Reaction of Highly Dispersed Nickel Metal Powders with Pd(II) Aqueous Solutions under Hydrothermal Conditions
- Authors: Borisov R.V.1,2, Belousov O.V.1,2, Likhatski M.N.1, Zhizhaev A.M.1
-
Affiliations:
- Institute of Chemistry and Chemical Technology, Siberian Branch, Russian Academy of Sciences
- Siberian Federal University
- Issue: Vol 68, No 11 (2023)
- Pages: 1537-1545
- Section: СИНТЕЗ И СВОЙСТВА НЕОРГАНИЧЕСКИХ СОЕДИНЕНИЙ
- URL: https://ogarev-online.ru/0044-457X/article/view/231655
- DOI: https://doi.org/10.31857/S0044457X23600573
- EDN: https://elibrary.ru/DJLNBY
- ID: 231655
Cite item
Full Text
Abstract
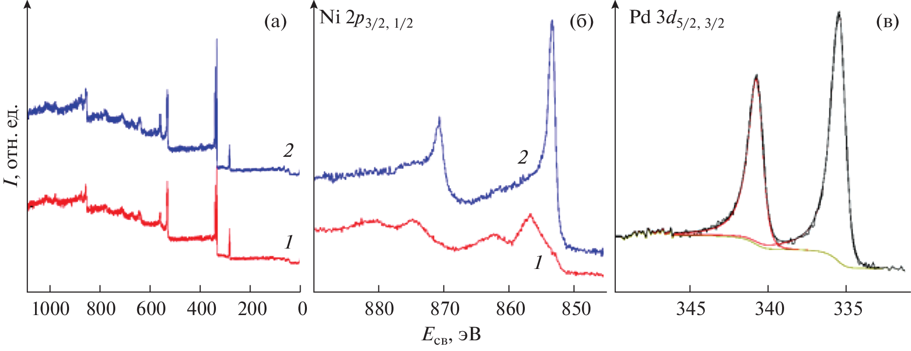
The processes of contact reaction of nickel metal powders with aggregated particle sizes of 300–400 nm with aqueous solutions of palladium(II) in autoclaves at elevated temperatures in acidic and alkaline media have been studied. It has been found that when metallic nickel contacts with aqueous solutions of palladium(II) chloride in 0.01 M hydrochloric acid at temperatures of 100 and 130°C for 15 min, the concentration of divalent palladium ions decreases to zero. The process is accompanied by a partial transition of nickel into solution. The precipitates are a mixture of metallic particles of nickel and palladium of variable compositions. In the case of contact of metallic nickel with solutions of tetraammine palladium(II) chloride at temperatures of 160 and 170°C in a medium of 0.1 M potassium hydroxide, metal palladium particles 5–25 nm in size are formed on the surface of larger nickel particles. The structure of bimetallic particles has been determined by X-ray photoelectron microscopy.
Keywords
About the authors
R. V. Borisov
Institute of Chemistry and Chemical Technology, Siberian Branch, Russian Academy of Sciences; Siberian Federal University
Email: roma_boris@list.ru
660036, Krasnoyarsk, Russia; 660041, Krasnoyarsk, Russia
O. V. Belousov
Institute of Chemistry and Chemical Technology, Siberian Branch, Russian Academy of Sciences; Siberian Federal University
Email: roma_boris@list.ru
660036, Krasnoyarsk, Russia; 660041, Krasnoyarsk, Russia
M. N. Likhatski
Institute of Chemistry and Chemical Technology, Siberian Branch, Russian Academy of Sciences
Email: roma_boris@list.ru
660036, Krasnoyarsk, Russia
A. M. Zhizhaev
Institute of Chemistry and Chemical Technology, Siberian Branch, Russian Academy of Sciences
Author for correspondence.
Email: roma_boris@list.ru
660036, Krasnoyarsk, Russia
References
- Jia M., Choi C., Wu T.S. et al. // Chem. Sci. 2018. V. 9. № 47. P. 8775. https://doi.org/10.1039/C8SC03732A
- Ali S., Sharma A.S., Ahmad W. et al. // Crit. Rev. Anal. Chem. 2021. V. 51. № 5. P. 454. https://doi.org/10.1080/10408347.2020.1743964
- Jamila N., Khan N., Bibi A. et al. // J. Chem. 2020. V. 13. № 8. P. 6425. https://doi.org/10.1016/j.arabjc.2020.06.001
- Gour A., Jain N.K. // Artificial Cells, Nanomedicine, Biotechnol. 2019. V. 47. № 1. P. 844. https://doi.org/10.1080/21691401.2019.1577878
- Liu C.H., Liu R.H., Sun Q.J., Chang J.B. et al. // Nanoscale. 2015. V. 7. № 14. P. 6356. https://doi.org/10.1039/C4NR06855F
- Soloveva A.Y., Eremenko N.K., Obraztsova I.I. et al. // Russ. J. Inorg. Chem. 2018. V. 63. P. 444. https://doi.org/10.1134/S0036023618040204
- Schnedlitz M., Fernandez-Perea R., Knez D. et al. // J. Phys. Chem. C. 2019. V. 123. № 32. P. 20037. https://doi.org/10.1021/acs.jpcc.9b05765
- Chen D., Liu S., Li J., Zhao N. et al. // J. Alloys Compoun. 2009. V. 475. P. 494. https://doi.org/10.1016/j.jallcom.2008.07.115
- Almeida C.V., Tremiliosi-Filho G., Eguiluz K.I., Salazar-Banda G.R. // J. Catalysis. 2020. V. 391. P. 175. https://doi.org/10.1016/j.jcat.2020.08.024
- Spasova M., Salgueiriño-Maceira V., Schlachter A. et al. // J. Mater. Chem. 2005. V. 15. № 21. P. 2095. https://doi.org/10.1039/B502065D
- Correa-Duarte M.A., Grzelczak M., Salgueiriño-Maceira V. et al. // J. Phys. Chem. B. 2005. V.109. № 41. P. 19060–19063. https://doi.org/10.1021/jp0544890
- Yin W., Venderbosch R.H., Yakovlev V.A. et al. // Energies. 2020. V. 13. № 1. P. 285. https://doi.org/10.3390/en13010285
- Bumagin N.A. // Russ. J. Gen. Chem. 2022. V. 92. P. 832. https://doi.org/10.1134/S1070363222050127
- Srinoi P., Chen Y.-T., Vittur V., Marquez M., Lee T. // Appl. Sci. 2018. V. 8. P. 1106. https://doi.org/10.3390/app8071106
- Maduraiveeran G., Rasik R., Sasidharan M., Jin W. // J. Electroanal. Chem. 2018. V. 808. P. 259. https://doi.org/10.1016/j.jelechem.2017.12.027
- Šuljagić M., Stanković D., Mirković M. et al. // Russ. J. Inorg. Chem. 2022. V. 67. Suppl. 1. P. S13. https://doi.org/10.1134/S003602362260201X
- Sun J., Yang F., Zhao D. et al. // ACS Appl. Mater. Interfaces. 2015. V. 7. P. 6860. https://doi.org/10.1021/acsami.5b00434
- Sopoušek J., Kryštofová A., Premović M. et al. // Calphad. 2017. V. 58. P. 25. https://doi.org/10.1016/j.calphad.2017.05.002
- Fedorov P.P., Popov A.A., Shubin Y.V. et al. // Russ. J. Inorg. Chem. 2022. V. 67. P. 2018. https://doi.org/10.1134/S0036023622601453
- Jia F.L., Zhang L.Z., Shang X.Y., Yang Y. // Adv. Mater. 2008. V. 20. № 5. P. 1050. https://doi.org/10.1002/adma.200702159
- Senapati S., Srivastava S.K., Singh S.B., Mishra H.N. // J. Mater. Chem. 2012. V. 22. № 14. P. 6899. https://doi.org/10.1039/C2JM00143H
- Egorysheva A.V., Ellert O.G., Liberman E.Y. et al. // Russ. J. Inorg. Chem. 2022. V. 67. P. 2127. https://doi.org/10.1134/S0036023622601349
- Ioni Y.V., Chentsov, S.I., Sapkov I.V. et al. // Russ. J. Inorg. Chem. 2022. V. 67. P. 1711. https://doi.org/10.1134/S0036023622601076
- Vorobyev A.M., Titkov A.I., Logutenko O.A. // Russ. J. Gen. Chem. 2022. V. 92. P. 430. https://doi.org/10.1134/S1070363222030100
- Yousefi S.R., Ghanbari D., Salavati-Niasari M. et al. // J. Mater. Sci.: Mater. Electron. 2016. V. 27. P. 1244. https://doi.org/10.1007/s10854-015-3882-6
- Gubin S.P., Koksharov Y.A., Khomutov G.B. et al. // Russ. Chem. Rev. 2005. V. 74. № 6. P. 489.
- Zakharov Y.A., Pugachev V.M., Bogomyakov A.S. et al. // J. Phys. Chem. C. 2020. V. 124. № 1. P. 1008. https://doi.org/10.1021/acs.jpcc.9b07897
- Shafique M.K., Muhmood T., Lin S. et al. // Mater. Res. Express. 2019. V.6. № 10. P. 108001.
- Belousov O.V., Borisov R.V., Belousova N.V. et al. // Russ. J. Inorg. Chem. 2021. V. 66. P. 1463. https://doi.org/10.1134/S003602362110003X
- Fesik E.V., Buslaeva T.M., Mel’nikova T.I. et al. // Inorg. Mater. 2018. V. 54. № 12. P. 1299. https://doi.org/10.1134/S0020168518120038
- Du H., Wang Y., Yuan H. et al. // Electrochim. Acta. 2016. V. 196. P. 84. https://doi.org/10.1016/j.electacta.2016.02.190
- Zhang F., Chen Y., Zhao J. et al. // Chem. Lett. 2004. V. 33. № 2. P. 146. https://doi.org/10.1246/cl.2004.146
- Kashid S. B., Raut R.W., Malghe, Y.S. // Maters. Chem. Phys. 2016. V. 170. P. 24. https://doi.org/10.1016/j.matchemphys.2015.12.014
- Borisov R.V., Belousov O.V., Zhizhaev A.M. et al. // Russ. J. Inorg. Chem. 2018. V. 63. № 3. P. 308. https://doi.org/10.1134/S0036023618030038
- Borisov R.V., Belousov O.V., Zhizhaev A.M. et al. // Russ. Chem. Bull. 2021. V. 70. P. 1474. https://doi.org/10.1007/s11172-021-3242-z
- Borisov R.V., Belousov O.V., Zhizhaev A.M. // Russ. J. Inorg. Chem. 2020. V. 65. № 10. P. 1623. https://doi.org/10.1134/S0036023620100034
- Borisov R.V., Belousov O.V., Likhatski M.N. et al. // Russ. Chem. Bull. 2022. V. 71. P. 1164. https://doi.org/10.1007/s11172-022-3517-z
- Belousov O.V., Belousova N.V., Sirotina A.V. et al. // Langmuir. 2011. V. 27. P. 11697. https://doi.org/10.1021/la202686x
- Grosvenor A.P., Biesinger M.C., Smart R.S. et al. // Surf. Sci. 2006. V. 600. № 9. P. 1771. https://doi.org/10.1016/j.susc.2006.01.041
- Lenglet M., Hochu F., Durr J., Tuilier M.H. // Sol. St. Comm. 1997. V. 104. P. 793. https://doi.org/10.1016/S0038-1098(97)00273-1
- Jenks C.J., Chang S.L., Anderegg J.W. et al. // Phys. Rev. B. 1996. V. 54. P. 6301. https://doi.org/10.1103/PhysRevB.54.6301
- Patterson A.L. // Phys. Rev. 1939. V. 56. P. 978. https://doi.org/10.1103/PhysRev.56.978
Supplementary files








