Экстракция актинидов и лантанидов(III) из азотнокислых растворов смесями N-(дифенилфосфорил)-N'-пропилмочевин с ω-азотсодержащими радикалами и динонилнафталинсульфокислоты
- Авторы: Туранов А.Н.1, Карандашев В.К.2, Баулина Т.В.3, Горюнов Е.И.3, Брель В.К.3
-
Учреждения:
- Институт физики твердого тела им. Ю.А. Осипьяна РАН
- Институт проблем технологии микроэлектроники и особо чистых материалов РАН
- Институт элементоорганических соединений им. А.Н. Несмеянова РАН
- Выпуск: Том 68, № 5 (2023)
- Страницы: 658-663
- Раздел: ФИЗИКОХИМИЯ РАСТВОРОВ
- URL: https://ogarev-online.ru/0044-457X/article/view/136365
- DOI: https://doi.org/10.31857/S0044457X22601900
- EDN: https://elibrary.ru/SMRQXL
- ID: 136365
Цитировать
Полный текст
Аннотация
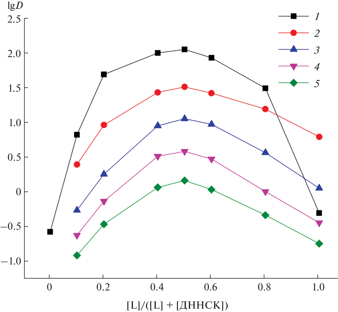
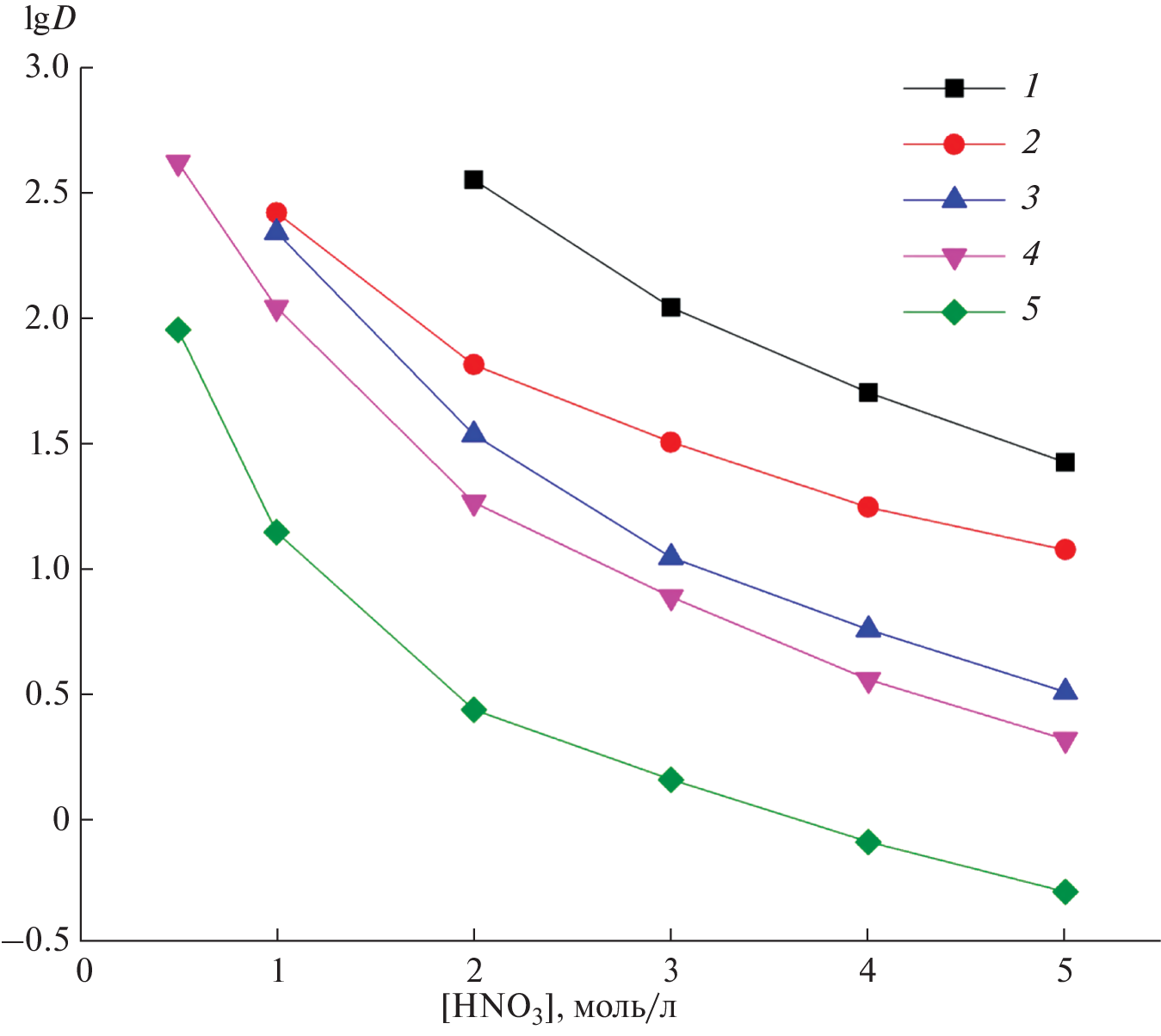
Проведены исследования, связанные с экстракцией ионов урана, тория и лантанидов(III) из азотнокислых сред смесями динонилнафталинсульфокислоты и N-(дифенилфосфорил)-N'-н-пропилмочевин, содержащих в своем составе имидазолильный, диэтиламинный, пирид-2-ил и 2-оксопирролидиновый фрагменты, в органических растворителях. Обнаружен значительный синергетический эффект при экстракции ионов металлов смесями динонилнафталинсульфокислоты и N-(дифенилфосфорил)-N'-[3-(2-оксопирролидино)пропил]мочевины. Установлена стехиометрия извлекаемых комплексов. Оценено влияние строения используемого экстрагента, природы органического разбавителя и содержания HNO3 в водной фазе на эффективность экстракции катионов металлов в органическую среду.
Ключевые слова
Об авторах
А. Н. Туранов
Институт физики твердого тела им. Ю.А. Осипьяна РАН
Email: v_brel@mail.ru
Россия, 142432, Московская обл., Черноголовка, ул. Академика Осипьяна, 2
В. К. Карандашев
Институт проблем технологии микроэлектроники и особо чистых материалов РАН
Email: v_brel@mail.ru
Россия, 142432, Московская обл., Черноголовка, ул. Академика Осипьяна, 6,
Т. В. Баулина
Институт элементоорганических соединений им. А.Н. Несмеянова РАН
Email: v_brel@mail.ru
Россия, 119334, Москва, ул. Вавилова, 28, стр. 1
Е. И. Горюнов
Институт элементоорганических соединений им. А.Н. Несмеянова РАН
Email: v_brel@mail.ru
Россия, 119334, Москва, ул. Вавилова, 28, стр. 1
В. К. Брель
Институт элементоорганических соединений им. А.Н. Несмеянова РАН
Автор, ответственный за переписку.
Email: v_brel@mail.ru
Россия, 119334, Москва, ул. Вавилова, 28, стр. 1
Список литературы
- Myasoedov B.F., Kalmykov S.N., Kulyako Yu.M. et al. // Geochem. Int. 2016. V. 54. № 13. P. 1156. https://doi.org/10.1134/S0016702916130115
- Аляпишев М.Ю., Бабаин В.А., Устынюк Ю.А. // Успехи химии. 2016. Т. 85. № 9. С. 943.
- Leoncini A., Huskens J., Verboom W. // Chem. Soc. Rev. 2017. V. 46. № 23. P. 7229. https://doi.org/10.1039/C7CS00574A
- Wilson A.M., Bailey P.J., Tasker P.A. et al. // Chem. Soc. Rev. 2014. V. 43. № 1. P. 123. https://doi.org/10.1039/C3CS60275C
- Werner E.J., Biros S.M. // Org. Chem. Front. 2019. V. 6. № 12. P. 2067. https://doi.org/10.1039/c9qo00242a
- Bhattacharyya A., Mohapatra P.K. // Radiochim. Acta. 2019. V. 107. № 9–11. P. 931. https://doi.org/10.1515/ract-2018-3064
- Розен А.М., Крупнов Б.В. // Успехи химии. 1996. Т. 65. № 11. С. 1052
- Myasoedov B.F., Chmutova M.K., Kochetkova N.E. et al. // Solv. Extr. Ion Exch. 1986. V. 4. № 1. P. 61. https://doi.org/10.1080/07366298608917853
- Horwitz E.P., Martin K.A., Diamond H. et al. // Solv. Extr. Ion Exch. 1986. V. 4. № 3. P. 449. https://doi.org/10.1080/07366298608917877
- Чмутова М.К., Литвина М.Н., Прибылова Г.А. и др. // Радиохимия. 1999. Т. 41. № 4. С. 331.
- Тананаев И.Г., Летюшов А.А., Сафиуллина А.М. и др. // Докл. АН. 2008. Т. 422. № 6. С. 762.
- Safiulina A.M., Goryunov E.I., Letyushov A.A. et al. // Mendeleev Commun. 2009. V. 19. P. 263. https://doi.org/10.1016/j.mencom.2009.09.010
- Сафиулина А.М., Лизунов А.В., Семенов А.А. и др. // Аналитика. 2022. Т. 12. № 2. С. 114. https://doi.org/10.22184/2227-572X.2022.12.2.114.128
- Сафиулина А.М., Лизунов А.В., Борисова Н.А. и др. // Журн. неорган. химии. 2021. Т. 66. № 5. С. 631.
- Туранов А.Н., Карандашев В.К., Артюшин О.И. и др. // Журн. неорган. химии. 2020. Т. 65. № 8. С. 1099.
- Danesi P.R., Chiarizia R., Scibona G. // J. Inorg. Nucl. Chem. 1973. V. 35. № 11. P. 3926. https://doi.org/10.1016/0022-1902(73)80089-2
- Belova V.V., Martynova M.M., Tsareva Yu.V. et al. // J. Mol. Liq. 2019. V. 293. 111568. https://doi.org/10.1016/j.molliq.2019.111568
- Белова В.В. // Радиохимия. 2021. Т. 63. № 1. С. 3.
- Литвина М.Н., Чмутова М.К., Мясоедов Б.Ф. и др. // Радиохимия. 1996. Т. 38. № 6. С. 525.
- Шадрин А.Ю., Бабаин В.А., Киселева Р.Н. // Радиохимия. 1993. Т. 35. № 1. С. 45.
Дополнительные файлы







