Исследование межмолекулярных взаимодействий в бинарных системах бутилацетат–дибутилфталат и бутилацетат–диоктилфталат
- Authors: Полевщиков Д.И.1, Лоскутов В.В.1
-
Affiliations:
- Марийский государственный университет
- Issue: Vol 98, No 12 (2024)
- Pages: 77-86
- Section: PHYSICAL CHEMISTRY OF SOLUTIONS
- Submitted: 30.03.2025
- Accepted: 30.03.2025
- Published: 15.12.2024
- URL: https://ogarev-online.ru/0044-4537/article/view/285589
- DOI: https://doi.org/10.31857/S0044453724120125
- EDN: https://elibrary.ru/ENZSOS
- ID: 285589
Cite item
Full Text
Abstract
Исследование межмолекулярных взаимодействий в системах бутилацетат–дибутилфталат и бутилацетат–диоктилфталат показало, что отклонения свойств от идеальной смеси уменьшаются с повышением температуры, за исключением избыточного объема. Результаты указывают на присутствие значительных ван-дер-ваальсовых сил и подтверждают влияние размеров молекул на свойства бинарных смесей. Экспериментальные данные о плотности, показателе преломления, вязкости, избыточном молярном объеме и других свойствах представлены для систем и чистых веществ.
Keywords
Full Text
ВВЕДЕНИЕ
Дибутилфталат (ДБФ) – C6H4(COOC4H9)2 и ди-(2-этилгексил)-фталат, также известный как диоктилфталат (ДОФ) – C6H4(COOC8H17)2 являются обширно используемыми жидкими пластификаторами, обладающие общей формулой C6H4(COOR)2. где R-углеводородный радикал. Эфиры фталевой кислоты, такие как ДБФ и ДОФ, обладают рядом характеристик, которые делают их широкодоступными и подходящими для использования с полимерами: они нетоксичны, бесцветны и имеют широкий диапазон термодинамических свойств [1], благодаря этому, фталаты используются в различных направлениях индустрии. Особо широкое применение находят эфиры с высокой молекулярной массой при производстве многочисленных полимерных материалов, в частности при обработке поливинилхлорида [2], клеев [3], пленочных покрытий на основе целлюлозы [3, 4]. Бутилацетат (БА) также играет важную роль в полимерной индустрии в качестве растворителя, благодаря его способности эффективно растворять широкий спектр полимеров и смол, при этом обладая относительно низкой токсичностью и хорошей испаряемости. В частности, в производстве металлокерамических корпусов для микроэлектроники смесь бутилацетата как растворителя для нитроцеллюлозы или этилцеллюлозы и ДБФ или ДОФ как пластификатора используется в приготовлении паст сослоения и металлизационных паст.
Пластификаторы являются необходимыми добавками к полимерным материалам для уменьшения их вязкости, трения, а также увеличения гибкости, обрабатываемости, прочности. Они действуют наподобие смазочного материала, понижая межмолекулярное взаимодействие полимерных цепей между собой [5]. Воздействие пластификаторов на полимерные материалы широко варьируется и зависит от нескольких факторов, включая тип используемого пластификатора, его свойств и концентрации, вид модифицируемого полимера. Именно ДБФ и ДОФ, за счет их доступности, а также их соответствия общим требованиям к пластификаторам чаще всего применяются в производстве [6–9].
Экспериментальные данные о термодинамических свойствах смесей органических жидкостей используются в качестве качественного и количественного руководства для понимания молекулярных взаимодействий между компонентами смеси, расширения теоретических моделей, а также в обрабатывающей промышленности. Учитывая, что такие молекулы зачастую полярные, большое значение имеют избыточные свойства бинарных смесей пластификаторов и растворителей, демонстрирующие отклонение от свойств идеального раствора, такие как избыточный объем, отклонение показателя преломления, отклонение вязкости и т. д. Эти свойства предоставляют ценную информацию о взаимодействиях и совместимости между пластификатором и растворителем, которые могут непосредственно влиять на поведение полимерного материала. Избыточные свойства могут быть использованы для лучшего подбора смеси пластификатор–растворитель и адаптации свойств получаемого полимерного материала. Понимая эти отклонения свойства и оптимизируя их, можно добиться лучшей дисперсии, улучшенных механических характеристик, оптических свойств и общей совместимости между пластификатором, растворителем и полимером. Например, избыточный объем – это мера отклонения объема, наблюдаемого при смешивании пластификатора и растворителя вместе, по сравнению с их отдельными объемами. Он отражает изменения в расположении молекул и межмолекулярных силах при смешивании. Избыточный объем может указывать на то, происходит ли сжатие или расширение смеси, что может иметь последствия для общей морфологии полимера и его механических свойств.
Вышеописанные причины придают исследовательским работам, изучающим свойства ДБФ и ДОФ, особую актуальность. Несмотря на это, в существующей литературе недостаточно информации о свойствах бинарных растворов ДБФ и ДОФ с растворителями, используемых для полимеров [10–12]. Установление концентрационной и температурной зависимости физических свойств бинарных растворов ДБФ и ДОФ имеет важное практическое значение для дальнейшего использования этих пластификаторов.
Данное исследование имеет целью углубить знания о характере взаимодействий между растворителем и пластификаторами, что позволит более тщательно подходить к обработке полимеров. Полученные результаты могут быть полезны для разработки новых методов анализа и контроля качества бинарных растворов ДБФ и ДОФ с растворителями, а также для оптимизации их использования в промышленности. Основные задачи данной работы заключаются в измерении физических свойств систем бутилацетат–дибутилфталат и бутилацетат–диоктилфталат в температурном диапазоне от 288 до 308 K, последующем анализе вероятных отклонений свойств от идеального раствора и предоставлении результатов для возможного применения на практике.
В данной работе описаны экспериментальные значения плотности, показателя преломления, вязкости, избыточного молярного объема, отклонения показателя преломления, отклонения вязкости коэффициента объемного расширения, молекулярной рефракции и ее отклонения для бинарных смесей ДБФ и ДОФ с растворителем БА, а также чистых жидкостей, в полном диапазоне соотношения мольных долей компонентов в температурном интервале 288–308 К.
ЭКСПЕРИМЕНТАЛЬНАЯ ЧАСТЬ
БА, ДБФ и ДОФ (Ekos-1) с чистотой более 99% от массовой доли и использовались без дополнительной очистки. Чистота чистого компонента была установлена путем сравнения плотностей, вязкостей и показателя преломления с соответствующими значениями, приведенными в литературе.
Анализируемые бинарные смеси БА–ДБФ и БА–ДОФ были приготовлены по массе, используя электронные аналитические весы Vibra (с точностью ±0.0001 грамм). Соответствующая точность расчета мольной доли исследуемого компонента составляет ±0.0001.
Плотности чистых жидкостей и жидких смесей измерялись вибрационным плотномером Termex VIP-2MP. Работа плотномеров основана на измерении периода резонансных колебаний U-образной трубки, заполненной исследуемой жидкостью. По измеренному значению периода колебаний вычисляется плотность исследуемой жидкости. Благодаря малой амплитуде колебаний капилляра измерительной ячейки, вязкость измеряемой жидкости, если она не превышает допустимую, не оказывает заметного влияния на показания прибора. Плотномер обладает встроенным термостатом для поддержания необходимой температуры в рассматриваемом интервале. Перед каждой серией измерений плотномер калибровался с использованием сухого воздуха и дважды дистиллированной дегазированной воды при атмосферном давлении.
Вязкость измерялась с помощью синусоидального вибрационного вискозиметра SV-10. Ячейка измерения вискозиметра соединена с жидкостным термостатом. Определить температуру измеряемой жидкости позволяет встроенный термодатчик. Вискозиметр калибровался при помощи дважды дистиллированной дегазированной воды.
Показатель преломления был измерен с помощью рефрактометра ИРФ-454Б2M в режиме термостатирования.
ОБСУЖДЕНИЕ РЕЗУЛЬТАТОВ
Плотность и избыточный молярный объем. Согласно полученным данным в рассматриваемом диапазоне температур зависимости плотности от температуры являются линейными. Данные температурные зависимости отображены в табл. 1 и могут быть описаны уравнением
,
где αρ – коэффициент температурной зависимости плотности, ρ0 – плотность при 273 K.
Таблица 1. Плотность смесей (г/см3) БА–ДБФ и БА–ДОФ от мольной доли ДБФ (xDBP) и ДОФ (xDOP) в диапазоне температур 288–308 К
xDBP | БА–ДБФ | ||||
288 K | 293 K | 298 K | 303 K | 308 K | |
0 | 0.8864 | 0.8813 | 0.8761 | 0.8709 | 0.8657 |
0.1099 | 0.9202 | 0.9153 | 0.9105 | 0.9057 | 0.9009 |
0.2176 | 0.9473 | 0.9426 | 0.9379 | 0.9332 | 0.9284 |
0.3215 | 0.9684 | 0.9639 | 0.9593 | 0.9547 | 0.9502 |
0.4101 | 0.9839 | 0.9795 | 0.9750 | 0.9705 | 0.9660 |
0.5176 | 1.0002 | 0.9958 | 0.9914 | 0.9870 | 0.9826 |
0.6115 | 1.0123 | 1.0080 | 1.0037 | 0.9994 | 0.9951 |
0.7094 | 1.0235 | 1.0193 | 1.0151 | 1.0108 | 1.0066 |
0.8039 | 1.0331 | 1.0289 | 1.0247 | 1.0206 | 1.0164 |
0.9056 | 1.0427 | 1.0382 | 1.0341 | 1.0299 | 1.0258 |
1 | 1.0498 | 1.0457 | 1.0417 | 1.0376 | 1.0335 |
xDOP | БА–ДОФ | ||||
0 | 0.8865 | 0.8813 | 0.8761 | 0.8708 | 0.8660 |
0.1003 | 0.9126 | 0.9078 | 0.9030 | 0.8981 | 0.8937 |
0.1995 | 0.9309 | 0.9264 | 0.9218 | 0.9172 | 0.9130 |
0.3006 | 0.9448 | 0.9404 | 0.9360 | 0.9316 | 0.9275 |
0.4012 | 0.9553 | 0.9511 | 0.9469 | 0.9426 | 0.9386 |
0.5021 | 0.9637 | 0.9596 | 0.9555 | 0.9513 | 0.9475 |
0.6025 | 0.9704 | 0.9665 | 0.9624 | 0.9584 | 0.9546 |
0.6987 | 0.9758 | 0.9719 | 0.9679 | 0.9640 | 0.9603 |
0.7885 | 0.9801 | 0.9763 | 0.9723 | 0.9685 | 0.9648 |
0.8967 | 0.9845 | 0.9807 | 0.9769 | 0.9731 | 0.9694 |
1 | 0.9881 | 0.9844 | 0.9806 | 0.9768 | 0.9732 |
Избыточный молярный объем – разность между реальным и идеальным объемом (который соответствует сумме объемов чистых компонентов) в смеси химических веществ, возникающий в результате взаимодействия молекул разных компонентов между собой. Избыточный молярный объем VE может быть определен как
.
Здесь Vm – молярный объем смеси, и – молярные объемы чистых жидкостей, x – мольная доля. Значение VE было получено из экспериментальных данных, используя уравнение:
,
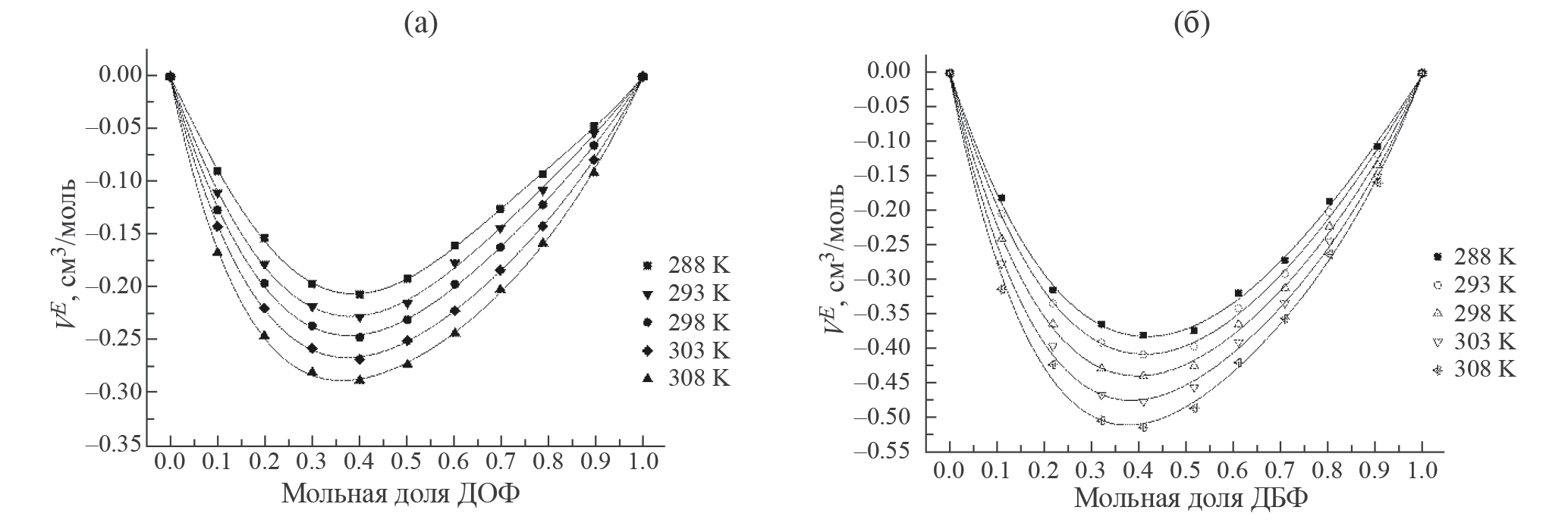
где xi, Mi и ρi – мольная доля, молекулярная масса и плотность соответствующих компонентов (i = 1 – ДБФ/ДОФ, i = 2 – БА, представляют собой смеси), rm – плотности смеси. Полученные значения избыточного объема VE для смесей при постоянных температурах показаны на рис. 1.
Рис. 1. Концентрационные зависимости избыточного объема VE от мольной доли в смесях БА–ДБФ (а) и БА–ДОФ (б) при разных температурах.
Бинарные смеси БА–ДБФ и БА–ДОФ демонстрируют отрицательные отклонения VE во всем диапазоне концентраций, сопровождающиеся увеличением отклонения от идеальности с повышением температуры. Минимальные значения VE находятся в диапазоне от 0.3 до 0.4 мольных долей ДБФ и ДОФ, причем можно отметить небольшое смещение положения минимума в сторону меньших концентраций с увеличением размера молекул фталата.
Зависимость VE от состава бинарных смесей может быть объяснена как баланс между положительными и отрицательными вкладами изменение объема смеси. Когда две или более молекулы образуют раствор, их связанные состояния чувствительны к природе межмолекулярных сил между ними. Наблюдаемое значение VE может быть количественно объяснено путем рассмотрения следующих факторов, влияющих на функцию: взаимное разрушение ассоциаций, присутствующих в чистых жидкостях; образование слабых связей в результате диполь-дипольного или диполь-индуцированного дипольного взаимодействия между разноименными молекулами; геометрическая совместимость молекул компонентов. Первый фактор обычно вносит положительный вклад в VE, в то время как последние два фактора способствуют отрицательным вкладам. Отрицательные значения для двойных систем во всем диапазоне мольных долей исследуемых компонентов дают понять, что между этими разноименными молекулами возможны взаимодействия диполь-дипольного типа.
Коэффициент изобарного расширения. Изобарный коэффициент расширения жидкости bP характеризует изменение объема исследуемых смесей в зависимости от температуры:
,
где Vm – молярный объем. Коэффициент bP монотонно уменьшается с уменьшением концентрации БА в смесях. Значения βP были найдены графически из зависимости ln ρ = f (T), причем можно отметить, что в рассматриваемом диапазоне температур зависимость ln ρ от Т является линейной, т. е. βP не зависит от температуры. Относительная погрешность определения коэффициента βP не превышала 2%. Полученные коэффициенты приведены в табл. 2.
Таблица 2. Коэффициент объемного расширения βP смесей БА–ДБФ и БА–ДОФ при различных концентрациях ДБФ (xDBP) и ДОФ (xDOP)
ДБФ | ДОФ | ||
xDBP | bP·103, 1/K | xDOP | bP·103, 1/K |
0 | 1.1800 | 0 | 1.1800 |
0.1099 | 1.0700 | 0.1003 | 1.0700 |
0.2176 | 1.0000 | 0.1995 | 0.98063 |
0.3215 | 0.9507 | 0.3006 | 0.923298 |
0.4101 | 0.9163 | 0.4012 | 0.879801 |
0.5176 | 0.8849 | 0.5021 | 0.852883 |
0.6115 | 0.8613 | 0.6025 | 0.834137 |
0.7094 | 0.8354 | 0.6987 | 0.810904 |
0.8039 | 0.8114 | 0.7885 | 0.795699 |
0.9056 | 0.7953 | 0.8967 | 0.781358 |
1 | 0.7853 | 1 | 0.767826 |
Показатель преломления и молекулярная рефракция. Для каждой из исследуемых систем были измерены показатели преломления nD в температурном диапазоне 288–303 K. Полученные значения показателя преломления для всего концентрационного диапазона смесей БА–ДБФ и БА–ДОФ представлены в табл. 3.
Таблица 3. Зависимость коэффициента преломления смеси БА–ДБФ и БА–ДОФ от мольной доли ДБФ и ДОФ в диапазоне температур от 288 до 303 K
ДБФ | ДОФ | ||||||||
xDBP | nD | xDOP | nD | ||||||
288 K | 293 K | 298 K | 303 K | 288 K | 293 K | 298 K | 303 K | ||
0 | 1.3970 | 1.3947 | 1.3924 | 1.3901 | 0 | 1.3970 | 1.3947 | 1.3924 | 1.3901 |
0.1099 | 1.4175 | 1.4152 | 1.4130 | 1.4108 | 0.1003 | 1.4204 | 1.4182 | 1.4159 | 1.4137 |
0.2011 | 1.4313 | 1.4290 | 1.4268 | 1.4246 | 0.1999 | 1.4370 | 1.4348 | 1.4326 | 1.4304 |
0.3215 | 1.4462 | 1.4439 | 1.4417 | 1.4395 | 0.3006 | 1.4493 | 1.4472 | 1.4450 | 1.4429 |
0.403 | 1.4547 | 1.4525 | 1.4503 | 1.4481 | 0.4012 | 1.4588 | 1.4567 | 1.4546 | 1.4525 |
0.5176 | 1.4649 | 1.4628 | 1.4606 | 1.4585 | 0.5021 | 1.4663 | 1.4642 | 1.4622 | 1.4601 |
0.6135 | 1.4721 | 1.4700 | 1.4679 | 1.4658 | 0.6025 | 1.4723 | 1.4703 | 1.4683 | 1.4663 |
0.7093 | 1.4788 | 1.4767 | 1.4746 | 1.4726 | 0.6987 | 1.4772 | 1.4752 | 1.4732 | 1.4713 |
0.8039 | 1.4844 | 1.4823 | 1.4803 | 1.4783 | 0.7885 | 1.4810 | 1.4791 | 1.4771 | 1.4752 |
0.9056 | 1.4898 | 1.4877 | 1.4857 | 1.4837 | 0.8967 | 1.4850 | 1.4830 | 1.4811 | 1.4792 |
1 | 1.4941 | 1.4921 | 1.4901 | 1.4880 | 1 | 1.4881 | 1.4862 | 1.4843 | 1.4824 |
Отклонение значений показателя преломления смеси было рассчитано по согласно уравнению:
,
где nD – показатель преломления смеси при данной температуре, nDi – показатель преломления чистого компонента смеси при данной температуре, xi – мольная доля компонента в смеси.
В табл. 4 представлены полученные значения ΔnD при различных температурах и концентрациях ДБФ и ДОФ. Все анализируемые смеси обладают положительным отклонением коэффициентов преломления, а их максимумы лежат в пределах от 0.3 до 0.4 мольных долях ДБФ и ДОФ, при этом наблюдается более сильное отклонение в смеси БА + ДОФ. Положительное отклонение показателя преломления может быть связано с увеличением поляризации молекул в смесях. Это может быть следствием образования диполь-дипольных взаимодействий или других межмолекулярных сил, которые увеличивают эффективный показатель преломления в сравнении с линейным соотношением.
Таблица 4. Значения отклонение показателя преломления ΔnD для смесей БА–ДБФ и БА–ДОФ
xDBP | БА–ДБФ | |||
288 K | 293 K | 298 K | 303 K | |
0 | 0 | 0 | 0 | 0 |
0.1099 | 0.00978 | 0.00979 | 0.00985 | 0.00991 |
0.2176 | 0.01476 | 0.01473 | 0.01474 | 0.01477 |
0.3215 | 0.01796 | 0.01793 | 0.01794 | 0.01794 |
0.4101 | 0.01854 | 0.01851 | 0.01851 | 0.0185 |
0.5176 | 0.01768 | 0.01767 | 0.01767 | 0.01768 |
0.6135 | 0.01557 | 0.01558 | 0.01559 | 0.01561 |
0.7093 | 0.01293 | 0.01293 | 0.01298 | 0.01298 |
0.8039 | 0.00934 | 0.00935 | 0.00938 | 0.00941 |
0.9056 | 0.00485 | 0.00487 | 0.00489 | 0.00492 |
1 | 0 | 0 | 0 | 0 |
xDOP | БА–ДОФ | |||
0 | 0 | 0 | 0 | 0 |
0.1003 | 0.01427 | 0.0143 | 0.01431 | 0.01432 |
0.1999 | 0.02172 | 0.02176 | 0.02179 | 0.02181 |
0.3006 | 0.02491 | 0.02496 | 0.02498 | 0.02503 |
0.4012 | 0.02519 | 0.02524 | 0.02528 | 0.02533 |
0.5021 | 0.02352 | 0.02358 | 0.02363 | 0.02366 |
0.6025 | 0.02044 | 0.02051 | 0.02057 | 0.02062 |
0.6987 | 0.01652 | 0.01658 | 0.01662 | 0.01667 |
0.7885 | 0.01219 | 0.01223 | 0.01228 | 0.01233 |
0.8967 | 0.00628 | 0.00629 | 0.00632 | 0.00635 |
1 | 0 | 0 | 0 | 0 |
Одна задач, возникающих при анализе смесей, является получение работоспособных уравнений для прогнозирования состава с учетом существующих правил смешивания для показателя преломления. С этой целью тщательно пересматриваются имеющиеся, в основном прогнозирующие, правила смешивания показателя преломления смесей. Для оценки предсказательной способности соответствующих уравнений рассмотрены различные эмпирические и полуэмпирические уравнения, степень применимости восьми из которых была рассмотрена в данной работе:
Араго–Био [13]:
, (1)
Гладстон–Дэйл [14]:
, (2)
Лоренц–Лоренц:
, (3)
Эйкман [15]:
, (4)
Винер [16]:
, (5)
Ньютон [17]:
, (6)
Остер [18]:
, (7)
Эйринг–Джон [19]:
, (8)
где n – показатель преломления смеси, n1, n1 – показатели преломления чистых компонентов, φ1, φ2 – объемный доли компонентов.
На основании уравнений (1)–(8) были рассчитаны теоретические значения показателя преломления при 288 K, а затем их отклонения от реальных значений, показанных на рис. 2.
Рис. 2. Концентрационные зависимости отклонения показателя преломления ΔnD для различных схем смешения согласно уравнениям (1)–(8) при 288 K для смесей БА–ДБФ (а) и БА–ДОФ (б).
Анализ данных, представленных в табл. 4 и на рис. 2 можно заметить, что большинство значений отклонений этих уравнений между собой хорошо согласуются, в то же время наиболее близкими к экспериментальным значениям, являются модели смещения Эйкмана (4) и Остера (7). Представление отклонения показателя преломления как функции объемных долей позволяет провести более корректную физическую интерпретацию [20–22].
Молекулярная рефракция Rm – это величина, характеризующая способность вещества взаимодействовать со светом. Эта величина прямо пропорциональна числу молекул вещества и их поляризуемости. Молекулярная рефракция является интенсивной физико-химической характеристикой, не зависящей от массы вещества. Молекулярная рефракция определяется как:
, (9)
где NA – постоянная Авогадро и α – поляризуемость молекул. Согласно модели Лоренца–Лоренца, показатель преломления n связан с поляризуемостью согласно уравнению
, (10)
где М – молекулярная масса вещества, ρ – его плотность. Объединяя уравнения (9), (10), для молекулярной рефракции можно записать уравнение
.
Полученные значения молекулярной рефракции отображены в табл. 5.
Таблица 5. Молекулярная рефракция (Rm, мл3/моль), рассчитанная в рамках модели Лоренца-Лоренца при разных значениях от мольной доли ДБФ и ДОФ в исследуемом температурном диапазоне
xDBP | ДБФ | |||
288 K | 293 K | 298 K | 303 K | |
0 | 31.55919 | 31.57791 | 31.60125 | 31.62604 |
0.1099 | 36.65118 | 36.66864 | 36.69027 | 36.71385 |
0.2176 | 40.84871 | 40.86443 | 40.88336 | 40.90483 |
0.3215 | 46.36109 | 46.3766 | 46.3965 | 46.41718 |
0.4101 | 50.08168 | 50.09903 | 50.11989 | 50.14096 |
0.5176 | 55.30488 | 55.32554 | 55.34754 | 55.37203 |
0.6135 | 59.67107 | 59.69473 | 59.72052 | 59.74728 |
0.7093 | 64.02789 | 64.05295 | 64.08478 | 64.11134 |
0.8039 | 68.32493 | 68.35283 | 68.38235 | 68.41362 |
0.9056 | 72.93503 | 72.96662 | 72.99736 | 73.03125 |
1 | 77.19667 | 77.23063 | 77.26446 | 77.2989 |
xDOP | ДОФ | |||
0 | 31.55563 | 31.57791 | 31.60053 | 31.62967 |
0.1003 | 39.87873 | 39.90009 | 39.9227 | 39.95094 |
0.1999 | 48.1242 | 48.14692 | 48.17363 | 48.2023 |
0.3006 | 56.42953 | 56.4555 | 56.48496 | 56.51765 |
0.4012 | 64.71318 | 64.74216 | 64.77579 | 64.81167 |
0.5021 | 73.01662 | 73.04898 | 73.08884 | 73.1248 |
0.6025 | 81.27359 | 81.31266 | 81.35753 | 81.3964 |
0.6987 | 89.18048 | 89.22185 | 89.26978 | 89.31348 |
0.7885 | 96.5574 | 96.60131 | 96.65677 | 96.70569 |
0.8967 | 105.438 | 105.48604 | 105.54742 | 105.59981 |
1 | 113.89595 | 113.95 | 114.01652 | 114.07267 |
Избыточные свойства определяются для термодинамических переменных. Поскольку молекулярная рефракция является объемным свойством, отклонение RE в молекулярной рефракции было рассчитано с использованием соотношения
,
где Ri – молекулярная рефракция чистых компонентов [20].
Результаты на рис. 3 также показывают положительное отклонение молекулярной рефракции для обеих смесей, указывающее на присутствие ван-дер-ваальсовых сил. При этом отклонения обеих систем очень близко по значению. Учитывая отличия между другими избыточными свойствами систем, можно предположить, что силы межмолекулярного взаимодействия в системах БА–ДБФ и БА–ДОФ оказывают одинаковое влияние на изменение поляризуемости молекул.
Рис. 3. Концентрационная зависимость избыточной молекулярной рефракции RE для смесей БА–ДБФ (а), БА–ДОФ (б).
Вязкость. На рис. 4 показаны температурные зависимости вязкости η исследуемых растворов БА–ДБФ и БА–ДОФ. Температурная зависимость (рис. 4а) представлена в полулогарифмических координатах от обратной температуры и как видно из рисунков, в исследуемом диапазоне температур в данных координатах зависимость может быть описана линейной функцией, то есть может быть описана уравнение Аррениуса
,
где Ea – энергия активации вязкого течения, R – газовая константа, а η0 – предэкспоненциальный множитель. В табл. 6 показаны полученные значения вязкости во всем концентрационном диапазоне.
Рис. 4. Зависимости вязкости η от обратной температуры для смесей БА–ДБФ (а) и БА–ДОФ (б).
Таблица 6. Значения вязкости (мПа · с) систем БА–ДБФ и БФ–ДОФ в зависимости от мольной доли ДБФ и ДОФ в температурном диапазоне 288–308 K
xDBP | БА–ДБФ | ||||
288 K | 293 K | 298 K | 303 K | 308 K | |
0 | 0.7753 | 0.7042 | 0.6417 | 0.5866 | 0.5377 |
0.1099 | 1.3236 | 1.1696 | 1.038 | 0.9245 | 0.826 |
0.2176 | 2.124 | 1.848 | 1.623 | 1.429 | 1.263 |
0.3215 | 3.433 | 2.966 | 2.575 | 2.246 | 1.968 |
0.4101 | 4.943 | 4.183 | 3.56 | 3.045 | 2.619 |
0.5176 | 7.659 | 6.459 | 5.479 | 4.673 | 4.006 |
0.6135 | 11.459 | 9.556 | 8.019 | 6.767 | 5.743 |
0.7093 | 17.038 | 14.062 | 11.68 | 9.762 | 8.206 |
0.8039 | 24.843 | 19.972 | 16.174 | 13.19 | 10.828 |
0.9056 | 33.11 | 26.614 | 21.55 | 17.572 | 14.423 |
1 | 43.367 | 34.702 | 27.977 | 22.716 | 18.569 |
xDOP | БФ–ДОФ | ||||
0 | 0.805 | 0.704 | 0.685 | 0.587 | 0.590 |
0.1003 | 1.579 | 1.493 | 1.289 | 1.233 | 1.067 |
0.1999 | 2.946 | 2.597 | 2.299 | 2.043 | 1.823 |
0.3006 | 5.145 | 4.5587 | 3.861 | 3.429 | 2.942 |
0.4012 | 8.853 | 7.452 | 6.309 | 5.37 | 4.596 |
0.5021 | 14.67 | 12.039 | 9.946 | 8.268 | 6.915 |
0.6025 | 23.564 | 18.837 | 15.292 | 12.308 | 10.222 |
0.6987 | 36.247 | 28.339 | 22.441 | 17.751 | 14.309 |
0.7885 | 54.238 | 40.785 | 32.24 | 24.753 | 19.819 |
0.8967 | 89.57 | 64.808 | 50.442 | 36.898 | 29.484 |
1 | 145.680 | 105.757 | 77.605 | 57.532 | 43.067 |
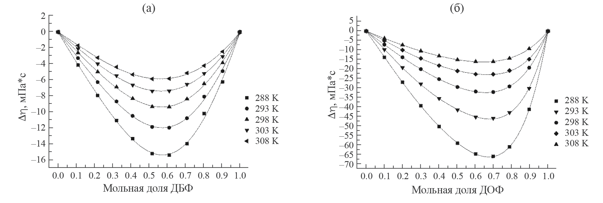
Пользуясь полученными данными, были рассчитаны отклонения вязкости для бинарных систем согласно уравнению
,
где η и ηi – вязкость смеси и чистых компонентов соответственно.
Как показано на рис. 5, значения отклонения вязкости Δη для систем БА–ДБФ и БА–ДОФ отрицательные, достигая минимума в районе от 0.5 до 0.7 мольных долей пластификатора, и с увеличением температуры они уменьшаются. Как и в случае с избыточным объемом, данное поведение можно объяснить возникновением диполь-дипольных взаимодействий в смесях жидкостей, однако вязкость в большей степени зависит от размера молекул в бинарной системе. Сопоставляя данные отклонения вязкости с избыточным объемом, можно предположить, что значительную роль играет длина боковой цепи сложного эфира – у ДОФ вдвое больше длина углеводородного остатка, чем у ДБФ, что приводит к менее значительному избыточному объему и отличающимся смещением минимума избыточной вязкости.
Рис. 5. Концентрационная зависимость Δη для смесей БА–ДБФ (а) и БА–ДОФ (б).
ЗАКЛЮЧЕНИЕ
В ходе данной работы были проведены измерения плотности, вязкости и показателя преломления для чистых веществ БА, ДБФ и ДОФ, а также для их бинарных смесей в диапазоне температур от 288 до 308 K. На основе полученных данных были рассчитаны характеристики, демонстрирующие вероятные взаимодействия среди молекул систем БА–ДБФ и БА–ДОФ такие как избыточный объем, отклонение показателя преломления, отклонение вязкости и т. д.
Отрицательный избыточный объем обеих смесей определенно показывает значимость диполь-дипольных или диполь-индуцированных дипольных взаимодействий разноименных молекул между собой. Также это демонстрирует рассчитанный парциальный молярный объем компонентов – его отклонение от идеального раствора в системах демонстрирует проходящий через минимум вклад молекул бутилацетата в объем смеси и вклад исследуемых фталатов, значительно уменьшающийся при их меньшем содержании в системе. Изобарный коэффициент расширения жидкости при этом зависит напрямую лишь от плотности систем, влиянием на него ван-дер-ваальсовых сил можно пренебречь.
Помимо этого, присутствие сил межмолекулярного взаимодействия можно заметить, анализируя значения избыточного показателя преломления. Большинство используемых для расчета эмпирических уравнений показывают близкие по значениям результаты – положительное отклонение для БА–ДБФ и БА–ДОФ. Вероятно, что исследуемые взаимодействия существенно увеличивают плотность смеси и изменяют распределение электронов в молекуле. Положительное отклонение молекулярной рефракции для обеих смесей также указывает на присутствие ван-дер-ваальсовых сил. При этом отклонения обеих систем очень близко по значению. Учитывая отличия между другими избыточными свойствами систем, можно предположить, что силы межмолекулярного взаимодействия в системах БА–ДБФ и БА–ДОФ оказывают одинаковое влияние на изменение поляризуемости молекул.
Отклонение вязкости гораздо более выражено в системе БА–ДОФ в отличие от БА–ДБФ. Помимо присутствия ван-дер-ваальсовых сил между молекулами, разница в размерах молекул также играет немаловажную роль в воздействии на свойства бинарных смесей. Соотнося данные об избыточной вязкости и избыточном объеме, можно предположить, что больший размер алкильной цепи диоктилфталата также обеспечивает меньшее отклонение избыточного объема в смеси.
По мере увеличения температуры исследуемых систем все рассчитанные отклонения свойств от идеальной смеси становятся менее выраженными, за исключением избыточного объема. Данное явление указывает на то, что межмолекулярные взаимодействия ослабевают с увеличением температуры.
Работа выполнена в рамках государственного задания на оказание государственных услуг (выполнение работ) № 075-01252-22-03 от 26.10.2022.
About the authors
Д. И. Полевщиков
Марийский государственный университет
Author for correspondence.
Email: referalforme005@gmail.com
Russian Federation, Йошкар-Ола, 424000
В. В. Лоскутов
Марийский государственный университет
Email: referalforme005@gmail.com
Russian Federation, Йошкар-Ола, 424000
References
- Krauskopf L.G. // J. of Vinyl and Additive Technology. 1993. V. 15. № 3. P. 140. doi: 10.1002/vnl.730150306
- Cadogan D.F., Howick C.J. // Ullmann’s Encyclopedia of Industrial Chemistry. 2000. V. 10. P. 766. doi: 10.1002/0471238961.161201190301041
- Petrovic M., Eljarrat E., Diez S., et al. // Sediment Quality and Impact Assessment of Pollutants. 2007. P. 99. doi: 10.1016/s1872-1990(07)80075-4
- Wojciechowska P. // Recent Advances in Plasticizers. 2012. P. 141. doi: 10.5772/35350
- Carroll W.F., Johnson R.W., Moore S.S., Paradis R.A. Applied Plastics Engineering Handbook. Elsevier, 2011. 61–76 p. doi: 10.1016/b978-1-4377-3514-7.10005-4
- Rathnam M.V. // J. Chem. Eng. Data. 1988. V. 33. P. 14. doi: 10.1021/je00051a006
- Applied Polymer Science: 21st Century / Eds. C. Craver, C. Carraher. Elsevier Science, 2000. P. 157–175. doi: 10.1016/b978-008043417-9/50011-8.
- Lorz P.M., Towae F.K., Enke W. et al. Ullmann’s Encyclopedia of Industrial Chemistry. Wiley, 2007. 147–148 p. doi: 10.1002/14356007.a20_181.pub2
- Wallace D.R. Encyclopedia of Toxicology. Elsevier, 2005. 1–2 p. doi: 10.1016/b0-12-369400-0/00309-4
- Pan I.-C., Tang M., Chen Y.-P. // J. of Chemical & Engineering Data. 2000. V. 45. № 6. P. 1012–1015. doi: 10.1021/je00060a027
- Nayak J.N., Aralaguppi M.I., Aminabhavi T.M. // J. of Chemical & Engineering Data. 2003. Vol. 48. № 6. P. 1489. doi: 10.1021/je0301489
- Belyaeva E.V., Volokhova D.M., Lavrenko P.N. // Rus. J. of Phys. Chem. 2006. V. 80. № 2. P. 187. doi: 10.1134/s0036024406020117
- Arago D.F.J., Biot J.B. Mémoires de l’Académie (royale) des sciences de l’Institut (imperial) de France. V. 7. Mem. Acad. Fr., 1806.
- Dale T.P., Gladstone J.H. On the influence of temperature on the refraction of light. Philos. Trans. R. Soc. Lond, 1858. 887 p. https://doi.org/ 10.1098/rstl.1858.0036
- Pineiro A., Brocos P., Amigo A., et al. // J. Chem. Thermodyn. 1999. V. 31. P. 931. https://doi.org/10.1006/jcht.1999.0517.
- Wiener O. Berichte über die Verhandlungen der Königlich-Sächsischen Gesellschaft der Wissenschaften zu Leipzig. Mathematisch-Physische Klasse, 1910. 256 p.
- Kurtz S.S., Ward A.L. // J. of the Franklin Institute-engineering and Applied Mathematics. 1936. V. 222. P. 563. https://doi.org/10.1016/S0016-0032(36)90986-9.
- Oster G. // Chem. Rev. 1948. V. 43. P. 319. https://doi.org/10.1021/cr60135a005
- Eyring H., Jhon M.S. Significant liquid structure. Wiley Inter Science, New York, 1969.
- Brocos P., Piñeiro Á., Amigo A. // Physical Chemistry Chemical Physics. 2003. V. 5. № 3. P. 550. doi: 10.1039/b208765k
- An N., Zhuang B., Li M., et al. // The Journal of Physical Chemistry B. 2015. V. 119. № 33. P. 10701. doi: 10.1021/acs.jpcb.5b05433
- Sharma S., Patel P.B., Patel R.S., Vora J.J. // E-Journal of Chemistry. 2007. V. 4. № 3. P. 343. doi: 10.1155/2007/485378
Supplementary files







