Фазовые равновесия и термодинамические свойства фаз в системе H2O–Gd(NO3)3
- Авторы: Дзубан А.В.1, Новиков А.А.1,2, Нестеров А.В.1,2, Цяньчэнь Ш.2, Коваленко Н.А.1, Успенская И.А.1
-
Учреждения:
- Московский государственный университет им. М.В. Ломоносова, Химический факультет
- Университет МГУ-ППИ в Шэньчжэне, Факультет наук о материалах
- Выпуск: Том 68, № 2 (2023)
- Страницы: 248-255
- Раздел: ФИЗИКОХИМИЯ РАСТВОРОВ
- URL: https://ogarev-online.ru/0044-457X/article/view/136469
- DOI: https://doi.org/10.31857/S0044457X22601419
- EDN: https://elibrary.ru/LPCEXU
- ID: 136469
Цитировать
Полный текст
Аннотация
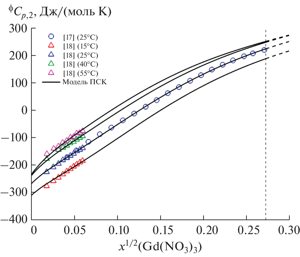
Методом изотермического насыщения определены координаты ликвидуса льда и растворимость нитрата гадолиния в воде в интервале температур от –20 до 70°C. С использованием модели Питцера–Симонсона–Клегга определена температурная зависимость константы растворимости Gd(NO3)3⋅6H2O, рассчитана растворимость соли и построена фазовая диаграмма системы H2O–Gd(NO3)3 от температуры эвтектики до плавления гексагидрата. Дополнительно проведено описание термохимических свойств растворов нитрата гадолиния – энтальпий разбавления и теплоемкостей. Построенная модель показала свою надежность и может быть рекомендована для расчетов фазовых равновесий в диапазоне от –35 до 90°C и от 0 до ~15 мол. % соли, а также термодинамических свойств растворов нитрата гадолиния вблизи и несколько выше комнатной температуры.
Об авторах
А. В. Дзубан
Московский государственный университет им. М.В. Ломоносова, Химический факультет
Email: kovalenko@td.chem.msu.ru
Россия, 119991, Москва, Ленинские горы, 1
А. А. Новиков
Московский государственный университет им. М.В. Ломоносова, Химический факультет; Университет МГУ-ППИ в Шэньчжэне, Факультет наук о материалах
Email: kovalenko@td.chem.msu.ru
Россия, 119991, Москва, Ленинские горы, 1; Китай, 518172, район Лунган, Шэньчжэнь, ул. Гоцзидасюеюань, 1, Даюньсиньчэн
А. В. Нестеров
Московский государственный университет им. М.В. Ломоносова, Химический факультет; Университет МГУ-ППИ в Шэньчжэне, Факультет наук о материалах
Email: kovalenko@td.chem.msu.ru
Россия, 119991, Москва, Ленинские горы, 1; Китай, 518172, район Лунган, Шэньчжэнь, ул. Гоцзидасюеюань, 1, Даюньсиньчэн
Ш. Цяньчэнь
Университет МГУ-ППИ в Шэньчжэне, Факультет наук о материалах
Email: kovalenko@td.chem.msu.ru
Китай, 518172, район Лунган, Шэньчжэнь, ул. Гоцзидасюеюань, 1, Даюньсиньчэн
Н. А. Коваленко
Московский государственный университет им. М.В. Ломоносова, Химический факультет
Email: kovalenko@td.chem.msu.ru
Россия, 119991, Москва, Ленинские горы, 1
И. А. Успенская
Московский государственный университет им. М.В. Ломоносова, Химический факультет
Автор, ответственный за переписку.
Email: kovalenko@td.chem.msu.ru
Россия, 119991, Москва, Ленинские горы, 1
Список литературы
- Поляков Е.Г., Нечаев А.В., Смирнов А.В. Металлургия редкоземельных металлов: учебное пособие для вузов. 2-е изд., стер. М.: Изд-во Юрайт, 2021. 501 с.
- Крюков В.А., Толстов А.В., Самсонов Н.Ю. // ЭКО. 2016. № 11. С. 5.
- Zhang J., Zhao B., Schreiner B. Separation Hydrometallurgy of Rare Earth Elements, Springer Cham, 2016. 259 p. https://doi.org/10.1007/978-3-319-28235-0
- Turanov A.N., Karandashev V.K., Burmii Z.P. et al. // Russ. J. Gen. Chem. 2022. V. 92. № 3. P. 418. https://doi.org/10.1134/S1070363222030082
- Arkhipin A.S., Nesterov A.V., Kovalenko N.A. et al. // J. Chem. Eng. Data. 2021. V. 66. № 4. P. 1694. https://doi.org/10.1021/acs.jced.0c01006
- Radhika S., Kumar B.N., Kantam M.L. et al. // Sep. Purif. Technol. 2010. V. 75. № 3. P. 295. https://doi.org/10.1016/j.seppur.2010.08.018
- Kurdakova S.V., Kovalenko N.A., Petrov V.G. et al. // J. Chem. Eng. Data. 2017. V. 62. № 12. P. 4337. https://doi.org/10.1021/acs.jced.7b00696
- Chatterjee S., Campbell E.L., Neiner D. et al. // J. Chem. Eng. Data. 2015. V. 60. № 10. P. 2974. https://doi.org/10.1021/acs.jced.5b00392
- Maksimov A.I., Kovalenko N.A., Uspenskaya I.A. // Calphad. 2019. V. 67. P. 101683. https://doi.org/10.1016/j.calphad.2019.101683
- Guignot S., Lassin A., Christov C. et al. // J. Chem. Eng. Data. 2019. V. 64. № 1. P. 345. https://doi.org/10.1021/acs.jced.8b00859
- Moiseev A.E., Dzuban A.V., Gordeeva A.S. et al. // J. Chem. Eng. Data. 2016. V. 61. № 9. P. 3295. https://doi.org/10.1021/acs.jced.6b00357
- Scandium, Yttrium, Lanthanum and Lanthanide Nitrates // IUPAC. Solubility Data Ser / Eds. Siekierski S., Mioduski T., Salomon M. N.Y.: Pergamon Press Inc., 1983. P. 15.
- Moret R. // Thèse doctorat, l’Université Lausanne, 1963.
- Rard J.A., Shiers L.E., Heiser D.J. et al. // J. Chem. Eng. Data. 1977. V. 22. № 3. P. 337. https://doi.org/10.1021/je60074a015
- Libuś Z., Sadowska T., Trzaskowski J. // J. Chem. Thermodyn. 1979. V. 11. № 12. P. 1151. https://doi.org/10.1016/0021-9614(79)90107-1
- Spedding F.H., Derer J.L., Mohs M.A. et al. // J. Chem. Eng. Data. 1976. V. 21. № 4. P. 474. https://doi.org/10.1021/je60071a028
- Spedding F.H., Baker J.L., Walters J.P. // J. Chem. Eng. Data. 1979. V. 24. № 4. P. 298. https://doi.org/10.1021/je60083a033
- Hakin A.W., Liu J.L., Erickson K. et al. // J. Chem. Thermodyn. 2005. V. 37. № 2. P. 153. https://doi.org/10.1016/j.jct.2004.08.010
- Pitzer K.S., Peterson J.R., Silvester L.F. // J. Solut. Chem. 1978. V. 7. № 1. P. 45. https://doi.org/10.1007/BF00654217
- Dzuban A.V., Galstyan A.A., Kovalenko N.A. et al. // Russ. J. Phys. Chem. A. 2021. V. 95. № 12. P. 2394. https://doi.org/10.1134/S0036024421120074
- May P.M., Rowland D. // J. Chem. Eng. Data. 2017. P. Acs. Jced.6b01055 https://doi.org/10.1021/acs.jced.6b01055
- Clegg S.L., Pitzer K.S. // J. Phys. Chem. 1992. V. 96. № 8. P. 3513. https://doi.org/10.1021/j100187a061
- Clegg S.L., Pitzer K.S., Brimblecombe P. // J. Phys. Chem. 1992. V. 96. № 23. P. 9470. https://doi.org/10.1021/j100202a074
- Pitzer K.S., Simonson J.M. // J. Phys. Chem. 1986. V. 90. № 13. P. 3005. https://doi.org/10.1021/j100404a042
- Baes C.F., Mesmer R.E. The hydrolysis of cations. N.Y.: Wiley, 1976. 489 p.
- Rizkalla E.N., Choppin G.R. Hydration and hydrolysis of lanthanides // Handb. Phys. Chem. Rare Earths. V. 15. North Holland, 1991.
- Spedding F.H., Pikal M.J., Ayers B.O. // J. Phys. Chem. 1966. V. 70. № 8. P. 2440. https://doi.org/10.1021/j100880a003
- Revised Release on the IAPWS Industrial Formulation 1997 for the Thermodynamic Properties of Water and Steam (The revision only relates to the extension of region 5 to 50 MPa), The International Association for the Properties of Water and Steam, Lucerne, Switzerland, 2007.
- Criss C.M., Millero F.J. // J. Solut. Chem. 1999. V. 28. № 7. P. 849. https://doi.org/10.1023/A:1021732214671
- Kosova D.A., Voskov A.L., Kovalenko N.A. et al. // Fluid Phase Equilib. 2016. V. 425. P. 312. https://doi.org/10.1016/j.fluid.2016.06.021
- CRC Handbook of Chemistry and Physics / Eds. Rumble J.R., Bruno T.J., Doa M.J. Boca Raton: CRC Press/Taylor & Francis Group, 2021.
- Quill L.L., Robey R.F. // J. Am. Chem. Soc. 1937. V. 59. № 6. P. 1071. https://doi.org/10.1021/ja01285a031
Дополнительные файлы






