Оптические свойства фторцирконатных стекол, легированных ионами хрома
- Авторы: Батыгов С.Х.1, Бреховских М.Н.2, Моисеева Л.В.1, Винокурова В.В.2, Кирикова Н.Ю.3, Кондратюк В.А.3, Махов В.Н.3
-
Учреждения:
- Институт общей физики им. А.М. Прохорова РАН
- Институт общей и неорганической химии им. Н.С. Курнакова РАН
- Физический институт им. П.Н. Лебедева РАН
- Выпуск: Том 68, № 8 (2023)
- Страницы: 1119-1125
- Раздел: НЕОРГАНИЧЕСКИЕ МАТЕРИАЛЫ И НАНОМАТЕРИАЛЫ
- URL: https://ogarev-online.ru/0044-457X/article/view/136418
- DOI: https://doi.org/10.31857/S0044457X23600603
- EDN: https://elibrary.ru/MYQKRN
- ID: 136418
Цитировать
Полный текст
Аннотация
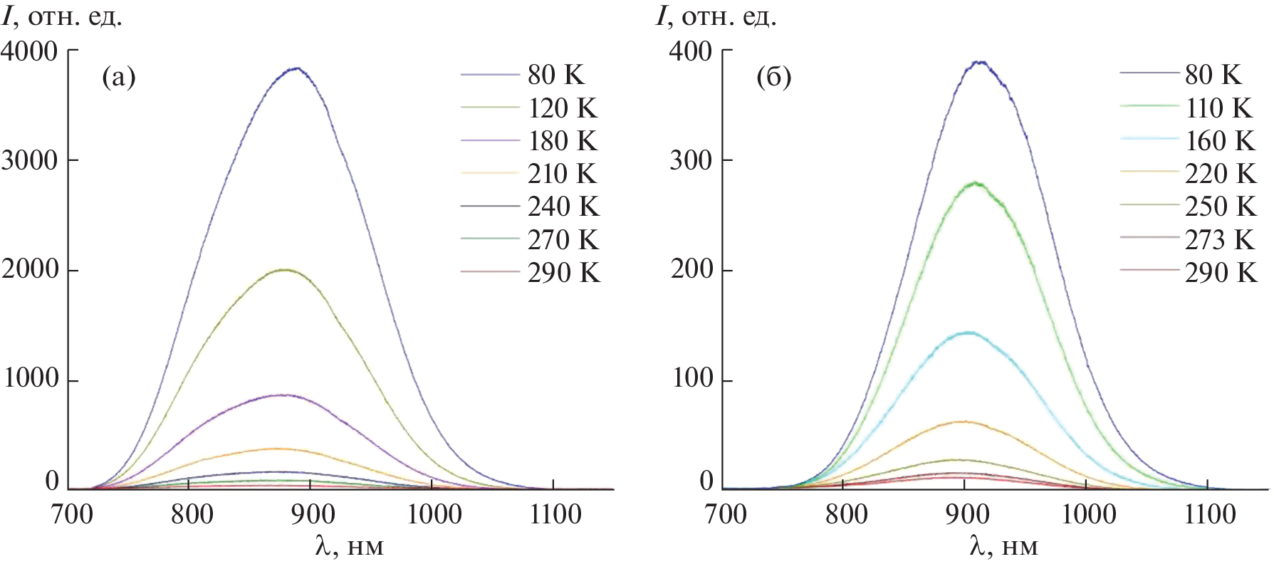
Синтезированы фторидные стекла системы ZrF4–BaF2–LaF3–AlF3–NaF (ZBLAN) с частичной степенью замещения фтора хлором, легированные трифторидом хрома. Полученные спектральные данные подтверждают, что ионы хрома входят в структуру стекол и демонстрируют широкополосную люминесценцию, обусловленную переходом 4T2 → 4A2 в ионе Cr3+. Наблюдаемый длинноволновый сдвиг полосы широкополосной люминесценции и полос поглощения Cr3+ во фторид-хлоридном стекле по сравнению с фторидным стеклом соответствует ожидаемому поведению спектров люминесценции и поглощения Cr3+ при замещении ионов фтора ионами хлора, которое должно приводить к ослаблению силы кристаллического поля, воздействующего на ионы Cr3+. При комнатной температуре люминесценция ионов Cr3+ при 888 и 908 нм сильно потушена вследствие термостимулированного безызлучательного перехода из возбужденного состояния 4T2 в основное состояние 4A2.
Ключевые слова
Об авторах
С. Х. Батыгов
Институт общей физики им. А.М. Прохорова РАН
Email: mbrekh@igic.ras.ru
Россия, 119991, Москва, ул. Вавилова, 38
М. Н. Бреховских
Институт общей и неорганической химии им. Н.С. Курнакова РАН
Email: mbrekh@igic.ras.ru
Россия, 119991, Москва, Ленинский пр-т, 31
Л. В. Моисеева
Институт общей физики им. А.М. Прохорова РАН
Email: mbrekh@igic.ras.ru
Россия, 119991, Москва, ул. Вавилова, 38
В. В. Винокурова
Институт общей и неорганической химии им. Н.С. Курнакова РАН
Email: mbrekh@igic.ras.ru
Россия, 119991, Москва, Ленинский пр-т, 31
Н. Ю. Кирикова
Физический институт им. П.Н. Лебедева РАН
Email: mbrekh@igic.ras.ru
Россия, 119991, Москва, Ленинский пр-т, 53,
В. А. Кондратюк
Физический институт им. П.Н. Лебедева РАН
Email: mbrekh@igic.ras.ru
Россия, 119991, Москва, Ленинский пр-т, 53,
В. Н. Махов
Физический институт им. П.Н. Лебедева РАН
Автор, ответственный за переписку.
Email: mbrekh@igic.ras.ru
Россия, 119991, Москва, Ленинский пр-т, 53,
Список литературы
- Drexhage M.G., Moynihan C.T. // Sci. Am. 1988. V. 259. P. 110.
- Boulard B. // Functionalized Inorganic Fluorides. Ch. 11. Jonn Wiley & Sons. Ltd. UK, 2010. P. 538.
- Lucas J., Smektala F., Adam J.-L. // J. Fluorine Chem. 2002. V. 114. P. 113. https://doi.org/10.1016/S0022-1139(02)00016-7
- Poulain M., Cozic S., Adam J.-L. in Mid-Infrared Fiber Photonics Glass Materials, Fiber Fabrication and Processing, Laser and Nonlinear Sources, Woodhead Publishing Series in Electronic and Optical Materials, 2022. P. 47.
- Батыгов С.Х., Бреховских М.Н., Моисеева Л.В. и др. // Неорган. материалы. 2019. Т. 55. № 11. С. 1254. https://doi.org/10.1134/S0002337X19110022
- Brekhovskikh M.N., Batygov S.Kh., Moiseeva L.V. et al. // Phys. Status Solidi B. 2020. V. 257. P. 1900457. https://doi.org/10.1002/pssb.201900457
- Батыгов С.Х., Бреховских М.Н., Моисеева Л.В. и др. // Журн. неорган. химии. 2021. Т. 66. № 10. С. 1491. https://doi.org/10.31857/S0044457X21100020
- Бреховских М.Н., Кирикова Н.Ю., Моисеева Л.В. и др. // Журн. неорган. химии. 2022. Т. 67. № 7. С. 1022. https://doi.org/10.31857/S0044457X22070042
- Lachheb R., Herrmann A., Damak K. et al. // J. Lumin. 2017. V. 186. P. 152. https://doi.org/10.1016/j.jlumin.2017.02.030
- Fu W., Zhang C., Li Z. et al. Ceram. Int. 2020. V. 46. P. 15054. https://doi.org/10.1016/j.ceramint.2020.03.038
- Marciniak L., Bednarkiewicz A., Kowalska D. et al. // J. Mater. Chem. C. 2016. P. 5559. https://doi.org/10.1039/C6TC01484D
- Marciniak L., Bednarkiewicz A., Strek W. // Sens. Actuators, B: Chem. 2017. V. 238. P. 381. https://doi.org/10.1016/j.snb.2016.07.080
- Marciniak L., Bednarkiewicz A. // Sens. Actuators, B: Chem. 2017. V. 243. P. 388. https://doi.org/10.1016/j.snb.2016.07.080
- Chen D., Liu S., Xu W. et al. // J. Mater. Chem. C. 2017. V. 5 P. 11769. https://doi.org/10.1039/C7TC04410K
- Kowalska K., Kuwik M., Polak J. et al. // J. Lumin. 2022. V. 245. P. 118775. https://doi.org/10.1016/j.jlumin.2022.118775
- Ramadevudu G., Chary M.N., Shareefuddin M. // Mater. Chem. Phys. 2017. V. 186. P. 382. https://doi.org/10.1016/j.matchemphys.2016.11.009
- Maalej O., Taktak O., Boulard B. et al. // J. Phys. Chem. B. 2016. V. 120. P. 7538. https://doi.org/10.1021/acs.jpcb.6b03230
- Taktak O., Souissi H., Souha K. // J. Lumin. 2015. V. 161. P. 368. https://doi.org/10.1016/j.jlumin.2015.01.047
- Хайдуков Н.М., Никонов К.С., Бреховских М.Н. и др. // Неорган. материалы. 2022. Т. 58. № 7. С. 778. https://doi.org/10.31857/S0002337X22070107
- Tanabe Y., Sugano S. // J. Phys. Soc. Jpn. 1954. V. 9. P. 776. https://doi.org/10.1143/JPSJ.9.766
- Adachi S. ECS J. Solid State Sci. Technol. 2019. V. 8. R 164.https://doi.org/10.1149/2.0061912jss
- Bunuel M.A., Alcalá R., Cases R. // Solid State Commun. 1998. V. 107. P. 491. https://doi.org/10.1016/S0038-1098(98)00248-8
- Fano U. // Phys. Rev. 1961. V. 124. P. 1866. https://doi.org/10.1103/PhysRev.124.1866
- Batygov S., Brekhovskikh M., Moiseeva L. et al. // J. Non-Cryst. Solids. 2018. V. 480. P. 57. https://doi.org/10.1016/j.jnoncrysol.2017.06.029
- Henderson B., Imbush G.F. // Opt. Spectrosc. Inorg. Solids. Oxford: Clarendon Press, 2006. 645 p.
- Adachi S. // ECS J. Solid State Sci. Technol. 2021. V. 10. P. 026001. https://doi.org/10.1149/2162-8777/abdc01
- Adachi S. // ECS J. Solid State Sci. Technol. 2021. V. 10. P. 036001. https://doi.org/10.1149/2162-8777/abdfb7
Дополнительные файлы








