Substituted Phthalimides Linked to the Cymantrenyl Moiety: Molecules with Tunable Optical and Electrochemical Properties
- Authors: Kelbysheva E.S.1, Strelkova T.V.1, Ezernitskaya M.G.1, Alekseev V.G.2, Telegina L.N.1
-
Affiliations:
- Nesmeyanov Institute of Organoelement Compounds, Russian Academy of Sciences
- Faculty of Chemistry and Technology, Tver State University
- Issue: Vol 68, No 9 (2023)
- Pages: 1265-1276
- Section: КООРДИНАЦИОННЫЕ СОЕДИНЕНИЯ
- URL: https://ogarev-online.ru/0044-457X/article/view/136495
- DOI: https://doi.org/10.31857/S0044457X23600949
- EDN: https://elibrary.ru/YFGNEA
- ID: 136495
Cite item
Full Text
Abstract
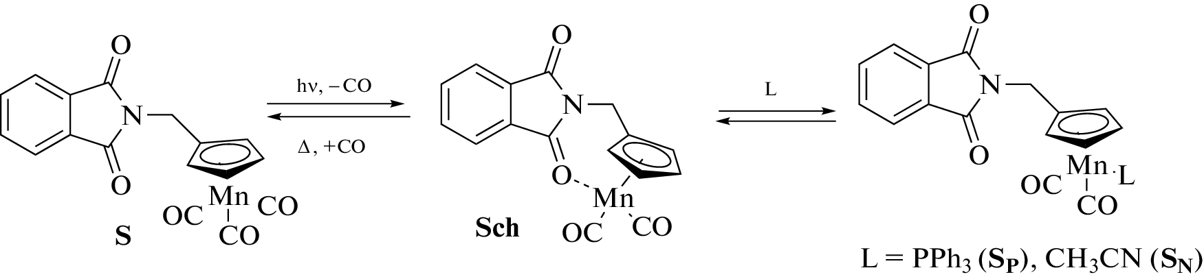
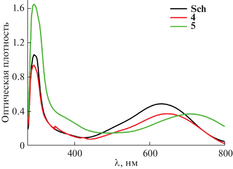
The results of investigation of the optical and electrochemical properties of substituted phthalimides linked to a cymantrenyl moiety by IR and NMR spectroscopy, UV-Vis spectroscopy, and cyclic voltammetry and also by DFT calculations are presented. It was shown that the optical, donor-acceptor, and redox properties of the organometallic phthalimides are affected by substituents in position 1 of the side chain of the cymantrene Cp and in position 4 of the phthalimide benzene ring. The reactions of dicarbonyl chelates with external ligands in the dark attest to hemilability of the Mn–O=C(imide) bond.
About the authors
E. S. Kelbysheva
Nesmeyanov Institute of Organoelement Compounds, Russian Academy of Sciences
Email: kellena80@mail.ru
119334, Moscow, Russia
T. V. Strelkova
Nesmeyanov Institute of Organoelement Compounds, Russian Academy of Sciences
Email: kellena80@mail.ru
119334, Moscow, Russia
M. G. Ezernitskaya
Nesmeyanov Institute of Organoelement Compounds, Russian Academy of Sciences
Email: kellena80@mail.ru
119334, Moscow, Russia
V. G. Alekseev
Faculty of Chemistry and Technology, Tver State University
Email: kellena80@mail.ru
170100, Tver, Russia
L. N. Telegina
Nesmeyanov Institute of Organoelement Compounds, Russian Academy of Sciences
Author for correspondence.
Email: kellena80@mail.ru
119334, Moscow, Russia
References
- Jun-ichi Nishida, Yoshiki Morikawa, Akito Hashimoto et al. // Mater. Adv. 2021. V. 2. P. 7861. https://doi.org/10.1039/d1ma00716e
- Biao Chen, Xuepeng Zhang, Yucai Wang et al. // Chem. Asian J. 2019. V. 14. P. 751. https://doi.org/10.1002/asia.201801002
- Georgiev A., Yordanov D., Dimov D. et al. // J. Photochem. Photobiol. A. 2020. V. 393. P. 112443. https://doi.org/10.1016/j.jphotochem.2020.112443
- Venkatramaiah N., Dinesh Kumar G., Chandrasekaran Y. et al. // ACS Appl. Mater. Interfaces. 2018. V. 10. P. 3838. https://doi.org/10.1021/acsami.7b11025
- Xiaodong He, Lunxiang Yin, Yanqin Li // New J. Chem. 2019. V. 43. P. 6577. https://doi.org/10.1039/C9NJ00600A
- Fanyong Yan, Chunhui Yi, Zhonghua Hao et al. // Colloids Surf., A. 2022. V. 650. P. 129626. https://doi.org/10.1016/j.colsurfa.2022.129626
- Zawadzka M., Nitschke P., Musioł M. et al. // Molecules. 2023. V. 28. № 4. P. 1740. https://doi.org/10.3390/molecules28041740
- Çakal D., Ertan S., Cihaner A. et al. // Dyes Pigm. 2019. V. 161. P. 411. https://doi.org/10.1016/j.dyepig.2018.10.002
- Wei Lv, Huijiao Liu, Wen Wang et al. // RSC Adv. 2017. V. 7. P. 18384. https://doi.org/10.1039/C6RA28757C
- Zhijun Li, Yong Jin Jeong, JisuHong et al. // ACS Appl. Mater. Interfaces. 2022. V. 14. P. 7073. https://doi.org/10.1021/acsami.1c20278
- Dierschke F., Jacob J., Mullen K. // Synth. Met. 2006. V. 156. P. 433. https://doi.org/10.1016/j.synthmet.2005.11.016
- Quanyou Feng, Xiaojun Zheng, Hongjian Wang et al. // Mater. Adv. 2021. V. 2. P. 4000. https://doi.org/10.1039/d1ma00181g
- Orita R., Franckevicius M., Vysniauskas A. et al. // Phys. Chem. Chem. Phys. 2018. V. 20. P. 16033. https://doi.org/10.1039/c8cp01999a
- Taku Shoji, Nanami Iida, Akari Yamazaki et al. // Org. Biomol. Chem. 2020. V. 18. P. 2274. https://doi.org/10.1039/d0ob00164c
- Yizhen Zhan, Xue Zhao, Wei Wang et al. // Dyes Pigm. 2017. V. 146. P. 240. https://doi.org/10.1016/j.dyepig.2017.07.013
- Singha D., Sahu D.K., Sahu K. et al. // J. Phys. Chem. B. 2018. V. 122. P. 6966. https://doi.org/10.1021/acs.jpcb.8b03901
- Tan A., Bozkurt E., Kara Y. et al. // J. Fluoresc. 2017. V. 27. P. 981. https://doi.org/10.1007/s10895-017-2033-2
- Majhi D., Das S.K., Sahu P.K. et al. // Phys. Chem. Chem. Phys. 2014. V. 16. P. 18349. https://doi.org/10.1039/c4cp01912a
- Yuanyuan Qin, Guoping Li, Ting Qi et al. // Mater. Chem. Front. 2020. V. 4. P. 1554. https://doi.org/10.1039/D0QM00084A
- Kelbysheva E.S., Strelkova T.V., Ezernitskaya M.G. et al. // Chem. Select. 2023. V. 8. P. e202204162. https://doi.org/10.1002/slct.202204162
- Kelbysheva E.S., Telegina L.N., Ershova E.A. et al. // Russ. Chem. Bull. 2017. V. 66. № 2. P. 327. https://doi.org/10.1007/s11172-017-1735-6
- Yang P.F., Yang G.K. // J. Am. Chem. Soc. 1992. V. 114. P. 6937. https://doi.org/10.1021/ja00043a061
- Kelbysheva E.S., Strelkova T.V., Ezernitskaya M.G. et al. // Chem. Select. 2021. V. 6. P. 9861. https://doi.org/10.1002/slct.202102464
- Kelbysheva E.S., Telegina L.N., Abramova O.V. et al. // Russ. Chem. Bull. 2015. V. 11. P. 2646. https://doi.org/10.1007/s11172-015-1203-0
- Zhang C., Niu Z., Ding Y. et al. // Chem. 2018. V. 4. P. 2814. https://doi.org/10.1016/j.chempr.2018.08.024
- Hendsbee A.D., McAfee S.M., Sun J.-P. et al. // J. Mater. Chem. C. 2015. V. 3. P. 8904. https://doi.org/10.1039/c5tc01877c
- Wu K., Pudasaini B., Park J.Y. et al. // Organometallics. 2020. V. 3. P. 679. https://doi.org/10.1021/acs.organomet.9b00822
- Kostyuchenko A.S., Kurowska A., Zassowski P. et al. // J. Org. Chem. 2019. V. 84. P. 10040. https://doi.org/10.1021/acs.joc.9b01216
Supplementary files











