Гидротермально-микроволновой синтез ортофосфатов церия(IV)-аммония (NH4)2Ce(PO4)2 ⋅ H2O и NH4Ce2(PO4)3
- Авторы: Тронев И.В.1,2, Шейченко Е.Д.1,2, Разворотнева Л.С.1,2, Труфанова Э.А.1,2, Минакова П.В.1,2, Козлова Т.О.1, Баранчиков А.Е.1, Иванов В.К.1,2
-
Учреждения:
- Институт общей и неорганической химии им. Н.С. Курнакова РАН
- Национальный исследовательский университет “Высшая школа экономики”
- Выпуск: Том 68, № 3 (2023)
- Страницы: 318-324
- Раздел: СИНТЕЗ И СВОЙСТВА НЕОРГАНИЧЕСКИХ СОЕДИНЕНИЙ
- URL: https://ogarev-online.ru/0044-457X/article/view/136328
- DOI: https://doi.org/10.31857/S0044457X22601869
- EDN: https://elibrary.ru/JEWBVV
- ID: 136328
Цитировать
Полный текст
Аннотация
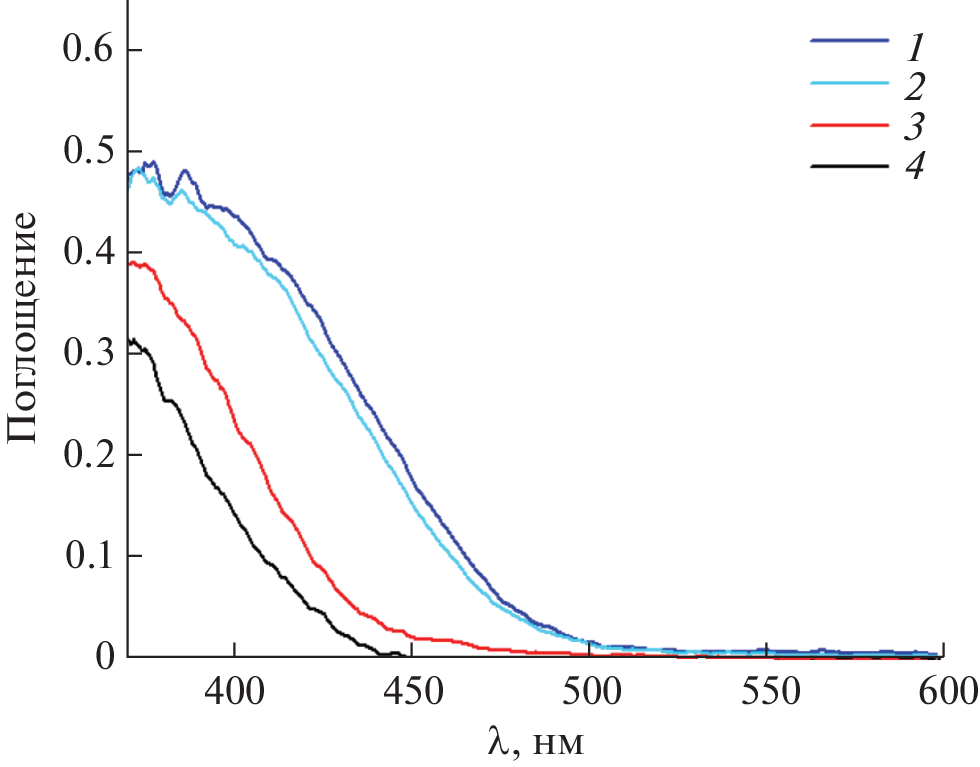
Проанализирована возможность получения кристаллических двойных ортофосфатов церия(IV) (NH4)2Ce(PO4)2 ⋅ H2O и NH4Ce2(PO4)3 в условиях гидротермального синтеза с одновременной микроволновой обработкой. Показано, что указанные ортофосфаты в однофазном состоянии могут быть получены в диапазоне температур 130–190°С при продолжительности синтеза ≥5 мин, при этом фазовый состав продуктов синтеза определяется мольным соотношением аммиака и ортофосфорной кислоты в реакционной смеси. Кратковременный (5 мин) низкотемпературный (130°С) гидротермальный синтез в условиях микроволнового воздействия приводит к получению (NH4)2Ce(PO4)2 ⋅ H2O и NH4Ce2(PO4)3 с размером частиц ~70 и ~200 нм соответственно. При более высоких температуре и продолжительности обработки (190°С и 24 ч) размер частиц указанных фаз увеличивается до ~200 и ~500 нм соответственно. Впервые определено значение оптической ширины запрещенной зоны для (NH4)2Ce(PO4)2 ⋅ H2O, составившее 2.8–3.1 эВ для непрямого и прямого переходов соответственно.
Ключевые слова
Об авторах
И. В. Тронев
Институт общей и неорганической химии им. Н.С. Курнакова РАН; Национальный исследовательский университет “Высшая школа экономики”
Email: van@igic.ras.ru
Россия, 119991, Москва, Ленинский пр-т, 31; Россия, 101000, Москва, ул. Мясницкая, 20
Е. Д. Шейченко
Институт общей и неорганической химии им. Н.С. Курнакова РАН; Национальный исследовательский университет “Высшая школа экономики”
Email: van@igic.ras.ru
Россия, 119991, Москва, Ленинский пр-т, 31; Россия, 101000, Москва, ул. Мясницкая, 20
Л. С. Разворотнева
Институт общей и неорганической химии им. Н.С. Курнакова РАН; Национальный исследовательский университет “Высшая школа экономики”
Email: van@igic.ras.ru
Россия, 119991, Москва, Ленинский пр-т, 31; Россия, 101000, Москва, ул. Мясницкая, 20
Э. А. Труфанова
Институт общей и неорганической химии им. Н.С. Курнакова РАН; Национальный исследовательский университет “Высшая школа экономики”
Email: van@igic.ras.ru
Россия, 119991, Москва, Ленинский пр-т, 31; Россия, 101000, Москва, ул. Мясницкая, 20
П. В. Минакова
Институт общей и неорганической химии им. Н.С. Курнакова РАН; Национальный исследовательский университет “Высшая школа экономики”
Email: van@igic.ras.ru
Россия, 119991, Москва, Ленинский пр-т, 31; Россия, 101000, Москва, ул. Мясницкая, 20
Т. О. Козлова
Институт общей и неорганической химии им. Н.С. Курнакова РАН
Email: van@igic.ras.ru
Россия, 119991, Москва, Ленинский пр-т, 31
А. Е. Баранчиков
Институт общей и неорганической химии им. Н.С. Курнакова РАН
Email: van@igic.ras.ru
Россия, 119991, Москва, Ленинский пр-т, 31
В. К. Иванов
Институт общей и неорганической химии им. Н.С. Курнакова РАН; Национальный исследовательский университет “Высшая школа экономики”
Автор, ответственный за переписку.
Email: van@igic.ras.ru
Россия, 119991, Москва, Ленинский пр-т, 31; Россия, 101000, Москва, ул. Мясницкая, 20
Список литературы
- Nazaraly M., Wallez G., Chanéac C. et al. // Angew. Chem. Int. Ed. 2005. V. 44. P. 5691. https://doi.org/10.1002/anie.200501871
- Nazaraly M., Wallez G., Chanéac C. et al. // J. Phys. Chem. Solids. 2006. V. 67. P. 1075. https://doi.org/10.1016/j.jpcs.2006.01.028
- Козлова Т.О., Баранчиков А.Е., Иванов В.К. // Журн. неорган. химии. 2021. Т. 66. № 12. С. 1647. https://doi.org/10.31857/s0044457x21120102
- Bevara S., Achary S.N., Patwe S.J. et al. // AIP Conf. Proc. 2016. V. 1731. P. 1. https://doi.org/10.1063/1.4948206
- Nazaraly M., Quarton M., Wallez G. et al. // Solid State Sci. 2007. V. 9. P. 672. https://doi.org/10.1016/j.solidstatesciences.2007.04.021
- Achary S.N., Bevara S., Tyagi A.K. // Coord. Chem. Rev. 2017. V. 340. № March. P. 266. https://doi.org/10.1016/j.ccr.2017.03.006
- Romanchuk A.Y., Shekunova T.O., Larina A.I. et al. // Radiochemistry. 2019. V. 61. № 6. P. 719. https://doi.org/10.1134/S1066362219060134
- Sato T., Li R., Sato C. et al. // Phosphorus Res. Bull. 2007. V. 21. P. 44. https://doi.org/10.3363/prb.21.44
- Sato T., Yin S. // Phosphorus Res. Bull. 2010. V. 24. P. 43. https://doi.org/10.3363/prb.24.43
- Sato T., Sato C., Yin S. // Phosphorus Res. Bull. 2008. V. 22. P. 17. https://doi.org/10.3363/prb.22.17
- Kozlova T.O., Popov A.L., Kolesnik I.V. et al. // J. Mater. Chem. B. 2022. V. 10. № 11. P. 1775. https://doi.org/10.1039/d1tb02604f
- Nazaraly M., Chanéac C., Ribot F. et al. // J. Phys. Chem. Solids. 2007. V. 68. P. 795. https://doi.org/10.1016/j.jpcs.2007.03.010
- Shekunova T.O., Istomin S.Y., Mironov A.V. et al. // Eur. J. Inorg. Chem. 2019. V. 2019. № 27. P. 3242. https://doi.org/10.1002/ejic.201801182
- Kozlova T.O., Mironov A.V., Istomin S.Y. et al. // Chem. A Eur. J. 2020. V. 26. № 53. P. 12188. https://doi.org/10.1002/chem.202002527
- Lai Y., Chang Y., Wong T. et al. // Inorg. Chem. 2013. V. 52. № 23. P. 13639.
- Salvado M.A., Pertierra P., Trobajo C. et al. // J. Am. Chem. Soc. 2007. V. 129. № 36. P. 10970.
- Shekunova T.O., Baranchikov A.E., Ivanova O.S. et al. // J. Non-Cryst. Solids. 2016. V. 447. P. 183. https://doi.org/10.1016/j.jnoncrysol.2016.06.012
- Zhu Y.J., Chen F. // Chem. Rev. 2014. V. 114. № 12. P. 6462. https://doi.org/10.1021/cr400366s
- Meng L.Y., Wang B., Ma M.G. et al. // Mater. Today Chem. 2016. V. 1–2. P. 63. https://doi.org/10.1016/j.mtchem.2016.11.003
- Moreira M.L., Mambrini G.P., Volanti D.P. et al. // Chem. Mater. 2008. V. 20. № 16. P. 5381. https://doi.org/10.1021/cm801638d
- Salvadó M.A., Pertierra P., Bortun A.I. et al. // Inorg. Chem. 2008. V. 47. № 16. P. 7207. https://doi.org/10.1021/ic800818c
- Petit S., Righi D., Madejová J. // Appl. Clay Sci. 2006. V. 34. № 1–4. P. 22. https://doi.org/10.1016/j.clay.2006.02.007
- Petit S., Righi D., Madejová J. et al. // Clay Miner. 1999. V. 34. P. 543.
- Kloprogge J.T., Broekmans M., Duong L.V. et al. // J. Mater. Sci. 2006. V. 41. № 11. P. 3535. https://doi.org/10.1007/s10853-005-5909-5
- Xu Y., Feng S., Pang W. et al. // Chem. Commun. 1996. № 11. P. 1305. https://doi.org/10.1039/CC9960001305
- Brandel V., Clavier N., Dacheux N. // J. Solid State Chem. 2005. V. 178. № 4. P. 1054. https://doi.org/10.1016/j.jssc.2005.01.005
- Skogareva L.S., Shekunova T.O., Baranchikov A.E. et al. // Russ. J. Inorg. Chem. 2016. V. 61. № 10. P. 1219. https://doi.org/10.1134/S0036023616100181
- Hadrich A., Lautie A., Mhiri T. et al. // Vib. Spectrosc. 2001. V. 26. P. 51.
- Yang G., Park S.-J. // Materials (Basel). 2019. V. 12. № 7. P. 1177. https://doi.org/10.3390/ma12071177
- Maksimov V.D., Meskin P.E., Churagulov B.R. // Inorg. Mater. 2007. V. 43. № 9. P. 988. https://doi.org/10.1134/S0020168507090142
- Zhou H., Zhang M., Kong S. et al. // Mater. Lett. 2016. V. 180. P. 239. https://doi.org/10.1016/j.matlet.2016.05.165
- Qi C., Zhu Y.-J., Sun T.-W. et al. // Chem. An Asian J. 2015. V. 10. № 11. P. 2503. https://doi.org/10.1002/asia.201500667
- Sakintuna B., Yürüm Y. // J. Porous Mater. 2010. V. 17. № 6. P. 727. https://doi.org/10.1007/s10934-009-9344-x
- Yu Y.-H., Chen Y.-P., Zeng M. et al. // Mater. Lett. 2016. V. 163. P. 158. https://doi.org/10.1016/j.matlet.2015.10.039
- Kolesnik I.V., Aslandukov A.N., Arkhipin A.S. et al. // Crystals. 2019. V. 9. № 7. P. 332. https://doi.org/10.3390/cryst9070332
Дополнительные файлы






