Determination of Conditions for Selective Sorption of Silver(I) on Thiocarbamoylated Polyethylene
- Authors: Melnik E.A.1,2, Petrova Y.S.1, Neudachina L.К.2, Pestov A.V.2,3, Osipova V.A.3
-
Affiliations:
- UNIIM – Affiliated Branch of the D. I. Mendeleyev Institute for Metrology
- Ural Federal University named after the first President of Russia B.N. Yeltsin (UrFU)
- I.Ya. Postovsky Institute of Organic Synthesis of the Ural Branch of the Russian Academy of Sciences
- Issue: Vol 69, No 6 (2024)
- Pages: 891-898
- Section: ФИЗИКОХИМИЯ РАСТВОРОВ
- URL: https://ogarev-online.ru/0044-457X/article/view/273153
- DOI: https://doi.org/10.31857/S0044457X24060116
- EDN: https://elibrary.ru/XTDEGO
- ID: 273153
Cite item
Full Text
Abstract
Sorption properties of thiocarbamoylated polyethylene with respect to silver(I) from multicomponent solutions have been studied. It was found that the synthesized sorbent is characterized by a high sorption capacity and selectivity with respect to silver ions. In the static sorption mode, quantitative extraction is possible from solutions with a concentration of Ag(I) 1 · 10–4 mol/dm3 in the pH range from 1 to 7, with concomitant Ca(II), Mg(II), Cu(II), Fe(III), Zn(II), Cd(II), Ni(II), Mn(II), Co(II), Pb(II) have no effect on the degree of extraction of silver ions. The high selectivity of sorption is maintained under dynamic conditions in the presence of excessive amounts of base metal ions at pH 2. The total dynamic sorption capacity for silver is 0.35 mmol/g (solution transmission rate 2 cm3/min, pH 2, sorbent weight 0.1 g, C = 1 · 10–4 mol/dm3). The composition of the eluents providing the highest values of the degree of desorption of silver from the surface of the sorbent has been determined. It was found that during sorption using a sorbent after the sorption-desorption stage, its silver capacity decreases slightly.
Full Text
ВВЕДЕНИЕ
В базе данных продуктов нанотехнологий (Nanotechnology Products Database (NPD) https://product.statnano.com/introduction) можно найти ⁓950 потребительских товаров, содержащих серебро, в более чем 15 различных отраслях производства [1], данный показатель постоянно растет и на сегодняшний день число таких товаров достигает 1071. Наночастицы серебра приобретают особый спрос благодаря их уникальным дезинфицирующим и антибактериальным свойствам [2], немаловажным является возможность их синтеза с помощью технологий “зеленой” химии [3–5]. Несмотря на широкую область применения, серебро запрещено использовать при производстве чистящих средств, поскольку при использовании очистителя данные ионы попадают в сточную воду, а затем в окружающую среду. Это может привести к нарушению микробиологической экосистемы и способствовать развитию резистентности у бактерий к Ag(I) [6].
Серебро существует в различных формах, но особенно токсично в форме Ag+ [7] для водных организмов даже при низкой концентрации [8]. Постоянное кормление морских бокоплавов пищей, содержащей серебро, приводит к возникновению мутогенеза [9]. Установлено, что серебро поступает в организм водных животных через жабры и оказывает негативное воздействие непосредственно на данный орган, что приводит к нарушению дыхания и, как следствие, к гипоксии [10], эмбриональным повреждениям, митохондриальной дисфункции [11] и в итоге к меньшей выживаемости рыб [12]. Следовательно, возникает необходимость строгого контроля концентрации ионов серебра в воде [13]. Низкое содержание серебра в различных объектах (объектах окружающей среды, биологических пробах и т.д.) наряду со сложностью их состава определяет необходимость использования методов разделения и концентрирования на стадии пробоподготовки. Наиболее распространенным методом концентрирования является сорбция [14–17] с использованием комплексообразующих материалов. Пригодными для сорбции ионов серебра являются материалы на органических и неорганических матрицах, функционализированные серосодержащими группами, например дитиооксамидными [18], тиольными [19–21] или тиомочевинными [22–24]. При этом тиомочевинные группы выгодно отличаются высоким содержанием электронодонорных атомов азота и серы в своем составе, а сорбенты, их содержащие, простотой синтеза.
Настоящая работа посвящена исследованию сорбционных свойств тиокарбамоилированного полиэтилена (ТП) с целью определения перспектив использования данного материала для селективного концентрирования серебра(I).
ЭКСПЕРИМЕНТАЛЬНАЯ ЧАСТЬ
Реактивы. AgNO3, Mg(NO3)2 · 6H2O, Cd(NO3)2 · · 4H2O, Zn(NO3)2 · 6H2O, Ca(NO3)2 · 6H2O, Pb(NO3)2, Mn(NO3)2 · 6H2O, Co(NO3)2 · 6H2O, Cu(NO3)2 · 3H2O, Ni(NO3)2 · 6H2O, Fe(NO3)3 · 6H2O, CS (NH2)2, диметилформамид квалификации “х. ч.”; HNO3, H2SO4, CH3COOH, NH3 квалификации “ос. ч.”, поливинилхлорид.
Оборудование. Деионизованная вода получена при помощи системы высокой очистки Milli-Q Academic (Millipore, США). Определение концентрации ионов металлов в растворах до и после сорбции проводили методом пламенной атомно-абсорбционной спектрометрии с помощью спектрометра Solaar M6 (Thermo Scientific, США). Кислотность растворов контролировали при помощи иономера И-160МИ, который оснащен стеклянным комбинированным электродом ЭСК 10601/7 (Измерительная техника, Россия). Точные навески брали с использованием аналитических весов ALC-210d4 фирмы “Acculab” (Sartorius, Германия).
Исследование влияния pH на сорбцию ионов металлов в статическом режиме. На аналитических весах в сухие конические колбы помещали навески сорбента (с диаметром частиц (d) <0.071 мм) массой 0.0100 г. Далее приливали 50.0 см3 модельного раствора, содержащего Ag+, Ca2+, Mg2+, Ni2+, Co2+, Pb2+, Cd2+, Zn2+, Mn2+, Cu2+, Fe3+ (рН от 1 до 6); при рН от 7 до 8 в раствор не вводили Pb2+, Fe3+, концентрация каждого иона металла в растворе составляла 1 × 10–4 моль/л, далее оставляли системы при периодическом перемешивании на 24 ч. Кислотность среды создавали с помощью азотной кислоты (рН 1–2) или аммиачно-ацетатного буферного раствора (рН 3–8). Далее смесь фильтровали. Определяли концентрацию ионов металлов в растворах методом атомно-абсорбционной спектрометрии. Дополнительно изучена сорбция ионов металлов из растворов следующего состава: Ag+ – 4 × 10–4 моль/л; Cu2+ – 2 × 10–4 моль/л; Ca2+, Mg2+, Ni2+, Co2+, Pb2+, Cd2+, Zn2+, Mn2+, Fe3+ – 1 × 10–4 моль/л. По разнице концентраций растворов до и после сорбции с учетом массы сорбента и объема модельного раствора рассчитывали значения количества сорбированного иона металла в ммоль/г. Аналогично получали изотерму сорбции серебра(I) на ТП при его индивидуальном присутствии в растворе с pH 2.
Исследование сорбции ионов металлов в динамическом режиме. Модельный раствор с рН 2 пропускали через концентрирующий патрон ДИАПАК, заполненный 0.0100, 0.0500 или 0.1000 г сорбента (0.125 мм > d > 0.100 мм) со скоростью 2 см3/мин. Выходящий из патрона раствор собирали порциями по 15 см3. По полученным данным строили выходные динамические кривые сорбции ионов металлов, рассчитывали значения степени их извлечения. После проводили десорбцию сорбированных ионов путем последовательного пропускания следующих растворов: 1 моль/л H2SO4 (10 см3), 1 моль/л H2SO4 и 0.5% тиомочевины (ТМ) (20 см3); 1 моль/л H2SO4 и 1% ТМ (10 см3), 1 моль/л H2SO4 и 5% ТМ (10 см3). Значение полной динамической сорбционной емкости (ПДЕ) рассчитывали по формуле (1):
(1)
где С0 – концентрация серебра(I) в модельном растворе, мг/л; Сi – концентрация серебра(I) в порции фильтрата, мг/л; V – объем одной порции пропущенного через патрон модельного раствора, 0.015 л; М – молярная масса серебра, г/моль; m – масса сорбента, г.
Полученные выходные кривые сорбции серебра(I) ТП обрабатывали с использованием модели Томаса (2) [25].
, (2)
где С0 – концентрация серебра(I) в модельном растворе, мг/л; С – концентрация серебра(I) в порции фильтрата, мг/л; kT – константа скорости Томаса, л/(ммоль · ч); Q0 – количество сорбированного серебра(I) на единицу массы сорбента, мг/г; m – масса сорбента, г; ν – скорость потока, л/ч; t – время, ч.
Расчет степени извлечения и степени десорбции в каждом цикле осуществляли по формулам (3) и (4):
, (3)
где R – степень извлечения серебра(I) в i-цикле; aсорб – количество серебра(I), сорбировавшееся в i-цикле; aмод. р-р – количество серебра(I), пропущенное через патрон с сорбентом в i-цикле;
, (4)
где D – степень десорбции серебра(I) в i-цикле; aдесорб – количество серебра(I), десорбировавшееся в i-цикле; aсорб – количество серебра(I), сорбировавшееся в i-цикле.
Синтез тиокарбамоилированного полиэтилена. Условия синтеза были подобраны на основании результатов исследования, представленных в статье [26]. Обработку поливинилхлорида тиомочевиной осуществляли следующим образом: смесь 6 см3 диметилформамида, 2.5 г (0.04 моль) поливинилхлорида и 6.1 г (0.08 моль) тиомочевины выдерживали 18 ч при 150°С. После охлаждения полученный продукт диспергировали в 50 см3 воды, осадок отфильтровывали, промывали его водой до отсутствия в промывных водах роданид-иона и сушили до постоянной массы при комнатной температуре. Выход 2.4 г (89%), массовая доля серы 11.25 ммоль/г. ИК-спектр сорбента представлен в дополнительных материалах (рис. S1).
РЕЗУЛЬТАТЫ И ОБСУЖДЕНИЕ
Исследование сорбции серебра(I) на ТП из многокомпонентных растворов проводили в статическом режиме. Установлено, что исследуемым сорбентом из многокомпонентных растворов преимущественно извлекаются ионы серебра, а сорбция ионов остальных металлов незначительна (не превышает 10%) (рис. 1). При эквимолярных концентрациях всех ионов металлов селективное и количественное извлечение ионов серебра происходит в диапазоне рН от 1 до 7, при повышении концентрации в 4 раза степень извлечения в данном диапазоне рН составляет 82–92%. При рН > 6 сорбция данных ионов уменьшается, что связано с образованием аммиачных комплексов серебра. В сильнокислой среде при понижении рН от 1 до 0 количество извлеченного серебра также понижается, что связано с преобладанием конкурирующего процесса – протонирования функциональных групп сорбента. Данный эффект также описан в работах [27–29].
Рис. 1. Влияние кислотности среды на сорбцию ионов серебра из многокомпонентной системы. 1 – С = = 1 × 10–4 моль/л, С = 4 × 10–4 моль/л; 2 – С = = 1 × 10–4 моль/л, С = 1 × 10–4 моль/л; mсорбента = = 0.0100 г, d < 0.071 мм.
На рис. 2 приведена изотерма сорбции серебра(I) на ТП при рН 2. Установлено, что наилучшим образом экспериментальные данные описываются моделью Редлиха–Петерсона (коэффициент детерминации 0.939), константа изотермы Редлиха–Петерсона 3674 моль/л. Значение сорбционной емкости сорбента по серебру(I) составило 4.4 ммоль/г. При рН 6 и исходной концентрации серебра(I) 0.25 ммоль/л функционализированная тиомочевинными группами мембрана [23] способна количественно извлекать ионы серебра, максимальное извлечение составляет 1.86 ммоль/г. Исследуемый в настоящей работе сорбент характеризуется высоким значением сорбционной емкости по серебру, что определяется низкой молекулярной массой звена полимера, а следовательно, высоким содержанием привитых тиомочевинных групп на единицу массы ТП. При этом, согласно литературным данным [23, 30], серебро(I) может взаимодействовать как с атомами азота, так и с атомами серы за счет образования донорно-акцепторной связи.
Рис. 2. Изотерма сорбции серебра(I) – и результаты ее обработки математическими моделями. С = 1 × × 10–4 моль/л; mсорбента = 0.0100 г, d < 0.071 мм, рН 2.
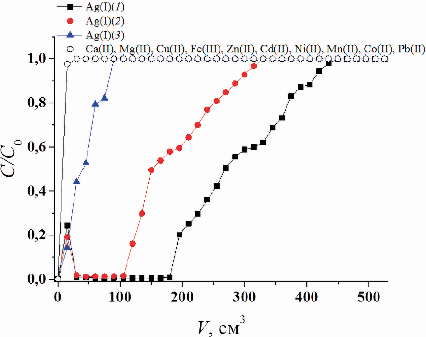
На рис. 3 представлены выходные динамические кривые сорбции ионов металлов на ТП при использовании разной массы сорбента. Из полученных данных видно, что проскок ионов серебра наблюдается уже в первой порции фильтрата как при использовании 0.0100 г, так и 0.1000 г сорбента. Степень извлечения иона металла из первой порции модельного раствора составляет 75–85%. Это обстоятельство напрямую связано с высокой скоростью пропускания модельного раствора. В литературе описаны и другие сорбционные материалы, содержащие в своем составе тиомочевинные группы, привитые к органической матрице. Например, в работе [23] установлено, что с увеличением скорости потока Ag(I) не успевает связаться с тиомочевинными группами мембраны (поливинилиденфторид) при скорости 5.5 и 6.5 см3/мин, поэтому авторами [23] выбрана скорость потока 4.5 см3/мин. Проскок ионов серебра, наблюдаемый на рис. 3, также можно объяснить гидрофобностью матрицы [31].
Рис. 3. Динамические выходные кривые сорбции ионов металлов на тиокарбамоилированном полиэтилене: mсорбента = = 0.1000 г (1), 0.0500 г (2); 0.0100 г (3); С = 1 × 10–4 моль/л; С = 8 × 10–4 моль/л; 0.125 мм > d > 0.100 мм, скорость пропускания модельного раствора 2 см3/мин, рН 2.
Установлено, что степень извлечения серебра из первых 15 см3 раствора при последовательном увеличении навески на 0.05 г с каждым разом уменьшается на 5%. Если в концентрирующем патроне находится 0.01 г сорбента, при дальнейшем пропускании 75 см3 модельного раствора степень извлечения Ag(I) достигает нулевого значения, в то время как для 0.05 и 0.1 г степень извлечения достигает 98.6 и 99.4% соответственно. При пропускании суммарного объема 150 см3 происходит извлечение ионов серебра на 50% для навески сорбента 0.05 г и на 99% для навески 0.1 г. В табл. 1 приведены результаты обработки динамических выходных кривых сорбции серебра(I) ТП по модели Томаса.
Таблица 1. Значения полной динамической емкости ТП по серебру(I) и результаты обработки динамических выходных кривых сорбции серебра(I) ТП по модели Томаса
Масса сорбента, г | ПДЕ, ммоль/г | Константа скорости Томаса, л/(ммоль ч) | Коэффициент детерминации |
0.01 | 0.354 ± 0.020 | 0.78 ± 0.10 | 0.974 |
0.05 | 0.332 ± 0.009 | 0.274 ± 0.026 | 0.964 |
0.10 | 0.365 ± 0.006 | 0.157 ± 0.012 | 0.970 |
Установлено, что динамические выходные кривые сорбции серебра(I) ТП различной массы удовлетворительно описываются моделью Томаса. При увеличении количества сорбента в патроне закономерно возрастает абсолютное количество сорбированного серебра(I) (рис. 3), но константа скорости сорбции уменьшается. Значение полной динамической емкости меняется в пределах погрешности и в среднем составляет 0.35 ммоль/г.
Емкость тиокарбамоилированного поли-3-аминопропилсилсесквиоксана по серебру(I) составляет 0.13 ммоль/г [32]. Авторы [23] также отмечают, что при увеличении толщины сорбционного слоя прямо пропорционально увеличивается и сорбция ионов серебра, данная зависимость подтверждена и в настоящей работе.
Установлено, что сопутствующие ионы металлов в условиях эксперимента практически не извлекаются исследуемым сорбентом (рис. 3). При увеличении концентрации ионов неблагородных металлов до 8 × 10–4 моль/л степень извлечения ионов серебра не понижается, в то время как в работе [23] установлено, что с увеличением концентрации Cu(II), Ni(II) и Co(II) сорбция Ag(I) из бинарных растворов снижается на 2.5, 4.4 и 6.3% соответственно. Авторы связывают это с конкурирующими процессами за места сорбции на мембране. При этом введение в раствор Cu(II), Co(II) или Ni(II) приводит к значительному уменьшению сорбционной емкости сорбента по серебру(I) до проскока [23].
На основании проведенных экспериментов можно сделать вывод, что в зависимости от концентрации возможно варьирование массы сорбента, которая сможет с наибольшей эффективностью обеспечить практически количественную сорбцию серебра(I) и позволит избежать лишних затрат.
Для оценки регенерационных свойств сорбента проведена десорбция сорбированных ионов путем последовательного пропускания через патрон с сорбентом раствора серной кислоты и сернокислых растворов тиомочевины различной концентрации. Наибольшая степень десорбции серебра наблюдается при использовании 1 моль/л Н2SO4 и 0.5% тиомочевины: 24.7 (0.01 г), 72 (0.05 г) и 77% (0.1 г). Однако при десорбции относительно небольших количеств серебра с навески 0.01 г наиболее подходящим элюентом является 1 моль/л Н2SO4 – 47%. Пропускание последующих растворов элюентов приводит к элюированию не более чем 5%.
Для исследования возможности многократного использования сорбента в непрерывных процессах сорбции–десорбции провели три последовательных цикла сорбции–десорбции (рис. 4). Десорбцию после каждой стадии сорбции осуществили путем последовательного пропускания элюентов: 1 моль/л H2SO4 (10 см3), 1 моль/л H2SO4 и 0.5% ТМ (20 см3); 1 моль/л H2SO4 и 1% ТМ (10 см3), 1 моль/л H2SO4 и 5% ТМ (10 см3). Установлено, что при использовании 0.1000 г сорбента высокая степень извлечения серебра(I) сохраняется при проведении второго цикла сорбции и составляет 86% (степень десорбции 76%). В третьем цикле ионы серебра извлекаются на 76%, степень десорбции 68%. При использовании 0.0500 г сорбента степень извлечения серебра(I) существенно понижается с каждым последующим циклом сорбции–десорбции. В работе [23] снижение степени извлечения Ag(I) на 4.15% происходит за восемь последовательных циклов при использовании элюента 0.3 моль/л тиомочевины и 0.1 моль/л HNO3, данный элюент можно использовать повторно без видимой потери эффективности регенерации после восьми циклов путем осаждения из элюата сульфида серебра. На рис. 4а наблюдается резкое падение значения степени извлечения серебра(I) в третьем цикле, что связано с нехваткой свободных серосодержащих и/или азотсодержащих групп на поверхности сорбента.
Рис. 4. Зависимость степени извлечения серебра(I) от объема пропущенного раствора, mсорбента = 0.1 г (а), 0.05 г (б). 1 – первый цикл сорбции; 2 – второй цикл сорбции; 3 – третий цикл сорбции. С = 1 × 10–4 моль/л; С = 8 × × 10–4 моль/л; 0.125 мм > d > 0.100 мм, скорость пропускания модельного раствора 2 см3/мин, рН 2.
Авторами статьи [33] исследованы различные промышленно выпускаемые сорбенты для извлечения серебра. Лучшие свойства показали C115HMR (функциональные группы карбоновой кислоты, степень извлечения >85%), Chelex100 (иминодиацетатные группы, степень извлечения 75–85%) и SB TA (функциональные группы толиловой кислоты, степень извлечения 75–85%). Исследуемый в настоящей работе сорбент показывает хорошие сорбционные свойства на протяжении двух последовательных циклов сорбции–десорбции (степень извлечения >85%, степень десорбции >75%).
ЗАКЛЮЧЕНИЕ
В результате проведенных исследований можно заключить, что тиокарбамоилированный полиэтилен позволяет осуществлять селективное и количественное извлечение ионов серебра из многокомпонентных растворов в широком диапазоне кислотности как в статическом, так и в динамическом режиме сорбции. Установлено, что количественная сорбция серебра на ТП возможна и в динамическом режиме в присутствии избыточных количеств сопутствующих ионов неблагородных металлов (скорость пропускания 2 см3/мин, рН 2, масса сорбента 0.1 г, С = 1 × 10–4 моль/л). Также исследуемый сорбент демонстрирует хорошие сорбционные свойства на протяжении двух последовательных циклов сорбции–десорбции (степень извлечения >85%, степень десорбции >75%), что свидетельствует о перспективности его применения в последовательных циклах при концентрировании ионов серебра методом твердофазной экстракции, например, для очистки производственных выбросов от серебра(I). При условии подбора состава элюентов, обеспечивающих количественную десорбцию, возможно его применение для разработки новых методик сорбционно-спектрометрического определения серебра(I).
ФИНАНСИРОВАНИЕ РАБОТЫ
Исследование выполнено при финансовой поддержке Министерства науки и высшего образования РФ в рамках Программы развития Уральского федерального университета имени первого Президента России Б.Н. Ельцина в соответствии с программой стратегического академического лидерства “Приоритет-2030”.
КОНФЛИКТ ИНТЕРЕСОВ
Авторы заявляют об отсутствии конфликта интересов.
ДОПОЛНИТЕЛЬНАЯ ИНФОРМАЦИЯ
Онлайн-версия содержит дополнительные материалы, доступные по адресу: https://doi.org/10.1016/j.scitotenv.2022.158113
About the authors
E. A. Melnik
UNIIM – Affiliated Branch of the D. I. Mendeleyev Institute for Metrology; Ural Federal University named after the first President of Russia B.N. Yeltsin (UrFU)
Author for correspondence.
Email: ea-melnik@mail.ru
Russian Federation, Yekaterinburg, 620075; Yekaterinburg, 620002
Y. S. Petrova
UNIIM – Affiliated Branch of the D. I. Mendeleyev Institute for Metrology
Email: ea-melnik@mail.ru
Russian Federation, Yekaterinburg, 620075
L. К. Neudachina
Ural Federal University named after the first President of Russia B.N. Yeltsin (UrFU)
Email: ea-melnik@mail.ru
Russian Federation, Yekaterinburg, 620002
A. V. Pestov
Ural Federal University named after the first President of Russia B.N. Yeltsin (UrFU); I.Ya. Postovsky Institute of Organic Synthesis of the Ural Branch of the Russian Academy of Sciences
Email: ea-melnik@mail.ru
Russian Federation, Yekaterinburg, 620002; Yekaterinburg, 620137
V. A. Osipova
I.Ya. Postovsky Institute of Organic Synthesis of the Ural Branch of the Russian Academy of Sciences
Email: ea-melnik@mail.ru
Russian Federation, Yekaterinburg, 620137
References
- Calisi А., Lorusso C., Gallego-Urrea J.A. et al. // Sci. Total Environ. 2022. V. 851. P. 158113. https://doi.org/10.1016/j.scitotenv. 2022. 158113
- Sim W., Barnard R.T., Blaskovich M.A.T. et al. // Antibiotics. 2018. V. 7. № 4. P. 93. https://doi.org/10.3390/antibiotics7040093
- Borah D., Das N., Sarmah P. et al. // Mater. Today Commun. 2023. V. 34. P. 105110. https://doi.org/10.1016/j.mtcomm.2022.105110
- Khatabi H., Bidoki S.M., Haji A. // Mater. Chem. Phys. 2022. V. 290. P. 126548. https://doi.org/10.1016/j.matchemphys.2022.126548
- Singh C., Anand S.K., Upadhyay R. et al. // Mater. Chem. Phys. 2023. V. 297. P. 127413. https://doi.org/10.1016/j.matchemphys.2023.127413
- Yu S., Yin Y., Liu J. // Environ. Sci.: Processes Impacts. 2013. V. 15. P. 78. https://doi.org/10.1039/C2EM30595J
- Morgan T.P., Wood C.M. // Environ Toxicol Chem. 2004. V. 23. № 5. Р. 1261. https://doi.org/10.1897/03-181
- Bilberg K., Malte H., Wang T. et al. // Aquat. Toxicol. 2010. V. 96. № 2. P. 159. https://doi.org/10.1016/j.aquatox.2009.10.019
- Botelho M.T., Passos M.J.A.R.C., Trevizani T.H. et al. // Mutat. Res., Genet. Toxicol. Environ. Mutagen. 2022. V. 881. P. 503527. https://doi.org/10.1016/j.mrgentox.2022.503527
- Andreï J., Guérold F., Bouquerel J. et al. // Aquat. Toxicol. 2023. V. 256. P. 106421. https://doi.org/10.1016/j.aquatox.2023.106421
- Xiang Q.Q., Kang Y.H., Lian L.H. et al. // Aquat. Toxicol. 2022. V. 252. P. 106318. https://doi.org/10.1016/j.aquatox.2022.106318
- Yeo M.K., Kang M. // Bull. Korean Chem. Soc. 2008. V. 29. № 6. P. 1179. https://doi.org/10.5012/bkcs.2008.29.6.1179
- Padhye L.P., Jasemizad T., Bolan S. et al. // Sci. Total Environ. 2023. V. 871. P. 161926. https://doi.org/10.1016/j.scitotenv.2023.161926
- Islam M.A., Dada T.K., Parvin M.I. et al. // J. Water Process Engineer. 2022. V. 48. P. 102935. https://doi.org/10.1016/j.jwpe.2022.102935
- Петрова Ю.С., Алифханова Л.М.К., Кузнецова К.Я. и др. // Журн. неорган. химии. 2022. Т. 67. № 7. С. 991.
- Корнейков Р.И. // Неорган. материалы. 2021. Т. 57. № 4. С. 437.
- Алифханова Л.М.К., Петрова Ю.С., Босенко С.Н. и др. // Журн. неорган. химии. 2021. Т. 66. № 4. С. 540.
- Çelik Z., Gülfen M., Aydın A.O. // J. Hazard. Mater. 2010. V. 174. № 1–3. P. 556. https://doi.org/10.1016/j.jhazmat.2009.09.087
- Maleki H., Durães L., Portugal A. // J. Non-Cryst. Solids. 2014. V. 385. P. 55. https://doi.org/10.1016/j.jnoncrysol.2013.10.017
- Ladhe A.R., Frailie P., Hua D. et al. // J. Membr. Sci. 2009. V. 326. № 2. P. 460. https://doi.org/10.1016/j.memsci.2008.10.025
- Herman P., Pércsi D., Fodor T. et al. // J. Mol. Liq. 2023. V. 387. P. 122598. https://doi.org/10.1016/j.molliq.2023.122598
- Melnyk I.V., Vaclavikova M., Ivanicova L. et al. // Appl. Surface Sci. 2023. V. 609. P. 155253. https://doi.org/10.1016/j.apsusc.2022.155253
- Liu P., Wang X., Tian L., et al. // J. Water Process Engineer. 2020. V. 34. P. 101184. https://doi.org/10.1016/j.jwpe.2020.101184
- Losev V.N., Elsufiev E.V., Buyko O.V. et al. // Hydrometallurgy. 2018. V. 176. P. 118. https://doi.org/10.1016/j.hydromet.2018.01.016
- Thomas H.C. // J. Am. Chem. Soc. 1944. V. 66. № 10. P. 1466.
- Родионова А.П., Землякова Е.О., Корякова О.В. и др. // Известия АН. Сер. Химическая. 2019. № 6. С. 1248.
- Zhang L., Zhao Y., Mu C. et al. // Sustainable Chem. Pharm. 2020. V. 17. P. 100287. https://doi.org/10.1016/j.scp.2020.100287
- Ghanei-Motlagh M., Fayazi M., Taher M.A. et al. // Chem. Eng. J. 2016. V. 290. P. 53. https://doi.org/10.1016/j.cej.2016.01.025
- Akhond M., Absalan G., Sheikhian L. et al. // Sep. Purif. Technol. 2006. V. 52. P. 53. https://doi.org/10.1016/j.seppur.2006.03.014
- Yang T., Zhanga L., Zhong L. et al. // Hydrometallurgy. 2018. V. 175. P. 179. https://doi.org/10.1016/j.hydromet.2017.11.007
- Safarpour M., Safikhani A., Vatanpour V. // Sep. Purif. Technol. 2021. V. 279. P. 119678. https://doi.org/10.1016/j.seppur.2021.119678
- Мельник Е.А., Сысолятина А.А., Холмогорова А.С. и др. // Эталоны. Стандартные образцы. 2022. Т. 18(2). С. 57. https://doi.org/10.20915/2077-177-2022-18-2-57-71
- Kinnunen V., Perämäki S., Matilainen R. // Spectrochim. Acta. Part B. 2022. V. 193. P. 106431. https://doi.org/10.1016/j.sab.2022.106431
Supplementary files






