Isotopic effect in the ir spectra of highly enriched amorphous silicon dioxide ASiO2 (A – 28, 29, 30)
- Authors: Shumovskaya K.F.1, Komshina М.E.1,2, Sukhanov M.V.1, Plekhovich S.D.2, Plekhovich A.D.1, Otopkova P.A.1, Troshin O.Y.1,2
-
Affiliations:
- G.G. Devyatykh Institute of Chemistry of High Purity Substances RAS
- Lobachevsky State University (National Research University)
- Issue: Vol 69, No 9 (2024)
- Pages: 1233-1244
- Section: СИНТЕЗ И СВОЙСТВА НЕОРГАНИЧЕСКИХ СОЕДИНЕНИЙ
- URL: https://ogarev-online.ru/0044-457X/article/view/280338
- DOI: https://doi.org/10.31857/S0044457X24090038
- EDN: https://elibrary.ru/JTBCNQ
- ID: 280338
Cite item
Full Text
Abstract
Amorphous silicon dioxide samples were obtained from silicon of natural isotopic composition, highly enriched silicon–28, –29, –30 with enrichment degrees from 99.29 ± 0.01 to 99.9980 ± 0.0010 at. %, and a mixture of silicon–28 and silicon–30. The samples were characterized by IR spectroscopy. The IR spectra of the samples show a shift of the known absorption bands of valence and strain vibrations for silicon–29 and Si–30 isotopes by 0.1–30.1 cm–1 to the low–frequency region concerning silicon–28. In silicon dioxide, a mixture of silicon–28, –30 isotopes, and natural isotopic composition, a deviation from the linear dependence of the frequency of vibration of monoisotopic patterns is observed. The positions of absorption band maxima in the model IR spectrum of silicon dioxide were calculated by the DFT method. The obtained results correlate with the experimental data with high accuracy. The values of the reduced mass and force constant of vibrating groups of atoms in silicon dioxide are determined, and the influence of these factors on the isotopic shift in the IR spectrum of silicon dioxide depending on the type of vibrations is established.
Keywords
Full Text
Введение
Материалы на основе диоксида кремния находят широкое применение при производстве стекол, керамик и конструкционных материалов, носителей катализаторов, в системах связи, микроэлектронике, оптике, машиностроении, фармакологии. В настоящее время наблюдается рост интереса к изучению изотопных разновидностей простых и сложных веществ, что делает актуальной задачу получения и изучения свойств стеклообразного и кристаллического диоксида кремния с высокой изотопной чистотой кремния и кислорода [1–8].
Фундаментальная и прикладная значимость работы в области изотопно-обогащенных соединений кремния состоит в получении моноизотопных химических веществ и смесей различного изотопного состава и установлении их свойств. Работа будет способствовать поиску потенциальных областей применения и созданию перспективных функциональных материалов и устройств на основе соединений кремния с изотопно-измененным составом, а также достижению нового уровня понимания закономерностей, определяющих влияние изотопного состава веществ на физико-химические свойства. Авторами [9] получены преформа и кварцевый световод с сердцевиной из изотопно-обогащенного 28SiO2 и определен уровень оптических и радиационно-наведенных потерь. При сопоставлении свойств световодов на основе диоксида кремния-28 и диоксида кремния естественного изотопного состава значимых изменений не обнаружено. Особое внимание уделяется оптическим свойствам изотопно-обогащенного кварцевого стекла. Согласно расчетным данным [3, 4], отличие значений показателя преломления стеклообразных 30Si18O2 и 28Si16O2 составляет 1.5 × 10–3. В работах [10–13] теоретически и практически показана связь оптических свойств изотопно-обогащенных веществ с изменением массового числа изотопа. Например, показатель преломления уменьшается вследствие уменьшения нулевой энергии атомных колебаний.
В работах [14, 15] охарактеризованы ИК-спектры кристаллического 30SiO2 (с обогащением по кремнию-30 96.5%) и natSiO2, в которых на длине волны 780 см–1 наблюдается смещение полос поглощения в коротковолновую область относительно кварца с изотопным обогащением по 28Si (обогащение по кремнию 99.8%) на 19 и 1 см–1 соответственно. Максимум при νas = 1160 см–1 в кварце с изотопным обогащением по 30Si смещен в коротковолновую область на 7–12 см–1 по сравнению с кварцем природного изотопного состава. Также для порошкообразного кварца с обогащением по 30Si по сравнению с образцом природного изотопного состава наблюдается смещение полосы поглощения при 780 см–1 в спектрах пропускания на 21 см–1 в коротковолновую область [7]. Такое смещение полос в ИК-спектрах, согласно [7, 14, 15, 16, 17], обусловлено изотопным обогащением по кремнию.
В работе [18] представлены данные о получении пленок диоксида кремния с изотопным обогащением по кислороду методом химического осаждения из паровой фазы с использованием 16О2 и 18О2. В спектрах поглощения наблюдается смещение полос поглощения на 9–77 см–1 в коротковолновую область при замещении 16O2 на 18O2.
Следует отметить отсутствие систематизированной информации о влиянии изотопного состава кремния и кислорода на оптические свойства. Целью данной работы является получение и ИК-спектроскопическое исследование аморфных образцов диоксида кремния на основе кремния природного изотопного состава, высокообогащенного кремния-28, кремния-29, кремния-30 и эквимолярной смеси кремния-28 и кремния-30 для выявления изотопных эффектов.
Экспериментальная часть
В качестве исходных изотопно-обогащенных соединений кремния использовали образцы кремния, полученные в ИХВВ РАН гидридным методом, прекурсором являлся обогащенный тетрафторид кремния (АО “ПО ЭХЗ”, Зеленогорск). Получение аморфного диоксида кремния различного изотопного состава проводили по реакциям (1)–(3) [19–21]. Для этого навеску 80–300 мг кремния растворяли в смеси концентрированных азотной и плавиковой кислот (1 : 1.5). Затем осаждали гидрат диоксида кремния добавлением 25%-ного раствора аммиака до pH раствора 10. Полученный гель пятикратно промывали деионизированной водой для удаления ионов фтора, азотной кислоты и аммония. Для отделения геля от раствора фторида и нитрата аммония использовали центрифугу. Полученный промытый осадок переносили в кварцевые тигли, сушили при 90, 200 и 400°С и прокаливали при 700°С в течение 4 ч. Выход продукта составил 90%.
Si + 6HF + 4HNO3 → H2SiF6 + 4NO2 + 4H2O, (1)
H2SiF6 + 2NH4OH → (NH4)2SiF6 + 2H2O, (2)
(NH4)2SiF6 + 4NH4OH + nH2O → 6NH4F + + SiO2 + (n + 2)H2O. (3)
Изотопный состав кремния и полученных из него образцов диоксида кремния различного изотопного состава определяли методом масс-спектрометрии (масс-спектрометр высокого разрешения с индуктивно связанной плазмой ELEMENT 2 Thermo Scientific) [22].
Рентгенограммы образцов записывали на дифрактометре Tongda TD-3700, CuKα-излучение (геометрия съемки на отражение) с шагом сканирования 0.02° в интервале 2θ 10°–60°.
Термический анализ проводили в неизотермических условиях на синхронном термоанализаторе Netzsch STA 409 PC Luxx (Германия) с использованием платиновых тиглей при скорости нагрева от 10 до 15 град/мин в потоке очищенного аргона с суммарным расходом 80 мл/мин.
ИК-спектры образцов записывали на ИК-Фурье-спектрометре Tensor 27 (Bruker) в области 330–7000 см–1 с разрешением 1 см–1. Образцы для спектроскопии готовили нанесением суспензии диоксида кремния в изопропиловом спирте на подложку из бромида калия. Толщину слоя контролировали по пропусканию полученных образцов. Для обработки выбраны ИК-спектры с пропусканием 50–60% и значением логарифма от обратной величины коэффициента пропускания 0.3–0.22. Поиск зависимостей частоты колебаний от изотопного состава образца проведен в гармоническом приближении по формуле:
, (4)
где ν – частота колебаний, k – силовая постоянная связи, µ = m(Si) m(O)/[m(Si) + m(O)] – приведенная масса, m(Si), m(O) – масса соответствующих изотопов.
Квантово-химические расчеты проводили на компьютерах Ryzen 9 (3900x, 5900x, 5950x/RAM128 Db) с помощью программы Gaussian03 (лицензия). Расчетным методом DFT/uB3LYP/6–311g++G(3d2f,3p2d) оптимизирована структура фрагментов молекул диоксида кремния различного изотопного состава и рассчитаны ИК-спектры каждого из них. Выбор метода основан на точности расчета необходимого числа атомов и достаточного количества вычислительной мощности, подбор функционала и базиса расчета – на аналогичных рассуждениях и сопоставлении результатов расчетов с экспериментальными данными.
Результаты и обсуждение
Идентификация образцов
Изотопный состав исходного кремния и полученных из него образцов диоксида кремния различного изотопного состава представлен в табл. 1.
Таблица 1. Изотопный состав исходного кремния и полученного из него диоксида кремния по данным масс-спектрометрии
Образец | Содержание изотопа кремния, ат. % | ||
28Si | 29Si | 30Si | |
28Si | 99.9980 ± 0.0010 | 0.0018 ± 0.0002 | 0.0002 ± 0.0001 |
29Si | 0.12 ± 0.01 | 99.34 ± 0.01 | 0.54 ± 0.01 |
30Si | 0.015 ± 0.001 | 0.039 ± 0.001 | 99.946 ± 0.02 |
28SiO2 | 99.9956 ± 0.0010 | 0.0032 ± 0.0003 | 0.0012 ± 0.0002 |
29SiO2 | 0.15 ± 0.01 | 99.29 ± 0.01 | 0.56 ± 0.01 |
30SiO2 | 0.033 ± 0.001 | 0.041 ± 0.001 | 99.926 ± 0.002 |
28Si0.530Si0.5O2 | 41.11 ± 0.22 | 0.03 ± 0.01 | 58.86 ± 0.22 |
При сопоставлении результатов определения содержания изотопов кремния в простых изотопно-обогащенных веществах и полученных из них образцах диоксида кремния можно сделать вывод о наличии незначительного изотопного разбавления кремния на стадии синтеза диоксида кремния.
На рис. 1 приведены рентгенограммы аморфного диоксида кремния различного изотопного состава. На рентгенограммах отсутствуют рефлексы отражения кристаллической фазы SiO2, что указывает на рентгеноаморфность полученных образцов. Предел обнаружения составил 2 об. %.
Рис. 1. Рентгенограмма аморфного диоксида кремния различного изотопного состава
На рис. 2 представлена термограмма аморфного диоксида кремния природного изотопного состава. Методом дифференциальной сканирующей калориметрии пики, связанные с процессами кристаллизации, в интервале температур 250–1200°C не обнаружены. В интервале от 25 до 250°C наблюдается убыль массы, отвечающая удалению воды и других исходных компонентов (ионов фтора, азотной кислоты и аммония) из образца, при этом на ДСК-кривой присутствуют соответствующие пики.
Рис. 2. Термограмма аморфного диоксида кремния природного изотопного состава
Спектральное исследование образцов
Количество и положение полос пропускания в ИК-спектрах полученных образцов диоксида кремния, приведенных на рис. 3, соответствуют литературным данным [23]. Полосы пропускания в области 1300–950 см–1 относятся к валентным асимметричным колебаниям связей O–Si–О. К валентным симметричным колебаниям связей Si–O–Si относятся полосы в области 900–700 см–1. Ниже 700 см–1 проявляются полосы деформационных колебаний Si–O–Si. После вычитания фона и нормирования полученных спектров (рис. 4) в области валентных колебаний 1360–630 см–1 разложением по Гауссу выделено пять максимумов (рис. 5). Разложение спектра поглощения приведено на примере 28SiO2.
Рис. 3. ИК-спектры аморфного диоксида кремния различного изотопного состава
Рис. 4. Нормированные ИК-спектры аморфного изотопно-обогащенного диоксида кремния и диоксида кремния природного изотопного состава
Рис. 5. Разложение спектров поглощения полученного диоксида кремния по Гауссу на примере 28SiО2
Разложением по Гауссу определено положение полос в ИК-спектрах аморфного диоксида кремния различного изотопного состава (табл. 2). Для каждого образца наблюдается смещение полос в низкочастотную область относительно диоксида кремния-28. Полосы в области 807.7–786.9 см–1 с наибольшим смещением изотопов кремния-29, кремния-30, смеси кремния-28 и кремния-30, природного изотопного состава в диоксиде кремния относительно кремния-28 соответствуют валентным симметричным колебаниям. Полосы поглощения при 930 см–1 относятся к ОН-группам [24]. В области 1000–1250 см–1 присутствуют полосы при 1082.0, 1190.6 и 1233.0 см–1, отвечающие валентным асимметричным колебаниям связей.
Таблица 2. Измеренное положение полос в ИК-спектрах аморфного диоксида кремния различного изотопного состава
νэксп., см–1 | ||||
28SiO2 | natSiO2 | 29SiO2 | 28Si0.530Si0.5O2 | 30SiO2 |
807.7 | 807.6 | 796.6 | 797.1 | 786.9 |
937.7 | 936.8 | 925.3 | 926.8 | 929.9 |
1082.0 | 1082.6 | 1079.3 | 1075.2 | 1080.3 |
1190.6 | 1191.2 | 1196.8 | 1182.9 | 1160.5 |
1233.0 | 1232.5 | 1234.3 | 1226.7 | 1206.5 |
Расчетным методом DFT/uB3LYP/6–311g++G(3d2f,3p2d) оптимизированы структурные фрагменты диоксида кремния, колебания которых соответствуют полосам поглощения в наблюдаемых ИК-спектрах (рис. 6).
Рис. 6. Структурные единицы SiO2, оптимизированные методом DFT/uB3LYP/6–311g++G(3d2f,3p2d)
Предварительные расчеты проводили на примере системы, состоящей из 50 атомов (рис. 7). С помощью различных функционалов и базисных наборов рассмотрены колебательные моды, проявляющиеся в предполагаемой структуре.
Рис. 7. Фрагмент молекулы SiO2, оптимизированный при помощи полученных структурных единиц методом DFT/uB3LYP/6–311g++G(3d2f,3p2d)
На примере фрагмента молекулы SiO2 (рис. 7) установлено, что для расчета колебаний достаточной является связка метода DFT с функционалом и базисным набором rwB97XD/6–311++G(3d2f,3p2d), поскольку она обладает достаточно хорошей сходимостью с экспериментальными значениями. При сопоставлении экспериментального и рассчитанного ИК-спектров обнаружено, что необходимо повысить интенсивность колебаний отдельных групп. Это можно сделать путем добавления фрагментов, но при добавлении фрагментов и приближении общего числа атомов к 100 единицам оптимизация структуры и расчет ИК-спектра становятся невозможными в связи с ограничениями, вызванными методом SCF (метод самосогласованного поля), который выполняется в методе DFT при оптимизации структуры. Поэтому было принято решение выполнить оптимизацию геометрии с использованием метода DFT/rwB97XD/6–311++G(3d2f,3p2d), а расчет ИК-спектра – с применением метода DFT/rwB97XD/lanl2d.
С помощью полученных структурных единиц (рис. 6) оптимизировали фрагмент молекулы SiO2, состоящий из 100 атомов кремния и кислорода, геометрия которого представлена на рис. 8, а также получили модели ИК-спектров изотопно-обогащенного диоксида кремния 28SiO2, 29SiO2, 30SiO2, эквимолярной смеси кремния-28 и кремния-30 (рис. 9).
Рис. 8. Фрагмент молекулы SiO2, оптимизированный при помощи полученных структурных единиц методом DFT/uB3LYP/6–311g++G(3d2f,3p2d)
Рис. 9. Расчетные ИК-спектры аморфного диоксида кремния различного изотопного состава, полученные методом DFT/uB3LYP/6–311g++G(3d2f,3p2d). Scale factor – 0.91, FWHM = 12 cм–1
При расчете методом DFT/rwB97XD/lanl2d положений полос в ИК-спектрах диоксида кремния, содержащего изотопы 28Si, 29Si и 30Si, на рис. 9 выделено пять основных волновых чисел, значения которых с высокой точностью коррелируют с экспериментальными данными, представленными в табл. 3. Следует отметить, что расчет волновых чисел основан на определении изменения потенциальной энергии атомов вдоль двух координат [25]. В соответствии с рассчитанной моделью SiO2 (рис. 8) на рис. 10 векторами показаны смещения атомов пяти основных колебаний. Колебание с волновым числом ν = 806.17 см–1 является валентным симметричным, поскольку наблюдается симметричное движение атомов кремния по связи Si–O–Si, что соответствует данным [23]. Волновое число ν = 937.76 см–1 в построенной модели определяется валентным симметричным колебанием. Данное волновое число проявляется только в одной группе (рис. 10б), не связанной с соседними атомами, что в реальной системе маловероятно. Следует отметить, что в [24] это колебание относят к деформационным колебаниям δSiOH, а в построенной нами модели отсутствуют какие-либо связи с водородом. Значения ν = 1081.24, 1190.98 и 1232.45 см–1 относятся к валентным асимметричным колебаниям, что совпадает с данными [23, 24].
Рис. 10. Векторное обозначение колебаний атомов диоксида кремния, определенное методом DFT/rwb97xd/lanl2d
Таблица 3. Смещение максимумов полос поглощения в ИК-спектрах аморфного диоксида кремния различного изотопного состава относительно 28SiO2
Δνэксп., см–1 | Смещение максимумов полос поглощения | ||||
28SiO2 | natSiO2 | 29SiO2 | 28Si0.530Si0.5O2 | 30SiO2 | |
807.7 | 0.0 | –0.1 | –11.1 | –10.6 | –20.8 |
1082.0 | 0.0 | 0.5 | –2.8 | –6.8 | –1.7 |
1190.6 | 0.0 | 0.6 | 6.2 | –7.8 | –30.1 |
1233.0 | 0.0 | –0.5 | 1.3 | –6.3 | –26.5 |
Таблица 4. Смещение максимумов полос поглощения в ИК-спектрах аморфного диоксида кремния различного изотопного состава относительно 28SiO2, предсказанное теоретически из соотношения приведенных масс
Δνэксп., см–1 | Смещение максимумов полос поглощения | ||||
28SiO2 | natSiO2 | 29SiO2 | 28Si0.530Si0.5O2 | 30SiO2 | |
807.7 | 0.0 | –0.6 | –5.1 | –5.9 | –9.8 |
1082.0 | 0,0 | –0.8 | –6.8 | –8.0 | –13.2 |
1190.6 | 0.0 | –0.8 | –7.5 | –8.8 | –14.5 |
1233.0 | 0.0 | –0.9 | –7.8 | –9.1 | –15.0 |
Таблица 5. Смещение максимумов полос поглощения в ИК-спектрах аморфного диоксида кремния различного изотопного состава относительно 28SiO2, полученное методом DFT/rw97xd/lanl2dz
Δνэксп., см–1 | Смещение максимумов полос поглощения | ||||
28SiO2 | natSiO2 | 29SiO2 | 28Si0.530Si0.5O2 | 30SiO2 | |
806.17 | 0.00 | –0.88 | –11.32 | –13.83 | –22.07 |
1081.24 | 0.00 | –0.24 | –3.64 | –3.39 | –6.07 |
1190.98 | 0.00 | –0.83 | –8.57 | –11.28 | –16.49 |
1232.45 | 0.00 | –0.13 | –9.77 | –16.05 | –18.9 |
В табл. 3–5 представлены величины смещений полос поглощения экспериментальных данных, теоретически предсказанных из соотношения приведенных масс и рассчитанных методом DFT/rw97xd/lanl2dz. Для всех волновых чисел, в зависимости от изотопного состава, наблюдаются отклонения разной степени. Можно выделить полосы с наблюдаемым слабым смещением для образцов диоксида кремния относительно 28SiO2, которые соответствуют теоретически предсказанным и расчетным данным. Также наблюдаются полосы, демонстрирующие значительное отклонение для изотопов кремния-29, кремния-30, эквимолярной смеси кремния-28 и кремния-30, природного изотопного состава в диоксиде кремния относительно кремния-28. Смещения в таких полосах отличаются в два раза по сравнению с теоретически предсказанными данными. Например, для νas = 1082.0 см–1 отклонение при переходе от 28Si к 30Si составляет всего 1.7 см–1, а для значений νs = 807.7 – 20.8 см–1.
На рис. 11 приведены зависимости частот валентных симметричных колебаний, полученных из экспериментальных данных, предсказанных теоретически и рассчитанных методом DFT, от обратной величины приведенной массы 1/√(µ) образцов диоксида кремния. При сопоставлении полос поглощения наблюдается совпадение угла наклона с незначительным смещением прямой, рассчитанной методом DFT, относительно экспериментальных данных. В случае предсказательных расчетов, полученных из соотношения приведенных масс, наблюдается значительное отклонение угла наклона от экспериментальных данных. В результате можно сделать вывод о высокой степени соответствия экспериментальных данных и рассчитанных методом DFT.
Рис. 11. Зависимости частот валентных симметричных колебаний, полученных из экспериментальных данных, предсказанных теоретически и рассчитанных методом DFT, от обратной величины приведенной массы диоксида кремния различного изотопного состава
В табл. 6 представлены значения силовой постоянной и приведенной массы для колеблющихся групп атомов в аморфном диоксиде кремния различного изотопного состава, определенные методом DFT/rwb97xd/lanl2d в соответствии с табл. 5 и рис. 10. Отдельного внимания заслуживает расчет приведенной массы в программе Gaussian, основным отличием которого является учет движения вдоль координат массы группы атомов, находящихся в молекуле. Таким образом, значение приведенной массы, определенное методом DFT, будет отличаться от рассчитанного классическим методом: µ = m(Si) m(O)/[m(Si) + m(O)]. По данным [26], значение силовой постоянной для изотопов будет отличаться друг от друга, так как при расчете силовой постоянной учитывается волновое число и приведенная масса.
Таблица 6. Изменения волнового числа, силовой постоянной и приведенной массы аморфного диоксида кремния-29, кремния-30 по сравнению с 28SiО2, полученные методом DFT/rw97xd/lanl2dz
28SiО2 | 29SiО2 | 30SiО2 | ||||||
ν, см–1 | k, мдин/Å | µ | ν, см–1 | k, мдин/Å | µ | ν, см–1 | k, мдин/Å | µ |
806.17 | 9.35 | 24.41 | –11.32 | –0.03 | 0.61 | –22.07 | –0.08 | 1.16 |
1081.24 | 12.05 | 17.49 | –2.7 | –0.39 | –0.48 | –5.08 | –0.44 | –0.48 |
1190.98 | 16.29 | 19.49 | –8.57 | –0.21 | 0.04 | –16.49 | –0.40 | 0.06 |
1232.45 | 17.82 | 19.91 | –9.77 | –0.20 | 0.1 | –18.90 | –0.39 | 0.18 |
По данным табл. 6 прослеживается незначительное изменение силовой постоянной от –0.03 до –0.44 мдин/Å для рассчитанных волновых чисел. Однако на примере 28SiО2 меньшие значения силовых постоянных соответствуют валентным симметричным колебаниям νs = 806.17 см–1 (9.35 мдин/Å), а бóльшие – валентным асимметричным колебаниям νas = 1081.24 (12.05 мдин/Å), 1190.98 (16.29 мдин/Å) и 1232.45 см–1 (17.82 мдин/Å). Для изотопов 29Si и 30Si в диоксиде кремния тенденция изменения силовых постоянных сохраняется. Силовые постоянные связаны с порядком связи, расстояниями между атомами, энергией связи. При детальном рассмотрении рис. 10 видно, что для νs = 806.17 см–1 порядок связи отличается от νas = 1081.24, 1190.98 и 1232.45 см–1, вероятнее всего, меняется и длина связи в колеблющихся группах. В табл. 7 представлены значения волнового числа и соответствующие ему длина связи и силовая постоянная для аморфного 28SiО2, полученные в программе Gaussian. Прослеживается увеличение длины связи Si–O с уменьшением силовой постоянной, что не противоречит классической механике.
Таблица 7. Значения волнового числа и соответствующие ему длина связи и силовая постоянная аморфного 28SiО2, полученные в программе Gaussian
ν, см–1 | lSi–O, нм | k, мдин/Å |
1232.45 | 1.56 | 17.82 |
1190.98 | 1.57 | 16.29 |
1081.24 | 1.66 | 12.05 |
806.17 | 1.66 | 9.35 |
Согласно табл. 6, для разных значений волновых чисел наблюдаются различные отклонения в зависимости от изотопного состава. Например, для волнового числа νs = 806.17 см–1 отклонение при переходе от 28Si к 30Si составляет 22.07 см–1, а для волнового числа νas = 1081.24 см–1 – всего 5.08 см–1. Также можно обнаружить изменение приведенной массы в бóльшую или меньшую сторону (от –0.48 до 1.16) для всех исследуемых колебаний при переходе от 28Si к 30Si в диоксиде кремния. Для волнового числа νs = 806.17 см–1, Δμ = 1.16 характерны перемещения атомов Si по связи O–Si–O. При переходе от 28Si к 30Si общая масса движущихся атомов увеличивается, тем самым увеличивается и приведенная масса. Для νas = 1081.24 см–1, Δμ = –0.48 характерно колебание атомов кислорода по связи O–Si–O (рис. 10), движение атомов Si практически не происходит, что, в свою очередь, подтверждает незначительное изменение Δμ по мере увеличения массы изотопа.
В табл. 8 представлена сводная информация по расчетным методам, использованным в работе, где кратко изложены название метода, назначение и характеристика.
Таблица 8. Теоретические методы, использованные в работе
Набор методов | Назначение | Характеристика |
DFT/uB3LYP/6-311g++G(3d2f,3p2d) | Оптимизация геометрии небольших структурных единиц SiO2: Si2O5, Si3O9, Si4O8, Si5O14, Si6O10, Si14O20, Si16O36 | Набор атомов, длины связей и углы, заряды на атомах, потенциальная энергия |
DFT/rwB97XD/6-311++G(3d2f,3p2d) | Оптимизация геометрии фрагмента SiO2: Si16O36 | Набор атомов, длины связей и углы, потенциальная энергия |
DFT/rwB97XD/6-311++G(3d2f,3p2d) | Оптимизация геометрии фрагментов 28SiO2, 29SiO2, 30SiO2 состава Si39O88 | Набор атомов, длины связей и углы, заряды на атомах, потенциальная энергия |
DFT/rwB97XD/lanl2d | Расчет ИК-спектров фрагментов 28SiO2, 29SiO2, 30SiO2 состава Si39O88 | Волновые числа, интенсивность |
DFT/rw97xd/lanl2dz | Расчет силовых постоянных и приведенной массы | Силовая постоянная, приведенная масса |
Расчеты в гармоническом приближении | Оценка изотопного сдвига | Определено положение полос относительно легкого изотопа с учетом изменения массы |
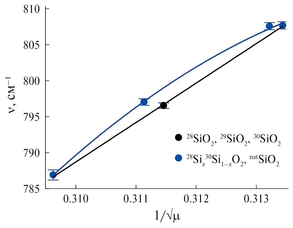
На рис. 12 представлена зависимость частоты валентных симметричных колебаний от обратной величины приведенной массы в образцах диоксида кремния различного изотопного состава. Образцы смеси кремния-28 и кремния-30 в составе диоксида кремния и природного изотопного состава, полученные в данной работе, демонстрируют значительное отклонение от линейной зависимости моноизотопных образцов диоксида кремния. Отклонение свойств веществ со смешанным изотопным составом от линейной зависимости известно в литературе [1, 2, 27]. Отклонения наблюдали в параметрах элементарной ячейки, электропроводности, значениях показателя преломления и КТР. Такие отклонения связаны с взаимодействием компонентов друг с другом [28]. Наблюдаемое в настоящей работе отклонение от линейной зависимости для смесей указывает на ненулевую энтальпию смешивания и неидеальное поведение [29, 30].
Рис. 12. Зависимости частоты валентных симметричных колебаний от обратной величины приведенной массы в образцах моноизотопного диоксида кремния и смеси изотопов
Заключение
Получен аморфный диоксид кремния с естественным и модифицированным изотопным составом natSiО2, 28SiО2, 29SiО2, 30SiО2, 28Si0.530Si0.5О2. В ИК-спектрах образцов выделено пять полос поглощения, в которых для изотопов кремния-29, кремния-30, эквимолярной смеси кремния-28 и кремния-30 и природного изотопного состава в диоксиде кремния наблюдается сдвиг полос поглощения на величину 0.1–30.1 см–1 в низкочастотную область относительно кремния-28. При переходе от 28Si к 30Si можно выделить полосы ν = 1082.0 см–1 с наблюдаемым слабым смещением ∆ν = –1.7 см–1 в образцах диоксида кремния, которые отвечают теоретически предсказанным данным. Наблюдаются полосы с ν = 807.7 см–1, демонстрирующие в два раза большее отклонение ∆ν = –20.8 см–1 от теоретических данных. Результатами данной работы являются ожидаемые смещения частот разных изотопов, что применимо в областях, где необходимо изменить длинноволновой край поглощения, оптическую прозрачность или показатель преломления.
Расчетным методом DFT определены значения волновых чисел и соответствующих им силовых постоянных и приведенной массы. При переходе от 28Si к 30Si наблюдаются разные отклонения для волновых чисел, т.е. для νs = 806.17 см–1 отклонение составляет 22.07 см–1, а для νas = 1081.24 см–1 – всего 5.08 см–1. Для всех исследуемых колебаний при переходе от 28Si к 30Si в диоксиде кремния происходит изменение приведенной массы и силовой постоянной в зависимости от типа колебания. Валентным симметричным колебаниям соответствуют большие значения приведенной массы и меньшие значения силовых постоянных. Для валентных асимметричных колебаний прослеживается обратная зависимость.
Смеси изотопов не являются идеальными растворами, для них характерно отклонение некоторых свойств от линейной зависимости моноизотопных образцов. Частным случаем данного явления является частота колебаний с параболическим отклонением.
Финансирование работы
Работа выполнена по Программе НИР государственного задания FFSR-2022-0003.
Конфликт интересов
Авторы заявляют, что у них нет конфликта интересов.
About the authors
K. F. Shumovskaya
G.G. Devyatykh Institute of Chemistry of High Purity Substances RAS
Author for correspondence.
Email: ignatova@ihps-nnov.ru
Russian Federation, 49 Tropinin Street, Nizhny Novgorod, 603951
М. E. Komshina
G.G. Devyatykh Institute of Chemistry of High Purity Substances RAS; Lobachevsky State University (National Research University)
Email: ignatova@ihps-nnov.ru
Russian Federation, 49 Tropinin Street, Nizhny Novgorod, 603951; 23 Gagarin Ave., Nizhny Novgorod, 603022
M. V. Sukhanov
G.G. Devyatykh Institute of Chemistry of High Purity Substances RAS
Email: ignatova@ihps-nnov.ru
Russian Federation, 49 Tropinin Street, Nizhny Novgorod, 603951
S. D. Plekhovich
Lobachevsky State University (National Research University)
Email: ignatova@ihps-nnov.ru
Russian Federation, 23 Gagarin Ave., Nizhny Novgorod, 603022
A. D. Plekhovich
G.G. Devyatykh Institute of Chemistry of High Purity Substances RAS
Email: ignatova@ihps-nnov.ru
Russian Federation, 49 Tropinin Street, Nizhny Novgorod, 603951
P. A. Otopkova
G.G. Devyatykh Institute of Chemistry of High Purity Substances RAS
Email: ignatova@ihps-nnov.ru
Russian Federation, 49 Tropinin Street, Nizhny Novgorod, 603951
O. Yu. Troshin
G.G. Devyatykh Institute of Chemistry of High Purity Substances RAS; Lobachevsky State University (National Research University)
Email: ignatova@ihps-nnov.ru
Russian Federation, 49 Tropinin Street, Nizhny Novgorod, 603951; 23 Gagarin Ave., Nizhny Novgorod, 603022
References
- Рабинович И.Б. Влияние изотопии на физико-химические свойства жидкостей. М.: Наука, 1968. 308 с.
- Андреев Б.М., Арефьев Д.Г., Баранов В.Ю. Изотопы: свойства, получение, применение: монография. М.: Физматлит, 2005. Т. 2. 728 с.
- Плеханов В.Г. // Успехи физ. наук. 2000. Т. 170. № 11. С. 1245.
- Plekhanov V.G. // UFN. 2000. V. 170. № 11. P. 1245. https://doi.org/10.1070/PU2000v043n11ABEH000264
- Berezin A.A. // J. Phys. Chem. Solids. 1989. V. 50. P. 5. https://doi.org/10.1016/0022-3697(89)90465-4
- Bell J.D. Pat. USА № 9014524 // Isotopically Altered Optical Fiber. 2015. № 14/310106. 17 p.
- Allan D.C., Brown J.T., Chacon L.C. et al. Pat. USА № 20050022562 // Isotopically Altered Optical Fiber. 2004. № 10/926717. 21 p.
- Sato R.K., McMillan P.F. // J. Phys. Chem. 1987. V. 91. № 13. P. 3494. https://doi.org/10.1021/j100297a008
- Lazovski G., Wachtel E., Lubomirsky I. // Appl. Phys. Lett. 2012. V. 100. № 262905. P. 1. https://doi.org/10.1063/1.4731287
- Трошин О.Ю., Буланов А.Д., Салганский М.Ю. и др. // Неорган. материалы. 2023. Т. 59. № 6. С. 618.
- Gavva V.А., Bulanov А.D., Kut’in А.М. et al. // Physica B: Condens. Matter. 2018. V. 537. P. 12. http://doi.org/10.1016/j.physb.2018.01.056
- Агекян В.Ф., Аснин В.М., Крюков А.М. и др. // ФТТ. 1989. Т. 31. № 12. С. 101.
- Plotnichenko V.G., Nazaryants V.O., Kryukova E.B. et al. // Appl. Opt. 2011. V. 50. № 23. P. 4633. https://doi.org/10.1364/AO.50.004633
- Плотниченко В.Г., Назарьянц В.О., Крюкова Е.Б. и др. // Квант. электрон. 2010. Т. 40. № 9. С. 753.
- Ogliore R.C., Dwyer C., Krawczynski M.J. et al. // Appl. Spectrosc. 2019. V. 73. № 7. P. 767. https://doi.org/10.1177/0003702819842558
- McMillan P. // Am. Mineral. 1984. V. 69. P. 622.
- Vincent R.K., Hunt G.R. // Appl. Opt. 1968. V. 7. P. 53.
- Stuart B.H. Infrared Spectroscopy: Fundamentals and Applications. Sydney: University of Technology, 2004. 242 p. https://doi.org/10.1002/0470011149
- Han S.M., Aydila E.S. // Appl. Phys. Lett. 1997. V. 70. P. 3269. https://doi.org/10.1063/1.118424
- Суриков В.Т. // Аналитика и контроль. 2008. Т. 12. С. 93.
- Третьяков Ю.Д. Неорганическая химия. М.: Академия, 2004. С. 105.
- Борисов В.А., Ворошилов Ф.А., Дьяченко А.Н. и др. // Известия высших учебных заведений. Физика. 2010. Т. 53. № 11/2. С. 104.
- Отопкова П.А., Потапов А.М., Сучков А.И. и др. // Масс-спектрометрия. 2019. Т. 74. № 13. С. 1349.
- Kopani M., Mikula M., Takahashi M. et al. // Appl. Surf. Sci. 2013. V. 269. P. 106. https://doi.org/10.1016/j.apsusc.2012.09.081
- Паньков В.В., Ивановская М.И., Котиков Д.А. Структура и свойства нанокомпозитов SiO2–Fe2O3. Минск: Химические проблемы создания новых материалов и технологий, 2008. 38 с.
- Joseph W. Vibrational Analysisin Gaussian. 1999. P. 1.
- Князев Д.А., Мясоедов Н.Ф., Бочкарев А.В. // Успехи химии. 1992. Т. 61. № 2. С. 384. https://doi.org/10.1070/RC1992v061n02ABEH000941
- Суханов М.В., Плехович А.Д., Котерева Т.В. и др. // Докл. Акад. наук. 2016. Т. 466. № 3. С. 302.
- Alam’pt M.K., Callls J.B. // Anal. Ckem. 1994. V. 66. P. 2293. https://doi.org/10.1021/ac00086a015
- Jancsó G. // Pure Appl. Chem. 2004. V. 76. № 1. P. 11. https://doi.org/10.1351/pac200476010011
- Петьков В.И., Грудзинская Е.Ю. Изоморфизм. Твердые растворы. Нижний Новгород: Нижегородский гос. ун-т, 2010. 144 с.
Supplementary files














