Термохимическое исследование оксида висмута-кобальта-диспрозия: энтальпия образования, энтальпия решетки
- Авторы: Мацкевич Н.И.1, Семерикова А.Н.1, Гельфонд Н.В.1, Зайцев В.П.1,2, Мацкевич М.Ю.1, Ануфриева О.И.1, Федоров А.А.1
-
Учреждения:
- Институт неорганической химии им. А.В. Николаева СО РАН
- Сибирский государственный университет водного транспорта
- Выпуск: Том 68, № 12 (2023)
- Страницы: 1786-1791
- Раздел: ФИЗИКО-ХИМИЧЕСКИЙ АНАЛИЗ НЕОРГАНИЧЕСКИХ СИСТЕМ
- URL: https://ogarev-online.ru/0044-457X/article/view/231674
- DOI: https://doi.org/10.31857/S0044457X23601402
- EDN: https://elibrary.ru/BWNIYL
- ID: 231674
Цитировать
Полный текст
Аннотация
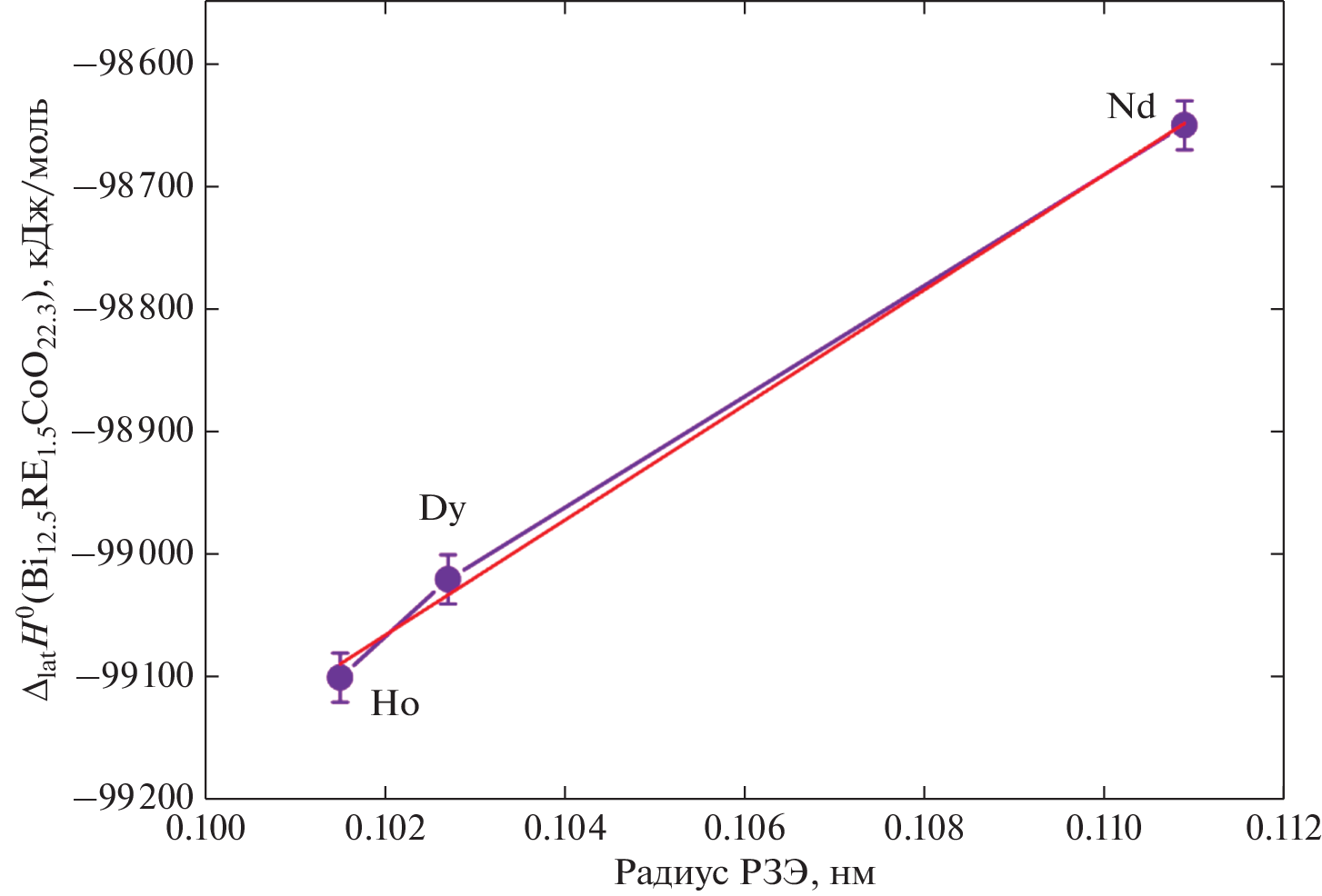
Методом твердофазных реакций получен оксид висмута-кобальта-диспрозия состава Bi12.5Dy1.5CoO22.325. Показано, что соединение имеет кубическую структуру, пр. гр. Fmm, параметр решетки a = 0.55279(5) нм. Энтальпия растворения и стандартная энтальпия образования для соединения Bi12.5Dy1.5CoO22.325 измерены методом калориметрии растворения и составили: ΔsolH0 = −1017.0 ± 7.5 кДж/моль, ΔfH0 = = −5338.8 ± 19.9 кДж/моль соответственно. С использованием цикла Борна–Габера рассчитана энтальпия решетки: ΔlatH0 = −99020 кДж/моль. Показано, что энтальпия решетки увеличивается по абсолютной величине с уменьшением радиуса редкоземельного элемента в ряду неодим–диспрозий–гольмий.
Ключевые слова
Об авторах
Н. И. Мацкевич
Институт неорганической химии им. А.В. Николаева СО РАН
Email: nata.matskevich@yandex.ru
Россия, 630090, Новосибирск,
пр-т Академика Лаврентьева, 3
А. Н. Семерикова
Институт неорганической химии им. А.В. Николаева СО РАН
Email: nata.matskevich@yandex.ru
Россия, 630090, Новосибирск,
пр-т Академика Лаврентьева, 3
Н. В. Гельфонд
Институт неорганической химии им. А.В. Николаева СО РАН
Email: nata.matskevich@yandex.ru
Россия, 630090, Новосибирск,
пр-т Академика Лаврентьева, 3
В. П. Зайцев
Институт неорганической химии им. А.В. Николаева СО РАН; Сибирский государственный университет водного транспорта
Email: nata.matskevich@yandex.ru
Россия, 630090, Новосибирск,
пр-т Академика Лаврентьева, 3; Россия, 630033, Новосибирск, ул. Щетинкина, 33
М. Ю. Мацкевич
Институт неорганической химии им. А.В. Николаева СО РАН
Email: nata.matskevich@yandex.ru
Россия, 630090, Новосибирск,
пр-т Академика Лаврентьева, 3
О. И. Ануфриева
Институт неорганической химии им. А.В. Николаева СО РАН
Email: nata.matskevich@yandex.ru
Россия, 630090, Новосибирск,
пр-т Академика Лаврентьева, 3
А. А. Федоров
Институт неорганической химии им. А.В. Николаева СО РАН
Автор, ответственный за переписку.
Email: nata.matskevich@yandex.ru
Россия, 630090, Новосибирск,
пр-т Академика Лаврентьева, 3
Список литературы
- Crumpton T.E., Mosselmans J.F.W., Creaves C. // J. Mater. Chem. 2005. V. 15. P. 164. https://doi.org/10.1039/b412108m
- Yue Ya., Dziegielewska A., Zhang M. et al. // Chem. Mater. 2023. V. 35. P. 189. https://doi.org/10.1021/acs.chemmater.2c03001
- Gagarin P.G., Guskov A.V., Gavrichev K.S. et al. // Russ. J. Inorg. Chem. 2022. V. 67. P. 2183. https://doi.org/10.1134/S0036023622602070
- Lomanova N.A. // Russ. J. Inorg. Chem. 2022. V. 67. P. 741. https://doi.org/10.1134/S0036023622060146
- Pandey P., Dixit P., Chauhan V. et al. // J. Alloys Compd. 2023. V. 952. P. 169911. https://doi.org/10.1016/j.jallcom.2023.169911
- Kaimieva O.S., Sabirova I.E., Buyanova E.S. et al. // Russ. J. Inorg. Chem. 2022. V. 67. P. 1348. https://doi.org/10.1134/S0036023622090054
- Jankovsky O., Sedmidubsky D., Leitner J. et al. // Thermochim. Acta. 2014. V. 582. P. 40. https://doi.org/10.1016/j.tca.2014.02.022
- Dmitriev A.V., Vladimirova E.V., Kellerman D.G. et al. // J. Alloys Compd. 2019. V. 777. P. 586. https://doi.org/10.1016/j.jallcom.2018.10.387
- Elovikov D.P., Tomkovich M.V., Levin A.A. et al. // Russ. J. Inorg. Chem. 2022. V. 67. P. 850. https://doi.org/10.1134/S0036023622060067
- Steblevskaya N.I., Belobeletskaya M.V., Medkov M.A. et al. // Russ. J. Inorg. Chem. 2022. V. 67. P. 1228. https://doi.org/10.1134/S0036023622080265
- Milewska K., Maciejewski M., Lapinski M. et al. // J. Non-Cryst. Solids. 2023. V. 605. P. 122169. https://doi.org/10.1016/j.jnoncrysol.2023.122169
- Balci M., Saatci B., Turk H. et al. // Mater. Today Comm. 2022. V. 33. P. 104542. https://doi.org/10.1016/j.mtcomm.2022.104542
- Crumpton T.E., Greaves C. // J. Mater. Chem. 2004. V. 14. P. 2433. https://doi.org/10.1039/b405770h
- Lv P., Huang F. // RSC Advances. 2019. V. 9. P. 8650. https://doi.org/10.1039/c8ra09565e
- Capoen E., Steil C., Boivin J.C. et al. // Solid State Ionics. 2006. V. 177. P. 483. https://doi.org/10.1016/j.ssi.2005.12.015
- Emel’yanova Yu.V., Mikhailovskaya Z.A., Buyanova E.S. et al. // Russ. J. Appl. Chem. 2017. V. 90. P. 354. https://doi.org/10.1134/S1070427217030053
- Krok F., Abrahams I., Holdynski M. et al. // Solid State Ionics. 2008. V. 179. P. 975. https://doi.org/10.1016/j.ssi.2008.02.015
- Hervoches C.H., Greaves C. // Solid State Ionics. 2014. V. 254. P. 1. https://doi.org/10.1016/j.ssi.2013.10.032
- Matskevich N.I., Wolf Th., Pischur D. et al. // J. Therm. Anal. Calorim. 2016. V. 124. P. 1745. https://doi.org/10.1007/s10973-016-5316-y
- Kekade S.S., Gaikwad P.V., Raut S.A. et al. // ACS Omega. 2018. V. 3. P. 5853. https://doi.org/10.1021/acsomega.8b00564
- Punn R., Feteira A.M., Sinclair D.C. et al. // J. Am. Chem. Soc. 2006. V. 128. P. 15386. https://doi.org/10.1021/ja065961d
- Matskevich N.I., Wolf Th., Greaves C. et al. // J. Chem. Thermodyn. 2015. V. 91. P. 234. https://doi.org/10.1016/j.jct.2015.07.036
- Minenkov Yu.F., Matskevich N.I., Stenin Yu.G. et al. // Thermochim. Acta. 1996. V. 278. P. 1. https://doi.org/10.1016/0040-6031(95)02801-3
- Matskevich N.I., McCallum R.W. // Thermochim. Acta. 1999. V. 342. P. 41. https://doi.org/10.1016/s0040-6031(99)00314-7
- Matskevich N.I., Krabbes G., Berasteguie P. // Thermochim. Acta. 2003. V. 397. P. 97. https://doi.org/10.1016/S0040-6031(02)00330-1
- Kilday M.V. // J. Res. Nat. Bur. Stand. 1980. V. 85. P. 467.
- Gunther C., Pfestorf R., Rother M. et al. // J. Therm. Anal. Calorim. 1988. V. 33. P. 359.
- Termicheskie konstanty veshchestv (Thermal Constants of Substances) / Ed. Glushko V.P. M.: VINITI, 1965–1982. V. 1–10.
- Matskevich N.I., Semerikova A.N., Samoshkin D.A. et al. // Russ. J. Inorg. Chem. 2022. V. 67. P. 1825. https://doi.org/10.1134/S0036023622600988
- Shannon R.D. // Acta Crystallogr., Sect. A. 1976. V. 32. P. 751. https://doi.org/10.1107/S0567739476001551
Дополнительные файлы




