Синтез, микроструктура и свойства керамики NaNbO₃–LiNbO₃, допированной фторидом лития

Cover Page

Cite item

Full Text

Abstract

Методом твердофазного синтеза получены однофазные керамические образцы новых составов (1-x)NaNbO₃ – хLiNbO₃ (x = 0, 0.05, 0.10, 0.15), модифицированные добавкой фторида лития, и изучены их кристаллическая структура, микроструктура, диэлектрические и нелинейные оптические свойства. Выявлено уменьшение среднего размера кристаллитов (областей когерентного рассеяния) от 108.1 нм до 42.8 нм, рассчитанного с использованием взвешенной по объему функции распределения кристаллитов по размерам. Установлено повышение температуры фазового перехода и ослабление нелинейных оптических свойств по мере роста содержания катионов лития в образцах.

Full Text

ВВЕДЕНИЕ

Применение диэлектрических и пьезоэлектрических керамических материалов в современном мире охватывает значительную часть отраслей, включая авиа- и космическую технику, атомную и автомобильную промышленности, приборостроение, металлургию, медицину и информационную сферу деятельности. Однако на протяжении нескольких десятилетий основную часть таких материалов до сих пор составляют свинецсодержащие составы на основе цирконата-титаната свинца Pb(Zr, Ti)O₃ (ЦТС), представляющие угрозу окружающей среде ввиду высокой токсичности свинца.

В свете новых требований экологической безопасности к применяемым технологиям и материалам Евросоюзом в 2003 году на законодательном уровне приняты директивы “Об ограничении использования ряда опасных веществ в электрическом и электронном оборудовании”, в которых свинец, ртуть, кадмий, шестивалентный хром, ряд органических соединений определены как основные носители угрозы экологической безопасности при переработке, утилизации и неправильном использовании электронного оборудования [1].

Серьезные экологические проблемы и принятые Евросоюзом директивы инициировали поиск и создание альтернативных экологически безопасных не содержащих свинец пьезоэлектриков с функциональными параметрами, сравнимыми с характеристиками применяемых свинецсодержащих материалов. Пьезоэлектрики нового поколения, способные во всех технологических применениях заменить свинецсодержащие составы ЦТС должны характеризоваться высокими значениями температуры Кюри (TC > 650 К), остаточной поляризации и пьезоэлектрических характеристик, а также высокой стабильностью функциональных параметров [2–5].

Целый ряд бессвинцовых керамических систем рассматривается в настоящее время в качестве потенциальных кандидатов для замены свинецсодержащей керамики в широком спектре ее применений. К ним относятся составы на основе титаната натрия-висмута (Na0.5Bi0.5) TiO₃, ниобата калия-натрия (K, Na)NbO₃, ниобата стронция-бария Sr0.5Ba0.5Nb2O6, титаната бария BaTiO₃, ниобата натрия NaNbO₃, феррита висмута BiFeO₃ и другие [6–10].

Одним из наиболее перспективных кандидатов, способных заменить свинецсодержащую пьезоэлектрическую керамику, является ниобат натрия NaNbO₃ – антисегнетоэлектрик с температурой Кюри 360°С, характеризующийся ромбической структурой типа перовскита. Ниобат натрия отличается рядом преимуществ. Он не содержит токсичных и летучих элементов в составе, что делает его безопасным и сравнительно легким в получении. К существенным преимуществам ниобата натрия также относятся низкая стоимость и низкое значение рентгеновской плотности (4.55 г/см3), что является важным в свете практического применения, в частности, обеспечения снижения материальных затрат и веса устройств на его основе. NaNbO₃ претерпевает шесть фазовых переходов различной природы, пять из которых наблюдаются в высокотемпературной области [10–12].

Среди различных твердых растворов на основе NaNbO₃ система NaNbO₃ – LiNbO₃ (NN-LN) вызывает значительный интерес ввиду того, что соединение LiNbO₃ является сегнетоэлектриком, характеризующимся ромбоэдрической структурой, проявляющим отличные электрооптические свойства. LiNbO₃ претерпевает фазовый переход 2-го рода из сегнетоэлектрической в параэлектрическую фазу с температурой Кюри ~ 1200°С [13].

Следует отметить, что система NN-LN характеризуется уникальным сочетанием свойств, таких как низкая плотность (~ 4.5 г/см3), высокие значения пьезоэлектрических характеристик, высокая акустическая скорость (~ 6 км/с), низкие значения диэлектрической проницаемости при комнатной температуре (~ 100), широкий диапазон добротности (от десяток до сотен) [14].

В этой связи твердые растворы NN-LN представляются перспективными как в плане фундаментальных исследований, учитывая температурно-зависимый характер фазовой диаграммы простого перовскита с одной стороны и ильменита с другой, так и для пьезоэлектрических применений, принимая во внимание сегнетоэлектрическое, пьезоэлектрическое, пироэлектрическое и электрооптичекое поведение твердых растворов NN-LN.

Влияние концентрации катионов Li на структурные, диэлектрические пьезоэлектрические свойства твердых растворов NN-LN изучали в ряде работ [13–16]. Установлено, что их диэлектрическое и пьезоэлектрическое поведение определяется главным образом содержанием катионов Li в образцах. Однако значения температуры Кюри и других характеристик различаются в литературных данных, по-видимому, вследствие различий в условиях синтеза керамических образцов.

Возможность улучшения пьезоэлектрических свойств бессвинцовых твердых растворов обусловлена наличием морфотропных фазовых границ (МФГ) ввиду того, что превосходные пьезоэлектрические свойства, выражающиеся в наиболее высоких значениях пьезоэлектрического коэффициента d33 и коэффициента электромеханической связи k, присущи составам из области МФГ. В результате исследований системы NN-LN установлено, что существуют две МФГ: при х=0.01 и при x=0.11–0.125 [13]. Составы из области второй МФГ наиболее перспективны в плане технологических применений, поскольку в них потенциально возможна реализация наиболее высоких пьезоэлектрических параметров.

Целесообразно отметить, что введение легкоплавких добавок в небольшом количестве сверх стехиометрии, является одним из наиболее эффективных подходов к оптимизации функциональных свойств оксидных материалов, в частности, обеспечивает интенсификацию процесса фазообразования, снижение температуры спекания, сохранение стехиометрии состава, формирование оптимальной микроструктуры и улучшение свойств керамики [17, 18]. Одной из таких добавок является фторид лития, температура плавления которого составляет 848,2°С. Указанная добавка многократно использовалась нами при синтезе самых различных керамических материалов: как высокотемпературных сверхпроводников, ионных проводников, так и диэлектриков. В наших работах по синтезу керамик с использованием добавки фторида лития был отмечен положительный эффект, выражающийся в улучшении свойств, в сравнении с недопированными составами.

Целью данной работы являлось получение методом твердофазного синтеза керамических образцов новых перспективных составов (1-x)NaNbO₃ – хLiNbO₃ (x = 0; 0.05; 0.10; 0.15) (NN-LN), модифицированных добавкой фторида лития, и изучение их кристаллической структуры, микроструктуры, диэлектрических и нелинейных оптических свойств.

Достижение поставленной цели предусматривало решение следующих задач:

  • – определение оптимального режима получения керамических образцов указанных составов методом твердофазного синтеза путем варьирования температуры и длительности высокотемпературного отжига;
  • – рентгенофазовый анализ образцов, определение симметрии основной фазы;
  • – изучение микроструктуры и тонкой структуры синтезированных керамик, определение среднего размера кристаллитов;
  • – проведение диэлектрических измерений и измерений генерации второй гармоники лазерного излучения (ГВГ);
  • – установление корреляций: химический состав – условия получения – фазовый состав – микроструктура – диэлектрические и нелинейные оптические свойства.

ЭКСПЕРИМЕНТАЛЬНАЯ ЧАСТЬ

Керамические образцы в системе (1-x)NaNbO₃ – хLiNbO₃ (x = 0, 0.05, 0.10, 0.15), модифицированные добавкой фторида лития LiF, получены методом твердофазного синтеза двукратным отжигом. В качестве исходных реактивов использовали карбонаты натрия Na₂CO₃ (“ч. д. а.”) и лития Li₂CO₃ (“ч. д. а.”) и оксид ниобия Nb₂O₅ (“ос.ч.”). Гомогенизированные стехиометрические смеси прессовали и отжигали в интервале температур 1073–1373 К с промежуточными перетираниями в среде этилового спирта. Образцы базового состава (1-x)NaNbO₃ – хLiNbO₃ (x = 0, 0.05, 0.10, 0.15) синтезировали при Т1=1073 К (12 ч). После первого отжига в шихту вводили сверхстехиометрическую добавку фторида лития LiF (“ос.ч.”) в количестве 2 мас. %, перетирали и прессовали в диски диаметром 10 мм и толщиной 1–1.5 мм. Температура и длительность спекания на воздухе образцов составляли T2 = 1373 К, t = 1 ч.

Фазовый состав и структуру керамик изучали при комнатной температуре методом рентгенофазового анализа (Rigaku Smartlab SE, CuKα-излучение, режимы съемки дифрактограмм: шаг 0.02–0.05 град, накопление 1–10 с в интервале углов 5–80 град) Инструментальные поправки были сделаны с помощью корундового стандарта (NIST Al2O₃).

Поскольку рентгендифракционный метод оказывается весьма чувствительным к размерам областей когерентного рассеяния (ОКР) (кристаллитам), для описания тонкой структуры исследуемых керамик необходим тщательный анализ данных порошковой дифракции. В данной работе их средние размеры обсуждаются с помощью использования взвешенной по объему функции распределения кристаллитов по размерам G (L) [19–21], которая может быть интерпретирована как плотность вероятности нахождения кристаллита предполагаемого размера в анализируемом образце, взятого с весом, пропорциональным его объему.

Интенсивность отражения измеряли методом пошагового сканирования с переменным шагом (в зависимости от интенсивности отражений) для всех протестированных образцов; измерения проводились в интервале углов до – 2.5 и +2.5 град от максимального значения интенсивности пика.

Экспериментальные интенсивности были скорректированы с учетом коэффициента поляризации Лоренца, а фон удален с предполагаемым его линейным изменением. Поправки для инструментального и спектрального расширения были сделаны с помощью корундового стандарта (Al₂O₃). Исправленные дифракционные линии были получены с использованием метода деконволюции LWL (Луэра–Вейгеля–Лабутена) [19–21]. Метод был реализован в компьютерной программе профильного анализа PROFIT [22]. Из сопоставления измеренных данных интенсивности для образца и стандарта с помощью функции псевдо-Фойгта был извлечен соответствующий правильный профиль линии f(x).

Из сопоставления измеренных наборов интенсивностей для образца и эталона с помощью функции псевдо-Фойгта был извлечен соответствующий правильный профиль линии с введенной поправкой на инструментальное уширение. Функции распределения по размерам G(L) были восстановлены из правильного профиля, следуя процедуре, предложенной в [19–21] и подробно описанной в [23, 24].

Метод генерации второй гармоники (ГВГ) лазерного излучения применяли для констатации нецентросимметричности строения получаемой при синтезе керамики, а также для обнаружения возможных переходов из нецентросимметричного состояния в центросимметричное, где сигнал второй гармоники либо отсутствует, либо значительно ослаблен. Исследования ГВГ проводили по классическому “порошковому” методу Курца и Перри [25], в котором, однако, регистрация излучения второй гармоники осуществлялась не по схеме на “просвет” как в [25], а “на отражение”. Эта схема имеет преимущество, так как позволяет исследовать непрозрачные керамические образцы, а в случае порошкообразных объектов устраняет зависимость сигнала от толщины образца, который здесь считается полубесконечным [26]. В качестве источника излучения использовался ИАГ: Nd-лазер Minilite-1 с длиной волны lw =1.064 мкм, работающий в режиме модуляции добротности с частотой повторения 10 Гц, мощностью импульса около 0.1 МВт и длительностью около 3 нс. Оксидный состав образцов и отсутствие в нем переходных элементов обеспечили бесцветность керамики и исключили необходимость вводить поправку на поглощение света на длине волны излучения второй гармоники, lw =0.53 мкм. Микронный размер зерен керамики делал целесообразным использовать в качестве эталона сравнения порошок α-кварца с дисперсностью 3–5 мкм. В работе проведена оценка величины спонтанной поляризации Ps образцов представленным методом генерации второй гармоники лазерного излучения, измеряемый сигнал которого q=I₂ω/I₂ω(SiO₂) (I₂ω(SiO₂)интенсивность второй гармоники лазерного излучения мелкого порошка кварца a-SiO₂, используемого в качестве репера при измерениях второй гармоники на порошках), пропорционален величине спонтанной поляризации Ps: q ~ PS2 [25].

Диэлектрические свойства керамик изучали методом диэлектрической спектроскопии (мост переменного тока LCR-meter Agilent 4284 A (Япония), 1 В) в атмосфере воздуха в интервале температур 300–1000 K на переменном токе в диапазоне частот 100 Гц – 1 МГц. В качестве электродов на образцы керамик толщиной 1–1.4 мм и диаметром 8–9 мм наносили содержащую серебро пасту Leitsilber 200 (Hans Wolbring GmbH).

Микроструктуру контролировали методом растровой электронной микроскопии высокого разрешения с использованием микрорентгеноспектрального анализатора (JEOL JSM-7401F, Analysis Station JED-2300, Япония).

ОБСУЖДЕНИЕ РЕЗУЛЬТАТОВ

Согласно данным рентгенофазового анализа, в изученных образцах при отжиге при температуре T1 = 1073 K (12 ч) наблюдается формирование основной фазы со структурой перовскита. В результате спекания образцов при температуре T2 = 1373 К (1 ч), получены однофазные образцы (рис. 1). Дифрактограммы образцов с x = 0.10, 0.15 подобны представленной на рис. 1б дифрактограмме. Образцы характеризуются ромбической кристаллической структурой. Кроме того, полученные однофазные образцы с x = 0.05, 0.10, 0.15 характеризуются наличием текстуры типа 00l на поверхности керамики, что выражается в усилении дифракционных пиков с hkl, соответствующими 00l (рис. 1б). Уже на этапе синтеза следует отметить положительный эффект допирования керамики фторидом лития, заключающийся в значительном снижении температуры спекания (на 150 К) в сравнении с таковой в случае недопированных образцов того же состава, что существенно в технологическом плане при рассмотрении перспектив применения такой керамики.

 

Рис. 1. Дифрактограммы образцов NN-LN, допированных LiF, с x = 0 (а), 0.05 (б).

 

Чтобы оценить распределение кристаллитов по размерам для полученных керамических образцов был выполнен анализ профиля линии выбранных пиков в низкоугловой области дифрактограммы. Из-за отсутствия в протестированных образцах удобных одиночных отражений высших порядков дифракции от одного и того же набора кристаллических плоскостей, не представлялось возможным разделить вклад в расширение линий от влияния размерного эффекта и искажений, связанных с микронапряжениями. Однако отсутствие асимметрии профиля со стороны малых углов позволили высказать предположение об отсутствии последнего эффекта.

Следует отметить, что оценка геометрической формы кристаллитов вдоль основных кристаллографических направлений не была проведена из-за отсутствия требуемого набора отражений (h00), (0k0) и (00l).

 

Рис. 2. Кривые распределения областей когерентного рассеяния для твердых растворов NN-LN, допированных LiF, с x = 0 (а), 0.05 (б), 0.10 (в), 0.15 (г). Рассчитанный средний размер кристаллитов изменяется от 1081 Å (а) до 693 Å (б), 625 Å (в) и 428 Å (г).

 

Взвешенные по объему функции распределения кристаллитов по размерам G(L) вдоль [110] приведены для сравнения на рис. 2. Характерной особенностью всех полученных распределений по размерам является их унимодальность. В большинстве случаев такое распределение можно объяснить сходным механизмом образования частиц в процессе твердофазного синтеза. Установлено, что рассчитанный с использованием взвешенной по объему функции распределения кристаллитов по размерам средний размер кристаллитов, рассчитанный по отражению (110) (2θ= 22.5 град), уменьшается от 1081(30) Å (а) до 693(30) Å (б), 625(30) Å (в) и 428(30) Å (г) в допированных образцах с x = 0, 0.05, 0.10, 0.15 соответственно. Приведенные значения (в пределах стандартного отклонения в 30 Å) получены и при альтернативных вычислениях с использованием рефлексов (020) и (200), что может свидетельствовать о форме кристаллитов, близкой к сферической.

Следует заметить, что наличие структурного фазового перехода в системе NN-LN с увеличением х сопровождается уменьшением размера областей когерентного рассеяния с сохранением их сферической формы.

 

Рис. 3. Микроструктура образцов NN-LN с x = 0 (а), 0.05 (б) и образцов NN-LN, допированных LiF, с x = 0.05 (в), 0.15 (г). Масштабные полоски – 1 мкм (а– в) и 10 мкм (г).

 

В результате изучения микроструктуры образцов методом растровой электронной микроскопии высокого разрешения выявлено, что образцы керамик исходного состава NN-LN состоят преимущественно из зерен октаэдрической формы, размеры которых варьируются от 2–3 мкм до 8–10 мкм (рис. 3а, б), в то время как в допированных фторидом лития образцах наблюдается значительный рост зерен, увеличивающийся по мере повышения содержания катионов лития в образцах. Кроме того, в образцах исходного состава с х = 0 и х = 0.05 границы зерен четкие (рис. 3а, б), а в модифицированных образцах границы зерен округляются, что свидетельствует o возможном подплавлении кристаллитов в результате жидкофазного механизма спекания в присутствии легкоплавкой добавки (рис. 3в, г). Модифицирование керамики добавкой фторида лития приводит к увеличению среднего размера зерен до значений ~ 10–15 мкм в образцах с х = 0 и х = 0.05 и ~ 20–25 мкм в образцах с х = 0.10 и х = 0.15 (рис. 3в, г). Модифицированные образцы характеризуются плотной упаковкой зерен, что подтверждается высокими значениями плотности керамик (~95%).

Нелинейные оптические свойства образцов были измерены методом генерации второй гармоники лазерного излучения. Как и предполагалось, установлено, что все синтезированные образцы принадлежат к полярному классу веществ. Изученные образцы характеризуются наличием сигнала ГВГ лазерного излучения, пропорционального величине спонтанной поляризации, в широком температурном интервале, при этом интенсивность сигнала ГВГ q = I₂ω/I₂ω(SiO₂) допированных образцов керамики с х = 0 (q = 5200) многократно превышает значение q недопированных образцов того же состава (q = 40), что обусловлено увеличением размеров зерен керамики, учитывая тот факт, что, как показано в [25], интенсивность в порошках ГВГ квадратично растет с размером образующих их частиц. По мере замещения катионов натрия катионами лития наблюдается монотонное снижение интенсивности сигнала ГВГ и составляет q = 4800, 3800 и 2000 для образцов с x = 0.05, 0.10 и 0.15 соответственно. Регистрируемое уменьшение интенсивности сигнала ГВГ в синтезированных керамиках, по-видимому, связано с ухудшением условий эффекта ГВГ в допированных образцах, принимая во внимание влияние на ГВГ таких факторов, как изменение спонтанной поляризации, прямо связанной в сегнетоэлектриках с оптической нелинейностью второго порядка [27].

 

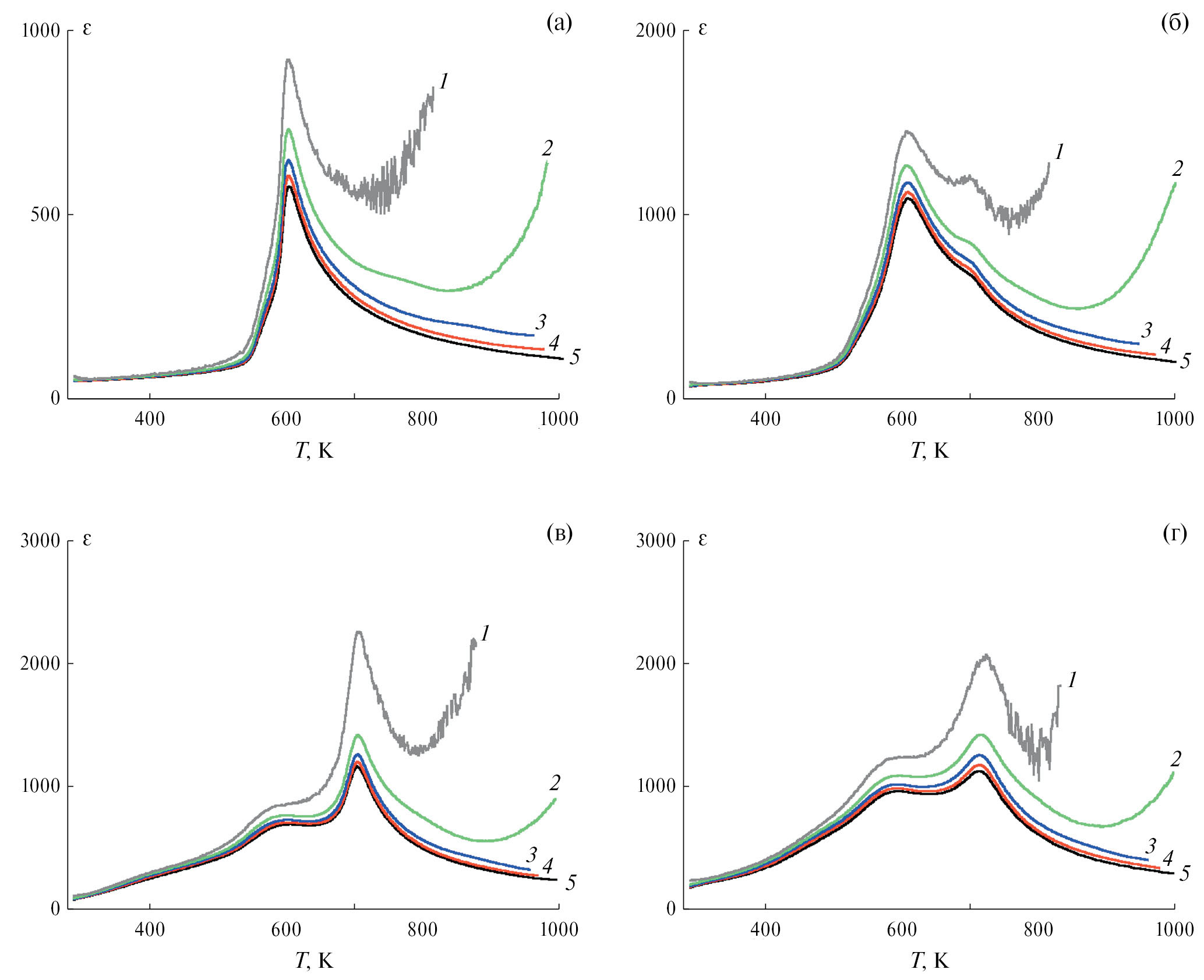
Рис. 4. Температурные зависимости диэлектрической проницаемости образцов NN-LN, допированных LiF, с x = 0 (а), 0.05 (б), 0.10 (в), 0.15 (г), измеренные на частотах 1 (1), 10 (2), 100 (3), 300 кГц (4), 1 МГц (5)

 

В результате диэлектрических измерений выявлены характерные для систем на основе ниобата натрия фазовые сегнетоэлектрические переходы, проявляющиеся как пики при TC ~ 600–710 K (температура Кюри TC) (рис. 4). При этом наблюдается тенденция повышения температуры Кюри по мере увеличения содержания катионов лития в образцах, что представля ется существенным в плане перспектив применения керамики, так как повышение значения TC материалов расширяет их рабочий интервал. Следует отметить, что в образцах с х = 0.10 и х = 0.15 помимо описанных выраженных максимумов диэлектрической проницаемости наблюдаются дополнительные максимумы в области 590–600 К. Описанное диэлектрическое поведение согласуется с литературными данными [13–15].

В допированных фторидом лития образцах установлено повышение значений диэлектрической проницаемости e при комнатной температуре по мере увеличения содержания катионов лития в образцах. Значения εRT составляют 50, 75, 100 и 210 для образцов с x = 0; 0.05; 0.10; 0.15 соответственно. Следует отметить, что повышение значений диэлектрической проницаемости при комнатной температуре может свидетельствовать о положительном эффекте осуществленного в данной работе модифицирования состава на пьезоэлектрические свойства керамики ниобата натрия, принимая во внимание существующую известную корреляцию величин диэлектрической проницаемости при комнатной температуре ert и пьезоэлектрического коэффициента d33 [28].

ЗАКЛЮЧЕНИЕ

Синтезированы однофазные керамические образцы новых составов (1–x)NaNbO₃ – хLiNbO₃ (x = 0, 0.05, 0.10, 0.15), модифицированные добавкой фторида лития, со структурой перовскита, и изучены их кристаллическая структура, микроструктура, диэлектрические и нелинейные оптические свойства. Установлено уменьшение среднего размера кристаллитов от 108.1 нм до 42.8 нм, рассчитанного с использованием взвешенной по объему функции распределения кристаллитов по размерам. По мере увеличения содержания катионов лития в образцах наблюдается повышение температуры фазового перехода, а также – ослабление нелинейных оптических свойств. Выявлено, что введение сверхстехиометрической добавки фторида лития приводит к снижению температуры спекания керамики, интенсифицирует процесс фазообразования и способствует уплотнению керамики.

Полученные результаты в сочетании с повышением значений диэлектрической проницаемости керамики новых составов подтверждают перспективы использования таких модифицированных материалов на основе ниобата натрия для разработки новых эффективных бессвинцовых материалов с пьезоэлектрическими свойствами.

БЛАГОДАРНОСТИ

Работа выполнена при поддержке Российского фонда фундаментальных исследований (Проект № 21-53-12005), за счет субсидии Минобрнауки, выделенной ФИЦ ХФ РАН на выполнение государственного задания по теме “Наноструктурированные системы нового поколения с уникальными функциональными свойствами” (регистрационный номер № 122040500071-0) и в рамках государственного задания НИЦ “Курчатовский институт”.

×

About the authors

Г. M. Калева

Федеральный исследовательский центр химической физики им. Н. Н. Семенова РАН

Author for correspondence.
Email: kaleva@nifhi.ru
Russian Federation, Москва, 119991

E. Д. Политова

Федеральный исследовательский центр химической физики им. Н. Н. Семенова РАН

Email: kaleva@nifhi.ru
Russian Federation, Москва, 119991

С. A. Иванов

Московский государственный университет им. М. В. Ломоносова

Email: kaleva@nifhi.ru
Russian Federation, Москва, 119991

A. В. Мосунов

Московский государственный университет им. М. В. Ломоносова

Email: kaleva@nifhi.ru
Russian Federation, Москва, 119991

С. Ю. Стефанович

Московский государственный университет им. М. В. Ломоносова

Email: kaleva@nifhi.ru
Russian Federation, Москва, 119991

Н. В. Садовская

Федеральное государственное бюджетное учреждение “Национальный исследовательский центр “Курчатовский институт”

Email: kaleva@nifhi.ru
Russian Federation, Москва, 119333

References

  1. Directive 2002/95/EC of the European Parliament and of the Council of 27 January 2003 on the restriction of the use of certain hazardous substances in electrical and electronic equipment // Official Journal of the European Union L 37. 2003. V. 46. P. 19. http://data.europa.eu/eli/dir/2002/95/oj
  2. Zheng T., Wu J., Xiao D., Zhu J. // Prog. Mat. Sci. 2018. V. 98. P. 552. https://doi.org/10.1016/j.pmatsci.2018.06.002
  3. Wang G., Lu Z., Li Y.et al. // Chem. Rev. 2021. V. 121. P. 6124. https://doi.org/10.1021/acs.chemrev.0c01264
  4. Li D., Zeng X., Li Z. et al. // J. Adv. Ceram. 2021. V. 10. № 4. P. 675. https://doi.org/10.1007/s40145-021-0500-3
  5. García J.E. // Materials. 2015. V. 8. P. 7821. https://doi.org/10.3390/ma8115426
  6. Yang Z., Du H., Jin L. and Poelman D. // J. Mater. Chem. A. 2021. V. 9. P. 18026. https://doi.org/10.1039/d1ta04504k
  7. Wu J. // J. Appl. Phys. 2020. V. 127 Art. № 190901. https://doi.org/10.1063/5.0006261
  8. Panda P., and B. Sahoo B. // Ferroelectrics. 2015. V. 474. P. 128. https://doi.org/10.1080/00150193.2015.997146.
  9. Panda P. // J. Mater. Sci. 2009. V. 44. P. 5049. https://doi.org/10.1007/s10853-009-3643-0.
  10. Ye J., Wang G., Zhou M.et al. // J. Mater. Chem. C. 2019. V. 12. Art. № 4. https://doi.org/10.1039/C9TC01414D.
  11. Koruza J., Tellier J., Malič B. et al. // J. Appl. Phys. 2010. V. 108. Art. № 113509. https://doi.org/10.1063/1.3512980
  12. Zhang M.-H., Zhao C., Fulanović L. et al. // Appl. Phys. Lett. 2021. V. 118. Art. № 132903. https://doi.org/10.1063/5.0043050
  13. Konieczny K., Czaja P. // Arch. Metall. Mater. 2017. V. 62. № 2. P. 539. https://doi.org/10.1515/amm-2017-0079
  14. Chaker C., Gharbi W.E., Abdelmoula N. et al. // J. Phys. and Chem. Solids. 2011. V. 72. P. 1140. https://doi.org/10.1016/j.jpcs.2011.07.002
  15. Aoyagi R., Iwata M. and Maeda M. // Key Eng. Mater. 2009. V. 388. P. 233. https://doi.org/10.4028/www.scientific.net/KEM.388.233
  16. Smiga W., Garbarz-Glos B., Suchanicz J. et al. // Ferroelectrics. 2006. V. 345. P. 39. https://doi.org/10.1080/00150190601020925
  17. Politova E.D., Golubko N.V., Kaleva G.M. et al. // J. Adv. Dielect. 2018. V. 8. P. 1850004. https://doi.org/10.1142/S2010135X18500042
  18. Politova E.D., Golubko N.V., Kaleva G.M. et al. // Ferroelectrics. 2019. V. 538. P. 45. https://doi.org/10.1080/00150193.2019.1569984.
  19. Louër D., Weigel D., Louboutin R. // Acta Crystallogr. Sect. A. 1969. V. 25. P. 335. https://doi.org/10.1107/s0567739469000556
  20. Louboutin R., Louër D. // Ibid. 1972. V. 28. P. 396. https://doi.org/10.1107/S056773947200107X.
  21. Le Bail A., Louër D. // J. Appl. Crystallogr. 1978. V. 11. P. 50. https://doi.org/10.1107/S0021889878012662
  22. Zhurov V.V., Ivanov S.A. // Crystallogr. Rep. 1997. V. 42. P. 202.
  23. Maltoni P., Sarkar T., Varvaro G. et al. // J. Phys. D. Appl. Phys. 2021. V. 54. P. 124004.
  24. Maltoni P., Ivanov S.A., Barucca G. et al. // Sci. Rep. 2021. V. 11. P. 23307. https://doi.org/10.1038/s41598-021-02782-2
  25. Kurtz S.K., Perry T.T. // J. Appl. Phys. 1968. V. 39. P. 3798. https://doi.org/10.1063/1.1656857.
  26. Stefanovich S. Yu. // Europ. Conf. on Lasers and Elecrto-Optics (CLEO-Europe’94). Amsterdam. 1994. Abstracts. P. 249.
  27. Jerphagnon J. // Phys. Rev. B. 1970. V. B2. № 4. P. 1091. https://doi.org/10.1103/PhysRevB.2.1091
  28. Lee H.J, Zhang S.H. Lead-Free Piezoelectrics. N.Y.: Springer, 2012.

Supplementary files

Supplementary Files
Action
1. JATS XML
2. Fig. 1. Diffraction patterns of NN-LN samples doped with LiF, with x = 0 (a), 0.05 (b).

Download (79KB)
3. Fig. 2. Distribution curves of coherent scattering regions for NN-LN solid solutions doped with LiF, with x = 0 (a), 0.05 (b), 0.10 (c), 0.15 (d). The calculated average crystallite size varies from 1081 Å (a) to 693 Å (b), 625 Å (c) and 428 Å (d).

Download (159KB)
4. Fig. 3. Microstructure of NN-LN samples with x = 0 (a), 0.05 (b) and NN-LN samples doped with LiF with x = 0.05 (c), 0.15 (d). Scale bars – 1 μm (a–c) and 10 μm (d).

Download (346KB)
5. Fig. 4. Temperature dependences of the permittivity of NN-LN samples doped with LiF, with x = 0 (a), 0.05 (b), 0.10 (c), 0.15 (d), measured at frequencies of 1 (1), 10 (2), 100 (3), 300 kHz (4), 1 MHz (5)

Download (219KB)

Copyright (c) 2024 Russian Academy of Sciences

Согласие на обработку персональных данных с помощью сервиса «Яндекс.Метрика»

1. Я (далее – «Пользователь» или «Субъект персональных данных»), осуществляя использование сайта https://journals.rcsi.science/ (далее – «Сайт»), подтверждая свою полную дееспособность даю согласие на обработку персональных данных с использованием средств автоматизации Оператору - федеральному государственному бюджетному учреждению «Российский центр научной информации» (РЦНИ), далее – «Оператор», расположенному по адресу: 119991, г. Москва, Ленинский просп., д.32А, со следующими условиями.

2. Категории обрабатываемых данных: файлы «cookies» (куки-файлы). Файлы «cookie» – это небольшой текстовый файл, который веб-сервер может хранить в браузере Пользователя. Данные файлы веб-сервер загружает на устройство Пользователя при посещении им Сайта. При каждом следующем посещении Пользователем Сайта «cookie» файлы отправляются на Сайт Оператора. Данные файлы позволяют Сайту распознавать устройство Пользователя. Содержимое такого файла может как относиться, так и не относиться к персональным данным, в зависимости от того, содержит ли такой файл персональные данные или содержит обезличенные технические данные.

3. Цель обработки персональных данных: анализ пользовательской активности с помощью сервиса «Яндекс.Метрика».

4. Категории субъектов персональных данных: все Пользователи Сайта, которые дали согласие на обработку файлов «cookie».

5. Способы обработки: сбор, запись, систематизация, накопление, хранение, уточнение (обновление, изменение), извлечение, использование, передача (доступ, предоставление), блокирование, удаление, уничтожение персональных данных.

6. Срок обработки и хранения: до получения от Субъекта персональных данных требования о прекращении обработки/отзыва согласия.

7. Способ отзыва: заявление об отзыве в письменном виде путём его направления на адрес электронной почты Оператора: info@rcsi.science или путем письменного обращения по юридическому адресу: 119991, г. Москва, Ленинский просп., д.32А

8. Субъект персональных данных вправе запретить своему оборудованию прием этих данных или ограничить прием этих данных. При отказе от получения таких данных или при ограничении приема данных некоторые функции Сайта могут работать некорректно. Субъект персональных данных обязуется сам настроить свое оборудование таким способом, чтобы оно обеспечивало адекватный его желаниям режим работы и уровень защиты данных файлов «cookie», Оператор не предоставляет технологических и правовых консультаций на темы подобного характера.

9. Порядок уничтожения персональных данных при достижении цели их обработки или при наступлении иных законных оснований определяется Оператором в соответствии с законодательством Российской Федерации.

10. Я согласен/согласна квалифицировать в качестве своей простой электронной подписи под настоящим Согласием и под Политикой обработки персональных данных выполнение мною следующего действия на сайте: https://journals.rcsi.science/ нажатие мною на интерфейсе с текстом: «Сайт использует сервис «Яндекс.Метрика» (который использует файлы «cookie») на элемент с текстом «Принять и продолжить».