Synthesis, Structures, and Spectral Properties of Octa(2,6-difluorophenyl)tetraazaporphyrin and Its Cu(II) and Ni(II) Complexes
- Authors: Rusanov A.I.1, Chizhova N.V.1, Likhonina A.E.1, Mamardashvili N.Z.1
-
Affiliations:
- Krestov Institute of Solutions Chemistry, Russian Academy of Sciences
- Issue: Vol 68, No 8 (2023)
- Pages: 1050-1058
- Section: КООРДИНАЦИОННЫЕ СОЕДИНЕНИЯ
- URL: https://ogarev-online.ru/0044-457X/article/view/136405
- DOI: https://doi.org/10.31857/S0044457X23600329
- EDN: https://elibrary.ru/HNDCUU
- ID: 136405
Cite item
Full Text
Abstract
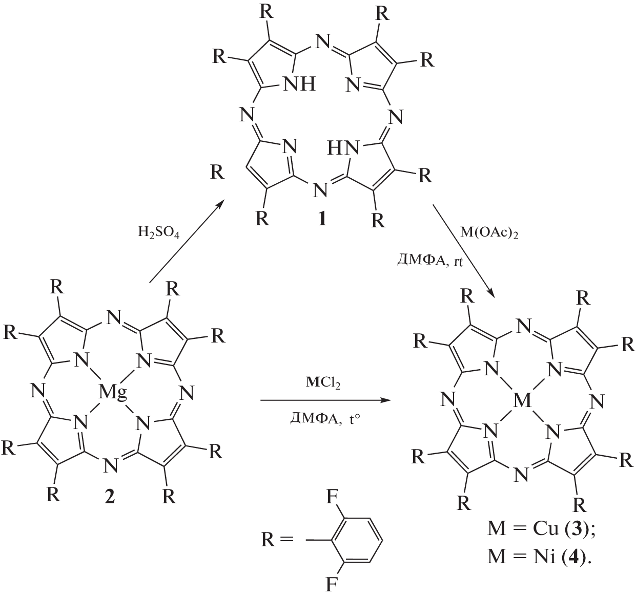
Octa(2,6-difluorophenyl)tetraazaporphyrinate magnesium(II) has been treated with 96% sulfuric acid to obtain octa(2,6-difluorophenyl)tetraazaporphyrin. Coordination reactions of octa(2,6-difluorophenyl)tetraazaporphyrin and metal exchange of its magnesium complex with copper and nickel salts in dimethylformamide have been studied. Cu(II) and Ni(II) complexes with octa(2,6-difluorophenyl)tetraazaporphyrin have been synthesized. The resulting compounds have been identified by electron absorption, IR and 1H NMR spectroscopy, and mass spectrometry. The structures of the synthesized compounds were optimized by the DFT method. The fluorescence quantum yields of the studied compounds have been determined.
About the authors
A. I. Rusanov
Krestov Institute of Solutions Chemistry, Russian Academy of Sciences
Email: ngm@isc-ras.ru
153040, Ivanovo, Ivanovo oblast, Russia
N. V. Chizhova
Krestov Institute of Solutions Chemistry, Russian Academy of Sciences
Email: ngm@isc-ras.ru
153040, Ivanovo, Ivanovo oblast, Russia
A. E. Likhonina
Krestov Institute of Solutions Chemistry, Russian Academy of Sciences
Email: ngm@isc-ras.ru
153040, Ivanovo, Ivanovo oblast, Russia
N. Zh. Mamardashvili
Krestov Institute of Solutions Chemistry, Russian Academy of Sciences
Author for correspondence.
Email: ngm@isc-ras.ru
153040, Ivanovo, Ivanovo oblast, Russia
References
- Mshchenko T.A., Turubanova V.D., Mitroshina E.V. et al. // Biophotonics. 2020. V. 13. P. e201960077. https://doi.org/10.1002/jbio.201960077
- Katoh K., Yoshida Y., Yamashita M. et al. // J. Am. Chem. Soc. 2009. V. 131. № 29. P. 9967. https://doi.org/10.1021/ja902349t
- Trivedi E.R., Blumenfeld C.M., Wielgos T. et al. // Tetrahedron Lett. 2016. V. 53. № 41. P. 5475. https://doi.org/10.1016/j.tetlet.2012.07.087
- Chen L., Zhanga Z., Wang Y. et al. // J. Mol. Catal. 2013. V. 372. P. 114. https://doi.org/10.1016/j.molcata.2013.02.013
- Goslinski T., Tykarska E., Kryjewski M. et al. // Anal. Sci. 2011. V. 27. P. 511. https://doi.org/10.2116/analsci.27.511
- Saka E.T., Çağlar Y. // Catal. Lett. 2017. V. 147. P. 1471. https://doi.org/10.1007/s10562-017-2054-0
- Yadav K.K., Narang U., Sahu P.K. et al. // J. Iran. Chem. Soc. 2022. V. 19. P. 4359. https://doi.org/10.1007/s13738-022-02609-5
- Uranga J., Matxain J.M., Lopez X. et al. // Phys. Chem. Chem. Phys. 2017. V. 19. № 31. P. 20533. https://doi.org/10.1039/C7CP03319B
- Аскаров К.А., Березин Б.Д., Быстрицкая Е.В. Порфирины: спектроскопия, электрохимия, применение. М.: Наука, 1987. 384 с.
- Engeser M., Fabbrizzi L., Licchelli M. et al. // Chem. Commun. 1999. P. 1191. https://doi.org/10.1039/A901931F
- Lupton J.M. // Appl. Phys. Lett. 2008. V. 81. № 13. P. 2478. https://doi.org/10.1063/1.1509115
- Mamardashvili N.Zh., Koifman O.I. // Russ. J. Org. Chem. 2005. V. 41. № 6. P 787. https://doi.org/10.1007/s11178-005-0247-2
- Klapshina L.G., Douglas W.E., Grigoryev I.S. et al. // J. Mater. Chem. 2009. V. 19. № 22. P. 3668. https://doi.org/10.1039/B821667C
- Lermontova S.A., Grigoryev I.S., Shilyagina N.Y. et al. // Russ. J. Phys. Chem. 2016. V. 86. P. 1330. https://doi.org/10.1134/S1070363216060189
- Stuzhin P.A., Goryachev M.Y., Ivanova S.S. et al. // J. Porphyr. Phthalocyanines. 2013. V. 17. № 08n09. P. 905. https://doi.org/10.1142/S1088424613500892
- Chumakov D.E., Khoroshutin A.V., Anisimov A.V. et al. // Chem. Heterocycl. Compd. 2009. V. 45. № 3. P. 259. https://doi.org/10.1007/s10593-009-0277-8
- Linstead R.P., Weiss P.T. // J. Chem. Soc. 1950. V. 11. P. 2975. https://doi.org/10.1039/JR9500002975
- Chizhova N.V. Romanova A.O. // Rus J. Inorg. Chem. 2007. V. 52. № 11. P. 1713. https://doi.org/10.1134/S0036023607110137
- Cook A.H., Linstead R.P. // J. Chem. Soc. 1937. P. 929. https://doi.org/10.1039/JR9370000929
- Звездина С.В., Мальцева О.В., Чижова Н.В. и др. // Макрогетероциклы. 2014. Т. 7. № 3. С. 276. https://doi.org/10.6060/mhc140492m
- Chizhova N.V., Ivanova Y.B., Rusanov A.I. et al. // Russ. J. Org. Chem. 2019. V. 55. P. 655. https://doi.org/10.1134/S1070428019050129
- Lebedeva I.A., Ivanova S.S., Novakova V. et al. // J. Fluorine Chem. 2018. V. 214. P. 86. https://doi.org/10.1016/j.jfluchem.2018.08.006
- Rusanov A.I., Chizhova N.V., Mamardashvili N.Zh. // Molecules. 2022. V. 27. № 23. P. 8619. https://doi.org/10.3390/molecules27238619
- Lee N., Petrenko T., Bergmann U. et al. // J. Am. Chem. Soc. 2010. V. 132. № 28. P. 9715. https://doi.org/10.1021/ja101281e
- Becke A.D. // Phys. Rev. A: Gen. Phys. 1988. V. 38. № 6. P. 3098. https://doi.org/10.1103/PhysRevA.38.3098
- Cramer C.J. Essentials of computational chemistry: Theories and models. John Wiley & Sons, 2017. 596 p.
- Moran D., Simmonett A.C., Leach F.E. et al. // J. Am. Chem. Soc. 2006. V. 128. № 29. P. 9342. https://doi.org/10.1021/ja0630285
- Dunning Jr T.H., Hay P.J. Modern Theoretical Chemistry. N.Y.: Plenum, 1977. V. 3. 28 p.
- Lakowicz J.R. Principles of fluorescence spectroscopy. N.Y.: Springer, 2006. V. 26. 954 p. https://doi.org/10.6060/mhc224315m
- Хембрайт П. // Успехи химии. 1977. Т. 46. № 7. С. 1207. https://doi.org/10.1070/RC1977v046n07ABEH002160
- Звездина С.В., Чижова Н.В., Мамардашвили Н.Ж. и др. // Макрогетероциклы. 2022. Т. 15. № 2. С. 101.
- Maitarad P., Namuangruk S., Zhang D. et al. // Environ. Sci. Technol. 2014. V. 48. № 12. P. 7101. https://doi.org/10.1021/es405767d
- Fukui K., Yonezawa T., Shingu H. // J. Chem. Phys. 1952. V. 20. P. 722. https://doi.org/10.1063/1.1700523
- Berberan-Santos M.N. // PhysChemComm. 2000. V. 3. P. 18. https://doi.org/10.1039/b002307h
- Solov'ev K.N., Borisevich E.A. // Phys.-Usp. 2005. V. 48. P. 231. https://doi.org/10.1070/PU2005v048n03ABEH001761
- Drzewiecka-Matuszek A., Skalna A., Karocki A. et al. // J. Biol. Inorg. Chem. 2005. V. 10. P. 453. https://doi.org/10.1007/s00775-005-0652-6
- Rubio N., Prat F., Bou N. et al. // New J. Chem. 2005. V. 29. P. 378. https://doi.org/10.1039/B415314F
Supplementary files










