Synthesis of Magnesium- and Aluminum-Based Mixed Oxide Systems by Low and High Supersaturation Methods
- Authors: Fadeev V.V.1, Tronov A.P.1, Tolchev A.V.1, Galimov D.M.2, Zhivulin V.E.2, Morozov R.S.2, Avdin V.V.2
-
Affiliations:
- Chelyabinsk State University
- South Ural State University
- Issue: Vol 68, No 5 (2023)
- Pages: 613-622
- Section: СИНТЕЗ И СВОЙСТВА НЕОРГАНИЧЕСКИХ СОЕДИНЕНИЙ
- URL: https://ogarev-online.ru/0044-457X/article/view/136357
- DOI: https://doi.org/10.31857/S0044457X22602036
- EDN: https://elibrary.ru/SNEVVM
- ID: 136357
Cite item
Full Text
Abstract
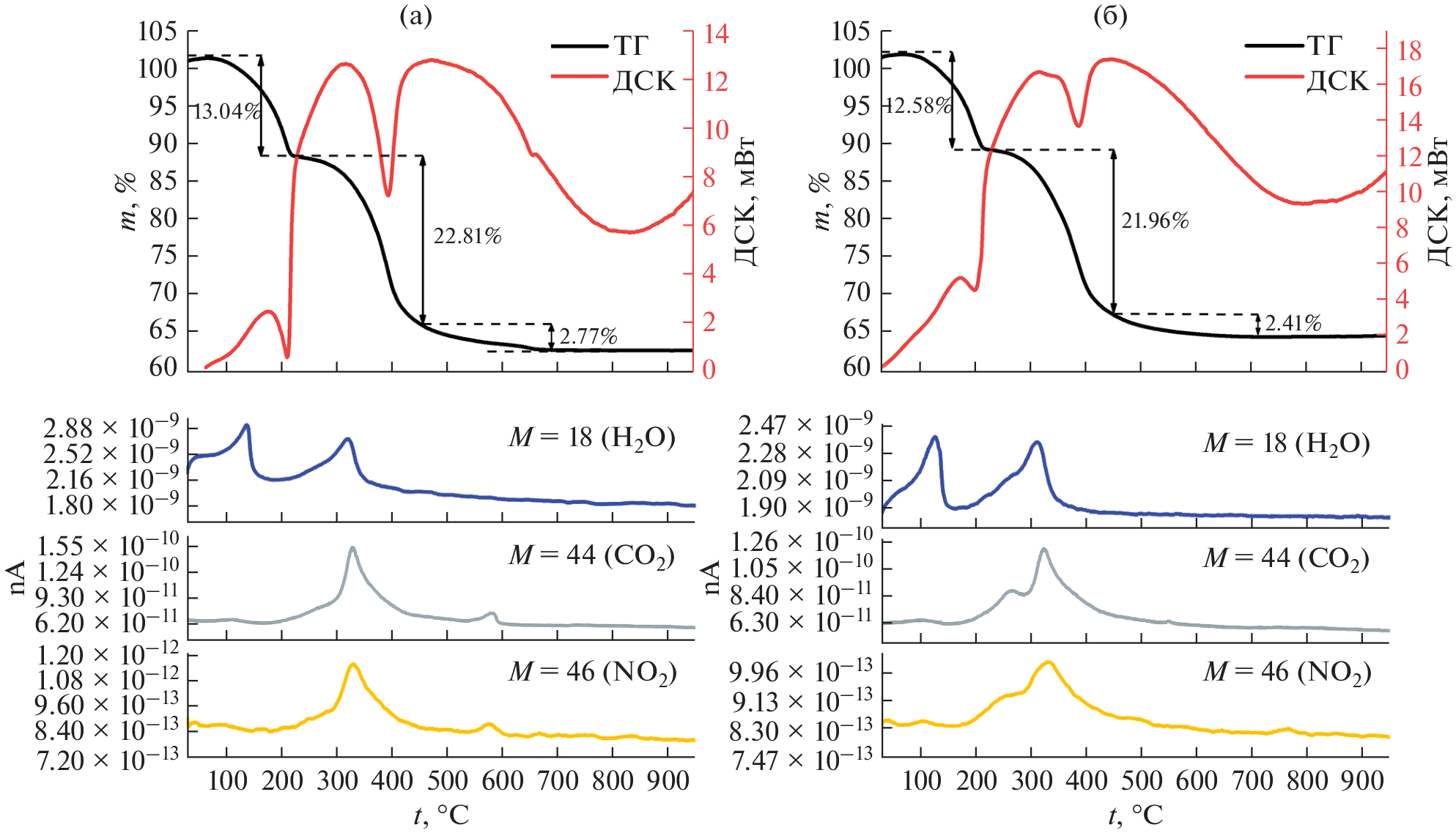
Magnesium–aluminum layered double hydroxides and mixed oxides based on them were obtained by high and low supersaturation methods and analyzed. It was shown that the phase composition and formation of nano-sized particles with a large surface area is significantly affected by the rate of introduction of magnesium–aluminum systems into the medium of the precipitated material. All of the obtained samples were studied by thermogravimetric analysis with mass-spectrometric detection, X-ray diffractometry, scanning electron microscopy, energy dispersive X-ray spectroscopy, and infrared spectroscopy.
About the authors
V. V. Fadeev
Chelyabinsk State University
Email: vladislav_fadeev98@mail.ru
454136, Chelyabinsk, Russia
A. P. Tronov
Chelyabinsk State University
Email: vladislav_fadeev98@mail.ru
454080, Chelyabinsk, Russia
A. V. Tolchev
Chelyabinsk State University
Email: vladislav_fadeev98@mail.ru
454136, Chelyabinsk, Russia
D. M. Galimov
South Ural State University
Email: vladislav_fadeev98@mail.ru
454080, Chelyabinsk, Russia
V. E. Zhivulin
South Ural State University
Email: vladislav_fadeev98@mail.ru
454080, Chelyabinsk, Russia
R. S. Morozov
South Ural State University
Email: vladislav_fadeev98@mail.ru
454080, Chelyabinsk, Russia
V. V. Avdin
South Ural State University
Author for correspondence.
Email: vladislav_fadeev98@mail.ru
454080, Chelyabinsk, Russia
References
- Hájek M. // Chem. Eng. J. 2015. V. 263. P. 160. https://doi.org/10.1016/j.cej.2014.11.006
- Tanaka R., Ogino. I., Mukai S.R. // ACS Omega. 2018. V. 3. № 12. P. 16916. https://doi.org/10.1021/acsomega.8b02557
- Kuljiraseth J. // Appl. Catal. B. 2019. V. 243. P. 415. https://doi.org/0.1016/j.apcatb.2018.10.073
- Kocík J. // J. Mol. Catal. 2021. V. 516. P. 111946. https://doi.org/10.1016/j.mcat.2021.111946
- Octavian D.P., Didier Tichit I.C.M. // Appl. Clay Sci. 2012. V. 61. P. 52. https://doi.org/10.1016/j.clay.2012.03.006
- Dixit M., Manish D., Manish M. et al. // Chem. Eng. Ind. J. 2013. V. 19. № 2. P. 458. https://doi.org/10.1016/j.jiec.2012.08.028
- Climent M.J., Corma A., Iborra S., Primo J. // J. Catal. 1994. V. 151. № 1. P. 60. https://doi.org/10.1006/jcat.1995.1008
- Pérez C.N. // Química Nova. 2009. V. 32. № 9. P. 2341. https://doi.org/10.1590/S0100-40422009000900020
- Hora L. // Catalysis Today. 2014. V. 223. P. 138. https://doi.org/10.1016/j.cattod.2013.09.022
- Jorge P., Joseph L., François F. // Catalysis J. 2002. V. 211. № 1. P. 150. https://doi.org/10.1006/jcat.2002.3706
- Bolognini M. // Catal. Today. 2002. V. 75. № 1–4. P. 103. https://doi.org/10.1016/S0920-5861(02)00050-0
- Xiao Z. // Mol. Catal. 2017. V. 436. P. 1. https://doi.org/10.1016/j.mcat.2017.04.016
- Cosano D., Hidalgo-Carrillo J., Esquivel D. et al. // J. Porous Mater. 2020. V. 27. № 2. P. 441. https://doi.org/10.1007/s10934-019-00825-8
- Quesada J., Faba L., Diaz E., Ordonez S. // Appl. Catal. A. 2017. V. 542. P. 271. https://doi.org/10.1016/j.apcata.2017.06.001
- He J., Wei M., Li B. et al. // Structure and Bonding Layered Double Hydroxides. 2006. V. 89–119. https://doi.org/10.1007/430/006
- Горелик С.С., Расторгуев Л.Н., Скаков Ю.А. Рентгенографический и электронно-оптический анализ. М.: МИСИС, 1994. 328 с.
- Kong L. // Chem. Eng. J. 2019. V. 371. P. 893. https://doi.org/10.1016/j.cej.2019.04.116
- Leont`eva N.N., Drozdov V.D., Bel`skaya O.B., Cherepanova S.V. // Russ. J. Gen. Chem. 2020. V. 90. № 3. P. 509. https://doi.org/10.1134/S1070363220030275
- Nguyễn K.D.H., Hoàng N.D. // Vietnam J. Sci. Technol. 2015. V. 52. № 6. P. 755. https://doi.org/10.15625/0866-708X/52/6/3636
- Libor Č., Petr K., Lucie S., Martin H. // Top. Catal. 2013 V. 56. № 9–10. P. 586. https://doi.org/10.1007/s11244-013-0008-3
- Débora L.C., Roberto R.A., Michelly T.R. et al. // Appl. Catal. A. 2012. V. 415–416. P. 96. https://doi.org/10.1016/j.apcata.2011.12.009
- Kikhtyanin O., Capek L., Smoláková L. et al. // Ind. Eng. Chem. Res. 2017. V. 56. № 45. P. 13411. https://doi.org/10.1021/acs.iecr.7b03367
- Masoud S., Afshin T.M., Seyed A.H., Sakineh M. // J. Water Environ. Nanotechnol. 2021. V. 6. № 1. P. 72. https://doi.org/10.22090/jwent.2021.01.007
- Huang P.P. // RSC. Adv. 2015. V. 5. № 14. P. 10412. https://doi.org/10.1039/C4RA15160G
- Varga G., Szabados M., Kukovecz Á. et al. // Mater. Res. Lett. 2020. V. 8. № 2. P. 68. https://doi.org/10.1080/21663831.2019.1700199
- Abniki M., Moghimi A., Azizinejad F. // JSCS. 2020. V. 85. № 9. P. 1223. https://doi.org/10.2298/JSC191011004A
- Chen L., Sun B., Wang X. et al. // J. Mater. Chem. B. 2013. V. 1. № 17. P. 2268. https://doi.org/10.1039/C3TB00044C
- Huang P.-P., Cao C.-Y., Wei F. et al. // RSC Adv. 2015. V. 5. № 14. P. 10412. https://doi.org/10.1039/C4RA15160G
- Cardinale A.M., Carbone C., Consani S. et al. // Crystals. 2020. V. 10. № 6. P. 443. https://doi.org/10.3390/cryst10060443
- Hag-Soo K., Yohtaro Y., Je-Deok K. et al. // Solid State Ionics. 2010. V. 181. № 19–20. P. 883. https://doi.org/10.1016/j.ssi.2010.04.037
- Wang X., Zhu X., Meng X. // RSC Adv. 2017. V. 7. № 56. P. 34984. https://doi.org/10.1039/c7ra04646d
- Aisawa S., Nakada C., Hirahara H. et al. // Appl. Clay Science. 2019. V. 180. P. 105205. https://doi.org/0.1016/j.clay.2019.105205
- Zaghouane-Boudiaf H., Boutahala M., Arab L. // Chem. Eng. J. 2012. V. 187. P. 142. https://doi.org/10.1016/j.cej.2012.01.112
- Thommes M., Kaneko K., Neimark A.V. et al. // Pure Appl. Chem. 2015. V. 87. № 9–10. P. 1051. https://doi.org/10.1515/pac-2014-1117
Supplementary files









