Выделение из растворов концентрированных фракций компонентов в каскаде многоступенчатых экстракционных колонн методами рециркуляционной жидкостно-жидкостной хроматографии
- Авторы: Костанян А.Е.1, Царева Ю.В.1, Белова В.В.1
-
Учреждения:
- Институт общей и неорганической химии им. Н.С. Курнакова РАН
- Выпуск: Том 68, № 3 (2023)
- Страницы: 357-362
- Раздел: ФИЗИКОХИМИЯ РАСТВОРОВ
- URL: https://ogarev-online.ru/0044-457X/article/view/136337
- DOI: https://doi.org/10.31857/S0044457X22601468
- EDN: https://elibrary.ru/JDFBZF
- ID: 136337
Цитировать
Полный текст
Аннотация
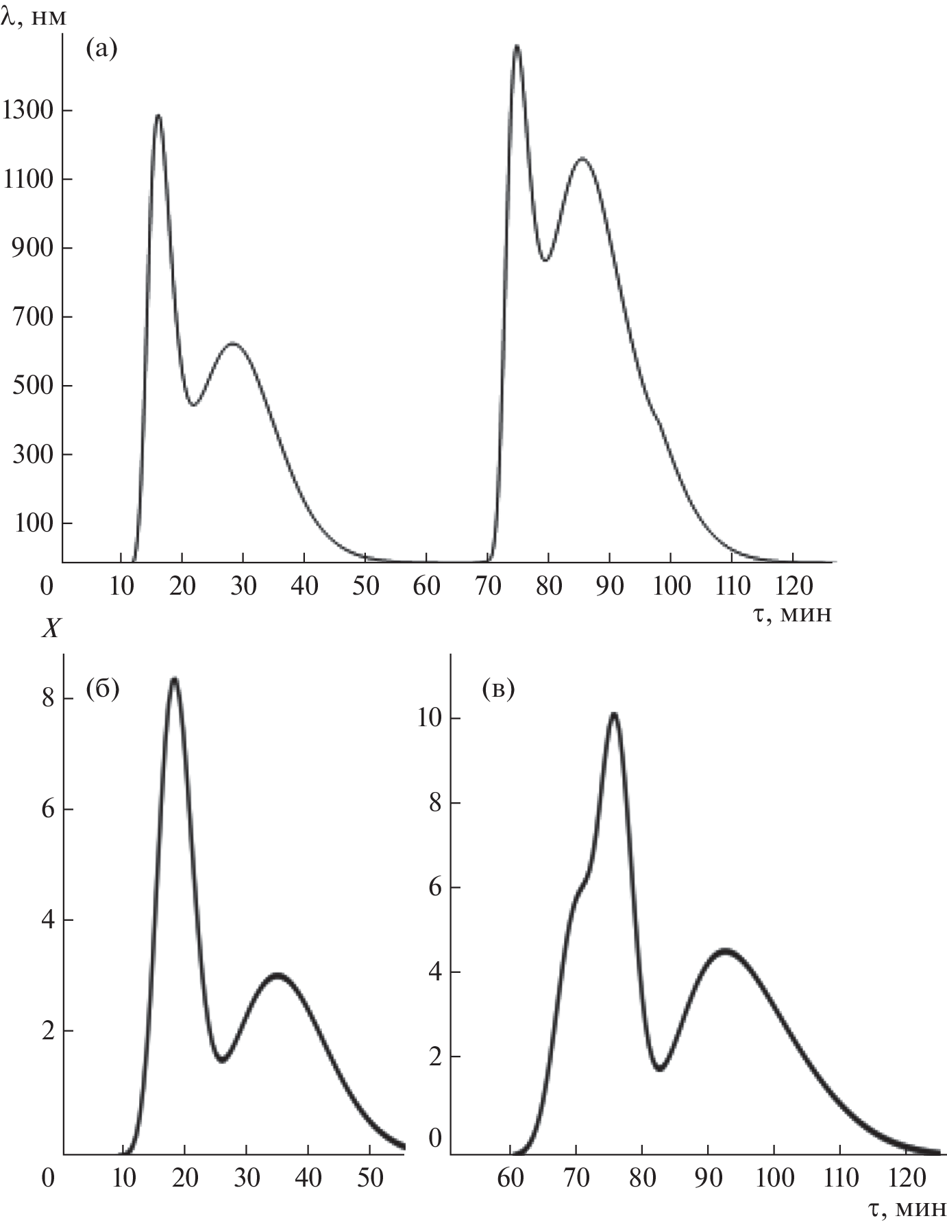
Приведены результаты экспериментального исследования процесса экстракционного выделения из растворов концентрированных фракций компонентов на установке, состоящей из пяти последовательно соединенных многоступенчатых экстракционных колонн, методом рециркуляционной жидкостно-жидкостной хроматографии при многократной загрузке в установку раствора разделяемых компонентов. Подтверждена адекватность ранее разработанной математической модели реальному процессу и справедливость полученных уравнений для моделирования и разработки различных вариантов рассматриваемых процессов разделения.
Об авторах
А. Е. Костанян
Институт общей и неорганической химии им. Н.С. Курнакова РАН
Email: kost@igic.ras.ru
Россия, 119991, Москва, Ленинский пр-т, 31
Ю. В. Царева
Институт общей и неорганической химии им. Н.С. Курнакова РАН
Email: kost@igic.ras.ru
Россия, 119991, Москва, Ленинский пр-т, 31
В. В. Белова
Институт общей и неорганической химии им. Н.С. Курнакова РАН
Автор, ответственный за переписку.
Email: kost@igic.ras.ru
Россия, 119991, Москва, Ленинский пр-т, 31
Список литературы
- Ito Y. // J. Chromatogr. A. 2005. V. 1065. P. 145. https://doi.org/10.1016/j.chroma.2004.12.044
- Conway W.D. // J. Chromatogr. A. 2011. V. 1218. P. 6015. https://doi.org/10.1016/j.chroma.2011.03.056
- Friesen J.B., Ahmed S., Pauli G.F. // J. Chromatogr. A. 2015. V. 1377. P. 55. https://doi.org/10.1016/j.chroma.2014.11.085
- Friesen J.B., McAlpine J.B., Chen S.-N., Pauli G.F. // J. Nat. Prod. 2015. V. 78. P. 1765. https://doi.org/10.1021/np501065h
- Huang X.-Y., Pei D., Liu J.-F., Di D.-L. // J. Chromatogr. A. 2018. V. 1531. P. 1. https://doi.org/10.1016/j.chroma.2017.10.073
- Li H., Zhang F., Jin Q., Zhu T. // J. Chromatogr. A. 2021. V. 1649. P. 462221. https://doi.org/10.1016/j.chroma.2021.462221
- Guilois-Dubois S., Guyot S., Poupard P. // J. Chromatogr. A. 2021. V. 1653. P. 462382. https://doi.org//10.1016/j.chroma.2021.462382
- He J.M., Huang J., Wu W.L., Mu Q. // J. Chromatogr. A. 2020. V. 1626. P. 461 368. https://doi.org//10.1016/j.chroma.2020.461368
- Yuan Y., He X., Wang T. et al. // Mar. Drugs. 2020. V. 18. P. 332. https://doi.org/10.3390/md18060332
- Jerz G., Winterhalter P. // J. Chromatogr. A. 2020. V. 1617. P. 460698. https://doi.org/10.1016/j.chroma.2019.460698
- Morley R., Minceva M. // J. Chromatogr. A. 2020. V. 1617. P. 460479. https://doi.org/10.1016/j.chroma.2019.460698
- Roehrer S., Minceva M. // Separations. 2019. V. 6. P. 36. https://doi.org/10.3390/separations6030036
- Wang C., Sun W., Wang X. et al. // J. Chromatogr. A. 2019. V. 1601. P. 266. https://doi.org/10.1016/j.chroma.2019.05.028
- Peng A., Hewitson P., Sutherland I. et al. // J. Chromatogr. A. 2018. V. 1580. P. 120. https://doi.org/10.1016/j.chroma.2018.10.012
- Friesen J.B., McAlpine J.B., Chen S.-N., Pauli G.F. // J. Chromatogr. A. 2017. V. 1520. P. 1. https://doi.org/10.1016/j.chroma.2017.08.077
- Ignatova S., Sutherland I. // J. Chromatogr. A. 2015. V. 1425. P. 1. https://doi.org/10.1016/j.chroma.2015.10.096
- Guan Y.H., Hewitson P., van den Heuvel R. et al. // J. Chromatogr. A. 2015. V. 1424. P. 102. https://doi.org/10.1016/j.chroma.2015.03.004
- Ma T., Dong H., Lu H. et al. // J. Chromatogr. A. 2018. V. 1578. P. 61. https://doi.org/10.1016/j.chroma.2018.10.014
- Jing J.-X., Muhire J., Sun X. et al. // J. Chromatogr. A. 2022. V. 1677. P. 463319. https://doi.org/10.1016/j.chroma.2022.463319
- Müller M., Wasmer K., Vetter W. // J. Chromatogr. A. 2018. V. 1556. P. 88. https://doi.org/10.1016/j.chroma.2018.04.069
- Goll J., Minceva M. // AIChE J. 2017. V. 63. P. 1659. https://doi.org/10.1002/AIC.15529
- Han Q.B., Song J.Z., Qiao C.F. et al. // J. Chromatogr. A. 2006. V. 1127. P. 298. https://doi.org/10.1016/j.chroma.2006.07.044
- Xie J., Deng J., Tan F., Su J. // J. Chromatogr. B. 2010. V. 878878. P. 2665. https://doi.org/10.1016/j.jchromb.2010.07.023
- Meng J., Yang Z., Liang J. et al. // J. Chromatogr. A. 2014. V. 1327. P. 27. https://doi.org/10.1016/j.chroma.2013.12.069
- Tong S., Guan Y.-X., Yan J. et al. // J. Chromatogr. A. 2011. V. 1218. P. 5434. https://doi.org/10.1016/j.chroma.2011.06.015
- Костанян А.Е. // Журн. неорган. химии. 2017. Т. 62. № 12. С. 1666.
- Галиева Ж.Н., Семенов А.А., Костанян А.Е., Алдушкин А.В. // Хим. технология. 2020. Т. 21. № 12. C. 565.
- Костанян А.Е., Царева Ю.В., Белова В.В., Телешова М.А. // Хим. технология. 2021. Т. 22. № 7. С. 330.
- Kostanyan A., Martynova M., Erastov A., Belova V. // J. Chromatogr. A. 2018. V. 1560. P. 26. https://doi.org/10.1016/j.chroma.2018.05.032
- Костанян А.Е., Царева Ю.В. // Хим. технология. 2022. Т. 23. № 11.
- Kocтaнян A.E., Martynova M. // J. Chromatogr. A. 2020. V. 1614. P. 460735. https://doi.org/10.1016/j.chroma.2019.460735
Дополнительные файлы







