Synthesis and Structure of the Dicarboxyl-Terminated Iron(II) Tris-Glyoximates with Linear and Angular Geometry of their Molecules
- Authors: Chuprin A.S.1, Dudkin S.V.1, Vologzhanina A.V.1, Voloshin Y.Z.1,2
-
Affiliations:
- Nesmeyanov Institute of Organoelement Compounds of the Russian Academy of Sciences
- Kurnakov Institute of General and Inorganic Chemistry of the Russian Academy of Sciences
- Issue: Vol 68, No 6 (2023)
- Pages: 798-807
- Section: КООРДИНАЦИОННЫЕ СОЕДИНЕНИЯ
- URL: https://ogarev-online.ru/0044-457X/article/view/136483
- DOI: https://doi.org/10.31857/S0044457X23600093
- EDN: https://elibrary.ru/UGGHCQ
- ID: 136483
Cite item
Full Text
Abstract
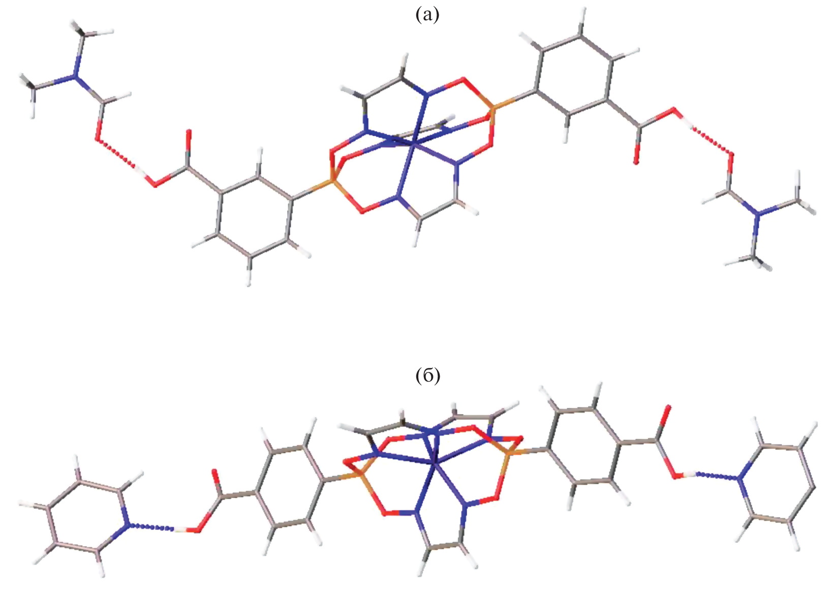
Template condensation of the chelating α-dioximate ligand synthon—glyoxime and the appropriate cross-linking agent—monofunctionalized boronic (3-carboxyphenylboronic or 4-carboxyphenylboronic) Lewis acid in a boiling nitromethane as a solvent on the iron(II) ion as a matrix afforded the dicarboxyl-terminated iron(II) tris-glyoximates with functionalizing meta- and para-substituents in their apical boron-based aromatic fragments. The composition and structure of these macrobicyclic complexes were confirmed using elemental analysis, UV-vis, 1H and 13C{1H} NMR spectra. Their crystal and molecular structures were obtained by the single crystal X-ray diffraction experiments. Asymmetric units of their crystals contain, besides of a clathrochelate molecule, two solvate molecules, which form hydrogen bonds with its functionalizing carboxyl groups. The C–O bond lengths in these terminal groups and a possibility of localization of hydrogen atoms on the difference Fourier maps clearly demonstrate that the formation of such associates does not include a deprotonation of the macrobicyclic complex and its intracomplex molecules remain neutral. The encapsulated iron(II) ion in their molecules occupies a centre of its FeN6-coordination polyhedron. Its geometry is intermediate between a trigonal prism (TP, the distortion angle φ = 0°) and a trigonal antiprism (TAP, φ = 60°); the values of φ are equal to 17.1 and 18.9°, respectively. Fe–N distances vary from 1.901(2) to 1.924(2) Å, thus suggesting a low-spin diamagnetic state of the encapsulated iron(II) ion. The C=N bonds in the donor oxime groups are shortened, while the С–С bonds in the chelating glyoximate fragments are elongated, as compared with those in their aliphatic analogs. Free rotation of the apical aromatic substituents at the cross-linking boron atoms around the ordinary B–C bonds caused the absence of their coplanarity. The intramolecular distances С···С between the terminal carboxyl groups in the apical cross-linking fragments are equal to 15.693(4) and 17.888(3) Å for the clathrochelate meta- and para-isomers, respectively. The aforementioned rotation allows to achive an angular geometry of the prospective meta-dicarboxyloclathrochelate ligand with a formation of ∠C···Fe···C close to 145° between its terminal O‑donor carboxyl groups. This complex can play a role of both the angular and linear 3D-ligands, while its clathrochelate para-substituted isomer seems to be the prospective linear metalloligand.
About the authors
A. S. Chuprin
Nesmeyanov Institute of Organoelement Compounds of the Russian Academy of Sciences
Email: voloshin@igic.ras.ru
119334, Moscow, Russia
S. V. Dudkin
Nesmeyanov Institute of Organoelement Compounds of the Russian Academy of Sciences
Email: voloshin@igic.ras.ru
119334, Moscow, Russia
A. V. Vologzhanina
Nesmeyanov Institute of Organoelement Compounds of the Russian Academy of Sciences
Email: voloshin@igic.ras.ru
119334, Moscow, Russia
Ya. Z. Voloshin
Nesmeyanov Institute of Organoelement Compounds of the Russian Academy of Sciences; Kurnakov Institute of General and Inorganic Chemistry of the Russian Academy of Sciences
Author for correspondence.
Email: voloshin@igic.ras.ru
119334, Moscow, Russia; 119991, Moscow, Russia
References
- Voloshin Y.Z., Belaya I., Kramer R. Cage Metal Complexes: Clathrochelates Revisited, Springer, 2017. [Волошин Я.З., Белая И.Г., Кремер Р. Клеточные комплексы металлов: клатрохелаты возвращаются. М., 2019.]
- Marmier M., Wise M.D., Holstein J.J. et al. // Inorg. Chem. 2016. V. 55. P. 4006. https://doi.org/10.1021/acs.inorgchem.6b00276
- Planes O.M., Jansze S.M., Scopelliti R. et al. // Inorg. Chem. 2020. V. 59. P. 14544. https://doi.org/10.1021/acs.inorgchem.0c02358
- Lebed E.G., Belov A.S., Dolganov A.V. et al. // Inorg. Chem. Commun. 2013. V. 33. P. 57. https://doi.org/10.1016/j.inoche.2013.04.021
- Pascu M., Marmier M., Schouwey C. et al. // Chem. Eur. J. 2014. V. 20. P. 5592. https://doi.org/10.1002/chem.201400285
- Wise M.D., Holstein J.J., Pattison P. et al. // Chem. Sci. 2015. V. 6. P. 1004. https://doi.org/10.1039/c4sc03046j
- Jansze S., Cecot G., Wise M.D. et al. // J. Am. Chem. Soc. 2016. V. 138. P. 2046. https://doi.org/10.1021/jacs.5b13190
- Cecot G., Marmier M., Geremia S. et al. // J. Am. Chem. Soc. 2017. V. 139. P. 8371. https://doi.org/10.1021/jacs.7b04861
- Jansze S.M., Wise M.D., Vologzhanina A.V. et al. // Chem. Sci. 2017. V. 8. P. 1901. https://doi.org/10.1039/C6SC04732G
- Jansze S.M., Ortiz D., Fadaei T.F. et al. // Chem. Commun. 2018. V. 54. P. 9529. https://doi.org/10.1039/C8CC04870C
- Bila J.L., Marmier M., Zhurov K.O. et al. // Eur. J. Inorg.Chem. 2018. V. 26. P. 3118. https://doi.org/10.1002/ejic.201800045
- Cecot G., Doll M.T., Planes O.M. et al. // Eur. J. Inorg. Chem. 2019. P. 2972. https://doi.org/10.1002/ejic.201900483
- Dudkin S.V., Chuprin A.S., Belova S.A. et al. // J. Porphyrins Phthalocyanines. 2022. V. 26. https://doi.org/10.1142/s1088424622500924
- Lesnikowski Z.J. // J. Med. Chem. 2016. V. 59. P. 7738. https://doi.org/10.1021/acs.jmedchem.5b01932
- Stockmann P., Gozzi M., Kuhnert R. et al. // Chem. Soc. Rev. 2019. V. 48. P. 3497. https://doi.org/10.1039/C9CS00197B
- Avdeeva V.V., Garaev T.M., Breslav N.V. et al. // J. Biol. Inorg. Chem. 2022. V. 27. P. 421. https://doi.org/10.1007/s00775-022-01937-4
- Voloshin Y., Novikov V., Nelyubina Y. // RSC Adv. 2015. V. 5. P. 72621. https://doi.org/10.1039/C5RA10949C
- Novikov V.V., Varzatskii O.A., Negrutska V.V. et al. // J. Inorg. Biochem. 2013. V. 124. P. 42. https://doi.org/10.1016/j.jinorgbio.2013.03.005
- Varzatskii O.A., Novikov V.V., Shulga S.V. et al. // Chem. Commun. 2014. V. 50. P. 3166. https://doi.org/10.1039/C3CC47018K
- Varzatskii O.A., Shul’ga S.V., Belov A.S. et al. // Dalton Trans. 2014. V. 43. P. 17934. https://doi.org/10.1039/C4DT01557F
- Belov A., Vologzhanina A., Novikov V. et al. // Inorg. Chim. Acta. 2014. V. 421. P. 300. https://doi.org/10.1016/j.ica.2014.06.016
- Varzatskii O.A., Vologzhanina A.V., Novikov V.V. et al. // Inorg. Chim. Acta. 2018. V. 482. P. 90. https://doi.org/10.1016/j.ica.2018.06.004
- Kovalska V.B., Vakarov S.V., Kuperman M.V. et al. // Dalton Trans. 2018. V. 47. P. 1036. https://doi.org/10.1039/C7DT03731G
- Kovalska V., Vakarov S., Chornenka N. et al. // Rus. J. Inorg. Chem. 2020. V. 65. P. 1513. https://doi.org/10.1134/S0036023620100137
- Kovalska V.B., Losytskyy M.Y., Varzatskii O.A. et al. // Bioorg. Med. Chem. 2014. V. 22. P. 1883. https://doi.org/10.1016/j.bmc.2014.01.048
- Park D.J., Stern A.G., Wilier R.L. // Synth. Commun. 1990. V. 20. P. 2901. https://doi.org/10.1080/00397919008051503
- Wojdyr M. // J. Appl. Crystallogr. 2010. V. 43. P. 1126. https://doi.org/10.1107/S0021889810030499
- Sheldrick G.M. // Acta Cryst. 2015. V. A71. P. 3. https://doi.org/10.1107/S2053273314026370
- Sheldrick G.M. // Acta Cryst. 2015. V. C71. P. 3. https://doi.org/10.1107/S2053229614024218
- Dolomanov O.V., Bourhis L.J., Gildea R.J. et al. // J. Appl. Cryst. 2009. V. 42. P. 339. https://doi.org/10.1107/S0021889808042726
- Belova S.A., Belov A.S., Efimov N.N. et al. // Russ. J. Inorg. Chem. 2022. V. 67. P. 1151. https://doi.org/10.1134/S0036023622080034
Supplementary files








