Комплексообразование железа(III) c барбитуровой и 2-тиобарбитуровой кислотами в водном растворе
- Авторы: Лакеев А.П.1,2, Коротченко Н.М.1, Курзина И.А.1
-
Учреждения:
- Национальный исследовательский Томский государственный университет
- Томский национальный исследовательский медицинский центр РАН, Научно-исследовательский институт фармакологии и регенеративной медицины им. Е.Д. Гольдберга
- Выпуск: Том 68, № 1 (2023)
- Страницы: 87-95
- Раздел: ФИЗИКОХИМИЯ РАСТВОРОВ
- URL: https://ogarev-online.ru/0044-457X/article/view/136310
- DOI: https://doi.org/10.31857/S0044457X22601171
- EDN: https://elibrary.ru/GVMHIC
- ID: 136310
Цитировать
Полный текст
Аннотация
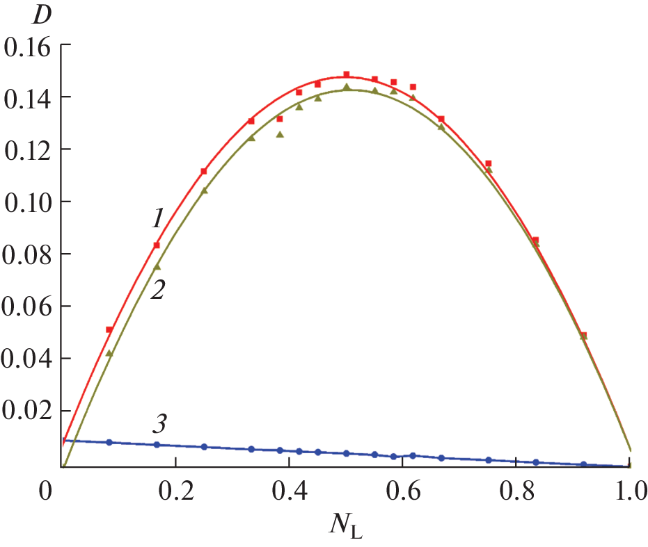
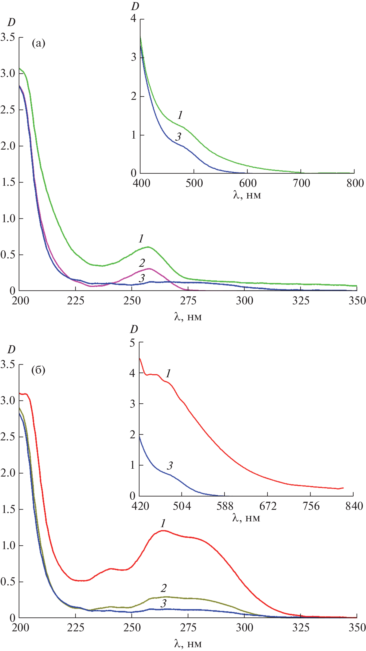
Методами спектрофотометрии и pH-метрии в диапазоне pH 1.3–3.3 (I = 0.1 (NaCl), t = 20°C) изучено комплексообразование в системах, содержащих хлорид железа(III) и барбитуровую (H2BA) или 2-тиобарбитуровую (H2TBA) кислоту. Установлено наличие комплексных частиц состава 1 : 1 как с моно-, так и с депротонированной формой лиганда, определены их константы устойчивости (в лог. ед.): 1[FeHBA]2+ (3.49 ± 0.15), [FeHTBA]2+ (2.69 ± 0.07), [FeBA]+ (12.22 ± 0.13) и [FeTBA]+ (11.05 ± 0.08). Показано, что более высокая термодинамическая устойчивость барбитуратных комплексов по сравнению с 2-тиобарбитуратными обусловлена бóльшей основностью барбитурат-аниона. На основании полученных величин констант устойчивости предложено использовать ортофосфат-, фторид- и этилендиаминтетраацетат-ионы для устранения мешающего влияния железа(III) при определении малонового диальдегида тиобарбитуратным методом. В практическом применении наиболее удобна ортофосфорная кислота, позволяющая как замаскировать железо(III), так и создать сильнокислую среду, необходимую для образования окрашенного аддукта “малоновый диальдегид–H2TBA”.
Об авторах
А. П. Лакеев
Национальный исследовательский Томский государственный университет; Томский национальный исследовательский медицинский центр РАН, Научно-исследовательский институт фармакологии и регенеративной медицины им. Е.Д. Гольдберга
Email: lakeevs@mail.ru
Россия, 634050, Томск, пр-т Ленина, 36; Россия, 634028, Томск, пр-т Ленина, 3
Н. М. Коротченко
Национальный исследовательский Томский государственный университет
Email: lakeevs@mail.ru
Россия, 634050, Томск, пр-т Ленина, 36
И. А. Курзина
Национальный исследовательский Томский государственный университет
Автор, ответственный за переписку.
Email: lakeevs@mail.ru
Россия, 634050, Томск, пр-т Ленина, 36
Список литературы
- Gao J., Zhou Q., Wu D. et al. // Clin. Chim. Acta. 2021. V. 513. P. 6. https://doi.org/10.1016/j.cca.2020.12.005
- Muckenthaler M.U., Rivella S., Hentze M.W. et al. // Cell. 2017. V. 168. № 3. P. 344. https://doi.org/10.1016/j.cell.2016.12.034
- Balla J., Jeney V., Varga Z. et al. // Acta Physiol. Hung. 2007. V. 94. № 1–2. P. 95. https://doi.org/10.1556/APhysiol.94.2007.1-2.9
- Пальцев М.А., Кукес В.Г., Фисенко В.П. Молекулярные механизмы взаимодействия лекарственных средств. М.: АстраФармСервис, 2004. 224 с.
- Mahmudov K.T., Kopylovich M.N., Maharramov A.M. et al. // Coord. Chem. Rev. 2014. V. 265. P. 1. https://doi.org/10.1016/j.ccr.2014.01.002
- Shafiq N., Arshad U., Zarren G. et al. // Curr. Org. Chem. 2020. V. 24. № 2. P. 129. https://doi.org/10.2174/1385272824666200110094457
- Головнев Н.Н., Молокеев М.С. 2-Тиобарбитуровая кислота и ее комплексы с металлами: синтез, структура и свойства. Красноярск: Сиб. федер. ун-т. 2014. 245 с.
- Lee J.-H., Lee S., Park M.Y. et al. // Virol. J. 2011. V. 8. Article 18. https://doi.org/10.1186/1743-422X-8-18
- Balas V.I., Verginadis I.I., Geromichalos G.D. et al. // Eur. J. Med. Chem. 2011. V. 46. № 7. P. 2835. https://doi.org/10.1016/j.ejmech.2011.04.005
- Lee S.Y., Slagle-Webb B., Sharma A.K. et al. // Anticancer Res. 2020. V. 40. № 11. P. 6039. https://doi.org/10.21873/anticanres.14625
- Suzuki O., Watanabe K. Drugs and poisons in humans. Heidelberg: Springer-Verlag. 2005. 672 p. https://doi.org/10.1007/3-540-27579-7
- Zeb A., Ullah F. // J. Anal. Methods Chem. 2016. V. 2016. Art. 1. https://doi.org/10.1155/2016/9412767
- Korotchenko N.M., Skorik N.A. // Russ. J. Inorg. Chem. 2000. V. 45. № 12. P. 2099. [Коротченко Н.М., Скорик Н.А. // Журн. неорган. химии. 2000. Т. 45. № 12. С. 2099.]
- Refat M.S., El-Korashy S.A., Ahmed A.S. // Spectrochim. Acta, Part A: Mol. Biomol. Spectrosc. 2008. V. 71. № 3. P. 1084. https://doi.org/10.1016/j.saa.2008.03.001
- Zaki Z.M., Mohamed G.G. // Spectrochim. Acta, Part A: Mol. Biomol. Spectrosc. 2000. V. 56A. № 7. P. 1245. https://doi.org/10.1016/S1386-1425(99)00225-5
- Lakeev A.P., Korotchenko N.M. // Russ. J. Inorg. Chem. 2020. V. 65. № 8. P. 1232. [Лакеев А.П., Коротченко Н.М. // Журн. неорган. химии. 2020. Т. 65. № 8. С. 1105.] https://doi.org/10.1134/S0036023620080082
- Глущенко Н.Н., Плетенева Т.В., Попков В.А. Фармацевтическая химия. М.: Академия, 2004. 384 с.
- Morelli B. // Analyst. 1983. V. 108. P. 870. https://doi.org/10.1039/AN9830800870
- Singh B.R., Jain R.K., Jain M.K. et al. // Thermochim. Acta. 1984. V. 78. № 1–3. P. 175. https://doi.org/10.1016/0040-6031(84)87144-0
- Wills E.D. // Biochim. Biophys. Acta. 1964. V. 84. № 4. P. 475. https://doi.org/10.1016/0926-6542(64)90016-2
- Zhou L., Sorenson J.R.J. // J. Inorg. Biochem. 1998. V. 72. № 3–4. P. 217. https://doi.org/10.1016/S0162-0134(98)10083-1
- Senthilkumar M., Amaresan N., Sankaranarayanan A. Plant-microbe interactions: Laboratory techniques. N.Y.: Springer Science + Business Media, 2021. 296 p. https://doi.org/10.1007/978-1-0716-1080-0
- Weitner T., Inić S., Jablan J. et al. // Croat. Chem. Acta. 2016. V. 89. № 1. P. 133. https://doi.org/10.5562/cca2902
- Muñoz A.H.S., Puga M.P., Wrobel K. et al. // Microchim. Acta. 2004. V. 148. № 3–4. P. 285. https://doi.org/10.1007/s00604-004-0276-5
- Шварценбах Г., Флашка Г. Комплексонометрическое титрование. М.: Химия, 1970. 360 с.
- Türkel N., Aksoy M.S. // Int. J. Anal. Chem. 2014. V. 2014. P. 1. https://doi.org/10.1155/2014/243175
- Костромина Н.А., Кумок В.Н., Скорик Н.А. Химия координационных соединений. М.: Высшая школа, 1990. 432 с.
- Скорик Н.А., Чернов Е.Б. Расчеты с использованием персональных компьютеров в курсе химии комплексных соединений. Томск: ТГУ, 2009. 92 с. https://vital.lib.tsu.ru/vital/access/manager/Repository/vtls:000398727 (23.08.2022)
- Киселев Ю.М., Добрынина Н.А. Химия координационных соединений. М.: Академия, 2007. 352 с.
- Костромина Н.А., Кумок В.Н., Скорик Н.А. Химия координационных соединений. М.: Высшая школа, 1990. 432 с.
- Кумок В.Н. Закономерности в устойчивости координационных соединений в растворах. Томск: ТГУ, 1977. 230 с.
- Sillén L.G., Martell A.E. Stability constants of metal-ion complexes. Pt. 3 (2). L.: Chemical Society, 1964. 865 p.
- Djurdjević P. // Transit. Met. Chem. 1990. V. 15. P. 345. https://doi.org/10.1007/BF01177459
- Djurdjević P., Jelić R. // Transit. Met. Chem. 1993. V. 18. P. 457. https://doi.org/10.1007/BF00136603
- Djurdjević P., Jelić R. // Transit. Met. Chem. 1997. V. 22. P. 284. https://doi.org/10.1023/A:1018476810838
- Field T.B., McCourt J.L., McBryde A.E. // Can. J. Chem. 1974. V. 52. № 17. P. 3119. https://doi.org/10.1139/v74-458
- Yavuz T., Pelit L. // Turk. J. Chem. 2020. V. 44. № 2. P. 435. https://doi.org/10.3906/kim-1909-10
- Yuchi A., Hotta H., Wada H. et al. // Bull. Chem. Soc. Jpn. 1987. V. 60. № 4. P. 1379. https://doi.org/10.1246/bcsj.60.1379
- Al-Sogair F., Marafie H.M., Shuaib N.M. et al. // J. Coord. Chem. 2002. V. 55. № 9. P. 1097. https://doi.org/10.1080/0095897021000010053
Дополнительные файлы







