Растворимость двойного сульфата скандия-цезия CsSc(SO4)2 в сернокислых растворах
- Авторы: Пасечник Л.А.1, Медянкина И.С.1, Тютюнник А.П.1, Бамбуров В.Г.1
-
Учреждения:
- Институт химии твердого тела УрО РАН
- Выпуск: Том 68, № 12 (2023)
- Страницы: 1799-1804
- Раздел: ФИЗИКО-ХИМИЧЕСКИЙ АНАЛИЗ НЕОРГАНИЧЕСКИХ СИСТЕМ
- URL: https://ogarev-online.ru/0044-457X/article/view/231677
- DOI: https://doi.org/10.31857/S0044457X23601268
- EDN: https://elibrary.ru/BVUSWO
- ID: 231677
Цитировать
Полный текст
Аннотация
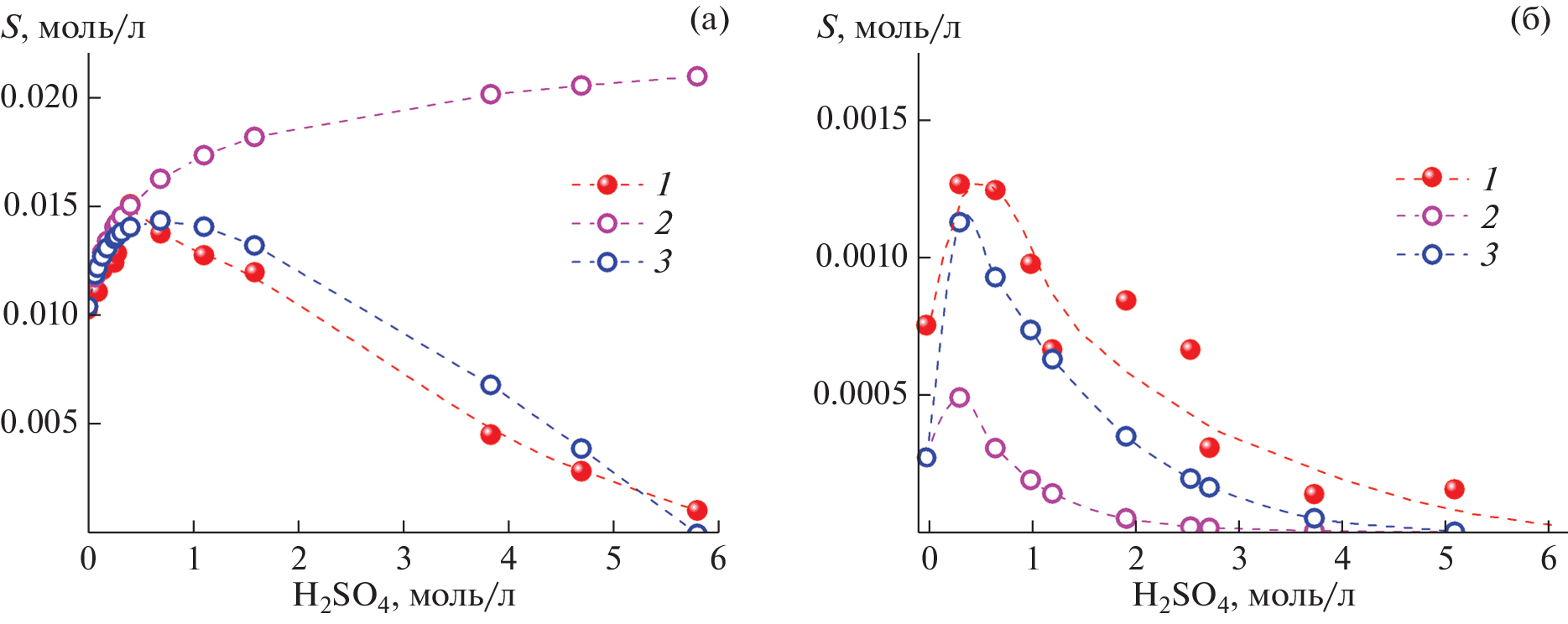
Cульфоскандат цезия CsSc(SO4)2 (пр. гр. P\(\bar {3}\), a = b = 5.0971(1), c = 8.6924(5) Å, V = 195.580(2) Å3, Z = 1) получен кристаллизацией из водных растворов в виде слоистых гексагональных призм размером до 50 мкм и толщиной до 2–5 мкм. Его растворимость в воде равна 0.0104 моль/л при 25 ± 1°С. Снижение растворимости скандия в виде CsSc(SO4)2 достигается повышением кислотности до 3.5–5.5 М H2SO4 и дополнительным введением Cs2SO4. Экспериментальные данные подтверждены расчетами, основанными на учете изменения ионной силы раствора и влияния одновременного присутствия ионов Cs+ и \({\text{HSO}}_{4}^{ - }\). Результаты будут полезны при изучении поведения близких по свойствам соединений редких металлов и их разделения.
Ключевые слова
Об авторах
Л. А. Пасечник
Институт химии твердого тела УрО РАН
Email: pasechnik@ihim.uran.ru
Россия, 620990, Екатеринбург, ул. Первомайская, 91
И. С. Медянкина
Институт химии твердого тела УрО РАН
Email: pasechnik@ihim.uran.ru
Россия, 620990, Екатеринбург, ул. Первомайская, 91
А. П. Тютюнник
Институт химии твердого тела УрО РАН
Email: pasechnik@ihim.uran.ru
Россия, 620990, Екатеринбург, ул. Первомайская, 91
В. Г. Бамбуров
Институт химии твердого тела УрО РАН
Автор, ответственный за переписку.
Email: pasechnik@ihim.uran.ru
Россия, 620990, Екатеринбург, ул. Первомайская, 91
Список литературы
- Локшин Э.П., Тареева О.А. // Разработка технологий извлечения редкоземельных элементов при сернокислотной переработке Хибинского апатитового концентрата на минеральные удобрения. Апатиты: КНЦ РАН, 2015. 268 с.
- Sadri F., Nazari A.M., Ghahreman A. // J. Rare Earths. 2017. V. 35. P. 739. https://doi.org/10.1016/S1002-0721(17)60971-2
- Локшин Э.П., Тареева О.А. // Журн. прикл. химии. 2010. Т. 83. № 6. С. 899.
- Локшин Э.П., Тареева О.А. // Журн. прикл. химии. 2005. Т. 78. № 7. С. 1058.
- Петьков В.И., Боков А.И., Асабина Е.А., Боровикова Е.Ю. // Журн. общ. химии. 2022. Т. 92. № 11. С. 1803.
- Бушуев Н.Н., Тюльбенджян Г.С., Великодный Ю.А. и др. // Журн. прикл. химии. 2021. Т. 66. № 3. С. 382.
- Бушуев Н.Н., Егорова А.Н., Тюльбенджян Г.С. // Неорган. материалы. 2021. Т. 57. № 2. С. 150.
- Сусс А.Г., Козырев А.Б., Панов А.В. Пат. РФ 2647398. 2018.
- Pasechnik L.A., Skachkov V.M., Chufarov A.Yu. et al. // Hydrometallurgy. 2021. V. 202. P. 105597. https://doi.org/10.1016/j.hydromet.2021.105597
- Волков В.П., Гущин А.П., Соловьев Б.А. и др. Пат. РФ 2079431. 1997.
- Комиссарова Л.Н., Пушкина Г.Я., Шанский В.М. // Соединения редкоземельных элементов: сульфаты, селенаты, теллураты и хроматы. М.: Наука, 1986. 366 с.
- Комиссарова Л.Н. Неорганическая и аналитическая химия скандия. М.: Эдиториал УРСС, 2001. 512 с.
- Pasechnik L.A., Tyutyunnik A.P., Enyashin A.N. et al. // J. Solid State Chem. 2017. V. 255. P. 50. https://doi.org/10.1016/j.jssc.2017.07.037
- Pasechnik L.A., Tyutyunnik A.P., Enyashin A.N. et al. // CrystEngComm. 2018. V. 20. P. 3772. https://doi.org/10.1039/C8CE00593A
- Porvali A., Wilson B.P., Lundström M. // Waste Manag. 2018. V. 71. P. 381. https://doi.org/10.1016/j.wasman.2017.10.031
- Pasechnik L.A., Sabirzyanov N.A., Yatsenko S.P. // Omsk Scientific Bull. 2003. V. 25. P. 219. https://www.omgtu.ru/general_information/media_om-gtu/journal_of_omsk_research_journal/files/arhiv/20-03/4(25)%20pdf.pdf
- Скиба Г.С., Пономаренко Г.В., Кузнецов В.Я., Рыськина М.П. // Журн. неорган. химии. 2019. Т. 64. № 9. С. 991. https://doi.org/10.1134/S0044457X19090204
- Balinski A., Atanasova P., Wiche O. et al. // Hydrometallurgy. 2019. V. 186. P. 176. https://doi.org/10.1016/j.hydromet.2020.105345
- Воскобойников Н.Б., Скиба С.Г. Новые методы исследования растворимости в водно-солевых системах. Л.: Наука, 1986. 146 с.
- Комиссарова Л.Н., Башков Б.И., Шацкий В.М., Комиссарова Л.Н. // Журн. неорган. химии. 1970. Т. 15. № 6. С. 1507.
- Han K.N. // Mining. Metall. Explor. 2019. V. 36. P. 215. https://doi.org/10.1007/s42461-018-0029-3
- Иванов-Эмин Л.Г., Коротаева В.Г., Ремизов А.И., Ежов Б.Н. // Журн. неорган. химии. 1966. Т. 11. № 3. С. 511.
- Робинсон Р.А., Стокс Р.Г. Растворы электролитов. М.: Изд-во иностр. литер., 1963. 646 с.
- Shvarov Yu.V. // Appl. Geochem. 2015. V. 55. P. 17. https://doi.org/10.1016/j.apgeochem.2014.11.021
- Тарнопольская М.Е., Бычков А.Ю., Шваров Ю.В. // Геохимия. 2016. № 7. С. 659. https://doi.org/10.7868/S0016752516070116
- Das G., Lencka M.M., Eslamimanesh A. et al. // J. Chem. Thermodyn. 2019. V. 131. P. 499. https://doi.org/10.1016/j.jct.2018.10.020
- Han K.N., Kim R. // Minerals. 2021. V. 11. P. 670. https://doi.org/10.3390/min11070670
- Judge W.D., Ng K.L., Moldoveanu G.A. et al. // Hydrometallurgy. 2023. V. 218. Art. 106054. https://doi.org/10.1016/j.hydromet.2023.106054
- Локшин Э.П., Тареева О.А. // Журн. неорган. химии. 2007. Т. 52. № 12. С. 1946.
- Елохов А.М., Кудряшова О.С., Лукманова Л.М. и др. // Журн. неорган. химии. 2022. Т. 52. № 12. С. 1946.





