Комплексы рутения на основе C2B9-нидо-карборана и тридентатных фосфор- и азотсодержащих лигандов
- Авторы: Кальтенберг А.А.1, Башилова А.Д.1, Сомов Н.В.1, Малышева Ю.Б.1, Гришин И.Д.1
-
Учреждения:
- Национальный исследовательский Нижегородский государственный университет им. Н.И. Лобачевского
- Выпуск: Том 68, № 9 (2023)
- Страницы: 1277-1286
- Раздел: КООРДИНАЦИОННЫЕ СОЕДИНЕНИЯ
- URL: https://ogarev-online.ru/0044-457X/article/view/136496
- DOI: https://doi.org/10.31857/S0044457X23700241
- EDN: https://elibrary.ru/WKKOGJ
- ID: 136496
Цитировать
Полный текст
Аннотация
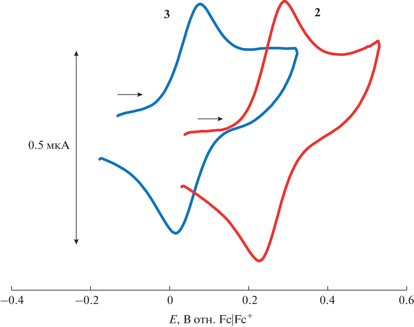
Взаимодействие бис(2-(дифенилфосфино)этил)бензиламина (PNP) и бис(2-метилпиридил)бензиламина (NNN) с известным клозо-рутенакарбораном [3-H-3-Cl-3,3-(PPh3)2-3,1,2-RuC2B9H11] (1) приводит к образованию новых карборановых комплексов рутения 3,3,3-(бис(2-(дифенилфосфино)этил)бензиламин)-клозо-3,1,2-RuC2B9H11 (2) и 3,3,3-(бис(2-метилпиридил)бензиламин)-псевдоклозо-3,1,2-RuC2B9H11 (3) соответственно. Полученные комплексы исследованы методами ЯМР- и ИК-спектроскопии, времяпролетной МАЛДИ МС. Оптимизация геометрии впервые полученного комплекса 2 методом квантово-химического моделирования сводится к клозо-конфигурации, в то же время комплекс 3 стабилен как в клозо-, так и в псевдоклозо-форме. Методом рентгеноструктурного анализа монокристаллов установлено, что комплекс 2 имеет клозо-, а 3 – псевдоклозо-строение. Исследование электрохимических свойств показало, что комплексы 2 и 3 способны к обратимому окислению.
Ключевые слова
Об авторах
А. А. Кальтенберг
Национальный исследовательский Нижегородский государственный университет им. Н.И. Лобачевского
Email: grishin_i@ichem.unn.ru
Россия, 603022, Нижний Новгород, пр-т Гагарина, 23
А. Д. Башилова
Национальный исследовательский Нижегородский государственный университет им. Н.И. Лобачевского
Email: grishin_i@ichem.unn.ru
Россия, 603022, Нижний Новгород, пр-т Гагарина, 23
Н. В. Сомов
Национальный исследовательский Нижегородский государственный университет им. Н.И. Лобачевского
Email: grishin_i@ichem.unn.ru
Россия, 603022, Нижний Новгород, пр-т Гагарина, 23
Ю. Б. Малышева
Национальный исследовательский Нижегородский государственный университет им. Н.И. Лобачевского
Email: grishin_i@ichem.unn.ru
Россия, 603022, Нижний Новгород, пр-т Гагарина, 23
И. Д. Гришин
Национальный исследовательский Нижегородский государственный университет им. Н.И. Лобачевского
Автор, ответственный за переписку.
Email: grishin_i@ichem.unn.ru
Россия, 603022, Нижний Новгород, пр-т Гагарина, 23
Список литературы
- Matveev E.Yu., Avdeeva V.V., Zhizhin K.Yu. et al. // Inorganics. 2022. V. 10. P. 238. https://doi.org/10.3390/inorganics10120238
- Сиваев И.Б. // Журн. неорган. химии. 2021. Т. 66. № 9. С. 1192.
- Стогний М.Ю., Богданова Е.В., Ануфриев С.А., Сиваев И.Б. // Журн. неорган. химии. 2021. Т. 67. № 10. С. 1390.
- Yao Z.J., Lin Y.J., Li Z.H., Jin G.X. // Chem. Eur. J. 2013. V. 19. № 8. P. 2611. https://doi.org/10.1002/chem.201203850
- Powley S.L., Rosair G.M., Welch A.J. // Dalton Trans. 2016. V. 45. № 29. P. 11742. https://doi.org/10.1039/c6dt01888b
- Gozzi M., Schwarze B., Coburger P., Hey-Hawkins E. // Inorganics. 2019. V. 7. № 7. P. 91. https://doi.org/10.3390/INORGANICS7070091
- Джонс Дж.Дж., Робертсон А.П.М., Розэйр Дж.М., Уэлч А.Дж. // Изв. АН. Сер. Хим. 2020. С. 1594.
- Garrioch R.M., Rosair G.M., Welch A.J. // J. Organomet. Chem. 2000. V. 614-615. P. 153. https://doi.org/10.1016/S0022-328X(00)00572-6
- McIntosh R.D., Ellis D., Giles B.T. et al. // Inorg. Chim. Acta. 2006. V. 359. P. 3745. https://doi.org/10.1016/j.ica.2006.01.023
- Reed D., Welch A.J., Cowie J. et al. // Inorg. Chim. Acta. 1999. V. 289. P. 125. https://doi.org/10.1016/s0020-1693(99)00062-6
- Alekseev L.S., Dolgushin F.M., Chizhevsky I.T. // J. Organomet. Chem. 2008. V. 693. P. 3331. https://doi.org/10.1016/j.jorganchem.2008.06.018
- Vinogradov M.M., Nelyubina Y.V., Loginov D.A., Kudinov A.R. // J. Organomet. Chem. 2015. V. 798. № 1. P. 257. https://doi.org/10.1016/ j.jorganchem.2015.04.007
- Jones J.J., English L.E., Robertson A.P.M. et al. // J. Organomet. Chem. 2018. V. 865. P. 65. https://doi.org/10.1016/j.jorganchem.2018.02.007
- Кальтенберг А.А., Пенкаль А.М., Сомов Н.В., Гришин И.Д. // Изв. АН. Сер. Хим., 2020. С. 770
- Kaltenberg A.A. et al. // J. Organomet. Chem. 2020, V. 917. P. 121291. https://doi.org/10.1016/j.jorganchem.2020.121291
- Kaltenberg A.A., Somov N.V., Malysheva Y.B. et al. // Eur. J. Inorg. Chem. 2021. V. 46. P. 4868. https://doi.org/10.1002/ejic.202100765
- Chizhevsky I.T., Lobanova I.A., Bregadze V.I. et al. // Mendeleev Commun. 1991. V. 1. P. 47. https://doi.org/10.1070/MC1991v001n02ABEH000027
- Rahman M.S., Prince P.D., Steed J.W., Hii K.K. // Organometallics. 2002. V. 21. P. 4927. https://doi.org/10.1021/om0201314
- Misawa-Suzuki T., Matsuya K., Watanabe T., Nagao H. // Dalton Trans. 2018. V. 47. P. 16182. https://doi.org/10.1039/C8DT03507E
- Гришин И.Д., Агафонова К.С., Тюрин А.П. и др. // Изв. АН. Сер. Хим., 2014. С. 945.
- Frisch M.J., Trucks G.W., Schlegel H.B. et al. Gaussian 03, Revision E.01, Gaussian Inc., Wallingford, CT (2004).
- Perdew J.P., Wang Y. // Phys. Rev. B. 1992. V. 45. P. 13244. https://doi.org/10.1103/PhysRevB.45.13244
- Hay P.J., Wadt W.R. // J. Chem. Phys. 1985. V. 82. P. 270. https://doi.org/10.1063/1.448799
- Sheldrick G.M. // Acta Cryst. Sect. A. 2015. V. 71. P. 3. https://doi.org/10.1063/1.448799
- Hübschle C.B., Sheldrick G.M., Dittrich B. // J. Appl. Cryst. 2011. V. 44. P. 1281. https://doi.org/10.1107/S0021889811043202
- Clark R.C., Reid J.S. // Acta Cryst. 1995. V. 51. P. 887. https://doi.org/10.1107/S0108767395007367
- Bould J., Kennedy J.D. // J. Organomet. Chem. 2014. V. 749. P. 163. https://doi.org/10.1016/j.jorganchem.2013.08.018
- Mishra H., Patra A.K., Mukherjee R. // Inorganica Chimica Acta. 2009. V. 362. P. 483. https://doi.org/10.1016/j.ica.2008.04.043
- Ramaraj A., Nethaji M., Jagirdar B.R. // Dalton Trans. 2014. V. 43. P. 14625 https://doi.org/10.1039/C4DT01570C
- Ramaraj A., Hari K., Reddy K. et al. // Organometallics. 2017. V. 36. P. 2736. https://doi.org/10.1021/acs.organomet.7b00210
- Bianchini C., Innocenti P., Peruzzini M. al. // Organometallics. 1996. V. 15. P. 272. https://doi.org/10.1021/om950721k
- Zimina A.M., Knyazeva N.A., Balagurova E.V. et al. // J. Organomet. Chem. 2021. V. 946–947. P. 121908. https://doi.org/10.1016/j.jorganchem.2021.121908
Дополнительные файлы










