Влияние метода синтеза на морфологию и функциональные свойства обогащенных литием слоистых оксидов
- Авторы: Медведева А.Е.1, Махонина Е.В.1, Клименко М.М.1, Политов Ю.А.1, Румянцев А.М.2, Коштял Ю.М.2, Головешкин А.С.3, Курлыкин А.А.1
-
Учреждения:
- Институт общей и неорганической химии им. Н.С. Курнакова РАН
- Физико-технический институт им. А.Ф. Иоффе РАН
- Институт элементоорганических соединений им. А.Н. Несмеянова РАН
- Выпуск: Том 69, № 7 (2024)
- Страницы: 986-998
- Раздел: СИНТЕЗ И СВОЙСТВА НЕОРГАНИЧЕСКИХ СОЕДИНЕНИЙ
- URL: https://ogarev-online.ru/0044-457X/article/view/274224
- DOI: https://doi.org/10.31857/S0044457X24070067
- EDN: https://elibrary.ru/XOHNDU
- ID: 274224
Цитировать
Полный текст
Аннотация
Получены обогащенные литием слоистые оксиды Li1.2Ni0.133Mn0.534Co0.133O2 твердофазной реакцией прекурсоров с источником лития и последующим высокотемпературным отжигом. Исследовано влияние метода синтеза прекурсора на функциональные свойства получаемого катодного материала. Прекурсоры синтезированы методом соосаждения (гидроксидный и карбонатный прекурсоры) и сольвотермальным методом (оксалатный и гидроксидные прекурсоры). В процессе синтеза варьировали следующие параметры: осадитель и рН осаждения при использовании метода соосаждения и комбинацию реакционная среда/осадитель в случае сольвотермального метода. Образец, полученный сольвотермальным методом, характеризуется высокими значениями разрядной емкости: 233.2 (0.1С) и 175.3 мАч/г (0.4С) с остаточной разрядной емкостью 94 (50 цикл) и 80.5% (65 цикл) соответственно. Образцы со сравнимыми электрохимическими показателями сходны по морфологии. Эти материалы агломерированы и характеризуются бимодальным распределением с максимумами в областях 14–19 и 55–60 мкм. Подход, учитывающий взаимосвязь морфологии с электрохимическими свойствами, позволит получать электродные материалы для литий-ионного аккумулятора с лучшими электрохимическими характеристиками.
Ключевые слова
Полный текст
ВВЕДЕНИЕ
Использование литий-ионных технологий в последнее десятилетие вышло за рамки применения в портативной технике. Литий-ионные аккумуляторы (ЛИА) являются составной частью современных электромобилей, стационарных источников хранения энергии и других устройств, требующих большой энергоемкости [1–3]. Энергоемкость ЛИА в большей степени определяется характеристиками катода. К наиболее энергоемким катодным материалам относят класс соединений на основе обогащенных литием слоистых оксидов (Li-rich оксидов) [4–6]. Обратимая разрядная емкость таких материалов за счет сочетания особенностей кристаллической структуры и химического состава может достигать 250 мА ч/г и выше, что из-за более широкого интервала рабочего напряжения (2.5–4.8 В) по сравнению с традиционными коммерческими катодными материалами (LiCoO2, LiFePO4/C, LiMn2O4) составляет плотность энергии >900 Вт ч/кг.
Структуру Li-rich оксидов в литературе относят либо к твердым растворам на основе моноклинной фазы Li1+x(NiCoMn)1–xO2 [7, 8], либо к композитам/нанокомпозитам yLi2MnO3 ∙ (1–у)LiMO2 смеси двух фаз: моноклинной Li2MnO3 (пр. гр. C2/m) и ромбоэдрической LiMO2 (пр. гр. Rm, M = Co, Ni, Mn) [9–11].
До настоящего времени данные материалы не коммерциализированы из-за имеющихся у них существенных недостатков [12–14]. Во-первых, низкая кулоновская эффективность первого цикла, обусловленная необратимой перестройкой структуры при высоком напряжении, сопровождаемой выделением лития и кислорода из материала [15]. Во-вторых, значительное снижение удельной энергоемкости в процессе циклирования, возникающее вследствие трансформации слоистой структуры, приводящей к резкому падению значений емкости и среднего напряжения [16].
Для снижения негативных эффектов перестройки структуры и улучшения электрохимических характеристик Li-rich оксидов используют различные методы, такие как модифицирование поверхности [17] и допирование [18, 19]. Одним из действенных способов, замедляющих нежелательные структурные превращения и, соответственно, увеличивающих срок службы Li-rich оксидов, является подбор благоприятных морфологических параметров [9].
Безусловно, существует множество исследований, посвященных изучению влияния метода синтеза на морфологию литированных оксидов и последующему поиску взаимосвязи морфологии и электрохимических свойств этих оксидов. Сложность химического состава и получаемой структуры, а также многовариантность исполнения одного и того же типа синтеза оказывают влияние на морфологию, поэтому данный тип исследований не теряет своей актуальности.
Например, сольвотермальный синтез был использован в работах [20, 21]. Полученные материалы представляют собой пористые структуры из агломерированных нанопластинок, сформированные в полые узкие пирамиды, собранные вместе наподобие лепестков цветка, или в полые микросферы. Полученные образцы демонстрируют высокие начальные значения емкости и циклируемости, что, по мнению авторов, связано с их морфологическими особенностями. Пористая микроструктура материала обеспечивает не только хорошую структурную прочность, но и уменьшает диффузионный путь ионов за счет малой толщины нанопластины и возможности лучшего проникновения электролита внутрь полого агломерата. Схожие результаты были получены для отдельных нанопластинок в работе [9]. По мнению авторов [9], такой материал обладает лучшей структурной стабильностью благодаря минимизации микроструктурных трещин в электроде и высоким коэффициентам диффузии.
В работе [22] сольвотермальным методом в среде этанола были получены плотные однородные пластинки преимущественно гексагональной формы, а при гидротермальном синтезе формировались кубооктаэдры с высокой монодисперсностью и четкими гранями. Авторы отмечают, что меньший размер пластин, полученных сольвотермальным методом, также благоприятно сказывается на электрохимических свойствах материала.
В работе [23] авторы исследовали влияние среды, в которой проводили сольвотермальный синтез, на морфологию получаемых порошков. Так, при синтезе в смеси воды и этиленгликоля образовывались агрегаты сферической формы, в смеси воды и поливинилпиролидона – кубические, а в чистой деионизованной воде – арахисоподобные агломераты. Полученные в данной работе материалы характеризуются меньшими значениями начальной емкости по сравнению с пористыми агрегатами из описанных выше работ, но лучшей насыпной плотностью благодаря своей однородной плотной структуре.
В работе [24] методом соосаждения получены карбонатные прекурсоры и показано, что при увеличении времени выдержки соосаждаемой смеси формирующиеся частицы прекурсора приобретают сферический вид, и его же наследует конечный литированный оксид. Образцы со сферическими частицами обладают хорошей насыпной плотностью (до 1.6 г/см3) и лучшими электрохимическими характеристиками.
Литированные оксиды на основе гидроксидного прекурсора, сформированного в процессе соосаждения в пористые иерархические структуры из агломерированных нанопластинок с открытой гранью (010) на торцах, исследованы в работе [25]. Морфология была сохранена у образцов и после литирования. Такая упаковка нанопластинок, с одной стороны, формирует 3D-сеть для ионного транспорта, а с другой – эффективно пропитана электролитом благодаря пористой структуре. Полученный материал демонстрирует превосходные электрохимические данные, в том числе сохранение емкости при циклировании. Похожие структуры с электрохимически активной гранью (010) были получены и в работе [26].
Авторы работы [27] исследовали изменение морфологии Li-rich оксидов на примере Li1.4Ni0.5Mn0.5O2 в зависимости от условий отжига. Показано, что варьирование температуры отжига, в том числе при введении источника лития, позволяет изменять размер зерна, а меньший размер частиц улучшает обратимость введения/извлечения лития в структуру литированного оксида. В этом случае уменьшается сопротивление переноса заряда на границе раздела электрод/электролит и коэффициент диффузии Li+ увеличивается более чем на четыре порядка, что отражается на электрохимической емкости.
Несмотря на большое количество работ, посвященных синтезу, строению и морфологии Li-rich слоистых оксидов, систематическое изучение этих соединений остается актуальной задачей.
В настоящей работе исследовано влияние метода синтеза обогащенных литием оксидов Li1.2Ni0.133Mn0.534Co0.133O2 на их морфологию, физико-химические и функциональные свойства. Карбонатные и гидроксидные прекурсоры получены методом соосаждения и сольвотермальным методом при различных параметрах синтеза. Литированные оксиды получены из прекурсоров твердофазной реакцией с источником лития высокотемпературным многоступенчатым отжигом.
Цель данной работы – выявить влияние особенностей морфологии синтезируемых различными методами катодных материалов на основе обогащенных литием оксидов на их электрохимические свойства. Для этого проведено сравнение характеристик катодных материалов на основе обогащенных литием оксидов одного состава, полученных разными методами и имеющих, соответственно, морфологические особенности, присущие данному методу синтеза.
ЭКСПЕРИМЕНТАЛЬНАЯ ЧАСТЬ
Методом соосаждения и сольвотермальным методом синтезировали карбонатные и гидроксидные прекурсоры, смешивали их с гидроксидом лития и тщательно гомогенизировали, перетирая в агатовой ступке в среде этанола. Полученную смесь подвергали многоступенчатому отжигу в муфельной печи в воздушной среде при температурах 480 (6 ч) и 900°С (6 + 6 ч). Перед началом каждого отжига смеси гомогенизировали.
При синтезе прекурсоров методом соосаждения исследовали влияние осадителя и величины рН. Этим методом получены образцы LR-CН (осадитель – гидроксид натрия, рН осаждения 11) и LR-CС (осадитель – карбонат натрия, рН осаждения 7.5).
При синтезе прекурсоров сольвотермальным методом варьировали реакционную среду (изопропиловый спирт (ИПС), вода) и осадитель (гидроксид калия, оксалат аммония). В результате получены образцы LR-S1(KOH/ИПС), LR-S2 (KOH/H2O) и LR-S3 ((NH4)2C2O4/H2O).
Подробное описание синтеза и реактивов приведено в Приложении.
Морфологию, микроструктуру и равномерность распределения элементов по составу исследовали с помощью сканирующей электронной микроскопии и энергодисперсионной рентгеновской спектроскопии на приборе NVision-40 (Carl Zeiss).
Распределение частиц по размерам осуществляли с помощью лазерного анализатора Analysette 22 MicroTec Plus.
Содержание металлов в полученных образцах определяли методом масс-спектрометрии с индуктивно связанной плазмой на приборе Thermo Scientific iCAP XP.
Рентгенофазовый анализ проводили при комнатной температуре на рентгеновском дифрактометре Bruker D8 Advance (CuKα-излучение, λ = 0.15418 нм, 40 кВ/40 мА) в режиме θ/2θ-сканирования в интервале углов 2θ 10°–80° с шагом 0.02°.
Исследование электрохимической активности полученных катодных материалов осуществляли в дисковых макетах габарита CR2032 с использованием зарядно-разрядных стендов Neware CT3008W-5V10mA. Электродный слой состоял из исследуемого катодного материала (92 мас. %), электропроводящей добавки (сажа Super C65 (Timcal) 5 мас. %) и связующего (поливинилиденфторид Solef 5130 (Solvay) 3 мас. %). В качестве отрицательного электрода использовали литиевую фольгу, в качестве электролита – TC-E918 (Tinci), представляющий собой 1M LiPF6 в смеси этиленкарбоната/пропиленкарбоната/диэтилкарбоната/этилметилкарбоната/пропилацетата (EC/PC/DEC/EMC/PA). После сборки дисковых макетов проводили циклы формировки при токе 20 мА/г: два цикла заряда/разряда в диапазоне напряжений 2.5–4.3 В, за которыми следовала электрохимическая активация материала в диапазоне напряжений 2.5–4.5 В (2 цикла), 2.5–4.6 В (2 цикла) и 2.5–4.7 В (2 цикла). Величину тока при гальваностатическом циклировании варьировали от 20 до 80 мА/г. Работоспособность материалов оценивали также при высоких токах разряда в диапазоне 80–480 мА/г, при постоянном токе заряда 80 мА/г.
РЕЗУЛЬТАТЫ И ОБСУЖДЕНИЕ
Прекурсоры, синтезированные методом соосаждения и сольвотермальным методом (табл. 1), представляют собой агломераты, состоящие из мелких первичных частиц (рис. 1).
Таблица 1. Параметры синтеза прекурсоров
Образец/ прекурсор | Прекурсор | Форма агломератов прекурсора | Среда | Осадитель | CM*, M | СPr**, M | СPr /CM |
LR-CC/PR-CC | ПМ карбонат | Сферическая | DW | Na2CO3 | 2 | 2 | – |
LR-CH/PR-CH | ПМ гидроксид | Бесформенные | DW | KOH | 2 | 2 | 1 |
LR-S1/PR-S1 | ПМ гидроксид | Бесформенные | ИПС | KOH | 0.5 | 1 | 2 |
LR-S2/PR-S2 | ПМ гидроксид | Бесформенные | DW | KOH | 1.9 | 4.6 | 2.42 |
LR-S3/PR-S3 | ПМ оксалат | Кубические | DW | (NH4)2C2O4 | 1.9 | 0.4 | – |
* Начальная концентрация переходных металлов.
** Начальная концентрация осадителя.
Рис. 1. Микрофотографии прекурсоров: карбонатного PR-CC (а), на основе оксалатов PR-S3 (б), а также на основе гидроксидов PR-CН (в), PR-S1 (г) и PR-S2 (д).
Методом карбонатного соосаждения получены сферические агломераты прекурсора PR-CC (рис. 1а), прекурсоры на основе гидроксидов (PR-CH, PR-S1, PR-S2) сформировались (независимо от метода синтеза) в виде неопределенных по форме рыхлых агломератов (рис. 1в–1д). Рост размеров агломератов гидроксидных прекурсоров происходит с увеличением отношения осадителя к переходным металлам. Прекурсор PR-S3, образованный оксалатами переходных металлов, сформировался в кубические агломераты, состоящие из крупных призматических частиц (рис. 1б). Гидроксидный и карбонатный прекурсоры обладают сравнимыми по размерам первичными частицами (рис. 1а, 1в, 1 г, 1е, S1, S2). Хотя образцы LR-CH и LR-S2 и получены разными методами (соосаждением и сольвотермальным методом), многие параметры синтеза совпадают. Для обоих образцов в качестве исходных реагентов использовали нитраты переходных металлов, в качестве осадителя – гидроксид калия, реакцию проводили в деионизированной воде с длительной выдержкой при температуре синтеза. Форма и размеры агломератов полученных прекурсоров совпадают, размеры первичных частиц – тоже (рис. S1a, S1c, S1d, S1f). Отсутствие перемешивания в сольвотермальном синтезе, в отличие от метода соосаждения, не оказало видимого влияния на форму прекурсора PR-S2 (рис. 1д) по сравнению с PR-CH (рис. 1в). Микрофотографии полученных литированных оксидов показаны на рис. 2. Распределение агломератов по размерам полученных образцов приведено в табл. 2.
Рис. 2. Микрофотографии литированных оксидов LR-CC (а), LR-S3 (б), LR-CН (в), LR-S1 (г) и LR-S2 (д).
Таблица 2. Размерные характеристики агломератов и первичных частиц
Образец | Размер агломератов, мкм | Размер первичных частиц, нм | ||
D10 | D50 | D90 | ||
LR-S1 | 5.83 | 30.62 | 84.41 | 120–600 |
LR-S2 | 1.33 | 36.82 | 76.97 | 150–1000 |
LR-S3 | 0.92 | 5.83 | 16.06 | 150–500 |
LR-CC | 8 | 15.4 | 25.1 | 200–1000 |
LR-CH | 7.4 | 34.5 | 80.1 | 200–500 |
Примечание. D10 – 10% частиц имеют диаметр меньше D10; D50 – 50% частиц имеют диаметр меньше D50; D90 – 90% частиц имеют диаметр меньше D90.
Оксиды, полученные из гидроксидных прекурсоров (рис. 2в–2д) обоими методами, состоят из бесформенных крупных агломератов, размерные фракции которых примерно совпадают (рис. 3а). Кривые дифференциального распределения размеров этих агломератов бимодальны (для образца LR-S2 тримодальны) и соответствуют агломератам с размерами 20 и 60 мкм (для LR-S2 дополнительная мелкая фракция с размером агломератов ~1.5 мкм).
Рис. 3. Дифференциальные кривые распределения агломератов по размеру для образцов на основе гидроксидных прекурсоров LR-CC, LR-S1, LR-S2 (а), карбонатного прекурсора LR-CC (б) и оксалатного прекурсора LR-S3 (в).
Литированный оксид, синтезированный из карбонатного прекурсора, сохраняет форму сферических агломератов (рис. 2а) с узким распределением частиц (размеры агломератов ~20 мкм). Дополнительно присутствует очень небольшая фракция мелких агломератов размером ~2.5 мкм (рис. 3б). Образец LR-S3 на основе оксалатного прекурсора формируется в некрупные агломераты с очень широкой кривой распределения без ярко выраженных пиков, отвечающих преимущественным размерам агломератов (рис. 3в). Размеры первичных частиц этого образца сравнимы с таковыми для образцов LR-CH, LR-CC и LR-S2 (рис. S1d, S1f, S2c).
Заложенные концентрации всех элементов подтверждены результатами элементного анализа (табл. 3).
Таблица 3. Соотношение элементов в полученных материалах по данным ИСП-АЭС*. Заложенное соотношение: Li1.2Ni0.133Mn0.534Co0.133O2
Образец | Формула по соотношению согласно данным ИСП-АЭС |
LR-CC | Li1.26Ni0.132Mn0.534Co0.134O2 |
LR-CH | Li1.23Ni0.132Mn0.535Co0.134O2 |
LR-S1 | Li1.24Ni0.130Mn0.538Co0.133O2 |
LR-S2 | Li1.22Ni0.130Mn0.538Co0.133O2 |
LR-S3 | Li1.18Ni0.132Mn0.532Co0.135O2 |
* Средний результат из трех параллельных определений. Относительное стандартное отклонение 2–3%.
На дифрактограммах всех образцов (рис. 4а) присутствуют низкоинтенсивные пики сверхрешетки в интервале 2θ 20°–25° (рис. 4б), указывающие на то, что эта фаза может быть проиндексирована на основе моноклинной пр. гр. C2/m, схожей с катионно-упорядоченной моноклинной фазой Li2MnO3 [28]. Фазовый состав материалов в этом случае рассматривается как твердый раствор на основе усредненной неупорядоченной моноклинной фазы Li1+x(NiCoMn)(1–x)/3O2, где х в нашем случае равен 0.2. Для лучшего понимания и удобства составы часто записывают в виде двух фаз – yLi2MnO3 ∙ (1–у)LiMO2.
Рис. 4. Дифрактограммы литированных образцов (а), увеличенная область 20°–25° 2θ (б).
Параметры решетки полученных образцов представлены в табл. 4. Параметры a, b и V представленных образцов возрастают в ряду LR-CC–LR-S3–LR-S1–LRS2–LR-CH. Материалы, полученные в результате сольвотермального синтеза, имеют приблизительно одинаковые параметры решетки независимо от условий синтеза, а для материалов, полученных методом соосаждения, значения параметров решетки зависят от рН осаждения и природы осадителя.
Таблица 4. Параметры моноклинной ячейки и размеры кристаллитов в образцах
Параметр | LR-S1 | LR-S2 | LR-S3 | LR-CC | LR-CH |
размер ОКР, нм | |||||
121(13) | >200 | >200 | 60(3) | 70(2) | |
e0 | 0.00026(2) | 0.00030(2) | 0.00089(4) | 0.00039(2) | 0.00037(3) |
a, Å | 4.93632(18) | 4.93759(14) | 4.9347(3) | 4.9317(4) | 4.93909(6) |
b, Å | 8.5502(3) | 8.5524(2) | 8.5474(6) | 8.5422(8) | 8.55501(11) |
c, Å | 5.0208(2) | 5.01978(17) | 5.0194(4) | 5.0216(4) | 5.02970(11) |
β, град | 109.036(2) | 109.0468(19) | 109.049(12) | 109.283(2) | 109.259(3) |
V, Å3 | 200.324(17) | 200.372(13) | 200.12(4) | 199.68(4) | 200.632(8) |
Обогащенные по литию материалы для получения высоких значений удельной емкости требуют предварительной электрохимической активации, которую проводили при постепенном увеличении напряжения. Схема активации (формировки) описана в методической части. Причины, по которым выбран такой режим активации, и подробное описание происходящих при этом процессов на примере материала такого же состава (Li1.2Ni0.133Mn0.534Co0.133O2) приведены в работах [29, 30].
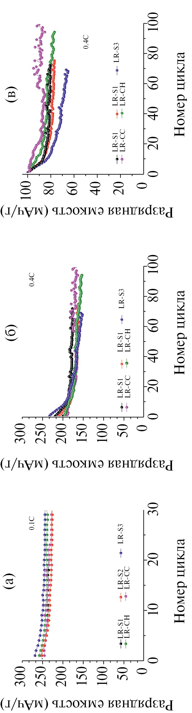
Гальваностатическое циклирование (рис. 5) полученных материалов в качестве катодов проводили при токах заряда/разряда 0.1 (значение удельного тока 0.16–0.26 мА) и 0.4С (значение удельного тока 0.68–0.91 мА/г). Результаты циклирования представлены в табл. 5 и на рис. 5.
Рис. 5. Зависимость разрядной емкости от номера цикла для синтезированных образцов при 0.1С (а) и 0.4С (б).
Таблица 5. Значения удельной разрядной емкости и остаточная емкость в процентах после циклирования
Образец | Qраз, 1 цикл/0.1С | Qраз, 50 цикл/0.1С | Qост, % 0.1С | Qраз, 1 цикл/0.4С | Qраз, 65 цикл/0.4С | Qост, % 0.4С |
LR-CC | 246.6 | 222.4 | 90.2 | 190.1 | 169.9 | 89.4 |
LR-CH | 257.1 | 241.6 | 94.0 | 198.3 | 162.9 | 82.1 |
LR-S1 | 251.5 | 233.2* | 92.7 | 217.7 | 175.3 | 80.5 |
LR-S2 | 250.9 | 223.4 | 89.0 | 208.9 | 162.1 | 77.6 |
LR-S3 | 267.7 | 243.4 | 90.9 | 231.7 | 153.2 | 66.1 |
* Значение удельной разрядной емкости после 20 циклов.
В ходе гальваностатического циклирования при 0.1С (рис. 5а) все образцы показали высокие значения удельной разрядной емкости. Начальная разрядная емкость образцов, как и емкость после 50 циклов, находится в узком интервале значений; остаточная емкость в процентах после циклирования лежит в интервале 89.0–94.0%. При увеличении тока заряда/разряда до 0.4С (рис. 5б) удельная разрядная емкость снижается, а ее значения сильно отличаются для разных образцов; остаточная емкость после 65 циклов варьируется в интервале от 66.1 до 89.4% (рис. 5в). Основное отличие образцов – их различная морфология и размеры, что может повлиять на пути диффузии ионов лития; на это указывает большее различие электрохимических параметров при более высокой скорости циклирования. Это подтверждают и данные для образца LR-S3, синтезированного из оксалатного прекурсора, который обладает наименьшими размерами агломератов (табл. 2). Для указанного образца характерны максимальные значения емкости при циклировании и сравнимое с образцом LR-CH значение в режиме 0.1С, тогда как при 0.4С этот образец демонстрирует наиболее сильное падение емкости (рис. 5 в). На наш взгляд, это связано с размерами агломератов. Образцы, состоящие из более мелких агломератов, в силу укорочения диффузионного пути обладают более высокими значениями емкости, но в то же время быстрее деградируют из-за увеличения площади соприкосновения материала с электролитом (протекание побочных реакций) и более быстрого разрушения агломератов вследствие происходящих структурных перестроек. Все материалы, синтезированные из гидроксидных прекурсоров (LR-CH, LR-S1, LR-S2), показали приблизительно одинаковое сохранение емкости во времени. Образец, чья остаточная емкость относительно первого цикла осталась в прежних пределах – LR-CC, что говорит о более стабильной кристаллической структуре этого образца, полученного из карбонатного прекурсора и обладающего сферической формой агломератов.
Зарядно-разрядные кривые выбранных циклов при режиме циклирования 0.4С (2, 3, 8 циклы – формировочные; 10, 25, 75 циклы приведены на рис. 6 и отражают эволюцию структуры в процессе циклирования (для режима циклирования при 0.1С, рис. S3). Медленнее формируется образец LR-CC, синтезированный из карбонатного прекурсора, но к 10 циклу формы зарядно-разрядных кривых для всех образцов уже схожи (исключая значения емкости). При длительном циклировании идет не только уменьшение емкости, но и падение напряжения, это наиболее выражено для образца LR-S3. Еще более отчетливо это видно на графиках падения среднего напряжения (рис. 7а). Изменение среднего напряжения в большей степени, чем изменение емкости, отвечает за изменение мощности (рис. 7б), наибольшее падение удельной энергии также характерно для LR-S3.
Рис. 6. Зарядно-разрядные кривые синтезированных образцов при 0.4С.
Рис. 7. Зависимости напряжения от номера цикла (а) и значения удельной энергии (б) для синтезированных образцов.
Кривые первой производной емкости по напряжению от напряжения (dQ/dV) приведены на рис. 8 для образцов LR-CH, LR-CC, LR-S3 и LR-S1 (2 и 67 циклы) и более очевидно демонстрируют изменения, происходящие со структурой материала при циклировании. На 2 цикле кривые образцов схожи (рис. 8а). Эти образцы уже прошли этап формировки, в процессе которой произошла структурная перестройка, когда из фазы Li2MnO3 при напряжении >4.5 В в процессе извлечения лития одновременно происходит окисление кислорода (с его возможным выделением) и перегруппировка переходных металлов [31, 32].
Рис. 8. Кривые первой производной емкости по напряжению от напряжения (dQ/dV) для 2 цикла (а) и 67 цикла (б).
На анодной кривой (пики для образцов LR-CC, LR-CH и LR-S1) в области напряжений 3.53–3.66 В фиксируется процесс окисления никеля и кобальта, окисление марганца происходит в области 3.81–3.86 В [33, 34]. Для образца LR-S3 пики окисления металлов сдвинуты (3.71 и 3.90 В соответственно), причем пик окисления марганца более интенсивный по сравнению с таковым для никеля и кобальта, что свидетельствует о большем вкладе марганца. Это возможно в случае шпинелеподобной структуры катода [33, 35].
Катодная кривая отвечает восстановлению никеля и кобальта при напряжении 3.6–3.85 В и восстановлению Mn4+ до Mn3+ при напряжении ~3.3 В. Площадь под пиком восстановления марганца также максимальна для образца LR-S3, что подтверждает большее, чем в других образцах, присутствие шпинельной фазы. В ходе циклирования количество шпинельной фазы возрастает во всех образцах (рис. 8в), но в образце LR-S3 доля шпинельной фазы растет быстрее, что подтверждается и более сильным падением среднего напряжения (шпинель циклируется при более низком напряжении).
ЗАКЛЮЧЕНИЕ
Методом соосаждения и сольвотермальным методом при варьировании параметров синтеза получены обогащенные по литию катодные материалы состава Li1.2Ni0.133Mn0.534Co0.133O2. Условия синтеза прекурсора влияют на морфологию и свойства готового литированного оксида. Образцы, полученные из гидроксидных прекурсоров (LR-S1, LR-S2, LR-CH), демонстрируют сходную морфологию и характеризуются схожим поведением с высокими электрохимическими показателями. Обладая хорошими начальными значениями удельной разрядной емкости, материал на основе оксалатного прекурсора быстро деградирует (падение емкости и самое интенсивное снижение среднего напряжения). По нашему мнению, полученные результаты связаны в первую очередь с морфологией и размерными параметрами образцов. Образец LR-CC стабильно циклируется, показывая высокие значения удельной емкости, но по сравнению с образцом LR-S1 характеризуется большим падением напряжения. Материалы, синтезированные разными методами, но схожие морфологически (размер агломерата, распределение размеров агломератов, размер первичных частиц), обладают сравнимыми электрохимическими свойствами.
БЛАГОДАРНОСТЬ
Исследования проводили с использованием оборудования ЦКП ФМИ ИОНХ РАН.
Исследование полученных материалов методом порошковой рентгеновской дифракции выполнено в рамках государственного задания (№ 075-03-2023-642) Министерства науки и высшего образования Российской Федерации с использованием научного оборудования Центра исследования строения молекул ИНЭОС РАН.
ФИНАНСИРОВАНИЕ РАБОТЫ
Работа выполнена при финансовой поддержке Минобрнауки России в рамках государственного задания ИОНХ РАН.
ДОПОЛНИТЕЛЬНАЯ ИНФОРМАЦИЯ
Онлайн-версия содержит дополнительные материалы, доступные по адресу: https://doi.org/10.31857/S0044457X24070067.
КОНФЛИКТ ИНТЕРЕСОВ
Авторы заявляют, что у них нет конфликта интересов.
Об авторах
А. Е. Медведева
Институт общей и неорганической химии им. Н.С. Курнакова РАН
Автор, ответственный за переписку.
Email: anna.ev.medvedeva@gmail.com
Россия, Ленинский пр-т, 31, Москва, 119991
Е. В. Махонина
Институт общей и неорганической химии им. Н.С. Курнакова РАН
Email: anna.ev.medvedeva@gmail.com
Россия, Ленинский пр-т, 31, Москва, 119991
М. М. Клименко
Институт общей и неорганической химии им. Н.С. Курнакова РАН
Email: anna.ev.medvedeva@gmail.com
Россия, Ленинский пр-т, 31, Москва, 119991
Ю. А. Политов
Институт общей и неорганической химии им. Н.С. Курнакова РАН
Email: anna.ev.medvedeva@gmail.com
Россия, Ленинский пр-т, 31, Москва, 119991
А. М. Румянцев
Физико-технический институт им. А.Ф. Иоффе РАН
Email: anna.ev.medvedeva@gmail.com
Россия, ул. Политехническая, 26, Санкт-Петербург, 194021
Ю. М. Коштял
Физико-технический институт им. А.Ф. Иоффе РАН
Email: anna.ev.medvedeva@gmail.com
Россия, ул. Политехническая, 26, Санкт-Петербург, 194021
А. С. Головешкин
Институт элементоорганических соединений им. А.Н. Несмеянова РАН
Email: anna.ev.medvedeva@gmail.com
Россия, ул. Вавилова, 28, стр. 1, Москва, 119334
А. А. Курлыкин
Институт общей и неорганической химии им. Н.С. Курнакова РАН
Email: anna.ev.medvedeva@gmail.com
Россия, Ленинский пр-т, 31, Москва, 119991
Список литературы
- Masias A., Marcicki J., Paxton W.A. // ACS Energy Lett. 2021. V. 6. № 2. P. 621. https://doi.org/10.1021/acsenergylett.0c02584
- Choi D., Shamim N., Crawford A. et al. // J. Power Sources. 2021. V. 511. P. 230419. https://doi.org/10.1016/j.jpowsour.2021.230419
- Malhotra A., Battke B., Beuse M. et al. // Renew. Sustain. Energy Rev. 2016. V. 56. P. 705. https://doi.org/10.1016/j.rser.2015.11.085
- Nitta N., Wu F., Lee J.T. et al. // Mater. Today. 2015. V. 18. № 5. P. 252. https://doi.org/10.1016/j.mattod.2014.10.040
- Murdock B.E., Toghill K.E., Tapia‐Ruiz N. // Adv. Energy Mater. 2021. V. 11. № 39. P. 2102028. https://doi.org/10.1002/aenm.202102028
- Ji X., Xia Q., Xu Y. et al. // J. Power Sources. 2021. V. 487. P. 229362. https://doi.org/10.1016/j.jpowsour.2020.229362
- Shukla A.K., Ramasse Q.M., Ophus C. et al. // Nat. Commun. 2015. V. 6. № 1. P. 8711. https://doi.org/10.1038/ncomms9711
- Genevois C., Koga H., Croguennec L. et al. // J. Phys. Chem. С. 2015. V. 119. № 1. P. 75. https://doi.org/10.1021/jp509388j
- Viji M., Budumuru A.K., Hebbar V. et al. // Energy Fuels. 2021. V. 35. № 5. P. 4533. https://doi.org/10.1021/acs.energyfuels.0c04061
- Guo L., Tan X., Mao D. et al. // Electrochim. Acta. 2021. V. 370. P. 137808. https://doi.org/10.1016/j.electacta.2021.137808
- Bian X., Zhang R., Yang X. // Inorg. Chem. 2020. V. 59. № 23. P. 17535. https://doi.org/10.1021/acs.inorgchem.0c02766
- Song B., Liu Z., Lai M.O. et al. // Phys. Chem. Chem. Phys. 2012. V. 14. № 37. P. 12875. https://doi.org/10.1039/c2cp42068f
- Hu E., Yu X., Lin R. et al. // Nat. Energy. 2018. V. 3. № 8. P. 690. https://doi.org/10.1038/s41560-018-0207-z
- Zheng H., Han X., Guo W. et al. // Mater. Today Energy. 2020. V. 18. P. 100518. https://doi.org/10.1016/j.mtener.2020.100518
- Fell C.R., Qian D., Carroll K.J. et al. // Chem. Mater. 2013. V. 25. № 9. P. 1621. https://doi.org/10.1021/cm4000119
- Lei Y., Ni J., Hu Z. et al. // Adv. Energy Mater. 2020. V. 10. № 41. P. 2002506. https://doi.org/10.1002/aenm.202002506
- Медведева А.Е., Махонина Е.В., Печень Л.С. и др. // Журн. неорган. химии. 2022. V. 67. № 7. P. 896.
- Печень Л.С., Махонина Е.В., Медведева А.Е. и др. // Докл. АН. Сер. Химия, науки о материалах. 2022. Т. 502. С. 66.
- Печень Л.С., Махонина Е.В., Медведева А.Е. и др. // Неорган. материалы. 2022. Т. 58. № 10. С. 1069.
- Fu F., Tang J., Yao Y. et al. // ACS Appl. Mater. Interfaces. 2016. V. 8. № 39. P. 25654. https://doi.org/10.1021/acsami.6b09118
- Li H., Wei X., Yang P. et al. // Electrochim. Acta. 2018. V. 261. P. 86. https://doi.org/10.1016/j.electacta.2017.10.119
- Fu F., Huang Y., Wu P. et al. // J. Alloys Compd. 2015. V. 618. P. 673. https://doi.org/10.1016/j.jallcom.2014.08.191
- Li H., Ren Y., Yang P. et al. // Electrochim. Acta. 2019. V. 297. P. 406. https://doi.org/10.1016/j.electacta.2018.10.195
- Luo W. // J. Alloys Compd. 2015. V. 636. P. 24. https://doi.org/10.1016/j.jallcom.2015.02.163
- Chen L., Su Y., Chen S. et al. // Adv. Mater. 2014. V. 26. № 39. P. 6756. https://doi.org/10.1002/adma.201402541
- Yu R., Zhang X., Liu T. et al. // ACS Sustain. Chem. Eng. 2017. V. 5. № 10. P. 8970. https://doi.org/10.1021/acssuschemeng.7b01773
- Kurilenko K.A., Shlyakhtin O.A., Brylev O.A. et al. // Electrochim. Acta. 2015. V. 152. P. 255. https://doi.org/10.1016/j.electacta.2014.11.045
- Ramesha R.N., Dasari Bosubabu, Karthick Babu M.G. et al. // ACS Appl. Energy Mater. 2020. V. 3. № 11. P. 10872. https://doi.org/10.1021/acsaem.0c01897
- Pechen L., Makhonina E., Medvedeva A. et al. // Nanomaterials. 2022. V. 12. № 22. P. 4054. https://doi.org/10.3390/nano12224054
- Pechen L.S., Makhonina E.V., Medvedeva A.E. et al. // Russ. J. Inorg. Chem. 2021. V. 66. № 5. P. 777. https://doi.org/10.1134/S0036023621050144
- Kleiner K., Strehle B., Baker A.R. et al. // Chem. Mater. 2018. V. 30. № 11. P. 3656. https://doi.org/10.1021/acs.chemmater.8b00163
- Strehle B., Kleiner K., Jung R. et al. // J. Electrochem. Soc. 2017. V. 164. № 2. P. A400. https://doi.org/10.1149/2.1001702jes
- Phillips P.J., Bareño J., Li Y. et al. // Adv. Energy Mater. 2015. V. 5. № 23. P. 1501252. https://doi.org/10.1002/aenm.201501252
- Shen S., Hong Y., Zhu F. et al. // ACS Appl. Mater. Interfaces. 2018. V. 10. № 15. P. 12666. https://doi.org/10.1021/acsami.8b00919
- Thackeray M.M., Kang S.-H., Johnson C.S. et al. // J. Mater. Chem. 2007. V. 17. № 30. P. 3112. https://doi.org/10.1039/b702425h
Дополнительные файлы










