Разработка метода химического полирования нержавеющей стали марки 08Х18Н10 с помощью наноструктурированной среды
- Авторы: Тюлягин П.Е.1, Мишина Е.С.1, Полякова А.С.1, Мурашова Н.М.1, Мурадова А.Г.1
-
Учреждения:
- Российский химико-технологический университет им. Д.И. Менделеева
- Выпуск: Том 68, № 5 (2023)
- Страницы: 682-693
- Раздел: НЕОРГАНИЧЕСКИЕ МАТЕРИАЛЫ И НАНОМАТЕРИАЛЫ
- URL: https://ogarev-online.ru/0044-457X/article/view/136372
- DOI: https://doi.org/10.31857/S0044457X23600032
- EDN: https://elibrary.ru/SOHEFZ
- ID: 136372
Цитировать
Полный текст
Аннотация
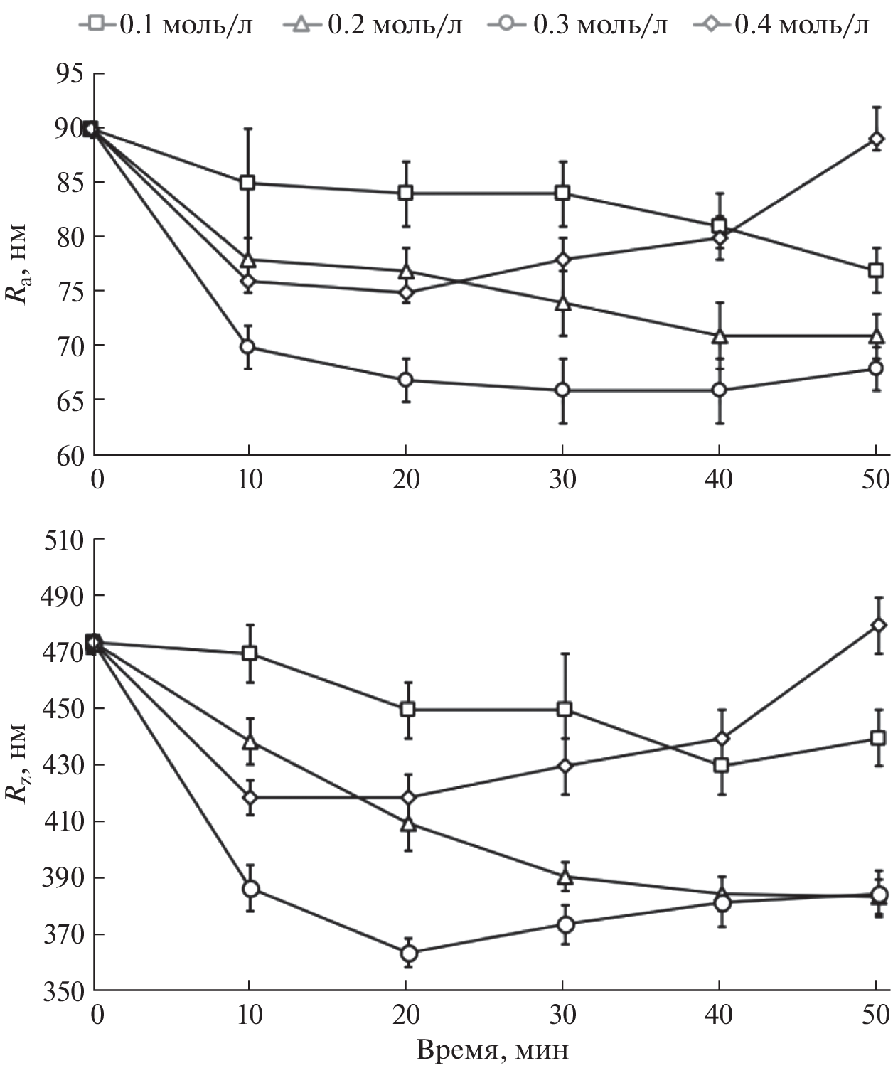
Химическая полировка металлов с помощью наноструктурированных сред – обратных микроэмульсий – интересна с точки зрения усовершенствования методики полировки металлов концентрированными кислотами, поскольку в ней достигается существенное уменьшение концентрации травящего реагента (кислоты). Показана возможность применения обратных микроэмульсий в системе додецилсульфат натрия–бутанол-1–керосин–водный раствор соляной кислоты для химической полировки нержавеющей стали марки 08Х18Н10, в рамках которой определены области существования микроэмульсии в рассматриваемой системе и подобраны условия проведения химической полировки нержавеющей стали микроэмульсией додецилсульфата натрия. Выбраны условия очистки поверхности образца нержавеющей стали после химической полировки, при которых происходит наиболее полное удаление компонентов микроэмульсии с поверхности стали, но при этом не происходит изменения микрорельефа поверхности.
Ключевые слова
Об авторах
П. Е. Тюлягин
Российский химико-технологический университет им. Д.И. Менделеева
Email: tylagin@vivaldi.net
Россия, 125047, Москва, Миусская пл., 9
Е. С. Мишина
Российский химико-технологический университет им. Д.И. Менделеева
Email: tylagin@vivaldi.net
Россия, 125047, Москва, Миусская пл., 9
А. С. Полякова
Российский химико-технологический университет им. Д.И. Менделеева
Email: tylagin@vivaldi.net
Россия, 125047, Москва, Миусская пл., 9
Н. М. Мурашова
Российский химико-технологический университет им. Д.И. Менделеева
Email: tylagin@vivaldi.net
Россия, 125047, Москва, Миусская пл., 9
А. Г. Мурадова
Российский химико-технологический университет им. Д.И. Менделеева
Автор, ответственный за переписку.
Email: tylagin@vivaldi.net
Россия, 125047, Москва, Миусская пл., 9
Список литературы
- Marinescu I.D., Rowe B., Dimitrov B. et al. Tribology of abrasive machining processes. William Andrew, 2012. 586 p.
- Grechishnikov V.A., Petukhov Yu.E., Pivkin P.M. et al. // Russ. Eng. Res. 2016. V. 36. № 3. P. 229. https://doi.org/10.3103/S1068798X16030059
- Камынина О.К., Кравчук К.С., Лазов М.А. и др. // Журн. неорг. химии. 2021. Т. 66. № 8. С. 958.
- Nazarov D.V., Smirnov V.M., Zemtsova E.G. et al. // ACS Biomater. Sci. Eng. 2018. V. 4. № 9. P. 3268. https://doi.org/10.1021/acsbiomaterials.8b00342
- Xi J., Shentu L., Hu J. et al. // Appl. Opt. 2017. V. 56. № 2. P. 184. https://doi.org/10.1364/AO.56.000184
- Maiboroda V., Tarhan D., Dzhulii D. et al. // Acta Mech. Automat. 2020. V. 14. № 1. P. 1. https://doi.org/10.2478/ama-2020-0001
- Догадкина Е.В., Донцов М.Г., Парфенюк В.И. // Физикохимия поверхности и защита материалов. 2016. Т. 52. № 5. С. 554.
- Dzhemelinskyi V., Lesyk D., Goncharuk O. et al. // Eastern-European J. Enterprise Technol. 2018. V. 1. № 12. P. 35. https://doi.org/10.15587/1729-4061.2018.124031
- Tseng W., Wang Y., Chin J. // J. Electrochem. Soc. 1999. V. 146. № 11. P. 4273. https://doi.org/10.1149/1.1392627
- Habibzadeh S., Li L., Shum-Tim D., Davis E.C. et al. // Corrosion Sci. 2014. V. 87. P. 89. https://doi.org/10.1016/j.corsci.2014.06.010
- Gomez-Gallegos A.A., Mill F., Mount A.R. // J. Manufacturing Processes. 2016. V. 23. P. 83. https://doi.org/10.1016/j.jmapro.2016.05.010
- Duradji V.N., Kaputkin D.E., Duradji A.Y. // J. Electrochem. Soc. 2017. V. 164. № 14. P. E513. https://doi.org/10.1149/2.0811714jes
- Belkin P.N., Kusmanov S.A., Parfenov E.V. // Appl. Surface Sci. Adv. 2020. V. 1. P. 100016. https://doi.org/10.1016/j.apsadv.2020.100016
- Quitzke S., Kröning O., Safranchik D. et al. // J. Manuf. Process. 2022. V. 75. P. 1123. https://doi.org/10.1016/j.jmapro.2022.01.064
- Tyagi P., Goule T., Riso C. et al. // Additive Manufacturing. 2019. V. 25. P. 32. https://doi.org/10.1016/j.addma.2018.11.001
- Tyagi P., Goulet T., Riso Chr. et al. // Int. J. Adv. Manufacturing Technol. 2019. V. 100. № 9. P. 2895. https://doi.org/10.1007/s00170-018-2890-0
- Smithells metals reference book / Eds. Gale W.F., Totemeier T.C. Elsevier, 2003. 2033 p.
- Zhu W.-L., Beaucamp A. // Int. J. Machine Tools Manufacture. 2020. V. 158. 103634. https://doi.org/10.1016/j.ijmachtools.2020.103634
- Арымбаева А.Т., Шапаренко Н.О., Поповецкий П.С. и др. // Журн. неорган. химии. 2017. Т. 62. № 7. С. 1001.
- Демидова М.Г., Шапаренко Н.О., Подлипс-кая Т.Ю. и др. // Журн. неорган. химии. 2017. Т. 62. № 6. С. 729
- Полякова А.С., Мурашова Н.М., Юртов Е.В. // Журн. прикл. химии. 2020. Т. 93. № 2. С. 249.
- Полякова А.С., Мурашова Н.М. // Изв. Вузов. Химия и хим. технология. 2021. Т. 64. № 2. С. 66.
- Мурашова Н.М., Левчишин С.Ю., Субчева Е.Н. и др. // Физикохимия поверхности и защита материалов. 2020. Т. 56. № 3. С. 309.
- Guo Y., Li Hy., Yuan Yh. et al. // Int. J. Miner. Metall. Mater. 2021. V. 28. № 6. P. 947. https://doi.org/10.1007/s12613-020-2105-1
- Huang Y.J., Yates M.Z. // Colloids Surf. A. 2006. V. 281. № 1–3. P. 215. https://doi.org/10.1016/j.colsurfa.2006.02.041
- Guo Y., Zhao J., Yang Sh. et al. // Powder Technol. 2006. V. 162. № 2. P. 83. https://doi.org/10.1016/j.powtec.2005.12.012
- Nassar N.N. // J. Dispersion Sci. Technol. 2010. V. 31. P. 1714. https://doi.org/10.1080/01932690903297306
- Подлипская Т.Ю., Булавченко А.И. // Журн. структ. химии. 2016. Т. 57. № 8. С. 1655.
- Wang F., Fang B., Zhang Z. et al. // J. Chem. Engineer. Data. 2008. V. 53. № 6. P. 1256. https://doi.org/10.1021/je700601a
- da Silva V.L., Ribeiro L.S., de Oliveira Freitas J.C. et al. // J. Pet. Sci. Technol. 2020. V. 10. № 7. P. 2845. https://doi.org/10.1007/s13202-020-00952-y
- Krylach I.V., Kudryashov S.I., Olekhnovich R.O. et al. // Laser Phys. Lett. 2019. V. 16. № 10. P. 105602. https://doi.org/10.1088/1612-202X/ab3d32
- Shchedrina N., Karlagina Y., Itina T. E. et al. // Optical and Quantum Electronics. 2020. V. 52. № 3. P. 1. https://doi.org/10.1007/s11082-020-02280-1
- Rudawska A. // Int. J. Adhesion Adhesives. 2014. V. 50. P. 235. https://doi.org/10.1016/j.ijadhadh.2014.01.032
- Olefjord I., Kozma L. // Mater. Sci. Technol. 1987. V. 3. P. 954. https://doi.org/10.1179/mst.1987.3.11.954
- Гадалов В.Н., Гвоздев А.Е., Стариков Н.Е. и др. // Изв. Тульского гос. ун-та. Технические науки. 2017. № 11–12. С. 124.
Дополнительные файлы








