Молекулярно-динамический расчет межфазного натяжения в двухфазной системе жидкий углеводород–вода–ПАВ: от разреженного монослоя ПАВ до сверхплотного
- Authors: Ванин А.А.1, Волков Н.А.1, Бродская Е.Н.1, Щёкин А.К.1, Турнаева Е.А.2, Половинкин М.С.1, Ерошкин Ю.А.1
-
Affiliations:
- Санкт-Петербургский государственный университет
- Тюменский государственный университет
- Issue: Vol 98, No 9 (2024)
- Pages: 124-134
- Section: 100-ЛЕТИЮ ЛАБОРАТОРИИ ХИМИЧЕСКОЙ ТЕРМОДИНАМИКИ МГУ
- Submitted: 07.03.2025
- Accepted: 07.03.2025
- Published: 30.12.2024
- URL: https://ogarev-online.ru/0044-4537/article/view/282767
- DOI: https://doi.org/10.31857/S0044453724090179
- EDN: https://elibrary.ru/OMTPOE
- ID: 282767
Cite item
Full Text
Abstract
Предложен способ вычисления низких значений межфазного натяжения (МФН) на основе молекулярно-динамического моделирования систем со сверхплотной упаковкой молекул поверхностно-активных веществ (ПАВ) на межфазной границе вода – жидкий углеводород. Методом молекулярной динамики с использованием полноатомных и грубозернистых моделей выполнены расчеты межфазного натяжения в двухфазных системах вода–алкан (декан, додекан) в присутствии различных индивидуальных ПАВ. Были рассмотрены следующие ионные и неионные ПАВ: додецилсульфат натрия (ДСН), хлорид цетилтриметиламмония (ЦТАХ), додецилбензолсульфонат натрия (ДБСН), децет-6 сульфат натрия C10E6SO4Na, монодециловый эфир гексаэтиленгликоля (C10E6), монононадециловый эфир триэтиленгликоля (C19E3), монододециловый эфир октапропоксипентаэтиленгликоля (C12P8E5). Показано, что увеличение адсорбции ПАВ до предельных значений снижает межфазное натяжение вплоть до нуля.
Full Text
Водные растворы, содержащие поверхностно-активные вещества, находят широкое промышленное применение. Такие растворы являются ключевым компонентом химических методов увеличения нефтеотдачи (ХМУН) по технологиям ПАВ-полимерного и щелочно-ПАВ-полимерного заводнений, используемых на зрелых месторождениях. Процесс подбора состава ПАВ для ХМУН достаточно долгий и реализуется индивидуально для каждого месторождения. Сократить количество лабораторных синтезов и исследований может стадия молекулярного моделирования, позволяющая определить базовые характеристики поверхностного слоя углеводород/водный раствор ПАВ [1–5].
Эффективные нефтевытесняющие составы ПАВ должны формировать с нефтью микроэмульсии типа WI или WIII с достаточно низкими значениями межфазного натяжения (10–2 – 10–4 мН/м) [6]. Получение надежных низких значений межфазного натяжения методом молекулярной динамики требует решения многих методических вопросов: влияния геометрии ячейки моделирования, формы межфазной границы, отсутствие интенсивного обмена молекулами ПАВ между поверхностным слоем и объемными фазами в течение времени моделирования, выбора алгоритма поддержания постоянного давления (напряженного состояния неоднородной системы). В данной работе предложена вычислительная процедура, позволяющая получить за интервал времени моделирования в десятки или сотни наносекунд необходимые положительные сверхнизкие значения МФН.
При помощи метода молекулярной динамики в работе было получено МФН как функция адсорбции ПАВ на границе раздела жидкий углеводород–вода. Использованная нами процедура расчета позволяет найти МФН во всем диапазоне адсорбций, в том числе для сильно сжатого монослоя были получены близкие к нулю значения МФН.
При изучении таких сложных молекулярных систем, как углеводородно-водные смеси с поверхностно-активными веществами ПАВ и микроэмульсии, мы имеем ситуацию, когда молекулярное моделирование во многих случаях может успешно дополнять лабораторные исследования и даже давать такую информацию на молекулярном уровне, которую трудно получить из эксперимента. Результаты теоретических расчетов можно использовать для прогноза, подтверждения или объяснения соответствующих экспериментальных явлений.
МОДЕЛИ И МЕТОДЫ
Любая модель вещества, используемая в молекулярном моделировании, является упрощенным представлением реальной физико-химической системы. Мы рассматривали ПАВ с линейными молекулами, как и в предыдущих наших работах [7, 8, 9, 10]. Моделирование проводилось с использованием двух разных подходов в описании молекул ПАВ – полноатомного и грубозернистого. Традиционно полноатомными называют модели, в которых явным образом учитываются все атомы рассматриваемого вещества. На рис. 1 приведены полноатомные модели ионных и неионных ПАВ, исследовавшиеся в работе. С использованием этих моделей проведено вычисление межфазного натяжения на границе декан–вода. Для построения полноатомных моделей использовалось силовое поле CGenFF [11, 12] (для большинства молекул была использована версия 4.4 поля CGenFF), являющееся представителем семейства силовых полей CHARMM36 [13]. При моделировании была использована трехцентровая модель воды TIP3P [14], которая часто используется совместно с силовым полем CHARMM. Для визуального анализа молекулярно-динамических траекторий применялась программа VMD [15], для получения изображений молекул и мгновенных снимков молекулярных систем – программы VMD и Avogadro [16].
Рис. 1. Полноатомные модели поверхностно-активных веществ и ионов: додецилсульфат анион C12H25OSO3– (а), катион цетилтриметиламмония C16H33N+(CH3)3 (б), дециловый эфир гексаэтиленгликоля C10E6 (в), молекула C12P8E5 (г), анион C10E6SO4– (д).
В системах вода – жидкий углеводород – ПАВ методы молекулярного моделирования позволяют получить зависимость МФН γ от адсорбции ПАВ на межфазной границе [3, 4, 17]. Под адсорбцией Γ понимается отношение числа молекул/ионов ПАВ в монослое к площади монослоя (см. рис. 2). В случае небольшого различия в числе молекул ПАВ на двух монослоях использовалось усредненное значение адсорбции.
Рис. 2. Ячейка моделирования, содержащая 170 молекул C10E6SO4Na, 700 молекул декана и 10000 молекул воды. Ось Z перпендикулярна обоим монослоям ПАВ.
Программный пакет GROMACS, используемый в данной работе, позволяет производить вычисление межфазного натяжения на границе раздела сред, используя механическое определение МФН [18]:
, (1)
где Pzz, Pxx, Pyy – усредненные значения диагональных элементов тензора давления, а Lz – это линейный размер ячейки моделирования в направлении, перпендикулярном границе раздела сред. Выражение для тензора давления может быть записано следующим образом:
где индексы α и β могут принимать значения x, y, z; V – объем системы; N – число атомов в системе; mi – масса i-го атома; viα и viβ – проекции скорости i-го атома на оси α и β соответственно; Fijα – проекция на ось α силы, действующей на частицу с номером i со стороны частицы с номером j; rijβ – проекция на ось β вектора, соединяющего положения частиц с номерами i и j (rij=ri–rj). При вычислении межфазного натяжения по указанным выше формулам граница раздела сред должна быть ориентирована перпендикулярно оси Z.
Полноатомные молекулярно-динамические расчеты проводились с использованием пакета GROMACS2020.1 с шагом интегрирования, равным 2 фс. В большинстве случаев длина молекулярно-динамической траектории, по которой вычислялось МФН для каждого значения адсорбции, составляла порядка 50 нс. Постоянство температуры T=300 K (27°C) поддерживалось при помощи термостата v-rescale [19]. Для учета электростатических взаимодействий использовался метод SPME [20] с обрезанием в реальном пространстве на расстоянии 1 нм. Обрезание леннард-джонсовских взаимодействий производилось на расстоянии 1 нм с использованием схемы Верле. При моделировании использовалась периодические граничные условия [21, 22], наложенные на ячейку моделирования в трех пространственных направлениях. Количество молекул воды, углеводорода и ПАВ в ячейке моделирования для исследованных систем приведены в таблице 1. Увеличение числа молекул декана и воды при моделировании C12P8E5 диктовалось существенно большей длиной молекулы C12P8E5 по сравнению с остальными ПАВ (см. рис. 1).
Таблица 1. Число молекул воды, декана и ПАВ в ячейке моделирования для исследованных в полноатомном представлении систем
Система | N(H2O) | N(C10H22) | N(ПАВ) |
H2O – C10H22 | 10000 | 1000 | – |
H2O – C10H22 – ДСН | 10000 | 700 | 30, 60, 100, 170 |
H2O – C10H22 – ЦТАХ | 10000 | 700 | 10, 20, 50, 100, 170 |
H2O – C10H22 – C10E6 | 10000 | 700 | 50, 100, 170 |
H2O – C10H22 – C10E6SO4Na | 10000 | 700 | 170 |
H2O – C10H22 – C12P8E5 | 15000 | 1500 | 100, 150, 200 |
Ускорение молекулярно-динамических расчетов можно осуществить уменьшением числа степеней свободы системы, например, заменяя группу соседних атомов одним силовым центром, что делают в грубозернистом подходе. Широко распространенным вариантом такого подхода является силовое поле MARTINI [23, 24], последняя версия которого – MARTINI 3 вышла в апреле 2021 года [25]. MARTINI успешно использовалось при исследовании свойств конденсированных многокомпонентных фаз, включая межфазные слои в системах жидкость–жидкость, как, например, [5, 26].
В третьей версии силового поля MARTINI были введены новые силовые центры, пересмотрена таблица взаимодействий, что значительно расширило возможности в описании химической структуры молекул. Также были предложены частные модели ряда растворителей, в том числе н-додекана C12H26 [25]. Эта грубозернистая частная модель додекана была использована для моделирования неполярной углеводородной фазы. Молекула додекана представлена трехзвенной открытой цепью A-B-C (модель “бусины на пружинках”), ближайшие в цепи пары грубозернистых центров A-B и B-C соединены упругими пружинами (вклад в потенциальную энергию системы, связанный с изменением длины связи между центрами, дается формулой энергии упругой деформации). Каждый грубозернистый центр в модели додекана представляет четыре метиленовых/метильных группы (стандартная схема компактизации).
Одно из существенных улучшений, появившихся в третьей версии силового поля MARTINI, состоит в пересмотре параметров, описывающих взаимодействие грубозернистых силовых центров воды. Новая параметризация позволила преодолеть проблему предыдущих версий – высокую температуру кристаллизации грубозернистой воды, в особенности упорядочение по типу кристаллизации вблизи поверхностей.
В работе для грубозернистого моделирования используется силовое поле MARTINI 3. Грубозернистые модели рассмотренных в работе ПАВ представлены на рис. 3. Молекулы использованных поверхностно-активных веществ имеют форму линейной цепи, состоящей из 10 (моноалкиловые эфиры полиэтиленгликоля) или cеми (додецилбензолсульфонат натрия) силовых центров (на рисунке различные типы центров обозначены различными цветами).
Рис. 3. Грубозернистые модели поверхностно-активных веществ и ионов, использованные в расчетах: (а) монодециловый эфир гексаэтиленгликоля C10E6, (б) монононадециловый эфир триэтиленгликоля C19E3 и (в) додецилбензолсульфонат анион ДБС. Грубозернистые силовые центры {CH3 – (CH2)2 –} и {– (CH2)3 –} изображены черными шарами, бензольное кольцо – двумя близко расположенными серыми шарами, силовые центры {– CH2 – O – CH2 –}, {– OH} и {– SO3–} – белыми, красными и желтыми шарами соответственно.
В процессе молекулярно-динамического моделирования равновесное термодинамическое состояние двухфазной системы с плоской межфазной границей может быть задано по-разному. Рассмотрим несколько подходов, с помощью которых это может быть реализовано, при этом во всех рассмотренных случаях используется термостатирующий алгоритм, поддерживающий заданную температуру в системе.
а) Баростат выключен (канонический статистический ансамбль)
В исходной конфигурации должны быть исходно заданы равновесные размеры ячейки и величина адсорбции ПАВ на межфазной границе. В противном случае система может находиться в механически напряженном состоянии, не соответствующем реально существующему/возможному.
б) Полуизотропный баростат (не изменяются линейные размеры ячейки вдоль осей, параллельных межфазной границе; фиксируется нормальная компонента тензора давления PN)
Этот подход позволяет моделировать систему, находящуюся в механическом равновесии с внешней средой под давлением P = PN. В процессе релаксации системы площадь межфазной поверхности не изменяется. В системах, содержащих молекулы ПАВ, величина адсорбции не меняется, если отсутствует обмен ПАВ между межфазным слоем и объемными фазами. В системах, в которых происходит интенсивный быстрый обмен веществом между этими областями, величина адсорбции может измениться.
в) Баростат, фиксирующий значение поверхностного или межфазного натяжения (Surface-tension barostat)
Этот вариант может быть использован для создания исходной конфигурации двухфазной системы с плоской межфазной поверхностью. Для реализации этого подхода задаются значения МФН и нормальной компоненты тензора давления. Для систем с интенсивным обменом вещества между межфазным слоем и объемными фазами моделирование может оказаться крайне затруднительным.
В полноатомных расчетах по вычислению МФН нами была использована следующая схема.
Создание начальной конфигурации молекулярной системы, состоящей из двух граничащих друг с другом объемных фаз (воды и смеси декана с молекулами ПАВ или с поверхностно-активными ионами), производилось при помощи программы Packmol [27]. Молекулы воды и декана занимали, приблизительно, по половине объема ячейки моделирования, а молекулы неионного ПАВ были распределены случайным образом в области, занятой молекулами декана. Такое начальное расположение молекул способствует более быстрому уходу молекул ПАВ на границу раздела углеводород– вода. В случае с ионным ПАВ поверхностно-активные ионы размещались в углеводородной фазе, а противоионы – в водной фазе.
Далее следовало уравновешивание системы в NPT-ансамбле. На этой стадии средний объем системы принимал значение, характерное для заданного давления (для этого обычно было достаточно несколько сотен пикосекунд), затем в течение нескольких десятков наносекунд все молекулы ПАВ уходили на границу раздела углеводород – вода.
Для вычисления МФН необходимо наличие достаточной толщины углеводородного и водного слоев, т. е. наличие объемных водной и углеводородной фаз в ячейке моделирования. Достичь достаточной протяженности водной и углеводородной фаз, разумеется, можно при увеличении числа молекул воды и углеводорода, однако, это существенно увеличило бы время расчетов. Поэтому при вычислении МФН часто используется ячейка, вытянутая вдоль оси, перпендикулярной границе раздела сред (в нашем случае это ось Z), т. е. Lx = Ly<Lz, где Lx, Ly, Lz – это линейные размеры ячейки моделирования вдоль осей X, Y и Z соответственно. Вытянутая вдоль оси Z ячейка моделирования создавалась с помощью алгоритма, задающего разные давления в тангенциальном и нормальном направлениях по отношению к границе раздела сред. В большинстве наших расчетов относительная разность давлений составляла 10%, моделирование проводилось в течение 1 нс и при необходимости повторялось для достижения необходимой толщины углеводородного и водного слоев. На данном шаге за счет уменьшения площади поперечного сечения ячейки увеличивалось значение адсорбции ПАВ на границе раздела фаз.
На следующем шаге происходило моделирование системы в каноническом (NVT) статистическом ансамбле. Объем и форма ячейки оставались такими же, как и в конце предыдущего шага, т. е. ячейка была вытянута вдоль оси Z. Полученная на данном шаге молекулярно-динамическая траектория, использовалась для вычисления МФН при заданном значении адсорбции ПАВ.
Для получения зависимости МФН от адсорбции ПАВ в широком интервале значений адсорбций этот диапазон разбивался на участки (см. рис. 4), а зависимости МФН от адсорбции, полученные на разных участках, “сшивались”. Для расчета МФН при нулевом значении адсорбции проводилось моделирование двухфазной системы, содержащей только молекулы углеводорода и воды. Для каждого участка с ненулевым значением адсорбции число молекул ПАВ сохранялось постоянным, а при переходе от одного участка к другому постепенно увеличивалось. Адсорбция при этом также увеличивалась, поскольку мы уравновешивали систему до тех пор, пока все молекулы ПАВ не окажутся на межфазной границе. Для получения зависимости МФН от адсорбции для каждого из участков мы чередовали описанные выше шаги (вытягивание ячейки вдоль оси Z, сопровождающееся увеличением адсорбции за счет уменьшения площади межфазной границы, и моделирование при заданном значении адсорбции).
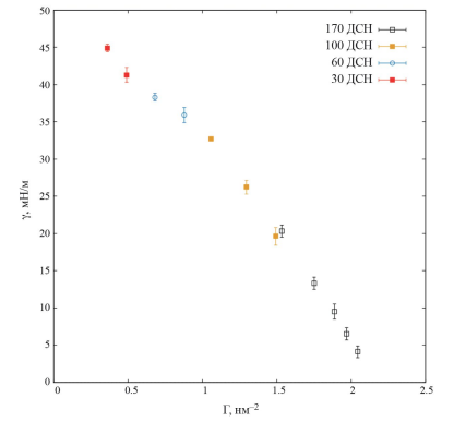
Рис. 4. Зависимости МФН от адсорбции ДСН на границе раздела декан–вода, полученные при температуре 300 K, при различном числе молекул ПАВ в ячейке моделирования.
На рис. 4 представлен пример использования описанной выше схемы расчета МФН в широком диапазоне адсорбций для двухфазной системы “декан–вода” в присутствии молекул додецилсульфата натрия. Красными квадратами, синими кругами, желтыми квадратами и черными квадратами показаны результаты, полученные на основе описанной выше схемы для 30, 60, 100 и 170 молекул ДСН в ячейке моделирования.
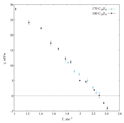
Теоретически, можно проводить моделирование с постоянным числом молекул в ячейке моделирования во всем диапазоне адсорбций, однако при этом значения МФН могут оказаться отрицательными, что, по-видимому, соответствует метастабильному состоянию системы. На рис. 5 представлены графики зависимости МФН от адсорбции, полученные в системах содержащих 700 молекул декана, 10000 молекул воды и 100 или 170 молекул неионного ПАВ C10E6. Кривая, полученная для системы со 100 молекулами ПАВ, при повышении адсорбции доходит до нулевого значения межфазного натяжения и далее уходит в область отрицательных значений. При этом соотношение сторон ячейки моделирования Lz/Lx = Lz/Ly для системы со 100 молекулами ПАВ оказывается достаточно большим: для трех точек с наибольшими значениями адсорбции оно варьируется от 6 до 6.4. Значения МФН в области высоких адсорбций, полученные в системе со 170 молекулами ПАВ, где соотношение Lz/Lx = Lz/Ly не превышало 2.8, остаются в области положительных значений. В полноатомных молекулярно-динамических расчетах мы следили, чтобы соотношение сторон ячейки моделирования Lz/Lx = Lz/Ly не превышало 3, чтобы не допускать ухода МФН в область отрицательных значений. Вопрос о связи соотношения сторон ячейки моделирования со знаком МФН, по-видимому, требует дополнительного изучения.
Рис. 5. Зависимости МФН от адсорбции для неионного ПАВ (C10E6) на границе раздела декан–вода, полученные в полноатомном моделировании при температуре 300 K и различном числе молекул ПАВ (100 и 170 молекул) в ячейке моделирования.
Молекулярно-динамические расчеты в рамках грубозернистых моделей проводились с использованием пакета GROMACS2019.2 [28, 29, –30]. Шаг интегрирования составлял 10 фс. Моделирование проводилось при постоянных значениях числа молекул компонентов (вода, углеводород, ПАВ) в ячейке моделирования, температуры T = 353 K и полного импульса системы P = 0. Число частиц в ячейке моделирования составило: 8100 грубозернистых частиц воды, 2700 молекул додекана, а в случае трехкомпонентных систем в ячейку было добавлено также 100 молекул ПАВ (“обычный размер системы”). В случае моделирования систем с высокой адсорбцией ПАВ на межфазных границах число частиц было увеличено в четыре раза: 32400 грубозернистых частиц воды, 10800 молекул додекана, 400 молекул ПАВ (“увеличенная система”). Постоянство температуры поддерживалось пересчетом скоростей с помощью метода v-rescale [19], аналогичного термостатирующему алгоритму Берендсена, но с использованием случайного члена, что гарантирует корректную выборку конфигураций из статистико-термодинамического ансамбля; внутренний параметр алгоритма термостатирования “время релаксации” был выбран равным 1 пс. Радиус прямого леннард-джонсовского взаимодействия составил 2.35 нм (не менее пяти диаметров наименьшего по размеру силового центра). Ячейка моделирования представляла собой прямоугольный параллелепипед; на эту ячейку вдоль трех взаимно перпендикулярных направлений налагались периодические граничные условия (см. рис. 6). На стационарном участке траектории частицы воды и молекулы углеводорода не смешивались и собирались в области (образовывали отдельные фазы), располагавшиеся в ячейке слоями с плоскими межфазными поверхностями, перпендикулярными оси Z. В ячейке выделяются области, содержащие частицы воды (белые шары), жидкого углеводорода (розовые) и межфазные поверхности раздела с адсорбированными молекулами ПАВ (неполярная часть показана голубыми шарами, полярная часть – зелеными и красными). В случае γ = 0 мН/м из-за высокой величины адсорбции ПАВ система была увеличена в 2 раза вдоль осей X и Y (количество вещества увеличилось в 4 раза).
Рис. 6. Двухфазная трехкомпонентная система: вода–додекан–C10E6. Форма основной ячейки моделирования при различных заданных значениях межфазного натяжения γ: 50 (а), 30 (б), 0 мН/м (в). Ось X вертикальна, ось Z горизонтальна, а ось Y перпендикулярна плоскости изображения.
В большинстве случаев 100 нс было достаточно для достижения стационарных значений размеров ячейки и стационарного распределения компонентов в пространстве (выход на постоянные величины адсорбции ПАВ на межфазных границах). Однако для ряда систем с медленно протекающими релаксационными процессами (обмен молекул ПАВ между одной из фаз и межфазной поверхностью) приходилось увеличивать длину нестационарного участка до 2300 нс. Время моделирования на стационарном участке траектории составляло не менее 500 нс.
ОБСУЖДЕНИЕ РЕЗУЛЬТАТОВ
Графики зависимости МФН от адсорбции для пяти различных ПАВ представлены на рис. 7. В качестве анионных ПАВ были выбраны додецилсульфат натрия и C10E6SO4Na, в качестве катионного – хлорид цетилтриметиламмония, также были рассмотрены два неионных ПАВ – C10E6 и C12P8E5. Для всех ПАВ, кроме C12P8E5 и C10E6SO4Na, графики МФН были построены во всем диапазоне адсорбций. Состав моделируемых систем приведен в Таблице. На основании полученных зависимостей МФН от адсорбции можно сделать вывод, что C10E6SO4Na позволяет достичь в данной системе наименьшее значение МФН среди пяти рассмотренных одиночных ПАВ.
Рис. 7. Зависимости МФН от адсорбции ПАВ на границе декан–вода при температуре 300 K для пяти индивидуальных ПАВ: C10E6, ДСН, ЦТАХ, C12P8E5 и C10E6SO4Na.
Результаты расчетов трехкомпонентной двухфазной системы вода – додекан – C10E6 в грубозернистом моделировании представлены на рис. 8 (залитые черным кружки) в координатах межфазное натяжение – адсорбция. Точка с нулевой адсорбцией и максимальным значением межфазного натяжения соответствует системе без ПАВ. Все остальные точки получены для систем, содержащих ПАВ. Финальная конфигурация для системы с более высоким МФН использовалась в качестве начальной конфигурации для расчета системы с более низким межфазным натяжением. В этом случае при выборе баростата, фиксирующего значение межфазного натяжения (задаются PN = 1 бар и конкретное значение γ), на начальном периоде моделирования происходило изменение (увеличение) адсорбции ПАВ на межфазной поверхности – баростатирующий алгоритм изменял (уменьшал) размеры ячейки вдоль осей, параллельных поверхности раздела фаз. Стоит отметить, что в процессе уменьшения размеров ячейки число молекул ПАВ на каждой межфазной поверхности не менялось вплоть до самых высоких величин адсорбции, молекулы C10E6 прочно “держатся” на межфазной границе и не десорбируются в какую-либо из объемных фаз (вода, углеводород).
Рис. 8. Зависимость межфазного натяжения от величины адсорбции ПАВ на межфазной границе в системе вода – додекан – ПАВ для трех различных ПАВ (C10E6, C19E3, ДБСН). Температура 353 K, система находится в механическом равновесии с газом под давлением PN = 1 бар. Данные грубозернистого моделирования.
С увеличением адсорбции ПАВ межфазное натяжение γ, вычисленное на основе механического определения, см. формулу (1), уменьшается, и при значениях адсорбции больше 0.9 нм–2 γ уменьшается линейно с ростом адсорбции, достигая отрицательных значений при адсорбциях выше 2.05 нм–2.
Качественно аналогичный ход зависимости межфазного натяжения от адсорбции получен в полноатомном моделировании для системы вода – декан – C10E6 при температуре 300K (см. рис. 5). Однако следует отметить, что при сравнительно близких по размеру системах в случае грубозернистого моделирования время наблюдения за системой может быть увеличено на порядок. В этих предварительных расчетах оно было не менее 500 нс. В отдельных случаях время наблюдения за системой достигало нескольких микросекунд.
На рис. 8 приведены также данные для систем вода–додекан–ПАВ с двумя другими ПАВ – более гидрофобным (монононадециловый эфир триэтиленгликоля C19E3) и более гидрофильным (додецилбензолсульфонат натрия ДБСН). Линия для более гидрофобного ПАВ лежит относительно графика для C10E6 правее – в области более высоких адсорбций и межфазных натяжений, тогда как для более гидрофильного – левее, ближе к началу координат, в области более низких межфазных натяжений и адсорбций. Стоит также отметить, что молекулы C19E3 в системе с высокими значениями адсорбции (Γ > 1.5 нм–2) “выдавливаются” из межфазного слоя в углеводородную фазу и образуют там небольшие агрегаты. Для системы, содержащей C10E6, такого при моделировании замечено не было, молекулы ПАВ прочно “сидят” в межфазном слое даже при очень высоких значениях адсорбции (Γ ~ 2 нм–2).
ЗАКЛЮЧЕНИЕ
Для двухфазных многокомпонентных систем углеводород–вода–ПАВ с плоской межфазной границей был предложен способ молекулярно-динамического расчета межфазного натяжения в полном диапазоне возможных адсорбций ПАВ на границе раздела фаз. Этот подход позволил достичь малых значений межфазного натяжения при плотной упаковке молекул ПАВ на межфазной границе.
Методом молекулярной динамики с использованием полноатомных и грубозернистых моделей выполнен расчет межфазного натяжения в двухфазных системах вода– алкан (декан, додекан) в присутствии различных индивидуальных ПАВ. Зависимость МФН от адсорбции получена для следующих ионных и неионных ПАВ: додецилсульфат натрия (ДСН), хлорид цетилтриметиламмония (ЦТАХ), додецилбензолсульфонат натрия (ДБСН), децет-6 сульфат натрия C10E6SO4Na, монодециловый эфир гексаэтиленгликоля (C10E6), монононадециловый эфир триэтиленгликоля (C19E3), монододециловый эфир октапропоксипентаэтиленгликоля (C12P8E5). Получено согласие данных для МНФ при использовании как полноатомного, так и грубозернистого подходов в области умеренных значений адсорбций в случае неионного ПАВ.
Работа выполнена при финансовой поддержке ООО “ГАЗПРОМНЕФТЬ – Технологические Партнерства”.
Авторы заявляют, что у них нет конфликта интересов.
Авторы сердечно поздравляют Лабораторию химической термодинамики химического факультета МГУ им. М. В. Ломоносова, которая в 2023 году отметила 100-летний юбилей, и Санкт-Петербургский государственный университет, которому в 2024 году исполнится 300 лет.
About the authors
А. А. Ванин
Санкт-Петербургский государственный университет
Email: nikolay.volkov@spbu.ru
Russian Federation, Санкт-Петербург, 199034
Н. А. Волков
Санкт-Петербургский государственный университет
Author for correspondence.
Email: nikolay.volkov@spbu.ru
Russian Federation, Санкт-Петербург, 199034
Е. Н. Бродская
Санкт-Петербургский государственный университет
Email: nikolay.volkov@spbu.ru
Russian Federation, Санкт-Петербург, 199034
А. К. Щёкин
Санкт-Петербургский государственный университет
Email: nikolay.volkov@spbu.ru
Russian Federation, Санкт-Петербург, 199034
Е. А. Турнаева
Тюменский государственный университет
Email: nikolay.volkov@spbu.ru
Russian Federation, Тюмень, 625003
М. С. Половинкин
Санкт-Петербургский государственный университет
Email: nikolay.volkov@spbu.ru
Russian Federation, Санкт-Петербург, 199034
Ю. А. Ерошкин
Санкт-Петербургский государственный университет
Email: nikolay.volkov@spbu.ru
Russian Federation, Санкт-Петербург, 199034
References
- Иванова А. А., Кольцов И. Н., Громан А. А. и др. // Нефтехимия. 2023. Т. 63. № 4. С. 449. https://doi.org/10.31857/S0028242123040019 (Ivanova A. A., Koltsov I. N., Groman A. A., et al. // J. Petroleum Chem. 2023. V. 63. No. 8. P. 867.) https://doi.org/10.1134/S0965544123060142
- Shi P., Luo H., Ta X. et al. // RSC Advances. 2022. V.12. № 42. P. 27330. https://doi.org/10.1039/d2ra04772a
- Bui T., Frampton H., Huang Sh. et al. // Phys. Chem. Chem. Phys. 2021. V. 23. N. 44. P. 25075. https://doi.org/10.1039/D1CP03971G
- Müller P., Bonthuis D. J., Miller R. et al. // J. Phys. Chem. B. 2021. V. 125. N. 1. P. 406. https://doi.org/10.1021/acs.jpcb.0c08615
- Ghoufi A., Malfreyt P., Tildesley D. J. // Chem. Soc. Rev. 2016. V. 45. N. 5. P. 1387. https://doi.org/10.1039/C5CS00736D
- Negin C., Ali S., Xie Q. // Petroleum. 2017. V.3. P. 197. https://doi.org/10.1016/j.petlm.2016.11.007
- Belyaeva E. A., Vanin A. A., Victorov A. I. // Phys. Chem. Chem. Phys. 2018. V. 20. Is. 36. P. 23747. https://doi.org/10.1039/C8CP02488J
- Belyaeva E. A., Vanin A. A., Anufrikov Yu. A. et al. // Colloids Surf. A. 2016. V. 508. P. 93. https://doi.org/10.1016/j.colsurfa.2016.08.022
- Волков Н.А., Ерошкин Ю. А., Щекин А. К. и др. // Коллоидн. журн. 2021. Т. 83. № 4. С. 382. https://doi.org/10.31857/S0023291221040157 (Volkov N. A., Eroshkin Yu.A., Shchekin A.K et al. // Colloid J. 2021. V. 83. N. 4. P. 406.) https://doi.org/10.1134/S1061933X21040141
- Volkov N.A., Tuzov N. V., Shchekin A. K. // Fluid Phase Equilibria. 2016. V. 424. P. 114. https://doi.org/10.1016/j.fluid.2015.11.015
- Vanommeslaeghe K., Hatcher E., Acharya C. et al. // J. Comput. Chem. 2010. V. 31. P. 671. https://doi.org/10.1002/jcc.21367
- Yu W., He X., Vanommeslaeghe K., Mackerell A. D., Jr. // Ibid. 2012. V. 33. P. 2451. https://doi.org/10.1002/jcc.23067
- Klauda J.B., Venable R. M., Freites J. A. et al. // J. Phys. Chem. B. 2010. V. 114. P. 7830. https://doi.org/10.1021/jp101759q
- Jorgensen W.L., Chandrasekhar J., Madura J. D. et al. // J. Chem. Phys. 1983. V. 79. P. 926. https://doi.org/10.1063/1.445869
- Humphrey W., Dalke A., Schulten K. // J. Mol. Graph. 1996. V. 14. P. 33. https://doi.org/10.1016/0263-7855(96)00018-5
- Hanwell M.D., Curtis D. E., Lonie D. C. et al. // J. Cheminform. 2012. V. 4. P. 17. https://doi.org/10.1186/1758-2946-4-17
- Faria B. F., Vishnyakov A. M. // J. Chem. Phys. 2022. V. 157. Article 094706. https://doi.org/10.1063/5.0087363
- van Buuren A. R., Marrink S.-J., Berendsen H. J. C. // J. Phys. Chem. 1993. V. 97. P. 9206. https://doi.org/10.1021/j100138a023
- Bussi G., Donadio D., Parrinello M. // J. Chem. Phys. 2007. V. 126. № 014101. https://doi.org/10.1063/1.2408420
- Essmann U., Perera L., Berkowitz M. L. et al. // J. Chem. Phys. 1995. V. 103. P. 8577. https://doi.org/10.1063/1.470117
- Allen M.P., Tildesley D. J. Computer Simulation of Liquids. Oxford University Press, 2017. 2nd ed. 626 p.
- Френкель Д., Смит Б. Принципы компьютерного моделирования молекулярных систем: от алгоритмов к приложениям. Пер. с англ. и науч. ред. Иванов В. А., Стукан М. Р. М.: Научный мир, 2013. 559 с.
- Marrink S.J., de Vries A. H., Mark A. E. // J. Phys. Chem. B. 2004. V. 108. P. 750. https://doi.org/10.1021/jp036508g
- Marrink S.J., Risselada H. J., Yefimov S. et al. // J. Phys. Chem. B. 2007. V. 111. P. 7812. https://doi.org/10.1021/jp071097f
- Souza P.C.T., Alessandri R., Barnoud J. et al. // Nat Methods. 2021. V. 18. P. 382. https://doi.org/10.1038/s41592-021-01098-3
- Ndao M., Devémy J., Ghoufi A., Malfreyt P. // J. Chem. Theory Comput. 2015. V. 11. P. 3818. https://doi.org/10.1021/acs.jctc.5b00149
- Martínez L., Andrade R., Birgin E. G., Martínez J. M. // J. Comput. Chem. 2009. V. 30. № 13. P. 2157. https://doi.org/10.1002/jcc.21224
- Berendsen H.J.C., van der Spoel D., van Drunen R. // Comp. Phys. Comm. 1995. V. 91. P. 43. https://doi.org/10.1016/0010-4655(95)00042-E
- van der Spoel D., Lindahl E., Hess B. et al. // J. Comp. Chem. 2005. V. 26. P. 1701. https://doi.org/10.1002/jcc.20291
- Pronk S., Páll S., Schulz R. et al. // Bioinformatics. 2013. V. 29. P. 845. https://doi.org/10.1093/bioinformatics/btt055
Supplementary files










