Synthesis, Thermodynamic Properties, and Ionic Conductivity of Compounds Based on Bismuth Niobates Doped by Rare-Earth Elements (A Review)
- Authors: Matskevich N.I.1, Semerikova A.N.1, Samoshkin D.A.1,2, Stankus S.V.2, Zaitsev V.P.1,3, Kuznetsov V.A.1, Novikov A.Y.1
-
Affiliations:
- Nikolaev Institute of Inorganic Chemistry, Siberian Branch, Russian Academy of Sciences
- Kutateladze Institute of Thermophysics, Siberian Branch, Russian Academy of Sciences
- Siberian State University of Water Transport
- Issue: Vol 68, No 11 (2023)
- Pages: 1637-1655
- Section: ФИЗИКО-ХИМИЧЕСКИЙ АНАЛИЗ НЕОРГАНИЧЕСКИХ СИСТЕМ
- URL: https://ogarev-online.ru/0044-457X/article/view/231675
- DOI: https://doi.org/10.31857/S0044457X23600731
- EDN: https://elibrary.ru/DJDHDD
- ID: 231675
Cite item
Full Text
Abstract
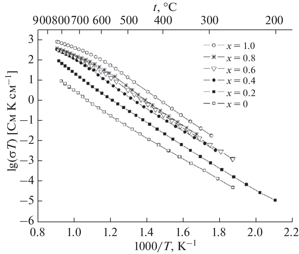
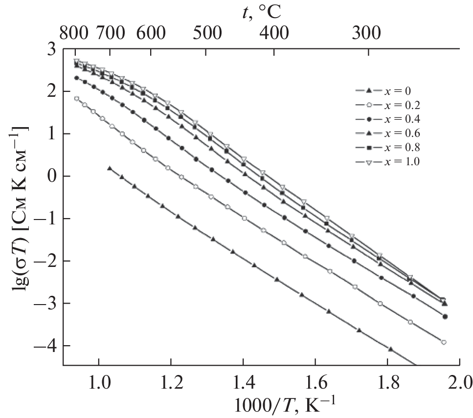
Synthesis methods, thermodynamic and functional properties of compounds based on bismuth niobates doped with rare-earth elements (REEs) are presented. These compounds are promising materials for fuel cells, ceramic oxygen generators, electrocatalysis, etc. As show the data generalized, most compounds have a cubic structure of the δ-form of bismuth oxide, which has the highest ionic conductivity among solid-state ionic conductors. The compounds have high lattice enthalpy and are therefore promising high-energy compounds. The review summarizes studies on the basic thermodynamic characteristics of bismuth niobates doped with rare earth elements. The change in standard enthalpies of formation, lattice enthalpies, and heat capacity when replacing one rare earth element with another is analyzed. It is shown that as the radius of rare earth elements decreases, the standard enthalpies of formation increases and lattice enthalpies increases. The change in ionic conductivity with changes in temperature and rare earth element content has been studied. It has been shown that with increasing temperature and REE content, conductivity increases.
About the authors
N. I. Matskevich
Nikolaev Institute of Inorganic Chemistry, Siberian Branch, Russian Academy of Sciences
Email: nata.matskevich@yandex.ru
630090, Novosibirsk, Russia
A. N. Semerikova
Nikolaev Institute of Inorganic Chemistry, Siberian Branch, Russian Academy of Sciences
Email: nata.matskevich@yandex.ru
630090, Novosibirsk, Russia
D. A. Samoshkin
Nikolaev Institute of Inorganic Chemistry, Siberian Branch, Russian Academy of Sciences; Kutateladze Institute of Thermophysics, Siberian Branch, Russian Academy of Sciences
Email: nata.matskevich@yandex.ru
630090, Novosibirsk, Russia; 630090, Novosibirsk, Russia
S. V. Stankus
Kutateladze Institute of Thermophysics, Siberian Branch, Russian Academy of Sciences
Email: nata.matskevich@yandex.ru
630090, Novosibirsk, Russia
V. P. Zaitsev
Nikolaev Institute of Inorganic Chemistry, Siberian Branch, Russian Academy of Sciences; Siberian State University of Water Transport
Email: nata.matskevich@yandex.ru
630090, Novosibirsk, Russia; 630099, Novosibirsk, Russia
V. A. Kuznetsov
Nikolaev Institute of Inorganic Chemistry, Siberian Branch, Russian Academy of Sciences
Email: nata.matskevich@yandex.ru
630090, Novosibirsk, Russia
A. Yu. Novikov
Nikolaev Institute of Inorganic Chemistry, Siberian Branch, Russian Academy of Sciences
Author for correspondence.
Email: nata.matskevich@yandex.ru
630090, Novosibirsk, Russia
References
- Punn R., Feteira A.M., Sinclair D.C. et al. // J. Am. Chem. Soc. 2006. V. 128. P. 15386. https://doi.org/10.1021/ja065961d
- Ivanov S.A., Stash A.I., Bush A.A. et al. // Russ. J. Inorg. Chem. 2022. V. 67. P. 588. https://doi.org/10.1134/S0036023622050096
- Matskevich N.I., Wolf T., Greaves C. et al. // J. Alloys Compd. 2014. V. 582. P. 253. https://doi.org/10.1016/j.jallcom.2013.07.135
- Emhjellen L.K., Xing W., Li Z. et al. // J. Membr. Sci. 2022. V. 660. P. 120875. https://doi.org/10.1016/j.memsci.2022.120875
- Ershov D.S., Besprozvannykh N.V., Sinel’shchikova O.Y. // Russ. J. Inorg. Chem. 2022. V. 67. P. 105. https://doi.org/10.1134/S003602362201003X
- Drache M., Roussel P., Wignacourt J.P. // Chem. Rev. 2007. V. 107. P. 80. https://doi.org/10.1021/cr050977s
- Balci M., Saatci B., Cerit S. et al. // Solid State Ionics. 2022. V. 387. P. 116060. https://doi.org/10.1016/j.ssi.2022.116060
- Proskurina O.V., Sokolova A.N., Sirotkin A.A. et al. // Russ. J. Inorg. Chem. 2021. V. 66. P. 163. https://doi.org/10.1134/S0036023621020157
- Bandyopadhyay S., Dutta A. // J. Phys. Chem. Solids. 2017. V. 102. P. 12. https://doi.org/10.1016/j.jpcs.2016.11.001
- Lomakin M.S., Proskurina O.V., Levin A.A. et al. // Russ. J. Inorg. Chem. 2022. V. 67. P. 820. https://doi.org/10.1134/S0036023622060134
- Weber M., Rodriguez R.D., Zahn D.R. et al. // Inorg. Chem. 2022. V. 61. P. 1571. https://doi.org/10.1021/acs.inorgchem.1c03330
- Akazawa H. // Ceram. Int. 2023. V. 49. P. 9069. https://doi.org/10.1016/j.ceramint.2022.11.064
- Matskevich N.I., Wolf Th., Greaves C. et al. // J. Chem. Thermodyn. 2015. V. 91. P. 234. https://doi.org/10.1016/j.jct.2015.07.036
- Weber M., Schlesinger M., Mehring M. // Cryst. Growth Des. 2016. V. 16. P. 5678. https://doi.org/10.1021/acs.cgd.6b00628
- Crumpton T.E., Mosselmans J.F.W., Greaves C. // J. Mater. Chem. 2005. V. 15. P. 164. https://doi.org/10.1039/b412108m
- Kekade S.S., Gaikwad P.V., Raut S.A. et al. // ACS Omega. 2018. V. 3. P. 5853. https://doi.org/10.1021/acsomega.8b00564
- Kaimieva O.S., Sabirova I.E., Buyanova E.S. et al. // Russ. J. Inorg. Chem. 2022. V. 67. P. 1348. https://doi.org/10.1134/S0036023622090054
- Wang X.P., Corbel G., Kodjikian S. et al. // J. Solid State Chem. 2006. V. 179. P. 3338. https://doi.org/10.1016/j.jssc.2006.06.031
- Ai Zh., Ho W., Lee Sh. // Appl. Surf. Sci. 2012. V. 263. P. 266. https://doi.org/10.1016/j.apsusc.2012.09.041
- Keve E.T., Skapski A.C. // J. Solid State Chem. 1973. V. 8. P. 139. https://doi.org/10.1016/0022-4596(73)90009-1
- Lisinska-Czekaj A., Czekaj D. // Key Eng. Mater. 2012 V. 512–515. P. 1212. https://doi.org/10.4028/www.scientific.net/KEM.512-515.1212
- Lisinska-Czekaj A., Czekaj D., Plewa J. // Ciencia&Tecnol. Mater. 2017. V. 29. P. e215. https://doi.org/10.1016/j.ctmat.2016.03.003
- Wang N., Li W., Zhao M. et al. // J. Chin. Ceram. Soc. 2003. V. 31. P. 625.
- Hampl M., Leither J., Ruzicka K. et al. // J. Therm. Anal. Calorim. 2007. V. 87. P. 553. https://doi.org/10.1007/s10973-006-7732-x
- Hou J., Vaish R., Qu Y. et al. // J. Power Sources. 2010. V. 195. P. 2613. https://doi.org/10.1016/j.jpowsour.2009.11.081
- Holdynski M., Sintyureva M., Liu X. et al. // J. Phys.: Condens. Matter. 2012. V. 24. P. 045904. http://dx.doi.org/0953-8984/12/045904C07
- Abrahams I., Kozanecka-Szmigiel A., Krok F. et al. // Solid State Ionics. 2006. V. 177. P. 1761. https://doi.org/10.1016/j.ssi.2006.01.036
- Abrahams I., Krok F., Kozanecka-Szmigiel A. et al. // J. Power Sources. 2007. V. 173. P. 788. https://doi.org/10.1016/j.jpowsour.2007.05.045
- Liu X., Abrahams I., Hull S. et al. // Solid State Ionics. 2011. V. 192. P. 176. https://doi.org/10.1016/j.ssi.2010.07.018
- Malys M., Holdynski M., Krok F. et al. // J. Power Sources. 2009. V. 194. P. 16. https://doi.org/10.1016/j.jpowsour.2009.01.001
- Krok F., Abrahams I., Holdynski M. et al. // Solid State Ionics. 2008. V. 179. P. 975. https://doi.org/10.1016/j.ssi.2008.02.015
- Leszczynska M., Liu X., Wrobel W. et al. // J. Mater. Chem. A. 2014. V. 2. P. 18624. https://doi.org/10.1039/c4ta03225j
- Leszczynska M., Holdynski M., Krok F. et al. // Solid State Ionics. 2010. V. 181. P. 796. https://doi.org/10.1016/j.ssi.2010.04.012
- Buyanova E.S., Kaimieva O.S., Shatokhina A.N. et al. // Russ. J. Inorg. Chem. 2016. V. 61. P. 470. https://doi.org/10.1134/S0036023616040069
- Buyanova E.S., Petrova S.A., Mikhailovskaya Z.A. et al. // Russ. J. Inorg. Chem. 2015. V. 60. P. 913. https://doi.org/10.1134/S0036023615080045
- Emel’yanova Yu.V., Mikhailovskaya Z.A., Buyanova E.S. et al. // Russ. J. Appl. Chem. 2017. V. 90. P. 354. https://doi.org/10.1134/S1070427217030053
- Emel’yanova Yu.V., Krylov A.A., Kazantseva A.D. et al. // Russ. J. Inorg. Chem. 2019. V. 64. P. 151. https://doi.org/10.1134/S0036023619020050
- Kaymieva O.S., Tarasova O.A., Shatokhina A.N. et al. // Russ. J. Electrochem. 2013. V. 49. P. 652. https://doi.org/10.1134/S1023193513070057
- Matskevich N.I., Semerikova A.N., Gelfond N.V. et al. // Russ. J. Inorg. Chem. 2020. V. 65. P. 743. https://doi.org/10.1134/S0036023620050162
- Matskevich N.I., Shlegel V.N., Stankus S.V. et al. // Mater. Today: Proceed. 2020. V. 25. P. 367. https://doi.org/10.1016/j.matpr.2019.12.092
- Matskevich N.I., Semerikova A.N., Zaitsev V.P. et al. // J. Solid State Chem. 2022. V. 316. P. 123584. https://doi.org/10.1016/j.jssc.2022.123584
- Matskevich N.I., Semerikova A.N., Gelfond N.V. et al. // Russ. J. Inorg. Chem. 2023. V. 68. P. 229. https://doi.org/10.31857/S0044457X2260150X
- Matskevich N.I., Stankus S.V., Samoshkin D.A. et al. // J. Phys.: Conf. Ser. 2020. V. 1677. P. 012169. https://doi.org/10.1088/1742-6596/1677/1/012169
- Hughes J.T., Navrotsky A. // J. Am. Chem. Soc. 2011. V. 133. P. 9184. https://doi.org/dx.doi.org/10.1021/ja202132h
- Novikov A.A., Belova E.V., Uspenskaya I.A. // J. Chem. Eng. Data. 2019. V. 64. P. 4230. https://doi.org/10.1021/acs.jced.9b00292
- Tsvetkov D.S., Mazurin M.O., Malyshkin D.A. et al. // J. Chem. Thermodyn. 2022. V. 174. P. 106857. https://doi.org/10.1016/j.jct.2022.106857
- Bannikov D.O., Safronov A.P., Cherepanov V.A. // Thermochim. Acta. 2006. V. 451. P. 22. https://doi.org/10.1016/j.tca.2006.08.004
- Matskevich N.I., Wolf Th., Pochivalov Yu.I. // Inorg. Chem. 2008. V. 47. P. 2581. https://doi.org/10.1021/ic701875h
- Voskanyan A.A., Jayanthi K., Navrotsky A. // Chem. Mater. 2022. V. 34. P. 10311. https://doi.org/10.1021/acs.chemmater.2c01569
- Sereda V.V., Tsvetkov D.S., Sednev A.L. et al. // Phys. Chem. Chem. Phys. 2018. V. 20. P. 20108. https://doi.org/10.1039/C8CP03782E
- Gagarin P.G., Gus’kov A.V., Gavrichev K.S. et al. // Russ. J. Inorg. Chem. 2022. V. 67. P. 1803. https://doi.org/10.1134/S0036023622601015
- Gagarin P.G., Guskov A.V., Guskov V.N. et al. // Russ. J. Inorg. Chem. 2022. V. 67. P. 2181. https://doi.org/10.1134/s0036023622602070
- Khorishilov A.V., Guskov V.N., Guskov A.V. et al. // Russ. J. Phys. Chem. A. 2022. V. 96. P. 918. https://doi.org/10.1134/s0036024422050144
- Jayanthi K., Neilsen G., Navrotsky A. et al. // J. Phys. Chem. C. 2023. V. 127. P. 3760. https://doi.org/10.1021/acs.jpcc.2c08217
- Glushko V.P. Termicheskie Konstanty Veshchestv (Thermal Constants of Substances), VINITI, Moscow. 1965–1982. Iss. 1–10.
- Leitner J., Nevrina M., Sedmidubsky D. et al. // J. Alloys Compd. 2011. V. 509. P. 4940. https://doi.org/10.1016/j.jallcom.2011.02.007
- Matskevich N.I., Wolf Th., Vyazovkin I.V. et al. // J. Alloys Compd. 2015. V. 628. P. 126. https://doi.org/10.1016/j.jallcom.2014.11.220
- Matskevich N.I., Matskevich M.Yu., Wolf Th. et al. // J. Alloys Compd. 2013. V. 577. P. 148. https://doi.org/10.1016/j.jallcom.2013.04.194
- Matskevich N.I., Bryzgalova A.N., Wolf Th. et al. // J. Chem. Thermodyn. 2012. V. 53. P. 23. https://doi.org/10.1016/j.jct.2012.04.003
- Kilday M.V. // J. Res. Nat. Bur. Stand. 1980. V. 85. P. 467.
- Gunther C., Pfestorf R., Rother M. et al. // J. Therm. Anal. Calorim. 1988. V. 33. P. 359. https://doi.org/10.1007/BF01914624
- Cordfunke E.H.P., Konings R.J.M. // Thermochim. Acta. 2001. V. 375. P. 65. https://doi.org/10.1016/S0040-6031(01)00510-X
- Hennig C., Oppermann H. // Z. Naturforsch. B. 1997.V. 52. P. 1517. https://doi.org/10.1515/znb-1997-1213
- Cordfunke E.H.P., Konings R.J.M. // Thermochim. Acta. 2001. V. 375. P. 17. https://doi.org/10.1016/S0040-6031(01)00509-3
- Мацкевич Н.И., Станкус С.В., Самошкин Д.А. et al. // XXXVI Сиб. Теплофиз. Семинар. Новосибирск, 2020. С. 265.
- Hervoches C.H., Greaves C. // J. Mater. Chem. 2010. V. 20. P. 6759. https://doi.org/10.1039/c0jm01385d
- Hervoches C.H., Greaves C. // Solid State Ionics. 2014. V. 254. P. 032. https://doi.org/10.1016/j.ssi.2013.10.032
- Punn R., Gameson I., Berry F. et al. // Phys. Chem. Solids. 2008. V. 69. P. 2687. https://doi.org/10.1016/j.jpcs.2008.07.003
- Glasser L., Jenkins H.D.B. // Chem. Soc. Rev. 2005. V. 34. P. 866. https://doi.org/10.1039/b501741f
- Glasser L. // Inorg. Chem. 2010. V. 49. P. 3424. https://doi.org/10.1021/ic902475n
- Glasser L., Jenkins H.D.B. // Inorg. Chem. 2011. V. 50. P. 8565. https://doi.org/10.1021/ic201093p
- Matskevich N.I., Wolf Th., Matskevich M.Yu. // J. Chem. Thermodyn. 2018. V. 118. P. 188. https://doi.org/10.1016/j.jct.2017.11.010
- Matskevich N.I., Shlegel V.N., Sednev A.L. et al. // J. Chem. Thermodyn. 2020. V. 143. P. 106059. https://doi.org/10.1016/j.jct.2020.106059
- Matskevich N.I., Semerikova A.N., Shlegel V.N. et al. // J. Alloys Compd. 2021. V. 850. P. 156683. https://doi.org/10.1016/j.jallcom.2020.156683
- Shannon R.D. // Acta Crystallogr. 1976. V. A32. P. 751. https://doi.org/10.1107/S0567739476001551
- Matskevich N.I., Wolf Th., Semerikova A.N. et al. // J. Chem. Thermodyn. 2019. V. 135. P. 143. https://doi.org/10.1016/j.jct.2019.03.034
- Koto K., Shulz H., Huggins R.A. // Solid State Ionics. 1980. V. 1. P. 355. https://doi.org/10.1016/0167-2738(80)90034-X
Supplementary files




























