Electron Transport in Perovskite-Type Ca0.5 – xSr0.5LuxMnO3 – δ Manganites
- Authors: Konstantinova E.I.1, Litvinov V.A.1, Koryakov A.D.1, Leonidov I.A.1
-
Affiliations:
- Institute of Solid State Chemistry, Ural Branch, Russian Academy of Sciences
- Issue: Vol 68, No 10 (2023)
- Pages: 1398-1404
- Section: СИНТЕЗ И СВОЙСТВА НЕОРГАНИЧЕСКИХ СОЕДИНЕНИЙ
- URL: https://ogarev-online.ru/0044-457X/article/view/140305
- DOI: https://doi.org/10.31857/S0044457X23600536
- EDN: https://elibrary.ru/LSXZZL
- ID: 140305
Cite item
Full Text
Abstract
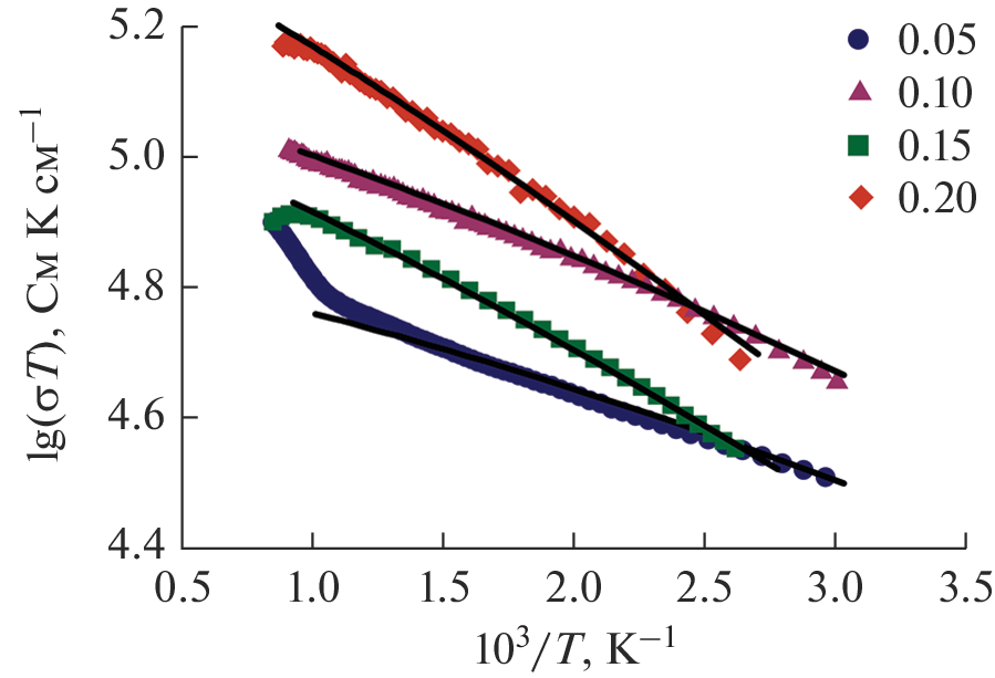
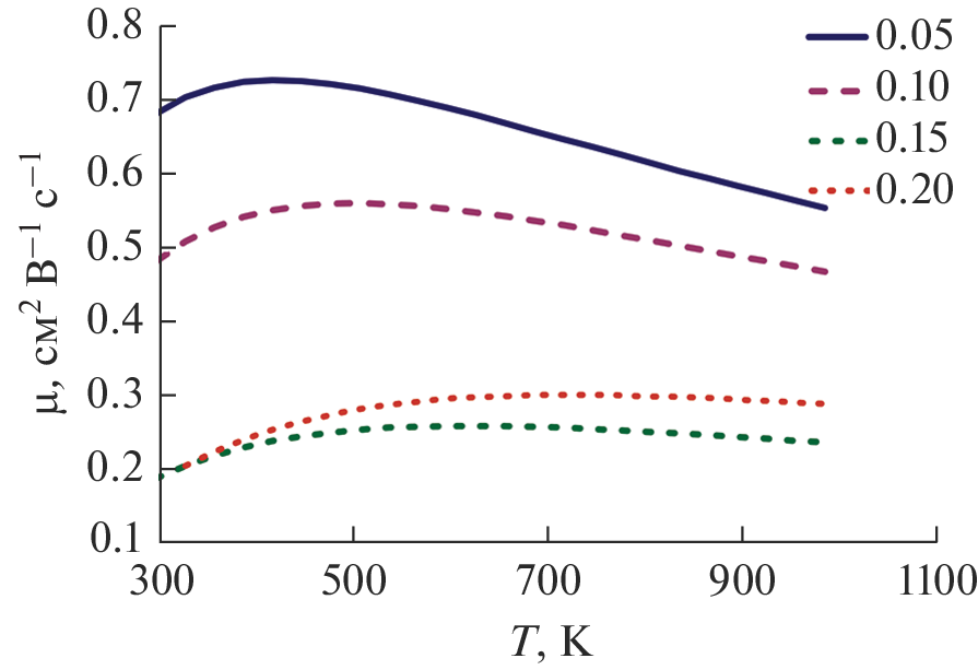
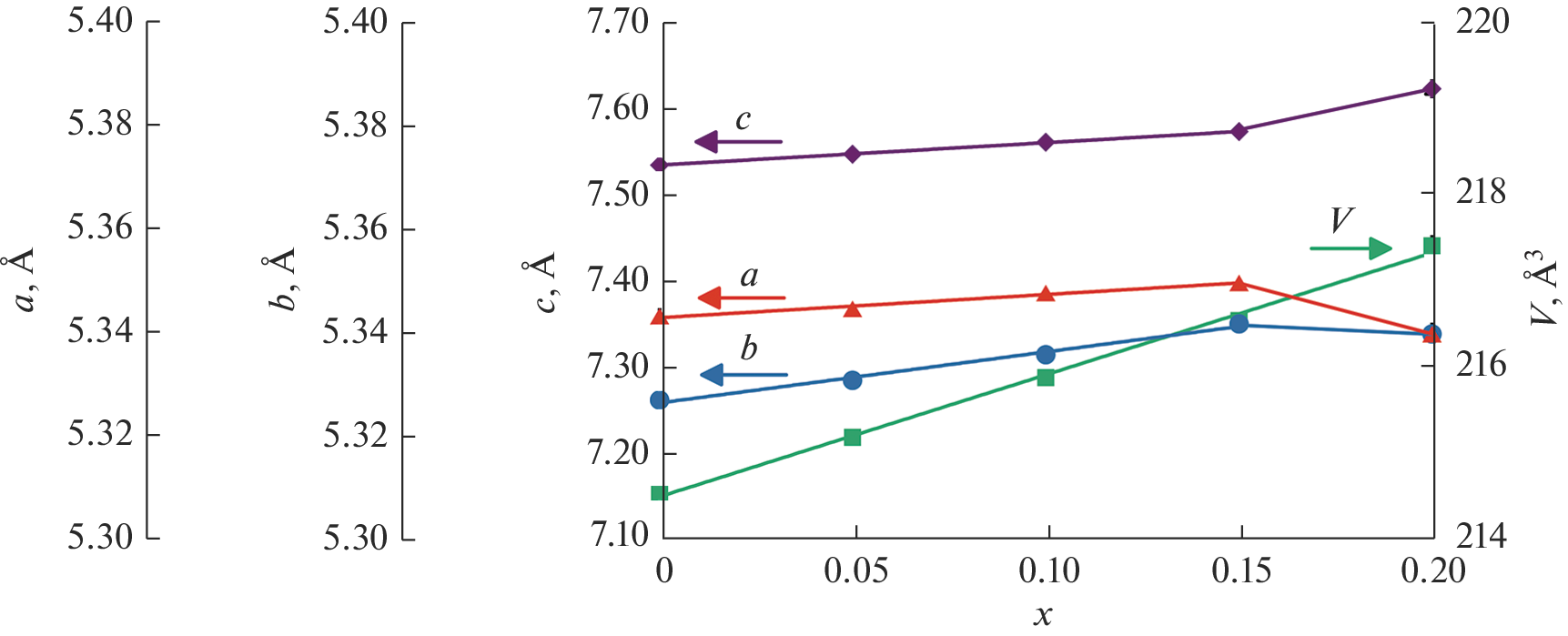
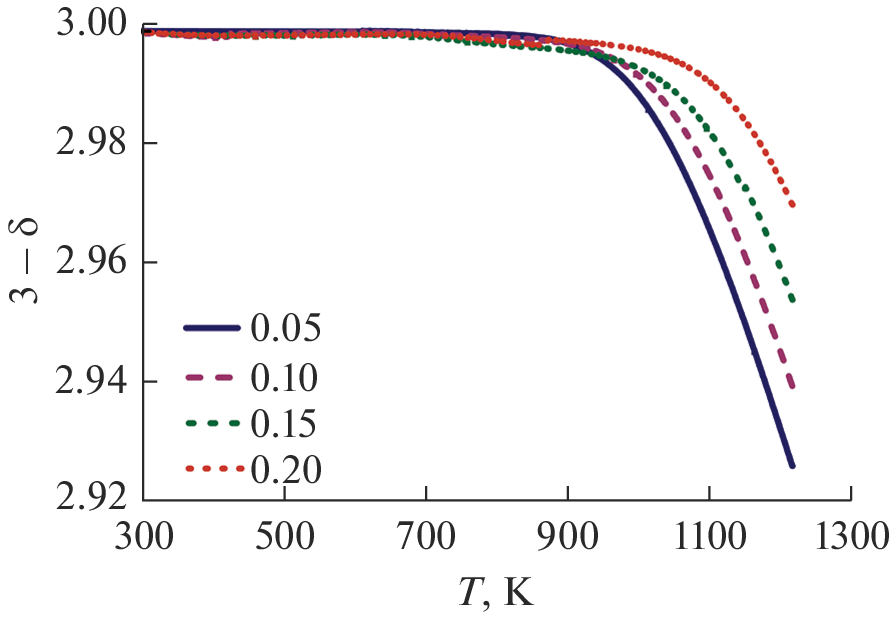
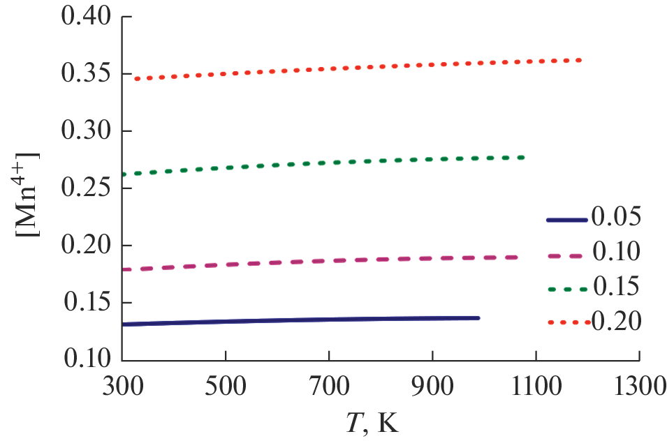
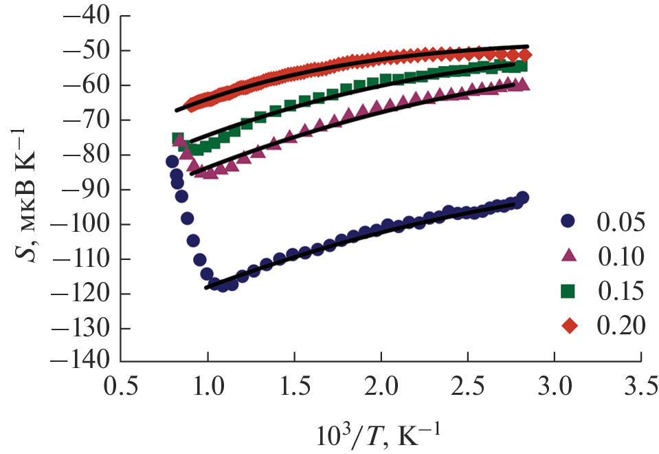
Perovskite-type Ca0.5 – xSr0.5LuxMnO3 – δ (x = 0.05, 0.10, 0.15, and 0.20) manganites have been prepared in air using a citrate–nitrate process for preparing precursors. At room temperature, the x = 0.05, 0.10, and 0.15 samples have an orthorhombic structure (space group Pbnm); when x = 0.2, a tetragonal structure (space group I4/mcm) is formed. The increase in unit cell volume in response to rising lutetium concentration in the samples is due to an increase in Mn3+ concentration necessary to ensure n-type electrical conductivity σ. The temperature-activated electrical conductivity is consistent with the adiabatic transport mechanism of small polarons. The increase in magnitude of the Seebeck coefficient S in response to rising temperature is due to the decrease in the concentration of Mn3+ ions via their disproportionation to Mn2+ and Mn4+ ions. The S(T) and σ(T) temperature dependences under the condition where δ ⁓ 0 have been used to calculate the equilibrium constants of the disproportionation reaction, charge carrier concentrations and mobilities.
About the authors
E. I. Konstantinova
Institute of Solid State Chemistry, Ural Branch, Russian Academy of Sciences
Email: leonidov@imp.uran.ru
620990, Yekaterinburg, Russia
V. A. Litvinov
Institute of Solid State Chemistry, Ural Branch, Russian Academy of Sciences
Email: leonidov@imp.uran.ru
620990, Yekaterinburg, Russia
A. D. Koryakov
Institute of Solid State Chemistry, Ural Branch, Russian Academy of Sciences
Email: leonidov@imp.uran.ru
620990, Yekaterinburg, Russia
I. A. Leonidov
Institute of Solid State Chemistry, Ural Branch, Russian Academy of Sciences
Author for correspondence.
Email: leonidov@imp.uran.ru
620990, Yekaterinburg, Russia
References
- Wang Y., Sui Y., Wang X., Su W. // J. Phys. D: Appl. Phys. 2009. V. 42. P. 055010. https://doi.org/10.1088/0022-3727/42/5/055010
- Bhaskar A., Liu C.-J., Yuan J.J. // J. Electron. Mater. 2012. V. 41. P. 2338. https://doi.org/10.1007/s11664-012-2159-6
- Löhnert R., Töpfer J. // J. Solid State Chem. 2022. V. 315. P. 123437. https://doi.org/10.1016/j.jssc.2022.123437
- Madre M.A., Amaveda H., Dura O.J. et al. // J. Alloys Compd. 2023. V. 954. P. 170201. https://doi.org/10.1016/j.jallcom.2023.170201
- Ohtaki M. // J. Ceram. Soc. Jpn. 2011. V. 119. P. 770. https://doi.org/10.2109/jcersj2.119.770
- Kennedy B.J., Saines P.J., Zhou Q. et al. // J. Solid State Chem. 2008. V. 181. P. 2639. https://doi.org/10.1016/j.jssc.2008.06.022
- Федорова О.М., Ведмидь Л.Б., Балакирева В.Б. и др. // Неорган. материалы. 2021. Т. 57. № 4. С. 412. Fedorova O.M., Vedmid’ L.B., Balakireva V.B. et al. // Inorg. Mater. 2021. V. 57. P. 392. https://doi.org/10.31857/S0002337X21040047
- Konstantinova E.I., Leonidov I.A., Markov A.A. et al. // J. Mater. Chem. A. 2020. V. 8. P. 16497. https://doi.org/10.1039/D0TA03731A
- Konstantinova E.I., Leonidova O.N., Chukin A.V., Leonidov I.A. // Mater. Lett. 2021. V. 283. P. 128803. https://doi.org/10.1016/j.matlet.2020.128803
- Mizusaki J., Mori N., Takai H. et al. // Solid State Ionics. 2000. V. 129. P. 163. https://doi.org/10.1016/S0167-2738(99)00323-9
- Evdou A., Georgitsis T., Matsouka C. et al. // Nanomaterials. 2022. V. 12. P. 3461. https://doi.org/10.3390/nano12193461
- Antipinskaya E.A., Politov B.V., Petrova S.A. et al. // J. Energy Storage. 2022. V. 53. P. 105175. https://doi.org/10.1016/j.est.2022.105175
- Kraus W., Nolze G. // Powder Cell for Windows – Version 2.4 – Structure Visualisation/Manipulation. Powder Pattern Calculation and Profile Fitting Federal Institute for Materials Research and Testing. 2000. Berlin, Germany.
- Cusack N., Kendall P. // Proc. Phys. Soc. 1958. V. 72. P. 898. https://doi.org/10.1088/0370-1328/72/5/429
- Chimaissem O., Dabrowski B., Kolesnik S. et al. // Phys. Rev. B. 2001. V. 64. P. 134412. https://doi.org/10.1103/PhysRevB.64.134412
- Shannon R.D. // Acta Crystallogr., Sect. A. 1976. V. 32. P. 751. https://doi.org/10.1107/S0567739476001551
- Goldyreva E.I., Leonidov I.A., Patrakeev M.V. et al. // J. Alloys Compd. 2015. V. 638. P. 44. https://doi.org/10.1016/j.jallcom.2015.03.048
- Austin I.G., Mott N.F. // Adv. Phys. 2001. V. 50. P. 757. https://doi.org/10.1080/00018730110103249
- Kuo J.H., Anderson H.U., Sparlin D.M. // J. Solid State Chem. 1989. V. 83. P. 52. https://doi.org/10.1016/0022-4596(89)90053-4
- Moskvin A.S. // J. Phys. Condens. Matter. 2013. V. 25. P. 085601. https://doi.org/10.1088/0953-8984/25/8/085601
- Moskvin A.S. // Phys. Rev. B. 2009. V. 79. P. 115102. https://doi.org/10.1103/PhysRevB.79.115102
- Loktev V.M., Pogorelov Y.G. // Low Temp. Phys. 2000. V. 26. P. 171. https://doi.org/10.1063/1.593890
- Леонидов И.А., Константинова Е.И., Патракеев М.В. и др. // Неорган. материалы. 2017. Т. 53. № 6. С. 594. Leonidov I.A., Konstantinova E.I., Patrakeev M.V. et al. // Inorg. Mater. 2017. V. 53. P. 583. https://doi.org/10.1134/S0020168517060097
- Leonidov I.A., Konstantinova E.I., Patrakeev M.V. et al. // J. Solid State Electrochem. 2017. V. 21. P. 2099. https://doi.org/10.1007/s10008-01-3571-x
- Konstantinova E.I., Ryzhkov M.A. Leonidova O.N. et al. // J. Solid State Electrochem. 2023. https://doi.org/10.1007/s10008-023-05386-0
Supplementary files










