Spin Selectivity of the Conductivity of Gold Nanotubes according to the Cylindrical Wave Method Data
- Authors: D’yachkov P.N.1, D’yachkov E.P1
-
Affiliations:
- Kurnakov Institute of General and Inorganic Chemistry, Russian Academy of Sciences
- Issue: Vol 68, No 10 (2023)
- Pages: 1447-1453
- Section: ТЕОРЕТИЧЕСКАЯ НЕОРГАНИЧЕСКАЯ ХИМИЯ
- URL: https://ogarev-online.ru/0044-457X/article/view/140310
- DOI: https://doi.org/10.31857/S0044457X23600809
- EDN: https://elibrary.ru/YSATHS
- ID: 140310
Cite item
Full Text
Abstract
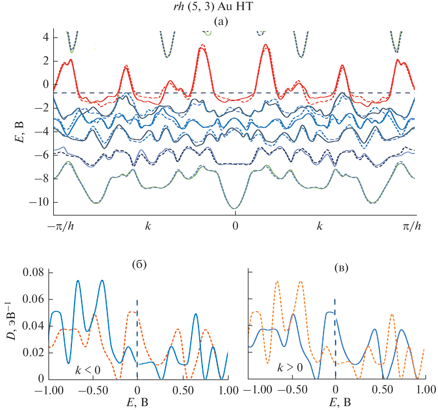
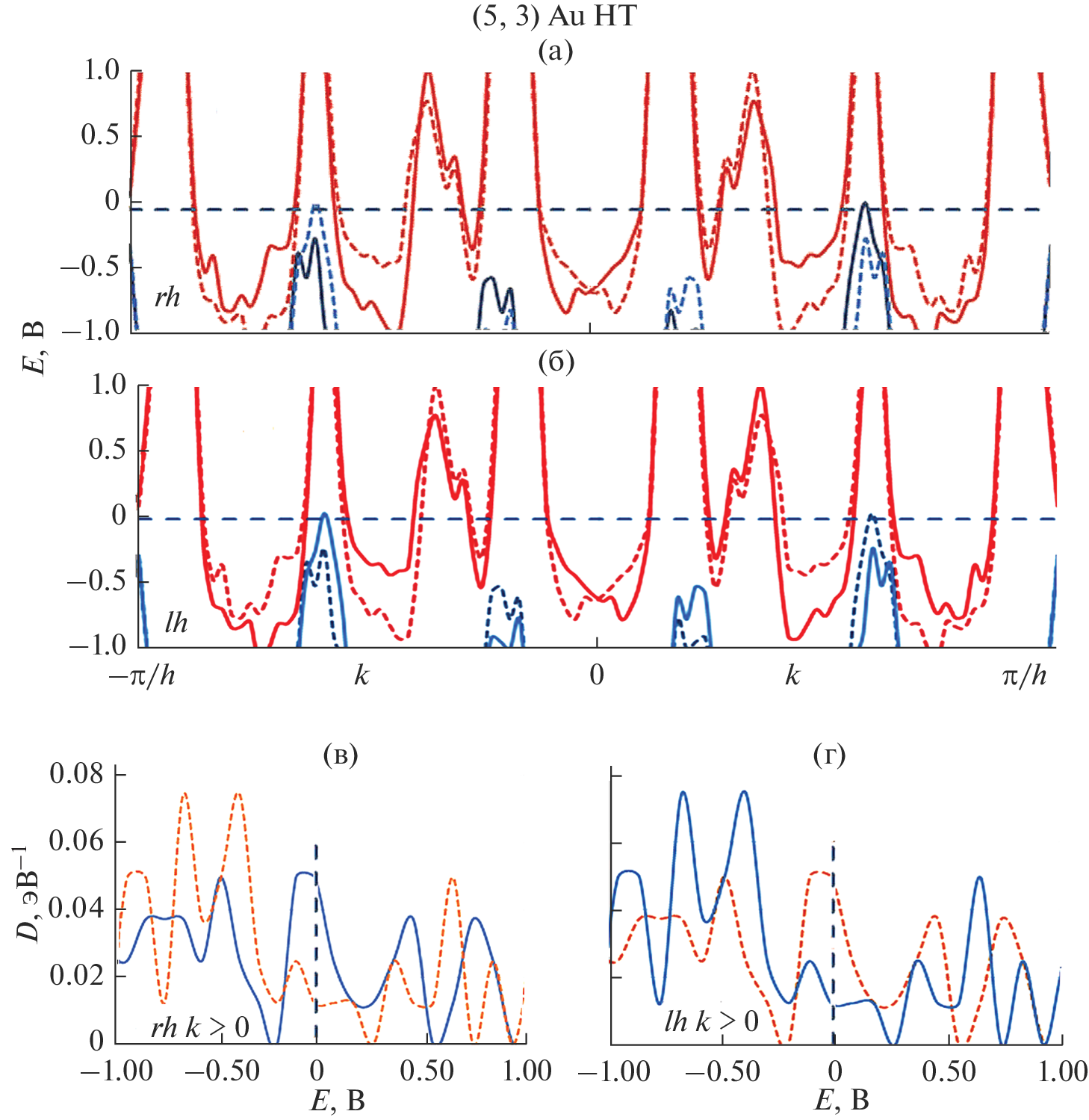
The band structures of two series of chiral single-walled gold nanotubes (5, n2) and (10, n2) have been calculated using the cylindrical wave method with inclusion of spin–orbit coupling. Compounds with high spin polarizability of the electronic structure and spin selectivity of conductivity have been revealed. They can be used as materials for design of molecular spintronics elements.
About the authors
P. N. D’yachkov
Kurnakov Institute of General and Inorganic Chemistry, Russian Academy of Sciences
Email: p_dyachkov@rambler.ru
119991, Moscow, Russia
E. P D’yachkov
Kurnakov Institute of General and Inorganic Chemistry, Russian Academy of Sciences
Author for correspondence.
Email: p_dyachkov@rambler.ru
119991, Moscow, Russia
References
- Kondo Y. // Science. 2000. V. 289. P. 606. https://doi.org/10.1126/science.289.5479.606
- Oshima Y., Onga A., Takayanagi K. // Phys. Rev. Lett. 2003. V. 91. P. 205503. https://doi.org/10.1103/PhysRevLett.91.205503
- Bridges C.R., DiCarmine P.M., Fokina A. et al. // J. Mater. Chem. A. 2013. V. 1. P. 1127. https://doi.org/10.1103/PhysRevLett.91.205503
- Hendren W.R., Murphy A., Evans P. et al. // J. Phys.: Condens. Matter. 2008. V. 20. P. 362203. https://doi.org/10.1088/0953-8984/20/36/362203
- Wang H.W., Shieh C.F., Chen H.Y. et al. // Nanotechnology. 2006. V. 17. P. 2689. https://doi.org/10.1088/0957-4484/17/10/041
- Bridges C.R., DiCarmine P.M., Seferos D.S. // Chem. Mater. 2012. V. 24. P. 965. https://doi.org/10.1021/cm203184d
- Shamraiz U., Raza B., Hussain H. et al. // Int. Mater. Rev. 2018. V. 64. P. 1743. https://doi.org/10.1080/09506608.2018.1554991
- Kohl J., Fireman M., O’Carroll D.M. // Phys. Rev. B. 2011. V. 84. P. 235118. https://doi.org/10.1103/PhysRevB.84.235118
- Wang J., Zhang C., Zhang J. et al. // Adv. Opt. Mater. 2017. V. 5. P. 1600731. https://doi.org/10.1002/adom.201600731
- Ye S., Marston G., McLaughlan J.R. et al. // Adv. Funct. Mater. 2015. V. 25. P. 2117. https://doi.org/10.1002/adfm.201404358
- Ye S., Marston G., Markham A.F. et al. // J. Phys.: Conf. Ser. 2019. V. 1151. P. 012018. https://doi.org/10.1088/1742-6596/1151/1/012018
- Navyatha B., Kumar R., Nara S.A. // J. Environ. Chem. Eng. 2016. V. 4. P. 924. https://doi.org/10.1016/j.jece.2015.12.033
- Oshima Y., Mouri K., Hirayama H. et al. // J. Phys. Soc. Jpn. 2006. V. 75. P. 053705. https://doi.org/10.1143/jpsj.75.053705
- Del Valle M., Tejedor C., Cuniberti G. // Phys. Rev. B. 2006. V. 74. P. 045408. https://doi.org/10.1103/PhysRevB.74.045408
- Manrique D.Zs., Cserti J., Lambert C.J. // Phys. Rev. B. 2010. V. 81. P. 073103. https://doi.org/10.1103/PhysRevB.81.073103
- D’yachkov E.P., D’yachkov P.N. // J. Phys. Chem. C. 2019. V. 123. P. 26005. https://doi.org/10.1021/acs.jpcc.9b07610
- D’yachkov P.N. // Chem. Phys. Lett. 2020. V. 752. P. 137542. https://doi.org/10.1016/j.cplett.2020.137542
- D'yachkov P.N. // Chem. Phys. Lett. 2021. V. 782. P. 139032. https://doi.org/10.1016/j.cplett.2021.139032
- Yang S.H. // Appl. Phys. Lett. 2021. V. 16. P. 120502. https://doi.org/10.1063/5.0039147
- Yang S.H., Naaman R., Paltiel Y. et al. // Nat. Rev. Phys. 2021. V. 3. P. 328. https://doi.org/10.1038/s42254-021-00302-9
- Michaeli K., Kantor-Uriel N., Naamanm R. et al. // Chem. Soc. Rev. 2016. V. 45. P. 6478. https://doi.org/10.1039/C6CS00369A
- Bercioux D., Lucignano P. // Rep. Prog. Phys. 2015. V. 78. P. 106001. https://doi.org/10.1088/0034-4885/78/10/106001
- Naaman R., Waldeck D.H. // Annu. Rev. Phys. Chem. 2015. V. 66. P. 263. https://doi.org/10.1146/annurev-physchem-040214-121554
- Waldeck D.H., Naaman R., Paltiel Y. // APL Mater. 2021. V. 9. P. 040902. https://doi.org/10.1063/5.0049150
- Yeom J. // Acc. Mater. Res. 2021. V. 2. P. 471. https://doi.org/10.1021/accountsmr.1c00059
- Yang X., van der Wal C.H., van Wees B.J. // Nano Lett. 2020. V. 20. P. 6148. https://doi.org/10.1021/acs.nanolett.0c02417
- Yeganeh S., Ratner M.A., Medina E. et al. // J. Chem. Phys. 2009. V. 131. P. 014707. https://doi.org/10.1063/1.3167404
- Gutierrez R., Díaz E., Naaman R. et al. // Phys. Rev. B. 2012. V. 85. P. 081404. https://doi.org/10.1103/PhysRevB.85.081404
- Gutierrez R., D́ıaz E., Gau C. et al. // J. Phys. Chem. C. 2013. V. 117. P. 22276. https://doi.org/10.1021/jp401705x
- Eremko A.A., Loktev V.M. // Phys. Rev. B. 2013. V. 88. P. 165409. https://doi.org/10.1103/PhysRevB.88.165409
- Yang X., van der Wal C.H., van Wees B.J. // Phys. Rev. B. 2019. V. 99. P. 024418. https://doi.org/10.1103/PhysRevB.99.024418
- Dalum S., Hedegård P. // Nano Lett. 2019. V. 19. P. 5253. https://doi.org/10.1021/acs.nanolett.9b01707
- Rahman W., Firouzeh S., Mujica V. et al. // ACS Nano. 2020. V. 14. P. 3389. https://doi.org/10.1021/acsnano.9b09267
- Ghazaryan A., Paltie Y., Lemeshko M. // J. Phys. Chem. C. 2020. V. 124. P. 11716. https://doi.org/10.1021/acs.jpcc.0c02584
- D’yachkov P.N., Lomakin N.A. // Russ. J. Inorg. Chem. 2023. V. 68. № 4. P. 424. https://doi.org/10.1134/S0036023622602823
- D’yachkov E.P., Lomakin N.A., D’yachkov P.N. // Russ. J. Inorg. Chem. 2023. V. 68. № 7.
- D’yachkov P.N. Quantum chemistry of nanotubes: electronic cylindrical waves. 2019. London: CRC Press, Taylor and Francis, 212 p.
- Shih P-H., Gumbs G., Huang D. et al. // J. Appl. Phys. 2022. V. 132. P. 154302. https://doi.org/10.1063/5.0107527
- Manchon A., Koo H.C., Nitta J. et al. // Nat. Mater. 2015. V. 14. P. 871. https://doi.org/10.1038/nmat4360
- Craighead H.G. Science. 2000. V. 290. P. 1532. https://doi.org/10.1126/science.290.5496.1532
- D’yachkov P.N., D’yachkov E.P. // Russ. J. Inorg. Chem. 2020. V. 65. P. 1196. https://doi.org/10.1134/S0036023620070074
Supplementary files







