Metal-organic framework based on nickel, L-tryptophan and 1,2-bis(4-pyridyl)ethylene, consolidated on a track-etched membrane
- Authors: Ponomareva O.Y.1,2, Drozhzhin N.A.1,2, Vinogradov I.I.1,2, Vershinina T.N.1,2, Altynov V.A.1, Zuba I.3, Nechaev A.N.1,2, Pawlukojć A.3
-
Affiliations:
- Joint Institute for Nuclear Research
- Dubna State University
- Institute of Nuclear Chemistry and Technology
- Issue: Vol 69, No 6 (2024)
- Pages: 907-918
- Section: НЕОРГАНИЧЕСКИЕ МАТЕРИАЛЫ И НАНОМАТЕРИАЛЫ
- URL: https://ogarev-online.ru/0044-457X/article/view/273155
- DOI: https://doi.org/10.31857/S0044457X24060132
- EDN: https://elibrary.ru/XSWBHY
- ID: 273155
Cite item
Full Text
Abstract
An approach to the functionalization of track-etched membranes (TM) by metal-organic framework consisting of nickel, L-tryptophan, and 1,2-bis(4-pyridyl)ethylene (Ni-MOF) was developed. The effect of TM surface charge on the Ni-MOF self-assembly was studied. It was established that the microstructure of Ni-MOF does not depend on the method of TM modification. It was shown that the Ni-MOF self-assembly on TM modified with chitosan nanofibers is the most promising approach to the creation of a composite of TM and Ni-MOF, because the performance of the membrane do not reduce. Using scanning electron microscopy, X-ray diffraction analysis, X-ray photoelectron spectroscopy and IR spectroscopy it was shown that the composition and structure of free Ni-MOF (in powder form) and Ni-MOF in the consolidated material are identical. X-ray photoelectron spectra of Ni-MOF powders after its contact with solutions of Cd, Cu, Cs salts and adsorption kinetics study of Cd, Li, Ag, Zn, Mg, Li ions showed that Ni-MOF can be a potential sorbent of metal ions.
Full Text
СПЕЦИАЛЬНЫЕ ТЕРМИНЫ
- трековая мембрана – track-etched membrane
- металл-органическая каркасная структура – metal-organic framework
- заряд поверхности – surface charge
- нановолокна из хитозана – chitosan nanofibers
- растровая электронная микроскопия – scanning electron microscopy
- рентгеноструктурный анализ – powder x-ray diffraction
- рентгеновская фотоэлектронная спектроскопия – x-ray photoelectron spectroscopy
- ИК-спектроскопия с преобразованием Фурье – Fourier transform infrared spectroscopy
- консолидированный материал – consolidated material
- мостиковые лиганды – bridging ligands
- однородное распределение пор по размерам – uniform pore size distribution
- удельная производительность – specific production capacity
- сшивка – cross-linking
- электроформование – electrospinning
- формовочный раствор – electrospinning solution
- ζ-потенциал – zeta-potential
- электрокинетическая проточная ячейка – electrokinetic filtration unit
- равновесный проводящий раствор – equilibrium conducting solution
- тупиковая фильтрация – dead-end filtration
- изоэлектрическая точка – isoelectric point
- хелатная связь – chelate bond
- валентное колебание – stretching vibration
- деформационное колебание – deformation vibration
- пиридиновое кольцо – pyridine ring
- скелетное колебание – skeletal vibration
- бензольное кольцо – benzene ring
- асимметричное колебание – asymmetric vibration
- асимметричная единица – asymmetric unit
- формульная единица – formula unit
ВВЕДЕНИЕ
Металл-органические каркасные структуры (МОКС) – это кристаллические соединения, состоящие из ионов или кластеров металлов, координированных мостиковыми органическими лигандами с образованием одно-, двух- или трехмерных структур, которые могут быть пористыми. Благодаря высокой пористости эти соединения являются перспективными адсорбентами [1, 2]. Их используют для хранения водорода [3], селективной адсорбции газов (CO2, CH4) [4], очистки воды от тяжелых металлов [5], в качестве стационарной фазы в газовой хроматографии [6]. Отдельный интерес представляют биологически активные и гомохиральные МОКС [7, 8].
В последнее время большое внимание уделяется нанесению (или консолидации) МОКС на различные носители [9]. Закрепление частиц МОКС на носителе избавляет от необходимости работы с порошками. Композиты на основе неорганических носителей в основном исследуются в газовых системах [10, 11]. Предпринимаются попытки нанесения МОКС и на полимерные носители, в том числе на трековые мембраны (ТМ), широко используемые в жидкостной фильтрации [12–19]. Трековые мембраны способны эффективно задерживать коллоидные частицы размером ˃250 нм, но молекулы и ионы проникают сквозь поры [13]. Модифицирование ТМ металл-органическими каркасными структурами может привести к созданию материалов для эффективной очистки жидкостей от микрочастиц и ионов. Консолидация МОКС на ТМ является нетривиальной задачей, поскольку необходимо прочное закрепление МОКС на носителе с одновременным сохранением свойств МОКС и ТМ.
В настоящей работе исследовали МОКС на основе никеля, L-триптофана (L-trp) и 1,2-ди(4-пиридил)этилена (bpe) – {[Ni(L-trp)(bpe)(H2O)] · H2O · NO3}n (Ni-МОКС), впервые синтезированную в работе [20]. В [20] были исследованы адсорбционные характеристики данного соединения по отношению к ионам Ru3+, которые попадают в природные воды в результате деятельности предприятий атомной промышленности [21]. В качестве носителя для МОКС была выбрана трековая мембрана. Она характеризуется однородностью распределения пор по размерам, хорошей производительностью, высокой селективностью, химической стойкостью и высокой прочностью [12, 13].
Таким образом, целью работы является разработка подхода к модифицированию поверхности ТМ Ni-МОКС. Для реализации поставленной цели необходимо исследовать влияние заряда поверхности носителя на самосборку Ni-МОКС, состав и структуру Ni-МОКС в виде порошка и в составе консолидированного материала, а также массовые и эксплуатационные характеристики полученных композитов.
ЭКСПЕРИМЕНТАЛЬНАЯ ЧАСТЬ
В качестве носителя для Ni-МОКС использовали полиэтилентерефталатную (ПЭТФ) ТМ толщиной 23 мкм с диаметром пор 0.3 мкм и плотностью пор (2.7 ± 0.3) × 108 см–2, изготовленную из ПЭТФ-пленки Hostaphan RNK производства “Mitsubishi polyesterfilm”.
В работе использовали следующие коммерчески доступные реактивы: азотную кислоту 65%, полиэтиленимин (ПЭИ, Mw = 60000 г/моль), фосфатно-солевой буфер, хитозан (Mw = 200000 г/моль), полиэтиленоксид (ПЭО, Mw = 300000 г/моль), уксусную кислоту 99.8%, глутаровый альдегид 25% (ГА), хлорид калия (KCl, ч. д. а.), L-триптофан (ч. д. а.), 1,2-бис(4-пиридил)этилен (бипиридилэтилен, 97%), нитрат никеля (Ni(NO3)2 ∙ 6H2O, х. ч.), метанол (ч. д. а.), хлорид кадмия (CdCl2, х. ч.), сульфат меди (CuSO4 ⋅ 5H2O, х. ч.), хлорид цезия (CsCl, о. с. ч.), деионизированную воду с удельным сопротивлением 18.2 МОм · см.
Модифицирование ТМ. Для исследования влияния заряда поверхности ТМ на самосборку Ni-МОКС образцы ТМ подвергали обработке по следующим методикам.
Кислотный гидролиз по методике, описанной в [22], применяли как способ увеличения отрицательного заряда поверхности. Трековые мембраны помещали в 35%-ный раствор азотной кислоты, нагретый до 120°C. По истечении 30 мин образцы промывали в деионизированной воде в течение 5 мин (далее – ТМ/HNO3).
С целью создания положительного заряда на поверхности ТМ образцы обрабатывали в растворе ПЭИ [23]. Трековые мембраны, предварительно промытые в течение минуты в ацетоне и деионизированной воде, выдерживали в 0.1%-ном водном растворе ПЭИ при встряхивании с частотой 80 мин–1 в течение 2 ч. Далее мембраны промывали деионизированной водой в течение минуты, после чего проводили сшивку ПЭИ 1%-ным раствором ГА в фосфатно-солевом буфере при 40°C (рН 7.8). По истечении 1 ч мембраны промывали в фосфатно-солевом буфере и в деионизированной воде в течение минуты (далее – ТМ/ПЭИ).
Оценку влияния поверхности носителя на самосборку Ni-МОКС проводили путем синтеза Ni-МОКС на ТМ с нановолокнами из хитозана. Нановолокна получали методом электроформования на установке Nanon 01-A по методике, описанной в работе [12]. Формовочный раствор с концентрацией 4% хитозана и ПЭО, взятых в соотношении 90/10 по массе, в 90%-ной уксусной кислоте подвергали электроформованию при напряжении 28 кВ и скорости подачи 1 мл/ч на поверхность ТМ со слоем титана толщиной 80 ± 4 нм, полученным методом магнетронного напыления. Сшивку нановолоконного слоя проводили в парах ГА. В вакуумный сушильный шкаф помещали мембраны и 10 мл 25%-ного водного раствора ГА. Сшивку проводили при 37°C и давлении 0.003 мбар в течение 24 ч (далее – ТМ + Хитозан). Толщина слоя и средний диаметр нановолокон, определенные на основе анализа микрофотографий образцов, составили 50 мкм и 170 нм соответственно.
Синтез МОКС. Ni-МОКС синтезировали по методике, описанной в [20]. L-триптофан (95.5 мг) и бипиридилэтилен (85 мг) растворяли в смеси 19 мл метанола и 1.5 мл воды, после чего добавляли раствор Ni(NO3)2 ∙ 6H2O (136 мг) в 6.5 мл воды. Полученный раствор (pH 4.5) выдерживали при температуре 50°C в течение 24 ч в герметичном ПЭТФ-сосуде. Осадок отделяли от раствора методом фильтрования, промывали деионизированной водой и высушивали в течение 24 ч при температуре 50°C.
Синтез МОКС на поверхности носителя. Для синтеза на поверхности носителя образцы исходной ТМ или мембраны, подвергшейся модифицированию, диаметром 45 мм помещали в раствор, приготовленный описанным выше способом. Синтезы проводили при той же температуре в течение 1, 2, 4, 8, 24 и 48 ч. Полученные образцы промывали и высушивали аналогично методике, описанной выше.
Анализ образцов. ζ-Потенциал поверхности образцов ТМ измеряли с помощью электрокинетической проточной ячейки с хлорсеребряными электродами. В качестве равновесного проводящего раствора использовали 0.01 М раствор хлорида калия со значениями pH 3, 5, 7 и 9. Для уменьшения значения pH использовали соляную кислоту, для увеличения – гидроксид калия. Давление равновесного раствора составляло от 0.02 до 0.06 МПа с шагом в 0.01 МПа. Значение ζ-потенциала мембран рассчитывали по уравнению Гельмгольца–Смолуховского [24].
Количество Ni-МОКС, синтезированной на носителе, находили гравиметрически по увеличению массы образца.
Морфологический анализ поверхности образцов проводили методом растровой электронной микроскопии (РЭМ) на приборе Hitachi S-3400N с термоэмиссией в режиме вторичных электронов при напряжении 12 кВ. Полученные изображения обрабатывали в программной оболочке GatanDigitalMicrograph.
Элементный анализ порошка Ni-МОКС был выполнен на автоматическом CHN-анализаторе VarioMacroCube (Elementar). Элементный состав поверхности анализировали методом рентгеновской фотоэлектронной спектроскопии (РФЭС) на приборе ThermoFisher Scientific K-Alpha с использованием полусферического анализатора. Возбуждение фотоэлектронов проводили рентгеновским излучением алюминиевого анода (AlKα = 1486.6 эВ) при напряжении на трубке 12 кВ и токе эмиссии 3 мА. Положение пиков калибровали по стандартному пику С1s (285.0 эВ). Обзорные спектры регистрировали при окне пропускания 100 эВ с шагом 0.5 эВ. Регистрацию и обработку спектров проводили с помощью программы Avantage.
Функциональные группы на поверхности образцов исследовали на ИК-спектрометре с преобразованием Фурье ThermoFisher Scientific Nicolet 6700 с использованием приставки Smart iTR. Измерения были выполнены с разрешением 2.0 см–1, количество сканирований составляло не менее 48.
Рентгеноструктурный анализ (РСА) проводили на порошковом дифрактометре PANalyticalEmpyrean (CuKα-излучение) с использованием высокоэффективного позиционно-чувствительного детектора Pixel3D при напряжении рентгеновской трубки 40 кВ и токе 40 мА. Съемку проводили в диапазоне углов 2θ от 5° до 50° с шагом Δθ = 0.026°. Уточнение параметров кристаллической решетки Ni-МОКС проводили с использованием программы MAUD [25].
Измерение удельной производительности по воде проводили в тупиковом режиме фильтрации. При давлении 0.02–0.06 МПа с шагом в 0.01 МПа измеряли время истечения деионизированной воды через образцы (рабочий диаметр 40 мм). Фильтрацию проводили с модифицированной стороны мембраны.
Для качественного анализа сорбции Ni-МОКС ионов тяжелых металлов 50 мг порошка Ni-МОКС помещали в пробирки и заполняли 10 мл водного раствора CdCl2, CuSO4 или CsCl с концентрацией ионов металлов 1200 мг/л. После встряхивания в течение 24 ч с частотой 100 мин–1 при комнатной температуре Ni-МОКС отделяли методом фильтрования. Высушенный в течение 24 ч при температуре 50°C порошок анализировали методом РФЭС.
Для изучения кинетики сорбции ионов тяжелых металлов 50 мг порошка Ni-МОКС помещали в пробирки и заполняли 10 мл водного раствора CdCl2, AgNO3, ZnCl2, MgCl2 или LiCl с концентрацией ионов металлов 100 мг/л. После встряхивания в течение 5, 15, 30, 60, 120, 180 и 240 мин с частотой 100 мин–1 при комнатной температуре Ni-МОКС отделяли методом фильтрования. Концентрацию ионов металлов определяли с помощью атомно-эмиссионного спектрометра с индуктивно связанной плазмой Expec 6000. Для кадмия, серебра, цинка, магния и лития выбраны аналитические линии с длинами волн: 228.802, 338.289, 213.856, 279.079 и 610.362 нм соответственно.
Коэффициент адсорбции Kd вычисляли по формуле:
. (1)
Величину адсорбции q вычисляли согласно уравнению:
, (2)
где С0 – начальная концентрация (мг/л), Ct – концентрация после сорбции (мг/л), V – объем раствора (л), m – масса сорбента (г).
РЕЗУЛЬТАТЫ И ОБСУЖДЕНИЕ
Целью работы являлась разработка подхода к созданию композита Ni-МОКС и ТМ. Для реализации поставленной цели необходимо исследовать влияние заряда поверхности носителя на процесс самосборки Ni-МОКС. В качестве методов изменения заряда поверхности ТМ выбраны гидролиз в азотной кислоте, обработка в ПЭИ и напыление нановолокон из хитозана методом электроформования.
Предполагается, что обработка ПЭТФ ТМ азотной кислотой приводит к увеличению количества карбоксильных групп на поверхности ТМ и увеличению отрицательного заряда поверхности [22]. Обработку мембран в ПЭИ проводили с целью замены карбоксильных групп ТМ на аминогруппы ПЭИ и изменения заряда поверхности ТМ на положительный [23]. Напыление нановолокон из хитозана проводили для изменения морфологии и создания аминогрупп на поверхности ТМ.
Для подтверждения данных предположений были проведены электрокинетические измерения мембран. На рис. 1 представлен график зависимости ζ-потенциала исходной и модифицированных мембран от величины pH. При pH 5 заряд поверхности ТМ/HNO3 увеличился почти в два раза по сравнению с исходной ТМ. ζ-Потенциал поверхности исходной мембраны при pH 5 составлял –27.9 мВ. Методом кислотного гидролиза значение увеличено до –59.6 мВ. При этом значительных изменений в положении изоэлектрической точки не отмечается. ζ-Потенциал ТМ/ПЭИ сместился в положительную область и составил 13.2 мВ при рН 5. Изоэлектрическую точку ТМ/ПЭИ достоверно определить не удалось, так как кривая в диапазоне pH 3–9 полностью расположена в положительной области. По характеру кривой можно предположить, что изоэлектрическая точка значительно смещается в основную область. Полученные результаты можно считать подтверждением того, что на поверхности ТМ/ПЭИ находятся аминогруппы, изменяющие ζ-потенциал поверхности мембраны. Модифицирование ТМ нановолокнами из хитозана также смещает положение изоэлектрической точки относительно исходной ТМ до pI 3.9, что объясняется наличием аминогрупп в хитозане. Полученные значительные различия в положении изоэлектрической точки и величине ζ-потенциалов ТМ/ПЭИ и ТМ + Хитозан объясняются тем, что на поверхности ТМ/ПЭИ находится большее количество свободных аминогрупп, так как нановолокна из хитозана сшивались в парах ГА. Во время сшивки альдегидные группы ГА взаимодействуют с аминогруппами хитозана [12]. Это приводит к уменьшению количества свободных аминогрупп. Также влияние оказывают кислые гидроксильные и карбоксильные группы, содержащиеся в хитозане. Таким образом, полученные результаты подтверждают, что представленные методики позволяют изменять заряд поверхности ТМ.
Рис. 1. ζ-Потенциал мембран в зависимости от pH электролита: 1 – ТМ; 2 – ТМ/HNO3; 3 – ТМ/ПЭИ; 4 – ТМ + Хитозан.
Следующим этапом являлся синтез Ni-МОКС на описанных выше носителях. Из анализа микрофотографий (рис. 2) можно сделать вывод, что на поверхности всех носителей происходит самосборка сферических конгломератов Ni-МОКС, средний диаметр которых составляет 20–25 мкм для разных образцов. Таким образом, модифицирование поверхности ТМ не оказывает значительного влияния на морфологию Ni-МОКС. Происходит объемное осаждение соединения, после чего частицы Ni-МОКС объединяются в конгломераты на поверхности носителя.
Рис. 2. Микрофотографии поверхности композитов, синтезированных в течение 24 ч: а – ТМ + Ni-МОКС; б – ТМ/HNO3 + Ni-МОКС; в – ТМ/ПЭИ + Ni-МОКС; г – ТМ + Хитозан + Ni-МОКС.
Существенных отличий в массовом составе модифицированных мембран (табл. 1) также не наблюдалось.
Таблица 1. Массовые характеристики композитов ТМ и Ni-МОКС
Образец | Удельная масса Ni-МОКС, мг/см2 |
ТМ + Ni-МОКС | 2.0 ± 0.2 |
TM/HNO3 + Ni-МОКС | 2.1 ± 0.3 |
ТМ/ПЭИ + Ni-МОКС | 2.2 ± 0.3 |
ТМ + Хитозан + + Ni-МОКС | 2.2 ± 0.3 |
Исследование удельной производительности мембран по чистой воде проводили с целью оценки влияния модифицирования на эксплуатационные характеристики мембран. Результаты представлены на рис. 3.
Рис. 3. Усредненная удельная производительность по воде исследуемых мембран: 1 – ТМ; 2 – ТМ + Ni-МОКС; 3 – ТМ/HNO3 + Ni-МОКС; 4 – ТМ/ПЭИ + + Ni-МОКС; 5 – ТМ + Хитозан + Ni-МОКС.
Удельная производительность исходной ТМ составляет 0.75 ± 0.03 л/ч · см2 при давлении 0.06 МПа. После самосборки Ni-МОКС на поверхности ТМ удельная производительность уменьшается на ⁓35% (при 0.06 МПа) на всех мембранах, за исключением ТМ + Хитозан, удельная производительность которой составляет 0.73 ± 0.02 л/ч · см2 (при 0.06 Мпа), что соответствует показателям исходной ТМ. Таким образом, самосборка Ni-МОКС на нановолокнах из хитозана является наиболее перспективным подходом к созданию композита Ni-МОКС и ТМ, так как не снижает производительность мембраны.
Сохранение удельной производительности ТМ при включении в композит нановолокон из хитозана может быть объяснено самосборкой Ni-МОКС на поверхности нановолоконной сетки (рис. 4а). Главный компонент нановолокон, хитозан, образуя хелатные связи, обеспечивает эффективную сорбцию переходных металлов, включая никель [26]. Адсорбированные ионы никеля выступают в качестве активных центров в процессе самосборки Ni-МОКС.
Рис. 4. Микрофотографии поверхности образца ТМ + Хитозан + Ni-МОКС с разным увеличением, время синтеза 24 ч.
Частицы Ni-МОКС оказываются зафиксированными между нановолокнами (рис. 4б) и не перекрывают поры мембраны. На поверхности носителя ТМ + Хитозан сферические конгломераты Ni-МОКС отчетливо проявляются после 2 ч синтеза (рис. 5а). С увеличением времени синтеза увеличивается средний диаметр конгломератов (⁓15 мкм для 2 ч и ⁓25 мкм для 24 ч), которые в дальнейшем объединяются между собой (рис. 5б). Синтез в течение 48 ч приводит к отслаиванию Ni-МОКС от носителя (рис. 5в). При меньшем времени синтеза данный эффект не наблюдается.
Рис. 5. Микрофотографии поверхности композитов ТМ + Хитозан + Ni-МОКС, синтезированных в течение 2 (а), 24 (б) и 48 (в) ч.
Зависимость удельной массы Ni-МОКС в образцах ТМ + Хитозан + Ni-МОКС от времени синтеза представлена на рис. 6. Максимум наблюдается при 24 ч синтеза, после следует снижение (⁓50%) удельной массы Ni-МОКС. Это может быть связано с отслаиванием соединения от поверхности носителя, что согласуется с данными РЭМ (рис. 5в). Таким образом, установлено, что оптимальным временем синтеза Ni-МОКС на носителе ТМ + Хитозан является 24 ч.
Рис. 6. График зависимости удельной массы Ni-МОКС в композите ТМ + Хитозан + Ni-МОКС от продолжительности синтеза.
На основании удельной производительности по воде и массовых характеристик модифицированных мембран можно утверждать, что наиболее перспективным подходом консолидации Ni-МОКС на поверхности ТМ является использование промежуточного нановолоконного слоя из хитозана. Оптимальным временем синтеза Ni-МОКС является 24 ч, так как при этом времени масса Ni-МОКС на поверхности ТМ + Хитозан максимальна. Поэтому сравнительный анализ кристаллической структуры, элементного состава и функциональных групп был выполнен для Ni-МОКС в виде порошка и Ni-МОКС, синтезированной в течение 24 ч, на поверхности ТМ + Хитозан.
С целью подтверждения ожидаемой стехиометрии порошка Ni-МОКС был проведен анализ легких элементов на CHN-анализаторе. Полученные результаты хорошо согласуются с расчетными значениями:
Найдено, мас. %: C 50.81, H 4.73, N 12.86;
Вычислено для NiC23H25N5O7, мас. %: C 50.95, H 4.62, N 12.92.
По результатам РФЭС, качественный элементный состав Ni-МОКС и композитов ТМ + Хитозан + + Ni-МОКС одинаков. В спектрах присутствуют пики углерода C1s, азота N1s, кислорода O1s и никеля Ni2p (рис. 7).
Рис. 7. Спектры РФЭС: а – ТМ + Хитозан + Ni-МОКС; б – порошок Ni-МОКС.
Количественный состав несколько отличается из-за наличия слоя нановолокон из хитозана, который вносит вклад в конечное соотношение элементов.
ИК-спектроскопию с преобразованием Фурье применяли для анализа функциональных групп Ni-МОКС в виде порошка и в составе композита. Полученные спектры представлены на рис. 8.
Рис. 8. ИК-Фурье-спектры: а – ТМ + Хитозан; б – ТМ + Хитозан + Ni-МОКС; в – порошок Ni-МОКС.
В спектрах присутствуют пики 1599 см–1 (валентное колебание C–C и деформационные колебания C–N и C–H), 1248 см–1 (валентные колебания C–C и C–N, деформационное колебание C–H), 986 см–1 (колебание C–C пиридинового кольца) и 820 см–1 (скелетные колебания C–C и C–H), принадлежащие 1,2-бис(4-пиридил)этилену [27]. Расщепление пиков на 3034 и 2904 см–1 (валентное колебание C–H-связи) вызвано наличием бензольного кольца в L-триптофане. Пики 1686 см–1 (валентное колебание COO–) и 1585 см–1 (асимметричное колебание –NH) также были отнесены к L-триптофану [28]. На основании полученных данных можно сделать вывод о том, что функциональные группы на поверхности Ni-МОКС в свободном состоянии и в составе композита аналогичны.
Впервые соединение {[Ni(L-trp)(bpe)(H2O)] · H2O · · NO3}n (Ni-МОКС) синтезировано и описано в работе [20]. Как видно из рис. 9а, частицы Ni-МОКС в порошке идентичны частицам, формирующим конгломераты на поверхности носителей (например, рис. 4). Согласно [20], элементарная асимметричная единица Ni-МОКС состоит из центрального иона Ni2+, связанного с лигандами (L-триптофаном и бипиридилэтиленом), молекулой координационной воды, а также “гостевыми” молекулой воды и нитрат-ионом для баланса заряда.
Рис. 9. а – Микрофотография порошка Ni-МОКС; б – рентгенограмма Ni-МОКС после уточнения методом Ритвельда. Rwp = 3.73, χ2 = 4.1: 1 – экспериментальная; 2 – расчетная; 3 – разностная.
В настоящей работе проведено уточнение параметров кристаллической решетки данной каркасной структуры. Для обработки рентгенограмм порошка Ni-МОКС (рис. 9б) за основу брали данные, полученные для аналогичного соединения цинка [29]. Согласно результатам уточнения, соединение NiC23H25N5O7 кристаллизуется в моноклинной сингонии (пр. гр. P21) с параметрами элементарной ячейки: a = 8.4966(6) Å, b = 10.3307(9) Å, c = 13.619(1) Å, β = 103.243(6)º. Число формульных единиц в ячейке равно 2.
Для подтверждения того, что кристаллическая структура Ni-МОКС на носителе и в виде порошка аналогична, был проведен РСА. На рентгенограммах на рис. 10 в области до 15° можно наблюдать аморфное гало, характерное для нановолокон из хитозана, сшитого глутаровым альдегидом [30]. Широкий пик с центром ⁓26° был расшифрован как пик ПЭТФ [31]. Остальные пики соответствуют Ni-МОКС. Интенсивность пиков растет с увеличением времени синтеза, что подтверждает увеличение количества Ni-МОКС на поверхности мембраны. На рентгенограмме, полученной с образца, синтезированного в течение 48 ч, интенсивность рефлексов от Ni-МОКС снижается, что согласуется с результатами РЭМ и графиком зависимости массы Ni-МОКС от продолжительности синтеза. Методом РСА показано, что кристаллическая структура Ni-МОКС в виде порошка и в составе композита идентична.
Рис. 10. Рентгенограммы образцов: 1 – порошок Ni-МОКС; 2 – ТМ + Хитозан; 3 – ТМ + Хитозан + Ni-МОКС, синтез 1 ч; 4 – ТМ + Хитозан + Ni-МОКС, синтез 2 ч; 5 – ТМ + Хитозан + Ni-МОКС, синтез 4 ч; 6 – ТМ + Хитозан + Ni-МОКС, синтез 8 ч; 7 – ТМ + Хитозан + Ni-МОКС, синтез 24 ч; 8 – ТМ + + Хитозан + Ni-МОКС, синтез 48 ч.
В работе проведен качественный анализ сорбции ионов тяжелых металлов с целью определения потенциальной возможности использования Ni-МОКС в качестве селективного сорбента ионов тяжелых металлов. Анализ спектров РФЭС порошков Ni-МОКС после контакта с растворами солей Cd, Cu и Cs (рис. 11) показал, что интенсивность пиков металлов убывает в ряду Cd > Cu > Cs.
Рис. 11. Спектры РФЭС Ni-МОКС после контакта с ионами кадмия (а), меди (б), цезия (б).
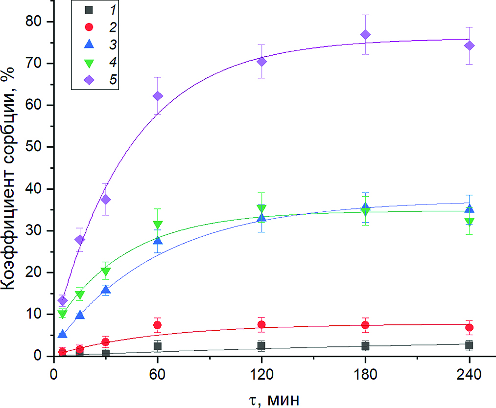
Результаты исследования кинетики адсорбции ионов Li+, Mg2+, Zn2+, Ag+, Cd2+ представлены на рис. 12. Максимальный коэффициент адсорбции достигался через 120 мин. Дальнейшее увеличение времени адсорбции не приводило к существенным изменениям. Установлено, что коэффициент и величина адсорбции, численные значения которых представлены в табл. 2, убывают в ряду Cd2+ > Ag+ > > Zn2+ > Mg2+ > Li+.
Рис. 12. Кинетика адсорбции ионов металлов: 1 – Ni-МОКС + Li+, 2 – Ni-МОКС + Mg2+, 3 – Ni-МОКС + + Zn2+, 4 – Ni-МОКС + Ag+, 5 – Ni-МОКС + Cd2+.
Таблица 2. Коэффициенты и величины адсорбции ионов металлов на Ni-МОКС (время контакта 120 мин)
Ион | Коэффициент адсорбции, % | Величина адсорбции, мг/г |
Cd2+ | 71 ± 4 | 17.7 ± 0.9 |
Ag+ | 36 ± 4 | 8.2 ± 0.6 |
Zn2+ | 33 ± 3 | 7.0 ± 0.6 |
Mg2+ | 7.5 ± 1.8 | 1.6 ± 0.4 |
Li+ | 2.4 ± 1.1 | 0.5 ± 0.2 |
Согласно принципу “жестких” и “мягких” кислот и оснований (принцип Пирсона), ионы сорбируемых металлов относятся к “мягким” (Cd2+, Ag+), переходным (Zn2+, Cu2+) и “жестким” (Mg2+, Li+, Cs+) кислотам соответственно [32]. Из анализа спектров РФЭС следует, что наиболее интенсивные пики металла отмечены на порошке после контакта с ионами кадмия. Далее интенсивность пиков металлов убывает. Анализ кинетики адсорбции ионов металлов показал, что наибольшие коэффициент и величина адсорбции также отмечены на Ni-МОКС + + Cd2+. Далее значения величин убывают. Полученные результаты согласуются с принципом Пирсона, который может применяться для оценки селективности сорбции ионов металлов [33]. Таким образом, Ni-МОКС может являться потенциальным сорбентом ионов металлов, относящихся к “мягким” кислотам.
ЗАКЛЮЧЕНИЕ
В настоящей работе показана возможность консолидации Ni-МОКС на поверхности ТМ путем самосборки конгломератов. Исследована морфология Ni-МОКС на ТМ, модифицированной разными способами. Для изменения заряда поверхности ТМ использовали кислотный гидролиз и обработку в растворе ПЭИ. Эксперименты по оценке ζ-потенциала показали, что кислотный гидролиз увеличивает отрицательный заряд носителя, а обработка в ПЭИ создает положительный заряд. Модифицирование ТМ нановолокнами из хитозана со средним диаметром 170 нм изменяло как морфологию поверхности, так и заряд. Анализ микрофотографий поверхностей мембран, полученных путем синтеза Ni-МОКС на вышеописанных носителях, показал, что на поверхностях всех носителей происходит самосборка сферических конгломератов Ni-МОКС, средний диаметр которых приблизительно одинаков для образцов на основе исходной и модифицированных ТМ и составляет ⁓25 мкм. Исследование массовых характеристик мембран показало, что наибольшая удельная масса Ni-МОКС (2.2 ± 0.3 мг/см2) достигается на ТМ/ПЭИ и ТМ + + Хитозан и незначительно превышает удельную массу МОКС на других носителях. Таким образом, изменение заряда поверхности носителя не оказывало значительного влияния на процесс самосборки Ni-МОКС.
Удельная производительность по воде образцов, полученных синтезом Ni-МОКС на ТМ/HNO3 и ТМ/ПЭИ, снизилась на 35% при давлении 0.06 МПа. Образцы, полученные синтезом Ni-МОКС на поверхности ТМ + Хитозан, сохраняли показатели производительности по воде относительно исходной ТМ. Таким образом, самосборка Ni-МОКС на ТМ с нановолокнами из хитозана на поверхности – наиболее перспективный подход, так как обеспечивает самую высокую массу Ni-МОКС при сохранении показателей удельной производительности мембраны по воде относительно исходной ТМ.
Исследование кинетики роста Ni-МОКС на ТМ + + Хитозан показало, что в процессе синтеза увеличивается средний диаметр сфер (⁓15 мкм для 2 ч и ⁓25 мкм для 24 ч), в дальнейшем они объединяются между собой. Увеличение времени синтеза до 48 ч негативно сказывается на формировании ансамблей конгломератов Ni-МОКС. Максимальная удельная масса Ni-МОКС отмечена на образце ТМ + Хитозан + + Ni-МОКС при 24 ч синтеза.
Методом РСА показано, что кристаллическая структура Ni-МОКС на ТМ + Хитозан и в виде порошка аналогична. Анализ спектров поглощения в ИК-диапазоне с преобразованием Фурье показал, что функциональные группы на поверхности образцов ТМ + Хитозан + Ni-МОКС аналогичны функциональным группам порошка Ni-МОКС. По результатам РФЭС, качественный элементный состав композита аналогичен составу Ni-МОКС в виде порошка. Таким образом, проведенный сравнительный анализ структуры Ni-МОКС в свободном состоянии и в составе композита показал, что синтез Ni-МОКС на ТМ + Хитозан не изменяет исходную структуру Ni-МОКС.
Анализ спектров РФЭС порошков Ni-МОКС после контакта с растворами солей Cd, Cu и Cs показал, что интенсивность пиков металлов убывает в ряду Cd > Cu > Cs. Анализ кинетики адсорбции ионов металлов показал, что коэффициенты и величины адсорбции убывают в ряду Cd2+ > Ag+ > > Zn2+ > Mg2+ > Li+. Используя принцип Пирсона, можно выдвинуть предположение, что Ni-МОКС может являться потенциальным сорбентом ионов металлов, относящихся к “мягким” кислотам. Таким образом, консолидация никелевой металл-органической каркасной структуры на трековой мембране открывает возможности создания композитов, способных сорбировать ионы тяжелых металлов, а также задерживать коллоидные частицы с адсорбированными ионами тяжелых металлов.
БЛАГОДАРНОСТЬ
Авторы выражают глубокую благодарность сотруднику Института элементоорганических соединений им. А.Н. Несмеянова РАН А.Г. Буяновской за проведение элементного CHN-анализа.
ФИНАНСИРОВАНИЕ РАБОТЫ
Работа выполнена в рамках проблемно-тематического плана ОИЯИ №07-5-1131-2-2024/2028 “Нанокомпозитные и функциональные трековые мембраны”.
КОНФЛИКТ ИНТЕРЕСНОВ
Авторы заявляют об отсутствии конфликта интересов.
About the authors
O. Y. Ponomareva
Joint Institute for Nuclear Research; Dubna State University
Author for correspondence.
Email: oyuivanshina@mail.ru
Russian Federation, 6 Joliot-Curie St, Dubna, 141980; 19 Universitetskaya St, Dubna, 141982
N. A. Drozhzhin
Joint Institute for Nuclear Research; Dubna State University
Email: oyuivanshina@mail.ru
Russian Federation, 6 Joliot-Curie St, Dubna, 141980; 19 Universitetskaya St, Dubna, 141982
I. I. Vinogradov
Joint Institute for Nuclear Research; Dubna State University
Email: oyuivanshina@mail.ru
Russian Federation, 6 Joliot-Curie St, Dubna, 141980; 19 Universitetskaya St, Dubna, 141982
T. N. Vershinina
Joint Institute for Nuclear Research; Dubna State University
Email: oyuivanshina@mail.ru
Russian Federation, 6 Joliot-Curie St, Dubna, 141980; 19 Universitetskaya St, Dubna, 141982
V. A. Altynov
Joint Institute for Nuclear Research
Email: oyuivanshina@mail.ru
Russian Federation, 6 Joliot-Curie St, Dubna, 141980
I. Zuba
Institute of Nuclear Chemistry and Technology
Email: oyuivanshina@mail.ru
Poland, Dorodna 16, Warsaw, 03-195
A. N. Nechaev
Joint Institute for Nuclear Research; Dubna State University
Email: oyuivanshina@mail.ru
Russian Federation, 6 Joliot-Curie St, Dubna, 141980; 19 Universitetskaya St, Dubna, 141982
A. Pawlukojć
Institute of Nuclear Chemistry and Technology
Email: oyuivanshina@mail.ru
Poland, Dorodna 16, Warsaw, 03-195
References
- Rocio-Bautista P., Gonzalez-Hernandez P., Pino V. et al. // TrAC, Trends Anal. Chem. 2017. V. 90. P. 114. https://doi.org/10.1016/j.trac.2017.03.002
- Князева М.К., Соловцова О.В., Цивадзе А.Ю. и др. // Журн. неорган. химии. 2019. Т. 64. № 12. С. 1271. https://doi.org/10.1134/S0044457X19120067
- Murray L.J., Dinca M., Long J.R. // Chem. Soc. Rev. 2009. V. 38. P. 1294. https://doi.org/10.1039/b802256a
- Li J.-R., Kuppler R.J., Zhou H.-C. // Chem. Soc. Rev. 2009. V. 38. P. 1477. https://doi.org/10.1039/b802426j
- Manousi M., Giannakoudakis D.A., Rosenberg E. et al. // Molecules. 2019. V. 24. P. 4605. https://doi.org/10.3390/molecules24244605
- Safaei M., Foroughi M.M., Ebrahimpoor N. et al. // TrAC, Trends Anal. Chem. 2019. V. 118. P. 401. https://doi.org/10.1016/j.trac.2019.06.007
- Kang H.X., Fu Y.Q., Xin L.Y. et al. // Russ. J. Gen. Chem. 2020. V. 90. № 12. P. 2365. https://doi.org/10.1134/S107036322012021X
- Юткин М.П., Дыбцев Д.Н., Федин В.П. // Успехи химии. 2011. Т. 80. № 11. С. 1061.
- Zhu H., Liu D. // J. Mater. Chem. A. 2019. V. 7. P. 21004. https://doi.org/10.1039/C9TA05383B
- Xu X., Hartanto Yu., Zheng J. et al. // Membranes. 2022. V. 12. P. 1205. https://doi.org/10.3390/membranes12121205
- Hyuk Taek Kwon, Hae-Kwon Jeong // J. Am. Chem. Soc. 2013. V. 135. 29. P. 10763. https://doi.org/10.1021/ja403849c
- Виноградов И.И., Петрик Л., Серпионов Г.В. и др. // Мембраны и мембранные технологии. 2021. Т. 11. № 6. С. 447.
- Виноградов И.И., Андреев Е.В., Юшин Н.С. и др. // Теоретические основы химической технологии. 2023. Т. 57. № 4. С. 479. https://doi.org/10.31857/S0040357123040176
- Efome J.E., Rana D., Matsuura T. et al. // J. Mater. Chem. A. 2018. V. 6. P. 455. https://doi.org/10.1039/c7ta10428f
- Wahiduzzaman, Allmond K., Stone J. et al. // Nanoscale Res. Lett. 2017. V. 12. Art. 6. https://doi.org/10.1186/s11671-016-1798-6
- Lv L., Han X., Mu M. et al. // J. Membr. Sci. 2021. V. 622. P. 119049. https://doi.org/10.1016/j.memsci.2021.119049
- Arbulu R.C., Jiang Y.-B., Peterson E.J. et al. // Angew. Chem. Int. Ed. 2018. V. 57. P. 5813. https://doi.org/10.1002/anie.201802694
- Yu B., Ye G., Chen J. et al. // Environ. Pollut. 2019. V. 253. P. 39. https://doi.org/10.1016/j.envpol.2019.06.114
- Caddeo F., Vogt R., Weil D. et al. // ACS Appl. Mater. Interfaces. 2019. V. 11. P. 25378 https://doi.org/10.1021/acsami.9b04449
- Ivanshina O.Yu., Zuba I., Sumnikov S.V. et al. // AIP Conf. Proc. 2021. V. 2377. P. 020001. https://doi.org/10.1063/5.0063607
- Zuba I., Zuba M., Piotrowski M. et al. // Appl. Radiat. Isot. 2020. V. 162. P. 109176. https://doi.org/10.1016/j.apradiso.2020.109176
- Deleu W.P.R., Stassen I., Jonckheere D. et al. // J. Mater. Chem. A. 2016. V. 4. № 24. P. 9519. https://doi.org/10.1039/C6TA02381A
- Kristavchuk O.V., Nikiforov I.V., Kukushkin V.I. et al. // Colloid J. 2017. V. 79. № 5. P. 637. https://doi.org/10.1134/S1061933X17050088
- Березкин В.В., Васильев А.Б., Цыганова Т.В. и др. // Мембраны. 2008. Т. 4. № 40. С. 3
- Lutterotti L., Matthies S., Wenk H. // IUCr: Newsletter of the CPD. 1999. V. 21. P. 14.
- Cardenas Bates I.I., Loranger É., Chabot B. // SN Appl. Sci. 2020. V. 2. P. 1540. https://doi.org/10.1007/s42452-020-03342-5
- Zhuang Zh., Cheng J., Jia H. et al. // Vib. Spectrosc. 2007. V. 43. № 2. P. 306. https://doi.org/10.1016/j.vibspec.2006.03.009
- Ivanova B.B. // Spectrochim. Acta. A. 2006. V. 64. P. 931. https://doi.org/10.1016/j.saa.2005.08.022
- Mendiratta Sh., Usman M., Luo T.-T. et al. // Cryst. Growth Des. 2014. V. 14. P. 1572. https://doi.org/10.1021/cg401472k
- Li B., ShanShan Ch.-L., ZhouZhou Q. et al. // Mar. Drugs. 2013. V. 11. № 5. P. 1534. https://doi.org/10.3390/md11051534
- Prasad S.G., De A., De U. // Int. J. Spectrosc. 2011. V. 2011. P. 1. https://doi.org/10.1155/2011/810936
- Pearson R.G. // J. Am. Chem. Soc. 1963. V. 85. № 22. P. 3533. https://doi.org/10.1021/ja00905a001
- Peng Ya., Huang H., Zhang Yu. et al. // Nat. Commun. 2018. V. 9. P. 187. https://doi.org/10.1038/s41467-017-02600-2
Supplementary files














