Magnetic Carbon Nanocomposites: Preparation from Cellulose via Chemical Activation with FeCl3 and Characterization
- Authors: Prusov A.N.1, Prusova S.M.1, Radugin M.V.1
-
Affiliations:
- Krestov Institute of Solution Chemistry, Russian Academy of Sciences
- Issue: Vol 68, No 7 (2023)
- Pages: 965-974
- Section: НЕОРГАНИЧЕСКИЕ МАТЕРИАЛЫ И НАНОМАТЕРИАЛЫ
- URL: https://ogarev-online.ru/0044-457X/article/view/136376
- DOI: https://doi.org/10.31857/S0044457X22602206
- EDN: https://elibrary.ru/RHOMBK
- ID: 136376
Cite item
Full Text
Abstract
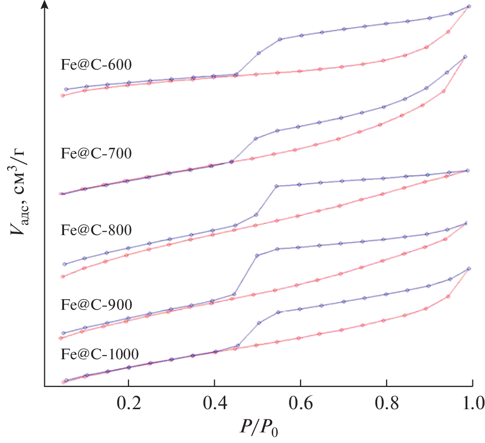
We have studied the preparation of magnetic graphitic carbon composites, which combine the adsorption properties of activated carbon with magnetic properties and properties intrinsic to graphite. The preparation method is efficient; it comprises modifying flax shive cellulose with citric acid to enhance the chelating ability of the flax shive cellulose matrix, impregnating the modified cellulose with iron chloride, and pyrolysis in an inert atmosphere to control the composition, morphology, specific surface, and porosity of hybrid carbon materials. The scenario of cellulose matrix pyrolysis was suggested using thermogravimetry. X-ray structural analysis was used to characterize the graphitic composites. The citric acid modification of cellulose helps to prepare a high-graphite (74%) carbon composite where the graphitization level of the graphite structure approaches the graphitization level of commercially available graphite at 700°С. Low-temperature N2 adsorption–desorption and ζ-potential measurements helped to suggest the adsorption mechanism for environmentally hazardous dyes. The greatest equilibrium adsorption of Methylene Blue (MB) and Methyl Orange (MO) dyes was 127.4 and 23.7 mg/g, respectively. The prepared composites can be used as adsorbents and fillers in polymer composite materials.
Keywords
About the authors
A. N. Prusov
Krestov Institute of Solution Chemistry, Russian Academy of Sciences
Email: anp@isc-ras.ru
153045, Ivanovo, Russia
S. M. Prusova
Krestov Institute of Solution Chemistry, Russian Academy of Sciences
Email: anp@isc-ras.ru
153045, Ivanovo, Russia
M. V. Radugin
Krestov Institute of Solution Chemistry, Russian Academy of Sciences
Author for correspondence.
Email: anp@isc-ras.ru
153045, Ivanovo, Russia
References
- Niazi L., Lashanizadegan A., Sharififard H. // J. Clean. Prod. 2018. V. 185. P. 554. https://doi.org/10.1016/j.jclepro.2018.03.026
- Zhang B., Zeng X., Xu P. et al. // Environ. Sci. Technol. 2016. V. 50. P. 11837. https://doi.org/10.1021/acs.est.6b01919
- Erdem H., Erdem M. // Biomass Conv. Bioref. 2022. V. 12. P. 3513. https://doi.org/10.1007/s13399-020-00963-z
- Bekhoukh A., Moulefera I., Zeggai F.Z. et al. // J. Polym. Environ. 2022. V. 30. P. 886. https://doi.org/10.1007/s10924-021-02248-6
- Rashidi N.A., Yusup S. // Chem. Eng. J. 2017. V. 314. P. 277. https://doi.org/10.1016/j.cej.2016.11.059
- Klasson K.T., Wartelle L.H., Lima I.M. et al. // Bioresour. Technol. 2009. V. 100. P. 5045. https://doi.org/10.1016/j.biortech.2009.02.068
- Ogungbenro A.E., Quang D.V., Al-Ali K.A. et al. // J. Environ. Chem. Eng. 2020. V. 8. P. 104257. https://doi.org/10.1016/j.jece.2020.104257
- Somasundaram S.K., Sekar Gupta V.K., Ganesan S. // J. Mol. Liq. 2013. V. 177. P. 416. https://doi.org/10.1016/j.molliq.2012.09.022
- Ahmed M.J. // J. Environ. Chem. Eng. 2016. V. 4. P. 89. https://doi.org/10.1016/j.jece.2015.10.027
- Prusov A.N., Prusova S.M., Radugin M.V. et al. // Fuller. Nanotub. Car. N. 2021. V. 29. P. 685. https://doi.org/10.1080/1536383X.2021.188106
- Ahmed M.J., Theydan S.K. // Powder Technol. 2012. V. 229. P. 237. https://doi.org/10.1016/j.powtec.2012.06.043
- Ma J., Zhou L., Dan W. et al. // J. Colloid Interface Sci. 2015. V. 446. P. 298. https://doi.org/10.1016/j.jcis.2015.01.036
- Teng H.S., Yeh T.S., Hsu L.Y. // Carbon. 1998. V. 36. P. 1387. https://doi.org/10.1016/S0008-6223(98)00127-4
- Hamouda H.A., Cui S., Dai X. et al. // RSC Adv. 2021. V. 11. P. 354. https://doi.org/10.1039/D0RA09509E
- Xu Z., Sun Z., Zhou Y. et al. // Colloids Surf., A. 2019. V. 582. P. 123934. https://doi.org/10.1016/j.colsurfa.2019.123934
- Khiari B., Ferjani A.I., Azzaz A.A. et al. // Biomass Conv. Bioref. 2021. V. 11. P. 325. https://doi.org/10.1007/s13399-020-00641-0
- Rodríguez-Sánchez S., Díaz P., Ruiz B. et al. // J. Environ. Manage. 2022. V. 312. P. 114897. https://doi.org/10.1016/j.jenvman.2022.114897
- Прусов А.Н., Прусова С.М., Базанов А.В. и др. // Журн. неорган. химии. 2019. Т. 64. С. 431.
- Feng H., Li J., Wang L. // BioRes. 2010. V. 5. № 3. P. 1484. https://doi.org/10.15376/biores.5.3.1484-1495.
- Cox M., Pichugin A.A., El-Shafey E.I. et al. // Hydrometallurgy. 2005. V. 78. P. 137. https://doi.org/10.1016/j.hydromet.2004.12.006
- Wang C., Yang Q., Ren N. et al. // Chem. Eng. Commun. 2020. https://doi.org/10.1080/00986445.2020.1826940
- Hu W., Zhang M., Ton-That M.-T. et al. // Fiber. Polym. 2014. V. 15. P. 1722. https://doi.org/10.1007/s12221-014-1722-6
- Prusov A.N., Prusova S.M., Radugin M.V. et al. // Fuller. Nanotub. Car. N. 2021. V. 29. P. 232. https://doi.org/10.1080/1536383X.2020.1832994
- Bedia J., Monsalvo V.M., Rodriguez J.J. et al. // Chem. Eng. J. 2017. V. 318. P. 224. https://doi.org/10.1016/j.cej.2016.06.096
- Bedia J., Belver C., Ponce S. et al. // Chem. Eng. J. 2018. V. 333. P. 58. https://doi.org/10.1016/j.cej.2017.09.161
- Vasu A.E., Archana A.P.M.S., Sagayaraj A.C. et al. // Chem. Commun. 2022. V. 141. P. 109541. https://doi.org/10.1016/j.inoche.2022.109541
- Hermosa G.C., Liao C.-S., Wan. S.-F. et al. // J. Nanosci. Nanotechnol. 2021. V. 21. P. 5756. https://doi.org/10.1166/jnn.2021.19494
- Vaughana T., Seoa C.W., Marshall W.E. // Bioresour. Technol. 2001. P. 78. P. 133. https://doi.org/10.1016/S0960-8524(01)00007-4
- Prusov A.N., Prusova S.M., Zakharov A.G. et al. // Fuller. Nanotub. Car. N. 2019. V. 27. P. 967. https://doi.org/10.1080/1536383X.2019.1679780
- Prusov A.N., Prusova S.M., Radugin M.V. et al. // Fuller. Nanotub. Car. N. 2022. V. 30. P. 1019. https://doi.org/10.1080/1536383X.2022.2057965
- Kuang Y., Zhang X., Zhou S. // Water. 2020. V. 12. P. 587. https://doi.org/10.3390/w12020587
- Destyorini F., Irmawati Y., Hardiansyah A. et al. // Eng. Sci. Technol. Int. J. 2021. V. 24. P. 514. https://doi.org/10.1016/j.jestch.2020.06.011
- Bacon BY G.E. // Acta Cryst. 1951. V. 4. P. 558. https://doi.org/10.1107/s0365110x51001781
- Dai C., Wan J., Yang S. et al. // Appl. Surf. Sci. 2018. V. 444. P. 105. https://doi.org/10.1016/j.apsusc.2018.02.261
- Dizbay-Onat M., Vaidya U.K., Balanay J.A.G. et al. // Adsorpt. Sci. Technol. 2018. V. 36. № 1–2. P. 441. https://doi.org/10.1177/0263617417700635
- Krivoruchko O.P., Zaikovskii V.I. // Mendeleev Commun. 1998. V. 8. № 3. P. 97. https://doi.org/10.1070/MC1998v008n03ABEH000944
- Hoekstra J., Beale M., Soulimani F. et al. // Carbon. 2016. V. 197. P. 248. https://doi.org/10.1016/j.carbon.2016.05.065
- Xu Z., Zhou Y., Sun Z. et al. // Chemosphere. 2020. V. 241. P. 125120. https://doi.org/10.1016/j.chemosphere.2019.125120
- Jozwiak W.K., Kaczmarek E., Maniecki T.P. et al. // Appl. Catal. A: General. 2007. V. 326. P. 17. https://doi.org/10.1016/j.apcata.2007.03.021
- Li H., Zhang H., Li K. et al. // Fuel. 2020. V. 279. https://doi.org/10.1016/j.fuel.2020.118531
- Rufford. T.E., Hulicova-Jurcakova D., Zhu. Z. // J. Mater. Res. 2011. V. 25. P. 1451. https://doi.org/10.1557/JMR.2010.0186
- Zhu X., Liu Y., Luo G. et al. // Environ. Sci. Technol. 2014. V. 48. P. 5840. https://doi.org/10.1021/es500531c
- Thommes M., Kaneko K., Neimark A.V. et al. // Pure Appl. Chem. 2015. V. 87. P. 1051. https://doi.org/10.1515/pac-2014-1117
- Cychosz K.A., Thommes M. // Engineering. 2018. V. 4. P. 559. https://doi.org/10.1016/j.eng.2018.06.001
- Udayakumar M., Mrabate B.E., Koós T. et al. // Arabian J. Chem. 2021. V. 14. P. 103214. https://doi.org/10.1016/j.arabjc.2021.103214
- Janani B., Mohaimeed A.M.A., Raju L.L. et al. // J. Environ. Health Sci. Engineer. 2021. V. 19. P. 389. https://doi.org/10.1007/s40201-021-00612-1
- Istratie R., Stoia M., Păcurariu C. et al. // Arabian J. Chem. 2019. V. 12. P. 3704. http://dx.doi.org/10.1016/j.arabjc.2015.12.012
- Fan W., Gao W., Zhang C. et al. // J. Mater. Chem. 2012. V. 22. P. 25108. https://doi.org/10.1039/C2JM35609K
- Karagöza S., Tay T., Ucar S. et al. // Bioresour. Technol. 2008. V. 99. P. 6214. https://doi.org/10.1016/j.biortech.2007.12.019
- Pittman C.U., He G.R., Wu B. et al. // Carbon. 1997. V. 35. № 3. P. 317. https://doi.org/10.1016/S0008-6223(97)89608-X
Supplementary files









