Scandium(III) Benzoyltrifluoroacetonate: Structure and Thermal Properties
- Authors: Sartakova A.V.1,2, Makarenko A.M.1, Kurat’eva N.V.1, Pishchur D.P.1, Sysoev S.V.1, Vikulova E.S.1, Zherikova K.V.1
-
Affiliations:
- Nikolaev Institute of Inorganic Chemistry, Siberian Branch, Russian Academy of Sciences
- Novosibirsk State University
- Issue: Vol 68, No 9 (2023)
- Pages: 1217-1225
- Section: КООРДИНАЦИОННЫЕ СОЕДИНЕНИЯ
- URL: https://ogarev-online.ru/0044-457X/article/view/136482
- DOI: https://doi.org/10.31857/S0044457X23600718
- EDN: https://elibrary.ru/YDKTCT
- ID: 136482
Cite item
Full Text
Abstract
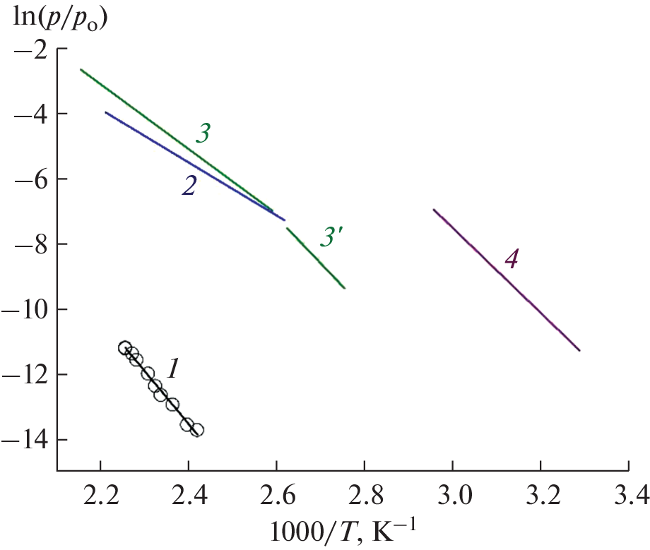
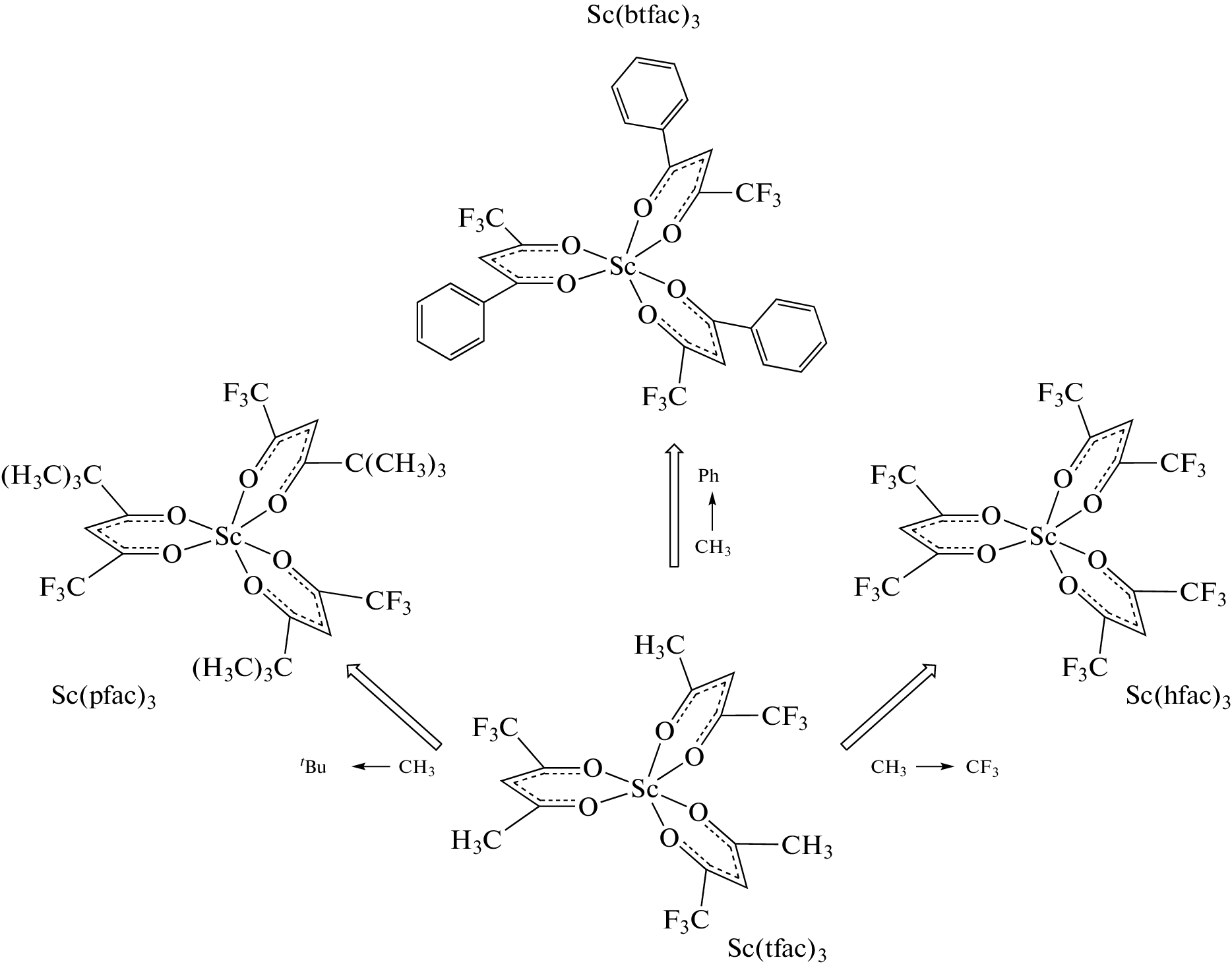
Scandium(III) benzoyltrifluoroacetonate [Sc(btfac)3] was synthesized, purified, and characterized by elemental analysis and 1H NMR spectroscopy. Its structure was determined by single-crystal X-ray diffraction at 150 K. The complex has a molecular structure and is an axial isomer. All ligands in it are bidentate-cyclic coordinated; scandium is in a distorted octahedral environment, d(Sc–O) = 2.0681(2)–2.094(2) Å. There are two types of stacking interactions. The thermal properties in the condensed phase were studied by thermal analysis and differential scanning calorimetry (DSC). The temperature, enthalpy, and entropy of melting of the complex were determined as 399.1 ± 0.5 K,
= 36.8 ± 1.3 kJ/mol, and
= 92.2 ± 3.3 J/(K mol), respectively. The temperature-dependent saturated vapor pressure of [Sc(btfac)3] was determined in the temperature range 413–443 K by the flow (transpiration) method. The thermodynamic characteristics of vaporization at an average temperature were calculated:
= 135 ± 4 kJ/mol, and
= 212 ± 9 J/(K mol). The structure and thermal properties of scandium benzoyltrifluoroacetonate were compared to those of similar scandium tris-β-diketonate complexes
About the authors
A. V. Sartakova
Nikolaev Institute of Inorganic Chemistry, Siberian Branch, Russian Academy of Sciences; Novosibirsk State University
Email: ksenia@niic.nsc.ru
630090, Novosibirsk, Russia; 630090, Novosibirsk, Russia
A. M. Makarenko
Nikolaev Institute of Inorganic Chemistry, Siberian Branch, Russian Academy of Sciences
Email: ksenia@niic.nsc.ru
630090, Novosibirsk, Russia
N. V. Kurat’eva
Nikolaev Institute of Inorganic Chemistry, Siberian Branch, Russian Academy of Sciences
Email: ksenia@niic.nsc.ru
630090, Novosibirsk, Russia
D. P. Pishchur
Nikolaev Institute of Inorganic Chemistry, Siberian Branch, Russian Academy of Sciences
Email: ksenia@niic.nsc.ru
630090, Novosibirsk, Russia
S. V. Sysoev
Nikolaev Institute of Inorganic Chemistry, Siberian Branch, Russian Academy of Sciences
Email: ksenia@niic.nsc.ru
630090, Novosibirsk, Russia
E. S. Vikulova
Nikolaev Institute of Inorganic Chemistry, Siberian Branch, Russian Academy of Sciences
Email: ksenia@niic.nsc.ru
630090, Novosibirsk, Russia
K. V. Zherikova
Nikolaev Institute of Inorganic Chemistry, Siberian Branch, Russian Academy of Sciences
Author for correspondence.
Email: ksenia@niic.nsc.ru
630090, Novosibirsk, Russia
References
- Song X., Chang M.H., Pecht M. // JOM. 2013. V. 65. P. 1276. https://doi.org/10.1007/s11837-013-0737-6
- Xu Z., Daga A., Chen H. // Appl. Phys. Lett. 2001. V. 79. P. 3782. https://doi.org/10.1063/1.1424072
- Al-Kuhaili M.F. // Thin Solid Films. 2003. V. 426. № 1–2. P. 178. https://doi.org/10.1016/S0040-6090(03)00015-4
- Takaichi K., Yagi H., Becker P. et al. // Laser Phys. Lett. 2007. V. 4. P. 507. https://doi.org/10.1002/lapl.200710020
- Lupei V., Pavel N., Lupei A. // Laser Phys. 2014. V. 24. № 4. P. 045801. https://doi.org/10.1088/1054-660X/24/4/045801
- Selvakumar J., Raghunathan V.S., Nagaraja K.S. // Chem. Vap. Depos. 2009. V. 15. № 10–12. P. 262. https://doi.org/10.1002/cvde.200906792
- Zherikova K.V., Zelenina L.N., Chusova T.P. et al. // Phys. Procedia. 2013. V. 46. P. 200. https://doi.org/10.1016/j.phpro.2013.07.068
- Kong P., Pu Y., Ma P. et al. // Thin Solid Films. 2020. V. 714. P. 138357. https://doi.org/10.1016/j.tsf.2020.138357
- Karavaev I.A., Savinkina E.V., Grigor’ev M.S. et al. // Russ. J. Inorg. Chem. 2022. V. 67. № 8. P. 1178. https://doi.org/10.1134/S0036023622080186
- De Rouffignac P., Yousef A.P., Kim K.H. et al. // Electrochem. Solid State Lett. 2006. V. 9. № 6. P. F45. https://doi.org/10.1149/1.2191131
- Smirnova T.P., Yakovkina L.V., Borisov V.O. et al. // J. Struct. Chem. 2017. V. 58. P. 1573. https://doi.org/10.1134/S0022476617080145
- Jeong D., Kim J., Kwon O. et al. // Appl. Sci. 2018. V. 8. № 11. P. 2217. https://doi.org/10.3390/app8112217
- Jung E.Y., Park C.S., Hong T.E. et al. // Jap. J. Appl. Phys. 2014. V. 53. № 3. P. 036002. https://doi.org/10.7567/JJAP.53.036002
- Anderson T.J., Neuman M.A., Melson G.A. // Inorg. Chem. 1973. V. 12. № 4. P. 927. https://doi.org/10.1021/ic50122a046
- Bennett D.W., Siddiquee T.A., Haworth D.T. et al. // J. Chem. Crystallogr. 2007. V. 37. P. 207. https://doi.org/10.1007/s10870-006-9171-8
- Zherikova K.V., Kuratieva N.V. // J. Struct. Chem. 2019. V. 60. P. 1622. https://doi.org/10.1134/S002247661910007X
- Smolentsev A.I., Zherikova K.V., Trusov M.S. et al. // J. Struct. Chem. 2011. V. 52. P. 1070. https://doi.org/10.1134/S0022476611060059
- Makarenko A.M., Kuratieva N.V., Pischur D.P. et al. // Russ. J. Inorg. Chem. 2023. V. 68. № 2. P. 183. https://doi.org/10.1134/S0036023622602215
- Rossini A.J., Schurko R.W. // J. Am. Chem. Soc. 2006. V. 128. № 32. P. 10391. https://doi.org/10.1021/ja060477w
- Makarenko A.M., Zaitsau D.H., Zherikova K.V. // Coatings. 2023. V. 13. P. 535. https://doi.org/10.3390/coatings13030535
- Fadeeva V.P., Tikhova V.D., Nikulicheva O.N. // J. Anal. Chem. 2008. V. 63. P. 1094. https://doi.org/10.1134/S1061934808110142
- Sheldrick G.M. // Acta Crystallogr. 2015. V. C71. № 1. P. 3. https://doi.org/10.1107/S2053229614024218
- Vikulova E.S., Cherkasov S.A., Nikolaeva N.S. et al. // J. Therm. Anal. Calorim. 2019. V. 135. P. 2573. https://doi.org/10.1007/s10973-018-7371-z
- Eisentraut K., Sievers R., Coucouvanis D. et al. // Inorganic syntheses. USA: McGraw-Hill, 1968. P. 94. https://doi.org/10.1002/9780470132425.ch17
- Zherikova K.V., Zelenina L.N., Chusova T.P. et al. // J. Chem. Thermodyn. 2016. V. 101. P. 162. https://doi.org/10.1016/j.jct.2016.05.020
- Zelenina L.N., Zherikova K.V., Chusova T.P. et al. // Thermochim. Acta. 2020. V. 689. P. 178639. https://doi.org/10.1016/j.tca.2020.178639
- Stathatos E., Lianos P., Evgeniou E. et al. // Synth. Met. 2003. V. 139. № 2. P. 433. https://doi.org/10.1016/S0379-6779(03)00204-2
- Matsubara N., Kuwamoto T. // Inorg. Chem. 1985. V. 24. № 17. P. 2697. https://doi.org/10.1021/ic00211a022
Supplementary files







