Исследование влияния концентрации скандия в оксидной композиции Y2O3–Sc2O3–Al2O3–Er2O3 на теплофизические свойства оптической керамики
- Авторы: Чикулина И.С.1, Вакалов Д.С.1, Кичук С.Н.1, Тарала В.А.1, Малявин Ф.Ф.2, Кожитов Л.В.2
-
Учреждения:
- Северо-Кавказский федеральный университет
- Национальный исследовательский технологический университет “МИСиС”
- Выпуск: Том 69, № 1 (2024)
- Страницы: 49-57
- Раздел: ФИЗИКО-ХИМИЧЕСКИЙ АНАЛИЗ НЕОРГАНИЧЕСКИХ СИСТЕМ
- URL: https://ogarev-online.ru/0044-457X/article/view/257697
- DOI: https://doi.org/10.31857/S0044457X24010065
- EDN: https://elibrary.ru/ZZSDUE
- ID: 257697
Цитировать
Полный текст
Аннотация
Исследовано влияние концентрации и положения катионов скандия на теплофизические характеристики оптической керамики на основе твердого раствора оксидов Y2O3–Er2O3–Sc2O3–Al2O3 со структурой граната. Установлено, что увеличение общей концентрации скандия приводит к уменьшению коэффициента теплопроводности в керамике. Получены зависимости величины коэффициента теплопроводности от концентрации и положения катионов скандия в решетке граната. Показано, что снижение теплопроводности керамики на основе иттрий-эрбий-скандий-алюминиевого граната обусловлено структурным разупорядочением, связанным с частичным замещением катионов в шести- и восьмикоординационных позициях в решетке граната.
Ключевые слова
Полный текст
Введение
Одним из наиболее перспективных керамических материалов является оптическая керамика на основе твердых растворов со структурой граната [1–6]. Керамика на основе иттрий-алюминиевого граната, легированная катионами редкоземельных элементов, широко применяется в лазерной технике, оптике и электронике [7]. Она обладает высокой оптической прозрачностью, механической прочностью и термической устойчивостью [8, 9]. Однако для высокомощных твердотельных лазеров необходимо разрабатывать керамику с улучшенными свойствами, которая должна обладать рядом дополнительных характеристик, позволяющих значительно увеличить эффективность преобразования энергии. Одной из наиболее острых проблем при получении оптической керамики для использования в составе лазеров с генерационной мощностью >100 кВт является устойчивость к высоким тепловым нагрузкам [10]. Эффективным решением может быть использование керамических лазерных элементов на основе скандийсодержащих твердых растворов со структурой граната, поскольку добавление скандия улучшает механическую прочность керамики, делая ее более устойчивой к повреждениям и износу [11]. Введение катионов скандия в кристаллическую решетку иттрий-алюминиевого граната позволяет расширить диапазон прозрачности в области инфракрасного излучения и сократить длительность импульса когерентного излучения [12, 13], что дает возможность увеличить эффективность использования керамики в лазерных системах [14].
Изучение теплофизических свойств керамики на основе твердых растворов, образующихся в многокомпонентной оксидной системе Y2O3–Er2O3–Sc2O3–Al2O3 и имеющих структуру граната (YErSAG), является актуальной задачей при разработке новых технологий в области создания лазерных систем.
Исследования по внедрению катионов скандия в керамику со структурой граната представляют интерес для научного сообщества, поскольку скандийсодержащая керамика имеет потенциал применения в качестве активных сред фемто- и пикосекундных лазеров [15–17].
Экспериментальная часть
Ранее нами были рассмотрены трехкомпонентные системы Y2O3–Sc2O3–Al2O3 и Er2O3–Sc2O3–Al2O3 [18–20], в которых определены области стабильно существующих твердых растворов. На основании полученных результатов было выбрано шесть составов, принадлежащих непрерывному ряду твердых растворов в четырехкомпонентной системе Y2O3–Er2O3–Sc2O3–Al2O3 [19, 20]. Составы образцов, полученных в данной работе, представлены в табл. 1.
Таблица 1. Состав образцов оптической керамики YErSAG
Образец | Состав |
ES1 | {Y1.3Er1.5Sc0.2}[Al1.8Sc0.2]Al3O12 |
ES2 | {Y1.3Er1.5Sc0.2}[Al1.2Sc0.8]Al3O12 |
ES3 | {Y1.1Er1.5Sc0.4}[Al1.4Sc0.6]Al3O12 |
ES4 | {Y0.9Er1.5Sc0.6}[Al1.6Sc0.4]Al3O12 |
ES5 | {Y0.7Er1.5Sc0.8}[Al1.8Sc0.2]Al3O12 |
ES6 | {Er1.5Sc1.5}[Al1.8Sc0.2]Al3O12 |
В составе керамики с общей формулой YxEryScz Al8–x–y–zO12, где x + y + z = 3.2–3.8, доля катионов Er3+ во всех образцах не изменялась и составляла y = 1.5, а доля катионов Sc3+ варьировалась в пределах z = 0.4–1.7. Для образцов ES2–ES5 распределение скандия в додекаэдрической и октаэдрической позициях решетки граната соответствовало долям 0.2, 0.4, 0.6, 0.8 и 0.8, 0.6, 0.4, 0.2 соответственно.
В качестве исходных материалов для синтеза прекурсоров исследуемых порошков и керамических образцов, полученных на их основе, использовали реактивы с высокой степенью очистки: YCl3 · 6H2O (99.99%, ООО “Редкие металлы”), ScCl3 · 6H2O (99.99%, LANHIT), Er2O3 · 6H2O (99.99%, ООО “Редкие металлы”), AlCl3 · 6H2O (99.95%, LANHIT), MgCl2 · 6H2O (х. ч., ООО “ХимКрафт”), NH4OH 23-5 ГОСТ 24147-80 (о. с. ч., АО “Вектон”), (NH4)2SO4 (х. ч., BASF), Ацетон (о. с. ч., АО “Вектон”), спирт изопропиловый (99.90%, АО “Вектон”).
Прекурсоры для керамических порошков были получены методом химического соосаждения [21–27]. В результате реакции обмена при взаимодействии водного раствора Y, Er, Sc, Al и 25%-го водного раствора аммиака с добавлением сульфата аммония в концентрации 0.45 моль/л были синтезированы прекурсоры, представляющие собой смеси гидроксидов металлов. Полученные порошки измельчали в планетарной мельнице в водной среде в течение 20 мин при скорости 150 об/мин в присутствии улучшающей спекание добавки – 0.1 мас. % оксида магния. Измельчение прекурсора позволяет снизить степень агломерации керамического порошка, а введение добавки MgO на данной стадии способствует наиболее равномерному распределению ее по поверхности керамического порошка [28]. Керамические порошки были получены путем прокаливания прекурсоров на воздухе при температуре 1100°С. Эти порошки измельчали с помощью планетарной мельницы в среде изопропилового спирта в течение 20 мин при скорости 200 об/мин. Методом одноосного полусухого прессования при давлении 50 МПа были получены керамические компакты, которые далее подвергали холодному изостатическому прессованию при давлении 200 МПа. Отжиг керамических образцов осуществляли в вакуумной печи при температурах 1690, 1710, 1740, 1775, 1800, 1825 и 1850°С [19].
Регистрацию порошковых дифрактограмм осуществляли с помощью рентгеновского дифрактометра Empyrean (PANalytical) с CuKá-излучением (ë = 1.5406 Å) в диапазоне улов 2è от 10° до 60° с шагом 0.01° и скоростью сканирования 0.7 град/мин. Обработку результатов выполняли с использованием базы данных ICDD PDF-2 release 2013 и программного обеспечения HighScore Plus v 3.05. Микрофотографии керамических порошков и отполированной керамики, предварительно подвергнутой термическому травлению при температуре 1550°C в течение 30 мин, были выполнены с помощью сканирующего электронного микроскопа Tescan Mira 3 LMH. Коэффициент оптического пропускания керамики измеряли однолучевым автоматизированным спектрофотометром СФ-56 (ЛОМО) в диапазоне длин волн 190–1100 нм. В качестве источника излучения использовали дейтериевую лампу для области спектра 190–340 нм и галогенную лампу для диапазона 340–1100 нм. Измерения коэффициента температуропроводности и удельной теплоемкости проводили методом лазерной вспышки с помощью измерителя теплофизических характеристик LFA 467 HyperFlash Netzsch и программного обеспечения Proteus LFA Analysis. Коэффициент теплопроводности рассчитывали в соответствии с выражением [29]:
ë = á ñ Сp, (1)
где á — температуропроводность, мм2/с; Сp — удельная теплоемкость, Дж/(г K); ñ — плотность исследуемых образцов, г/см3.
Для расчетов использовали экспериментальные значения рентгеновской плотности исследуемых образцов (ñ), определенные методом рентгеновской дифрактометрии [30]:
ñ = nM/(NV), (2)
где n — число атомов в элементарной ячейке, M — молекулярная масса, V — объем элементарной ячейки, N – число Авогадро.
Измерения теплофизических характеристик проводили в диапазоне температур от комнатной до 300°C со скоростью нагрева 5 град/мин.
Результаты и обсуждение
Анализ дифрактограмм (рис. 1) позволил установить, что все синтезированные керамические порошки имеют кристаллическую структуру граната (карточка JSPDS 01-070-4979). Какие-либо примесные фазы в образцах не обнаружены.
Рис. 1. Дифрактограммы керамических порошков образцов ES1–ES6, прокаленных при температуре 1100°C.
Все керамические порошки имеют схожую морфологию и представляют собой слабоагломерированые частицы, состоящие из округлых кристаллитов диаметром 70–100 нм (рис. 2).
Рис. 2. СЭМ-изображение образца ES6, прокаленного при 1100°С.
Для получения высокопрозрачной керамики с величиной коэффициента оптического пропускания ≥80% в видимом диапазоне для каждого состава керамики YErSAG были экспериментально подобраны оптимальные температуры спекания в вакууме [19, 31]. Полученные образцы керамики характеризуются плотной и однородной микроструктурой без видимых дефектов, при этом средний размер зерен керамики составляет 10–20 мкм (рис. 3). Значения плотности керамики в ряду образцов ES1–ES6 составили 5.40, 5.36, 5.33, 5.31, 5.28 и 5.14 г/см3 соответственно.
Рис. 3. Микрофотографии поверхности оптической керамики YErSAG.
Критерием отбора образцов керамики для изучения влияния концентрации и положения катионов скандия в позициях решетки граната на ее теплофизические свойства были оптические характеристики указанных образцов. Данный критерий выбора образцов обусловлен тем, что оптические характеристики керамики свидетельствуют о ее качестве, т.е. об отсутствии или наличии пористости и других дефектов, являющихся центрами рассеяния. Кроме того, присутствие подобных дефектов будет вносить искажения в теплофизические характеристики. Таким образом, для исследования были выбраны образцы, полученные при различных температурах вакуумного спекания (ES1 — 1825°C, ES2 — 1850°C, ES3 — 1825°C, ES4 — 1800°C, ES5 — 1740°C, ES6 — 1690°C) и имеющие максимальную величину оптической прозрачности. Оптические характеристики выбранных образцов представлены на рис. 4.
Рис. 4. Спектры оптического пропускания керамики YErSAG и внешний вид полученных образцов (на вставках).
Температурные зависимости удельной теплоемкости, коэффициентов температуро- и теплопроводности исследуемых образцов керамики YErSAG представлены на рис. 5. В табл. 2 приведены составы образцов и численные значения вышеуказанных величин, измеренные при комнатной температуре.
Рис. 5. Температурные зависимости теплофизических характеристик оптической керамики YErSAG: удельная теплоемкость (а), температуропроводность (б) и теплопроводность (в).
Таблица 2. Значения теплофизических параметров оптической керамики YErSAG при 25°С
Образец | Состав | Cp, Дж/(г K) | á, мм2/с | ë, Вт/(м K) |
ES1 | {Y1.3Er1.5Sc0.2}[Al1.8Sc0.2]Al3O12 | 0.46 ± 0.02 | 1.82 ± 0.05 | 4.52 ± 0.23 |
ES2 | {Y1.3Er1.5Sc0.2}[Al1.2Sc0.8]Al3O12 | 0.47 ± 0.02 | 1.63 ± 0.05 | 4.11 ± 0.21 |
ES3 | {Y1.1Er1.5Sc0.4}[Al1.4Sc0.6]Al3O12 | 0.51 ± 0.03 | 1.55 ± 0.05 | 4.21 ± 0.21 |
ES4 | {Y0.9Er1.5Sc0.6}[Al1.6Sc0.4]Al3O12 | 0.52 ± 0.03 | 1.50 ± 0.05 | 4.14 ± 0.21 |
ES5 | {Y0.7Er1.5Sc0.8}[Al1.8Sc0.2]Al3O12 | 0.50 ± 0.03 | 1.45 ± 0.04 | 3.83 ± 0. 19 |
ES6 | {Er1.5Sc1.5}[Al1.8Sc0.2]Al3O12 | 0.50 ± 0.03 | 1.26 ± 0.04 | 3.24 ± 0. 16 |
Удельная теплоемкость всех образцов монотонно увеличивается с ростом температуры (рис. 5а), а ее значения лежат в диапазоне 0.46–0.52 Дж/(г K) при 25°C и 0.54–0.60 Дж/(г K) при 250°C. Следует отметить, что диапазон величин удельной теплоемкости всех образцов достаточно узок и в целом не превышает величины погрешности измерений данной величины. Тем не менее можно говорить о некоторой концентрационной зависимости теплоемкости, а также о зависимости температуро- и теплопроводности от содержания скандия: свойства образцов ES1 и ES6 занимают крайние значения (рис. 5), что коррелирует с минимальным и максимальным содержанием в них скандия (z = 0.4 и 1.7).
Температурные зависимости коэффициента температуропроводности (рис. 5б) демонстрируют одинаковый ход для всех исследуемых образцов: значение коэффициента уменьшается обратно пропорционально увеличению температуры. Такое поведение является типичным для большинства кристаллических материалов [32]. Наибольшее значение температуропроводности (1.82 мм2/с) показал образец ES1 с минимальной концентрацией скандия в ряду образцов, а наименьшее значение (1.26 мм2/с) — образец ES6 с максимальной концентрацией скандия. Таким образом, наблюдается тенденция к снижению величины коэффициента температуропроводности с увеличением общей концентрации скандия в ряду исследуемых образцов. Аналогичная тенденция наблюдается и при увеличении доли скандия в додекаэдрической позиции граната.
Зависимость величины коэффициента теплопроводности керамики ErSAG от температуры, представленная на рис. 5в, ведет себя аналогично зависимости температуропроводности. С ростом температуры наблюдается практически линейное снижение теплопроводности для всех образцов. Такое поведение обусловлено проявлением решеточного механизма теплопроводности, реализующегося за счет фонон-фононного взаимодействия [32].
Как и в случае температуропроводности, наибольшее значение коэффициента теплопроводности показал образец ES1 (4.52 Вт/(м K)), а наименьшее – образец ES6 (3.24 Вт/(м K)). Таким образом, наблюдается аналогичное уменьшение величины теплопроводности с увеличением общей концентрации скандия в составе твердого раствора. Зависимость теплопроводности от концентрации скандия в различных позициях решетки граната представлена на рис. 6.
Рис. 6. Зависимость теплопроводности оптической керамики YErSAG от концентрации Sc3+: в додекаэдрической позиции (а), в октаэдрической позиции (б) и суммарная (в).
Анализ кривых показал, что величина теплопроводности сильно зависит от концентрации скандия в додекаэдрической позиции и практически не зависит от концентрации в октаэдрической позиции. По всей видимости, такое поведение обусловлено тем, что, замещая иттрий в додекаэдрической позиции, скандий вносит большее искажение в решетку, чем при замещении алюминия в октаэдре. Это приводит к усилению рассеяния фононов и, как следствие, к снижению величины теплопроводности. Степень этого искажения может быть охарактеризована коэффициентом размерного разупорядочения [33]:
(3)
где n – количество элементов в образце; ci – атомная доля i-го элемента; ri – ионный радиус i-го элемента; –r – средневзвешенное значение ионного радиуса.
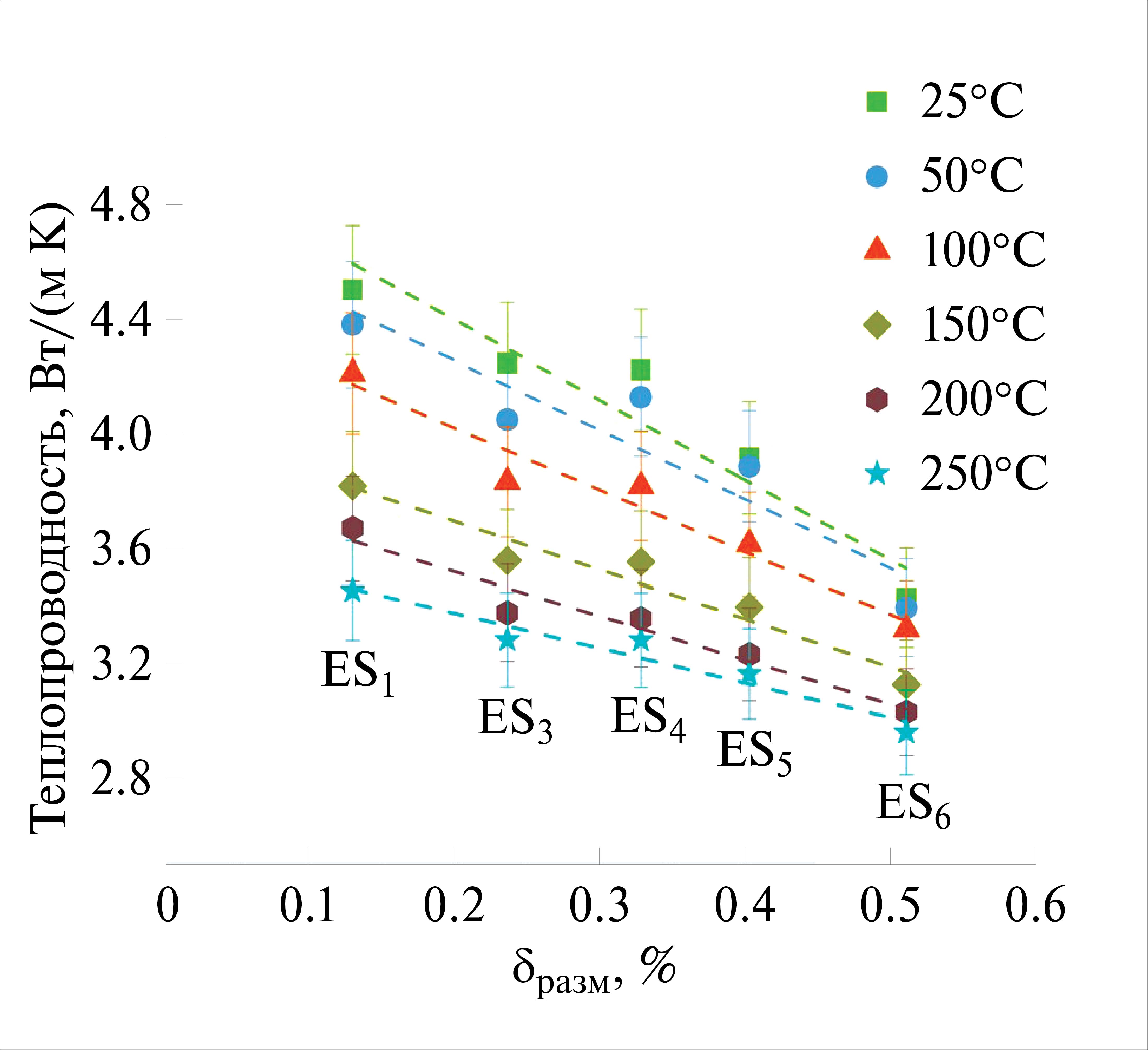
Величина коэффициента äразм (рис. 7) показывает отрицательную корреляцию с измеренной величиной теплопроводности, что свидетельствует в пользу влияния структурного разупорядочения на снижение коэффициента теплопроводности. Аналогичные результаты были получены при исследовании теплопроводности высокоэнтропийной керамики на основе редкоземельных цератов [33] и пирохлорных оксидов [34].
Рис. 7. Зависимость теплопроводности оптической керамики YErSAG от величины коэффициента размерного разупорядочения.
Полученные в настоящей работе данные по теплопроводности керамики YErSAG согласуются с опубликованными результатами исследований других авторов. Так, введение скандия в концентрации z = 1 в керамику на основе иттрий-алюминиевого граната привело к снижению величины теплопроводности с 10.6 [35] до 9.06 Вт/(м K) [36]. Аналогично при увеличении концентрации скандия в керамике Er : (ScxY1–x)2O3 от x = 0 до 0.445 теплопроводность уменьшалась от 6.14 до 3.66 Вт/(м K) соответственно [37]. Увеличение концентрации Er в додекаэдрической позиции граната также в значительной степени снижает величину теплопроводности. Так, в работе [38] образцы керамики Y3–xErxAl5O12 при x = 0.06 и 0.3 демонстрировали значение теплопроводности ~7.7 и ~ 6.5 Вт/(м K) соответственно.
Таким образом, можно заключить, что тепло- и температуропроводность исследуемых образцов существенным образом зависят как от общей концентрации скандия, так и от его доли в додекаэдрической позиции граната. Оба показателя уменьшаются по мере роста концентрации скандия и увеличения его доли в додекаэдрической позиции граната, что с высокой вероятностью может оказывать негативное влияние на показатель термической стойкости керамики на основе YErSAG.
Заключение
Для получения исходных порошков применяли метод обратного химического соосаждения. При высокотемпературном синтезе из синтезированных керамических порошков были получены образцы оптической керамики с высоким коэффициентом оптического пропускания в видимом диапазоне (>80%).
Исследованы теплофизические свойства оптической керамики, такие как температуропроводность, удельная теплоемкость и теплопроводность в зависимости от концентрации и положения скандия в решетке граната. Исследования показали, что при увеличении общей концентрации скандия в керамике состава YxEryScz Al8–x–y–zO12 с z = 0.4–1.7 величина теплопроводности при температуре 25°С уменьшается от 4.52 до 3.24 Вт/(м K). Установлено, что величина теплопроводности сильно зависит от концентрации скандия в додекаэдрической позиции, но практически не зависит от концентрации в октаэдрической позиции. Из полученных зависимостей следует, что теплопроводность керамики зависит от коэффициента размерного разупорядочения кристаллической решетки граната, который в свою очередь определяется внедрением скандия в додекаэдрическую и октаэдрическую подрешетки граната. Снижение коэффициента теплопроводности обусловлено структурным разупорядочением решетки.
Финансирование работы
Исследование выполнено при поддержке Российского научного фонда (грант № 23-23-00084), https://rscf.ru/project/23-23-00084/, использовано научное оборудование центра коллективного пользования СКФУ.
Конфликт интересов
Авторы заявляют, что у них нет конфликта интересов.
Об авторах
И. С. Чикулина
Северо-Кавказский федеральный университет
Email: ichikulina@ncfu.ru
Россия, ул. Пушкина, 1, Ставрополь, 355009
Д. С. Вакалов
Северо-Кавказский федеральный университет
Email: ichikulina@ncfu.ru
Россия, ул. Пушкина, 1, Ставрополь, 355009
С. Н. Кичук
Северо-Кавказский федеральный университет
Email: ichikulina@ncfu.ru
Россия, ул. Пушкина, 1, Ставрополь, 355009
В. А. Тарала
Северо-Кавказский федеральный университет
Email: ichikulina@ncfu.ru
Россия, ул. Пушкина, 1, Ставрополь, 355009
Ф. Ф. Малявин
Национальный исследовательский технологический университет “МИСиС”
Email: ichikulina@ncfu.ru
Россия, Ленинский пр-т, 4, Москва, 119991
Л. В. Кожитов
Национальный исследовательский технологический университет “МИСиС”
Автор, ответственный за переписку.
Email: ichikulina@ncfu.ru
Россия, Ленинский пр-т, 4, Москва, 119991
Список литературы
- Ikesue A., Aung Y.L. // Nat. Photonics. 2008. V. 2. № 12. P. 721. https://doi.org/10.1038/nphoton.2008.243
- Bisson J.-F., Feng Y., Shirakawa A. et al. // Jpn. J. Appl. Phys. 2003. V. 42. P. L1025. https://doi.org/10.1143/JJAP.42.L1025
- Sanghera J., Bayya S., Villalobos G. et al. // Opt. Mater. (Amst). 2011. V. 33. № 3. P. 511. https://doi.org/10.1016/j.optmat.2010.10.038
- Lukyashin K.E., Ishchenko A.V. // Russ. J. Inorg. Chem. 2021. V. 66. № 8. P. 1203. https://doi.org/10.1134/S0036023621080131
- Ivanov M.G., Kopylov Y.L., Kravchenko V.B. et al. // Inorg. Mater. 2014. V. 50. № 9. P. 951. https://doi.org/10.1134/S0020168514090040
- Golovkina L.S., Nokhrin A.V., Boldin M.S. et al. // Inorg. Mater. 2018. V. 54. № 12. P. 1291. https://doi.org/10.1134/S002016851812004X
- Sanghera J., Kim W., Villalobos G. et al. // Materials (Basel). 2012. V. 5. № 12. P. 258. https://doi.org/ 10.3390/ma5020258
- Nakamura S. High-Power and High Efficiency Yb:YAG Ceramic Laser at Room Temperature // Front. Guid. Wave Opt. Optoelectron. InTech, 2010. https://doi.org/10.5772/39540
- Alekseeva L.S., Nokhrin A.V., Karazanov K.O. et al. // Inorg. Mater. 2022. V. 58. № 2. P. 199. https://doi.org/ 10.1134/S0020168522020017
- Brauch U., Röcker C., Graf T. et al. // Appl. Phys. B. 2022. V. 128. № 3. P. 58. https://doi.org/10.1007/s00340-021-07736-0
- Carreaud J., Boulesteix R., Maître A. et al. // Opt. Mater. (Amst). 2013. V. 35. № 4. P. 704. https://doi.org/10.1016/j.optmat.2012.07.021
- Ferrier A., Ilas S., Goldner P. et al. // J. Lumin. 2018. V. 194. № February. P. 116. https://doi.org/10.1016/j.jlumin.2017.09.056
- Tarala V.A., Shama M.S., Chikulina I.S. et al. // J. Am. Ceram. Soc. 2019. V. 102. P. 4862. https://doi.org/10.1111/jace.16294
- Revenko D.M., Chapura O.M., Bondarenko E.A. et al. // J. Phys. Conf. Ser. 2021. V. 1989. № 1. P. 12017. https://doi.org/10.1088/1742-6596/1989/1/012017
- Zhmykhov V.Y., Dobretsova E.A., Pyrkov Y.N. et al. The influence of Sc 3+ ions on fluorescence lifetime of Yb 3+ in Yb- doped yttrium scandium aluminum garnet (Yb:YSAG) ceramics // Int. Conf. Laser Opt. IEEE, 2022. P. 1. https://doi.org/10.1109/ICLO54117.2022. 9839777
- Okada H., Tanaka M., Kiriyama H. et al. // Opt. Lett. 2010. V. 35. № 18. P. 3048. https://doi.org/10.1364/OL.35.003048
- Saikawa J., Sato Y., Taira T. et al. // Opt. Mater. (Amst). 2007. V. 29. № 10. P. 1283. https://doi.org/10.1016/j.optmat.2006.01.031
- Nikova M.S., Tarala V.A., Malyavin F.F. et al. // Ceram. Int. 2021. V. 47. № 2. P. 1772. https://doi.org/10.1016/j.ceramint.2020.09.003
- Nikova M.S., Tarala V.A., Malyavin F.F. et al. // J. Eur. Ceram. Soc. 2022. V. 42. Is. 5. P. 1833. https://doi.org/10.1016/j.jeurceramsoc.2022.01.008
- Nikova M.S., Tarala V.A., Vakalov D.S. et al. // J. Eur. Ceram. Soc. 2019. V. 39. № 15. P. 4946. https://doi.org/10.1016/j.jeurceramsoc.2019.07.041
- Suárez M., Fernández A., Menéndez J.L. et al. // J. Nanomater. 2009. V. 2009. P. 1. https://doi.org/ 10.1155/2009/138490
- Gandhi A.S., Levi C.G. // J. Mater. Res. 2005. V. 20. № 4. P. 1017. https://doi.org/10.1557/JMR.2005.0133
- Baumer V.N., Vovk E.A., Vovk O.M. et al. // Funct. Mater. 2008. V. 15. № 5. P. 540.
- Wang L., Kou H., Zeng Y. et al. // Ceram. Int. 2012. V. 38. № 5. P. 4401. https://doi.org/10.1016/j.ceramint.2012.01.055
- Tel’nova G.B., Kolomiets T.Y., Konovalov A.A. et al. // Russ. J. Inorg. Chem. 2015. V. 60. № 2. P. 127. https://doi.org/10.1134/S0036023615020187
- Palmero P., Stella C., Simone A. et al. // Glass. Phys. Chem. 2005. V. 31. № 4. P. 530. https://doi.org/10.1007/s10720-005-0094-9
- Bulyga D.V., Sadovnichy R.V., Dukelsky K.V. et al. // Glass. Phys. Chem. 2022. V. 48. № 2. P. 151. https://doi.org/10.1134/S1087659622020031
- Лукин Е.С., Андрианов Н.Т., Мамаева Н.Б. и др. // Огнеупоры и техническая керамика. 1993. № 5. С. 11.
- Beil K., Fredrich-Thornton S.T., Tellkamp F. et al. // Opt. Express. 2010. V. 18. № 20. P. 20712. https://doi.org/ 10.1364/OE.18.020712
- Akl A.A., Mahmoud S.A., AL-Shomar S.M. et al. // Mater. Sci. Semicond. Process. 2018. V. 74. P. 183. https://doi.org/10.1016/j.mssp.2017.10.007
- Nikova M.S., Tarala V.A., Kravtsov A.A. et al. // Ceram. Int. 2022. https://doi.org/10.1016/j.ceramint. 2022.08.235
- Zhou Y., Gan G., Ge Z. et al. // J. Asian Ceram. Soc. 2021. V. 9. № 2. P. 629. https://doi.org/10.1080/21870764.2021.1907025
- Ping X., Meng B., Li C. et al. // J. Am. Ceram. Soc. 2022. https://doi.org/10.1111/jace.18457
- Wright A.J., Wang Q., Ko S.-T. et al. // Scripta Mater. 2020. V. 181. P. 76. https://doi.org/10.1016/j.scriptamat.2020.02.011
- Fan T.Y., Ripin D.J., Aggarwal R.L. et al. // IEEE J. Sel. Top. Quantum Electron. 2007. V. 13. № 3. P. 448. https://doi.org/10.1109/JSTQE.2007.896602
- Pujol M.C., Maitre A., Carreaud J. et al. // J. Phys. Chem. C. 2014. V. 118. № 25. P. 13781. https://doi.org/10.1021/jp5027493
- Maksimov R., Shitov V., Osipov V. et al. // Opt. Mater. (Amst). 2023. V. 137. № October 2022. P. 113542. https://doi.org/10.1016/j.optmat.2023.113542
- Hostaša J., Nečina V., Uhlí řová T. et al. // J. Eur. Ceram. Soc. 2019. V. 39. № 1. P. 53. https://doi.org/10.1016/j.jeurceramsoc.2018.04.018
Дополнительные файлы









