Hydrothermal Synthesis of Silver Sulfide
- Authors: Sadovnikov S.I.1
-
Affiliations:
- Institute of Solid-State Chemistry, Ural Branch, Russian Academy of Sciences
- Issue: Vol 68, No 5 (2023)
- Pages: 589-596
- Section: СИНТЕЗ И СВОЙСТВА НЕОРГАНИЧЕСКИХ СОЕДИНЕНИЙ
- URL: https://ogarev-online.ru/0044-457X/article/view/136351
- DOI: https://doi.org/10.31857/S0044457X22602000
- EDN: https://elibrary.ru/SNAAWI
- ID: 136351
Cite item
Full Text
Abstract
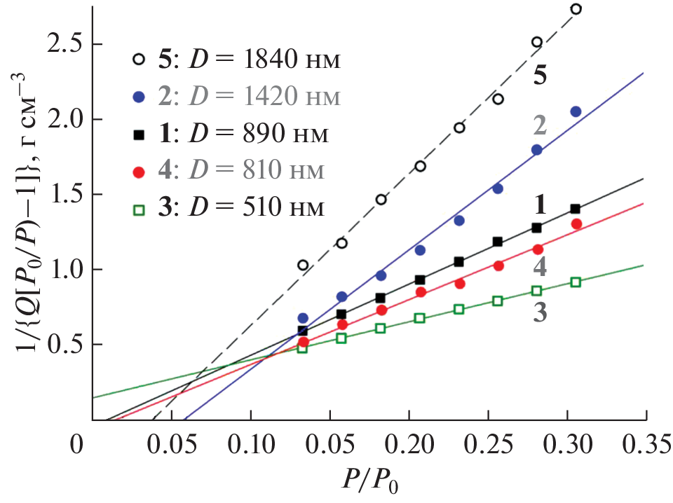
Silver sulfide powders with submicro- and micrometer particle sizes have been synthesized by the hydrothermal method at temperatures from 373 to 453 K in aqueous and alcoholic solutions of silver nitrate, sodium sulfide and citrate, sulfur, and thiocarbamide. The crystal structures of the synthesized powders, morphology, composition, and particle size of silver sulfide have been analyzed by X-ray diffraction, scanning electron microscopy, energy-dispersive X-ray analysis, and gas adsorption. The powder particles have a similar morphology in the form of rectangular parallelepipeds and cubes with smoothed edges; the size of the powder particles depends on the synthesis conditions and ranges from ~500 to 2000 nm.
About the authors
S. I. Sadovnikov
Institute of Solid-State Chemistry, Ural Branch, Russian Academy of Sciences
Author for correspondence.
Email: sadovnikov@ihim.uran.ru
620990, Yekaterinburg, Russia
References
- Sadovnikov S.I., Gusev A.I. // J. Mater. Chem. A. 2017. V. 5. № 34. P.17676. https://doi.org/10.1039/C7TA04949H
- Wang X., Yang S., Ma S. et al. // Catal. Sci. Technol. 2016. V. 6. № 1. P. 242. https://doi.org/10.1039/C5CY00787A
- Gao L., Li Z., Liu J. // RSC Adv. 2017. V. 7. № 44. P. 27515. https://doi.org/10.1039/C7RA03955G
- Yang Y., Ashraf M.A., Fakhri A. et al. // Spectrochim. Acta A. 2021. V. 249. P. 119324. 7 pp. https://doi.org/10.1016/j.saa.2020.119324
- Yang C., Li T., Guo Y. et al. // Spectrochim. Acta A. 2022. V. 273. P. 121048. https://doi.org/10.1016/j.saa.2022.121048
- Ren Z., Shen C., Yuan K. et al. // Mater. Today Commun. 2022. V. 31. P. 103719. https://doi.org/10.1016/j.mtcomm.2022.103719
- Igbal M.W., Faisal M.M., Hassan ul H. et al. // J. Energy Stor. 2022. V. 52. Part A. P. 104847. 8 pp. https://doi.org/10.1016/j.est.2022.104847
- Hassan H.U., Igbal M.W., Afzal A.M. et al. // Intern. J. Energy Res. 2022. V. 46. № 8. P. 11346. https://doi.org/10.1002/er.7932
- Li C.V., Ding S.-N. // Anal. Methods. 2015. V. 7. № 10. P. 4348. https://doi.org/10.1039/C5AY00685F
- Lim W.P., Zhang Z., Low H.Y. et al. // Angew. Chem. Int. Ed. 2004. V. 43. № 42. P. 5685. https://doi.org/10.1002/anie.200460566
- Wang X.B., Liu W.M., Hao J.C. et al. // Chem. Lett. 2005. V. 34. № 12. P. 1664. https://doi.org/10.1246/cl.2005.1664
- Dong L.H., Chu Y., Liu Y. // J. Colloid Interface Sci. 2008. V. 317. № 2. P. 485. https://doi.org/10.1016/j.jcis.2007.09.055
- Chen M.H., Gao L. // Mater. Lett. 2006. V.60. № 8. P. 1059. https://doi.org/10.1016/j.matlet.2005.10.077
- Zhang C.L., Zhang S.M., Yu L.G. et al. // Mater. Lett. 2012. V. 85. P. 77. https://doi.org/10.1016/j.matlet.2012.06.112
- Lv L.Y., Wang H. // Mater. Lett. 2014. V. 121. P. 105. https://doi.org/10.1016/j.matlet.2014.01.121
- Sadovnikov S.I., Gusev A.I., Rempel A.A. // Superlat. Microstr. 2015. V. 83. P. 35. https://doi.org/10.1016/j.spmi.2015.03.024
- Sadovnikov S.I., Gusev A.I., Chukin A.V. et al. // Phys. Chem. 2016. V. 18. № 6. P. 4617. https://doi.org/10.1039/c5cp07224g
- Kaowphong S. // J. Solid State Chem. 2012. V. 189. P. 108. https://doi.org/10.1016/j.jssc.2011.12.010
- Sadovnikov S.I. // Russ. J. Inorg. Chem. 2019. V. 64. № 10. P. 1309. https://doi.org/10.1134/S0036023619100115
- Khaleelullah M.M.S.I., Dheivasigamani T., Natarajan P. et al. // J. Cryst. Growth. 2017. V. 468. P. 119. https://doi.org/10.1016/j.jcrysgro.2016.10.081
- Chen Y., Liang Y., Li T. et al. // J. Colloid Interface Sci. 2019. V. 555. https://doi.org/10.1016/j.jcis.2019.08.026
- Munaro J., Dolceta P., Nappini S. et al. // Appl. Surf. Sci. 2020. V. 514. P. 145856. 9 pp. https://doi.org/10.1016/j.apsusc.2020.145856
- Sadovnikov S.I., Kozlova E.A., Gerasimov E.Yu. et al. // Int. J. Hydrogen. Energy. 2017. V. 42. № 40. P. 25258. https://doi.org/10.1016/j.ijhydene.2017.08.145
- Match! Version 1.10. Phase Identification from Powder Diffraction © 2003-2010 Crystal Impact.
- X’Pert HighScore Plus. Version 2.2e (2.2.5). PANalytical B. V. Almedo, the Netherlands.
- Brunauer S., Emmett P.H., Teller E. // J. Am. Chem. Soc. 1938. V. 60. № 2. P. 309. https://doi.org/10.1021/ja01269a023
- Sadovnikov S.I., Gusev A.I., Gerasimov E.Yu. et al. // Chem. Phys. Lett. 2015. V. 642. P. 17. http//doi.org/https://doi.org/10.1016/j.cplett.2015.11.004
- Greg S.J., Sing K.S.W. Adsorption, Surface Area and Porosity. London: Acad. Press, 1982. 304 p.
- http://webbook.nist.gov/chemistry/
- Perrott C.M., Fletcher N.H. // J. Chem. Phys. 1969. V. 50. № 6. P. 2344. https://doi.org/10.1063/1.1671386
- Thompson W.T., Flengas S.N. // Can. J. Chem. 1971. V. 49. № 9. P. 1550. https://doi.org/10.1139/v71-252
- Okazaki H., Takano A. // Z. Naturforsch. A. 1985. V. 40. № 10. P. 986. https://doi.org/10.1515/zna-1985-1004
- Grønvold F., Westrum E.F. // J. Chem. Thermodin. 1986. V. 18. № 4. P. 381. https://doi.org/10.1016/0021-9614(86)90084-4
Supplementary files







