривой ДСК в интервале температур 210–1430°С никаких выраженных тепловых эффектов не наблюдается. По-видимому, несмотря на быстрое протекание стадии горения, в реакционной смеси развивается достаточно высокая температура, необходимая для синтеза целевого продукта.
Рис. 3. Результаты термического и термогравиметрического анализа прекурсора PrMgAl11O19, полученного золь-гель методом.
С учетом полученных данных предварительный отжиг прекурсора проводили при температуре 1000°С. Однако на дифрактограмме образца наблюдаются лишь размытые и плохо идентифицируемые рефлексы (рис. 4, кривая 1), что свидетельствует о низкой степени кристалличности продуктов реакции горения.
Рис. 4. Дифрактограммы прекурсора PrMgAl11O19, полученного золь-гель методом и отожженного при 1000 (1), 1500 (2), 1600 (3) и 1700°C (4). P – PrAlO3 (перовскит), S – MgAl2O4 (шпинель). Необозначенные пики относятся к фазе PrMgAl11O19 со структурой магнетоплюмбита.
Дальнейший отжиг при 1500°С приводит к образованию гексаалюмината празеодима-магния с небольшой примесью алюмината празеодима со структурой перовскита (рис. 4, кривая 2). При повышении температуры отжига до 1600°С рефлексы второй фазы (PrAlO3) становятся трудноразличимыми (рис. 4, кривая 3). Дальнейшее повышение температуры отжига до 1700°С приводит к изменениям в составе смеси, связанным с частичным разложением PrMgAl11O19. На дифрактограмме образца (рис. 4, кривая 4) помимо заметных пиков, относящихся к фазе перовскита, регистрируются также рефлексы алюмомагниевой шпинели (MgAl2O4). Можно предположить, что длительное выдерживание образца при этой температуре приводит к разложению гексаалюмината празеодима-магния на два двойных оксида и оксид алюминия, как и в случае отжига образца, полученного методом осаждения.
Таким образом, оптимальным режимом получения гексаалюмината празеодима-магния можно считать золь-гель синтез с последующим высокотемпературным прокаливанием таблетированного образца при 1600°С.
Исследование структуры и микроструктуры синтезированного PrMgAl11O19
На рис. 5 представлена дифрактограмма однофазного гексаалюмината празеодима-магния. Анализ положения рефлексов на дифрактограмме позволяет судить о принадлежности структуры полученного гексаалюмината к структурному типу магнетоплюмбита (пр. гр. P63/mmc). Для индицирования дифрактограмм были использованы кристаллографические данные для изоструктурных гексаалюминатов лантана-магния [24]. Рассчитанные кристаллографические параметры a = 5.5874, c = 21.8911 Å (табл. 1) удовлетворительно согласуются с литературными данными [11, 25, 26].
Рис. 5. Дифрактограмма PrMgAl11O19.
Таблица 1. Кристаллографические параметры полученного нами PrMgAl11O19 в сравнении с литературными данными
Кристаллографические параметры | Условия синтеза | Литература | ||
a, Å | с, Å | V, Å3 | ||
5.5874(6) | 21.891(3) | 591.8(1) | Золь-гель метод, 1600°C | Наст. работа |
5.585 | 22.06 | 595.9 | Золь-гель метод, 1500°C | [11] |
5.5846 | 21.873 | 590.8 | Твердофазный метод, 1550°C | [25] |
5.5870(1) | 21.8732(6) | 591.29(2) | Твердофазный метод, 1600°C | [26] |
На микрофотографии PrMgAl11O19 (рис. 6) видно, что образец состоит из многочисленных гексагональных пластинчатых частиц диаметром от 2 до 5 мкм и толщиной 0.2–0.8 мкм, хаотично связанных между собой. Такая форма частиц характерна для всех гесаалюминатов РЗЭ-магния, полученных золь-гель методом. Возможна лишь разница в размерах кристаллитов, на которые оказывает влияние температура конечного отжига. При температуре 1500°С диаметр гексагональных частиц не превышает 1 мкм при толщине 50–100 нм [11]. После прокаливания при 1600°С размер частиц существенно не меняется (до 5 мкм), однако появляется склонность к образованию крупных агломератов размером 10–20 мкм [27].
Рис. 6. Микрофотография гексаалюмината празеодима магния, полученного золь-гель методом синтеза и отожженного при температуре 1600°C.
Термодинамическая оценка вероятности образования PrMgAl11O19
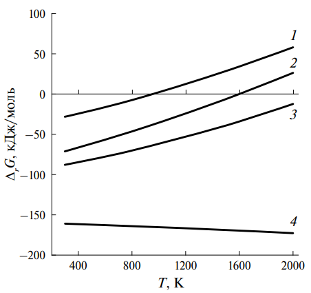
Сопоставляя результаты термического анализа и РФА, можно отметить, что образование PrMgAl11O19 происходит без какого-либо выигрыша в энергии. Более того, при отжиге прекурсора, полученного методом осаждения, образование фазы гексаалюмината совпадает по температуре с эндоэффектом на кривой ДСК. Для объяснения фазовых превращений, наблюдаемых при получении гексаалюмината празеодима-магния, была проведена оценка энергии Гиббса реакций образования PrMgAl11O19 из оксидов:
MgO + 0.5Pr2O3 + 5.5Al2O3 = PrMgAl11O19, (1)
2MgO + 0.5Pr2O3 + 6.5Al2O3 =
=PrMgAl11O19 + MgAl2O4, (2)
MgO + Pr2O3 + 6Al2O3 =
= PrMgAl11O19 + PrAlO3, (3)
MgO + Pr2O3 + 2 Al2O3 =
= 2PrAlO3 + MgAl2O4. (4)
Для расчета использовали энтальпии образования и температурные зависимости термодинамических функций из работ [28, 29]. Для алюмината празеодима PrAlO3 значение энтальпии образования было заимствовано из работы [30]. Энтропия S° (298.15 K) была рассчитана по данным низкотемпературной теплоемкости [31] с учетом двух структурных переходов при 151 и 212 K и составила 112.71 Дж/(моль K). Температурные зависимости термодинамических функций в области 298–2000 K были рассчитаны по правилу аддитивности. Для оценки стандартной энтальпии образования PrMgAl11O19 из простых веществ использовали метод атомных сумм, успешно примененный автором [32] для оценки термодинамических функций цеолитов. Рассчитанное значение ΔfH°(298.15 K) составило –10638.9 кДж/моль. Термодинамические функции PrMgAl11O19 в широком интервале температур были взяты из работы [33].
Расчеты показали, что наиболее предпочтительной в данной системе являются реакции образования перовскита PrAlO3 и шпинели MgAl2O4. Образование гексаалюмината празеодима-магния из оксидов термодинамически возможно лишь при температурах ниже 1000 K (727°С), где ограничения накладывает кинетический фактор. При этом совместное образование PrMgAl11O19 и какой-либо примесной фазы (шпинели или перовскита) значительно увеличивает температурный интервал возможного протекания реакций. Энергия Гиббса всех реакций образования PrMgAl11O19 увеличивается с ростом температуры и при >2000 K становится положительной (рис. 7), из чего следует, что выше этой температуры с большей вероятностью будут протекать реакции разложения.
Рис. 7. Температурные зависимости энергии Гиббса реакций образования PrMgAl11O19. 1–4 – номера реакций (см. в тексте).
Термодинамическая оценка энергии Гиббса реакций образования PrMgAl11O19 подтверждает экспериментальные данные, полученные в ходе исследования. По результатам термического анализа, процесс образования гексаалюминатов РЗЭ-магния протекает без выделения тепла (рис. 1) [23] и возможен только при подводе дополнительной энергии извне, будь то энергия, выделяемая в результате экзотермического фазового перехода метастабильных фаз оксида алюминия в a-Al2O3, либо энергия, выделяемая при разложении цитратных комплексов. Предпочтительным оказывается получение PrMgAl11O19 путем разложения прекурсора, полученного золь-гель методом синтеза, поскольку в результате цитратного горения, которое происходит при более низких температурах, выделяется большее количество энергии по сравнению с энтальпией фазового перехода в оксиде алюминия.
ЗАКЛЮЧЕНИЕ
Статья посвящена сравнению двух растворных методов получения гексаалюмината празеодима-магния PrMgAl11O19 с целью установления оптимальных параметров синтеза однофазных образцов со структурой магнетоплюмбита.
Термический анализ прекурсоров показал, что синтез PrMgAl11O19 методом осаждения идет через образование промежуточных фаз – магниевой шпинели (MgAl2O4) и алюмината празеодима (PrAlO3) со структурой перовскита. Образование целевого продукта происходит через их взаимодействие при температурах выше 1200°C, в то время как золь-гель метод синтеза позволяет получить аморфный PrMgAl11O19 с минимальным содержанием примесей в процессе цитратного горения.
Термодинамические расчеты подтвердили разложение PrMgAl11O19 выше 1700°C и показали, что, с одной стороны, следует стремиться к максимальному снижению температуры синтеза, а с другой – для инициализации взаимодействия необходимо обеспечить подвод дополнительной энергии извне. Наиболее перспективными в этом плане будут методы синтеза, предполагающие реакцию горения на первой стадии.
В настоящей работе гексаалюминат празеодима-магния PrMgAl11O19 был получен методом цитратного золь-гель синтеза с последующим отжигом при температуре 1600°C. Полученный образец имеет структуру магнетоплюмбита (пр. гр. P63/mmc) с параметрами кристаллической ячейки a = 5.5874, c = 21.8911 Å.
ФИНАНСИРОВАНИЕ РАБОТЫ
Работа выполнена при финансовой поддержке Российского научного фонда (грант № 23-13-00051).
БЛАГОДАРНОСТЬ
Исследования проводили с использованием оборудования ЦКП ФМИ ИОНХ РАН.
КОНФЛИКТ ИНТЕРЕСОВ
Авторы заявляют, что у них нет конфликта интересов.
About the authors
М. А. Ryumin
Kurnakov Institute of General and Inorganic Chemistry of RAS
Email: gagarin@igic.ras.ru
Russian Federation, Moscow, 119991
G. Е. Nikiforova
Kurnakov Institute of General and Inorganic Chemistry of RAS
Email: gagarin@igic.ras.ru
Russian Federation, Moscow, 119991
P. G. Gagarin
Kurnakov Institute of General and Inorganic Chemistry of RAS
Author for correspondence.
Email: gagarin@igic.ras.ru
Russian Federation, Moscow, 119991
O. N. Kondrat’eva
Kurnakov Institute of General and Inorganic Chemistry of RAS
Email: gagarin@igic.ras.ru
Russian Federation, Moscow, 119991
K. S. Gavrcihev
Kurnakov Institute of General and Inorganic Chemistry of RAS
Email: gagarin@igic.ras.ru
Russian Federation, Moscow, 119991
References
- Padture N.P., Gell M., Jordan E.H. // Science. 2002. V. 296. № 5566. P. 280. https://doi.org/10.1126/science.1068609
- Xueqiang C.A.O. // J. Mater. Sci. Technol. 2007. V. 23. № 1. P. 15. https://www.jmst.org/EN/Y2007/V23/I01/15
- Clarke D.R., Phillpot S.R. // Mater. Today. 2005. V. 8. № 6. P. 22. https://doi.org/10.1016/S1369-7021(05)70934-2
- Gleeson B. // J. Propulsion Power. 2006 V. 22. № 23. P. 75. https://doi.org/10.2514/1.20734
- Seraffon M., Simms N.J., Sumner J. et al. // Surf. Coat. Technol. 2011. V. 206. № 7. P. 1529. https://doi.org/10.1016/j.surfcoat.2011.06.023
- Vassen R., Cao X., Tietz F. et al. // J. Am. Ceram. Soc. 2000. V. 83. № 8. P. 2023. https://doi.org/10.1111/j.1151-2916.2000.tb01506.x
- Drexler J.M., Gledhill A.D., Shinoda K. et al. // Adv. Mater. 2011. V. 23. № 21. P. 2419. https://doi.org/10.1002/adma.201004783
- Ma W., Mack D.E., Vaßen R. et al. // J. Am. Ceram. Soc. 2008. V. 91. № 8. P. 2630. https://doi.org/10.1111/j.1551-2916.2008.02472.x
- Bansal N.P., Zhu D.M. // Surf. Coat. Technol. 2008. V. 202. № 12. P. 2698. https://doi.org/10.1016/j.surfcoat.2007.09.048
- Choi S.R., Bansal N.P., Zhu D.M. // Ceram. Eng. Sci. Proc. 2005. V. 26. P. 11. https://doi.org/10.1002/9780470291238.ch2
- Haoran L., Chang-An W., Chenguang Zh. et al. // J. Eur. Ceram. Soc. 2015. V. 35. № 4. P. 1297. https://doi.org/10.1016/j.jeurceramsoc.2014.10.030
- Li X., Deng Z., Zhao H. et al. // Surf. Coat. Technol. 2022. V. 440. P. 128490. https://doi.org/10.1016/j.surfcoat.2022.128490
- Wang Y.H., Ouyang J.H., Liu Z.G. // J. Alloys Compd. 2009. V. 485. P. 734. https://doi.org/10.1016/j.jallcom.2009.06.068
- Chen X., Sun Y., Hu J. et al. // J. Eur. Ceram. Soc. 2020. V. 40. № 4. P. 1424. https://doi.org/10.1016/j.jeurceramsoc.2019.12.039
- Min X., Fang M., Huang Z. et al. // Mater. Lett. 2014. V. 125. P. 140. https://doi.org/10.1016/j.matlet.2014.03.171
- Min X., Fang M., Huang Z. et al. // J. Am. Ceram. Soc. 2015. V. 98. № 3. P. 788. https://doi.org/10.1111/jace.13346
- Tian M., Wang X.D., Zhang T. // Catal. Sci. Technol. 2016. V. 6. № 7. P. 1984. https://doi.org/10.1039/C5CY02077H
- Sun J., Wang J., Hui Y. et al. // Ceram. Int. 2020. V. 46. № 4. P. 4174. https://doi.org/10.1016/j.ceramint.2019.10.135
- Wang Y.H., Ouyang J.H., Liu Z.G. // Mater. Design. 2010. V. 31. № 7. P. 3353. https://doi.org/10.1016/j.matdes.2010.01.058
- Wang C.A., Lu H., Huang Z. et al. // J. Am. Ceram. Soc. 2018. V. 101. № 3. P. 1095. https://doi.org/10.1111/jace.15285
- Bhattacharya I.N., Das S.C., Mukherjee P.S. et al. // Scand. J. Metall. 2004. V. 33. № 4. P. 211. https://doi.org/10.1111/j.1600-0692.2004.00686.x
- Sokovnin S.Y., Il’ves V.G. // Nanotechnologies Russ. 2013. V. 8. № 3. P. 220. https://doi.org/10.1134/S1995078013020171
- Gagarin P.G., Guskov A.V., Guskov V.N. // Russ. J. Inorg. Chem. 2023. V. 68. № 11. P. 1599. https://doi.org/10.31857/S0044457X23601062 [Гагарин П.Г., Гуськов А.В., Гуськов В.Н. и др. // Журн. неорган. химии. 2023. Т. 68. № 11. С. 1607.]
- Kahn A., Lejus A.M., Madsac M. et al. // J. Appl. Phys. 1981. V. 52. № 11. P. 6864. https://doi.org/10.1063/1.328680
- Ma Z., Zheng S., Chen Y. et al. // Phys. Rev. B. 2024. V. 109. № 16. P. 165143. https://doi.org/10.1103/physrevb.109.165143
- Cao Y., Bu H., Fu Z. et al. // Mater. Futures. 2024. V. 3. № 3. P. 035201. https://doi.org/10.1088/2752-5724/ad4a93
- Zhu R.X., Liu Z.G., Ouyang J.H. et al. // Ceram. Int. 2013. V. 39. № 8. P. 8841. https://doi.org/10.1016/j.ceramint.2013.04.073
- Robie R.A., Hemingway B.S., Fisher J.R. // US Geol. Surv. Bull. 1978. № 1452. P. 364. https://doi.org/10.1021/cm201964r
- Gruber J.B., Justice B.H., Westrum Jr E.F. et al. // J. Chem. Thermodyn. 2002. V. 34. № 4. P. 457. https://doi.org/10.1006/jcht.2001.0860
- Zhang Y., Navrotsky A. // J. Non-Cryst. Solids. 2004. V. 341. P. 141. https://doi.org/10.1016/j.jnoncrysol.2004.04.027.
- Tachibana M., Fritsch K., Gaulin B.D. // Phys. Rev. B: Condens. Matter Mater. Phys. 2014. V. 89. № 17. P. 174106. https://doi.org/10.1103/PhysRevB.89.174106.
- Glasser L. // Chem. Thermodyn. Therm. Anal. 2022. V. 7. P. 100069. https://doi.org/10.1016/j.ctta.2022.100069
- Gagarin P.G., Guskov A.V., Guskov V.N. et al. // Russ. J. Inorg. Chem. 2024. Т. 69. № 10. P. 1532. https://10.1134/S0036023624602186 [Гагарин П.Г., Гуськов А.В., Гуськов В.Н. и др. // Журн. неорган. химии. 2024. Т. 69. № 10. С. 1424. https://doi.org/10.31857/S0044457X24100081 ]
Supplementary files









