Оценка термодинамических характеристик фазовых переходов (гексафторацетилацетонато)(циклооктадиен-1,5) серебра (I)
- Авторы: Жерикова К.В.1, Викулова Е.С.1, Пищур Д.П.1, Морозова Н.Б.1
-
Учреждения:
- Институт неорганической химии им. А. В. Николаева СО РАН
- Выпуск: Том 98, № 9 (2024)
- Страницы: 118-123
- Раздел: 100-ЛЕТИЮ ЛАБОРАТОРИИ ХИМИЧЕСКОЙ ТЕРМОДИНАМИКИ МГУ
- Статья получена: 07.03.2025
- Статья одобрена: 07.03.2025
- Статья опубликована: 30.12.2024
- URL: https://ogarev-online.ru/0044-4537/article/view/282766
- DOI: https://doi.org/10.31857/S0044453724090163
- EDN: https://elibrary.ru/ONEGMH
- ID: 282766
Цитировать
Полный текст
Аннотация
Получены новые данные о термическом поведении и процессах парообразования и плавления (гексафторацетилацетонато)(циклооктадиен-1,5) серебра, [Ag(cod)(hfac)]n (n = 1, 2). Синтезирована и охарактеризована димерная форма комплекса. Конденсированная фаза исследована методами термогравиметрического и дифференциально-термического анализа, а также дифференциальной сканирующей калориметрии, проведена оценка его термической устойчивости и качественной летучести, определены температура, энтальпия и энтропия плавления комплекса. Показано, что соединение сверхчувствительно к нагреванию, что делает невозможным определение надежных термодинамических характеристик экспериментальным путем. С использованием стандартизованных величин энтальпий и энтропий процессов сублимации и плавления подобных разнолигандных комплексов меди(I) и иридия(I) вычислены термодинамические характеристики по процессам испарения этих хелатов. Последние использованы при построении корреляций “структура–летучесть”, которые позволили оценить необходимые величины фазовых переходов целевого комплекса серебра. Предложен подход к оценке термодинамических свойств комплексов состава [M(cod)(beta-dik)]n с целью определения оптимальных условий осаждения металлсодержащих покрытий.
Полный текст
Комплекс (гексафторацетилацетонато)(циклооктадиен-1,5) серебра [Ag(cod)(hfac)]2 [1] является одним из немногих эффективных прекурсоров, который может быть использован в газофазных процессах формирования покрытий и наночастиц серебра [2–4], например, на материалах современных имплантатов как компонентов гетероструктур с активной антибактериальной поверхностью [5]. Однако, необходимые для успешной реализации газофазных экспериментов количественные данные о процессах парообразования (температурные зависимости давления насыщенных паров, энтальпия, энтропия) и термическом поведении в конденсированной фазе (термическая устойчивость, фазовые переходы) по этому соединению отсутствуют. В литературе представлена весьма скудная информация о физико-химических свойствах соединения: доказано его димерное строение в кристаллической фазе [6] и определена точка плавления [4]. Одной из причин сложившейся ситуации является невозможность проведения каких-либо экспериментальных исследований из-за термической нестабильности комплекса и его чувствительности к свету. Решением проблемы может стать разработка и использование подхода, базирующегося на корреляциях и обобщениях, который позволит проводить оценку свойств комплекса.
Ранее нами были изучены два аналога комплекса – [Cu(cod)(hfac)] [7] и [Ir(cod)(hfac)] [8]. Cравнение их термических свойств показало, что полученные данные могут быть перенесены на изолигандные соединения других металлов(I) [7].
В фокусе настоящей работы находится исследование комплекса [Ag(cod)(hfac)]2 и оценка термодинамических параметров (сублимация и испарение) этого соединения с привлечением данных по его ближайшим аналогам, [Cu(cod)(hfac)] и [Ir(cod)(hfac)] (рис. 1).
Рис. 1. β-Дикетонатные комплексы металлов(I).
ЭКСПЕРИМЕНТАЛЬНАЯ ЧАСТЬ
Синтез комплекса [Ag(cod)(hfac)2] (CAS No. 152337-99-0) проводили по реакции 10%-ного избытка Ag2O с циклооктадиеном (cod) и β-дикетоном (Hhfac) в дихлорметане согласно методике [6]. После отделения непрореагировавшего оксида, целевой комплекс очищали кристаллизацией из CH2Cl2 при 200 K. Выход 40%. Соединение является кристаллическим веществом белого цвета.
Чистоту полученного продукта подтверждали с помощью ПМР-спектроскопии и элементного анализа. Спектр ПМР зарегистрирован на спектрометре Bruker Avance 500 Plus (1H 500.129 МГц) в растворе CDCl3 при 298 K (δ, м. д.): 6.09 с., 4H (CH, cod), 5.81 с., 1H (CH, hfac), 2.53 с., 8H (CH2, cod). Элементный анализ на содержание C, H, F выполнен в Химическом исследовательском центре коллективного пользования СО РАН, НИОХ СО РАН, на элементном анализаторе Euro EA3000 и спектрофотометре Agilent Cary-60 [9, 10]. Для Ag2C26H26F12O4 (мас. %) найдено: С, 36.8; H, 3.2; F, 27.0; вычислено: С, 36.9; H, 3.1; F, 26.9. По совокупности чистота образца составила не ниже 99.5%.
Комплексный термический анализ (ТГ/ДТА), включающий одновременное проведение термогравиметрического и дифференциального термического анализа, выполнен на приборе Iris Netzsch TG 209 F1. Эксперименты осуществляли в условиях, аналогичных тем, в которых проводилась съемка образцов [Cu(cod)(hfac)] [7] и [Ir(cod)(hfac)] [11] – в атмосфере гелия (30 мл/мин) в диапазоне температур 303–540 K (скорость нагрева 10 K/мин) в тиглях (Al) открытого типа, масса образца составляла 11.004 мг (погрешность взвешивания 0.001 мг).
Калориметрические измерения проведены в дифференциальном сканирующем калориметре теплового потока NETZSCH DSC204 F1 Phoenix. Навески вещества составляли 9–11 мг (погрешность взвешивания 0.01 мг) и при проведении опытов находились в открытых алюминиевых тиглях объемом 25 мкл. Образец нагревали со скоростью 9 K/мин в атмосфере аргона. Процедура и техника эксперимента подробно описаны ранее [12]. Стандартная неопределенность в измерениях теплового эффекта, предсказанная на основе калибровочных экспериментов (Hg, In, Sn, Bi, Zn), составила менее 3% (Свидетельство о поверке № С-С/02-02-2022/129404261).
ОБСУЖДЕНИЕ РЕЗУЛЬТАТОВ
Термическое исследование
Образец [Ag(cod)(hfac)]2 сохраняет первоначальную массу примерно до 360 K, при дальнейшем повышении температуры начинается парообразование вещества, сопровождающееся его значительным разложением, которое завершается к 500 K (рис. 2). Масса нелетучего остатка составляет ~ 29%. Потеря массы образца начинается после плавления. Обнаруженный на ДТА-кривой единственный эндоэффект при температуре 392 K относится к плавлению, значение прекрасно согласуется с результатами ДСК.
С целью сравнения на график нанесены ТГ/ДТА-кривые для медного [7] и иридиевого [11] аналогов комплекса (рис. 2). В отличие от целевого соединения, эти хелаты термически стабильны и имеют более низкие температуры плавления – 375 K ([Cu(cod)(hfac)]) и 389 K ([Ir(cod)(hfac)]). Комплекс с тяжелым атомом иридия [Ir(cod)(hfac)] обладает лишь незначительно меньшей летучестью по сравнению с [Cu(cod)(hfac)] (454 K vs 435 K при 50% потере массы). Адекватное сравнение летучести с серебряным комплексом невозможно из-за крайней нестабильности последнего.
Рис. 2. ТГ/ДТА-кривые [Ag(cod)(hfac)]2 (1/1’), [Cu(cod)(hfac)] (2/2’) [7], [Ir(cod)(hfac)] (3/3’) [11].
Калориметрическое исследование комплекса [Ag(cod)(hfac)]2 проведено с разными навесками образца; в обработку включали данные только первого нагрева. Полученные значения температуры (Tпл) и термодинамических величин энтальпии (DплHom(Tпл)) и энтропии (DплSom(Tпл)) плавления с погрешностями для 95% доверительного интервала представлены в табл. 1.
Таблица 1. Температуры плавления (Tпл), стандартные энтальпии (DплHom) и энтропии (DплSom) плавления разнолигандных комплексов Ag(I), Cu(I) и Ir(I), полученные методом ДСК
Комплекс | М, г/моль | Tпл, K | DплHom(Tпл), кДж моль–1 | DплSom(Tпл), Дж моль–1 K–1 | DплHom (298.15 K), кДж моль–1 | DплSom (298.15 K), Дж моль–1 K–1 |
[Ag(cod)(hfac)]2 | 846.20 | 393.0 ± 0.5 | 50.6 ± 1.5 | 128.8 ± 3.8 | 50.4 ± 1.5 | 128.1 ± 3.8 |
[Cu(cod)(hfac)] | 378.78 | 375.2 ± 0.5 [7] | 32.7 ± 1.0 [7] | 87.2 ± 2.6 [7] | 28.1 ± 1.7 | 73.4 ± 4.5 |
[Ir(cod)(hfac)] | 507.45 | 390.3 ± 0.5 [8] | 20.0 ± 0.3 [8] | 51.2 ± 0.6 [8] | 14.5 ± 1.7 | 35.0 ± 4.1 |
Примечание. К значениям температур плавления, энтальпий и энтропий плавления приведены комбинированные расширенные неопределенности (доверительный интервал 95%); энтальпия и энтропия плавления при температуре плавления отнесена к 298.15 K по уравнениям (6), (7), погрешности от температурного отнесения оценены в 30% от общей величины отнесения [13].
Оценка термодинамических характеристик парообразования
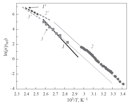
Поскольку получить экспериментальные данные по летучести комплекса [Ag(cod)(hfac)]2 крайне затруднительно ввиду его нестабильности, мы воспользовались информацией о процессах парообразования аналогичных комплексов меди и иридия. Данные по давлению насыщенных паров над кристаллическими [Cu(cod)(hfac)] и [Cu (cod)(hfac)] и соответствующие термодинамические характеристики, опубликованные нами ранее [7, 8], приведены на рис. 3 и в табл. 2. Сравнение показало, что летучесть комплекса с медью, имеющей атомную массу в три раза меньшую, чем иридий, отличается не более чем на 0.5 порядка. Такое незначительное влияние центрального атома на термические свойства данного класса соединений позволяет переносить полученные данные на изолигандные соединения других металлов(I).
Рис. 3. Температурные зависимости давления насыщенных паров над веществами в кристаллической, [Ag(cod)(hfac)]2 (1, линия – эта работа), [Cu(cod)(hfac)] (2, ● – [7]), [Ir(cod)(hfac)] (3, ■ – [8]), и жидкой фазах, [Ag(cod)(hfac)] (1’, пунктир – эта работа), [Cu(cod)(hfac)] (2’, пунктир – эта работа), [Ir(cod)(hfac)] (3’, пунктир – эта работа), pref = 1 Па.
Таблица 2. Стандартная молярная энтальпия Dсубл/испHom(Tср) и стандартная молярная энтропия Dсубл/испSom (Tср) сублимации или испарения [M(cod)(hfac)]n при средней температуре (Tср) экспериментального интервала ΔT и при 298.15 K
Соединение | Метод | ΔT (Tср), K | Dсубл/испHom (Tср), кДж моль–1 | Dсубл/испSom (Tср), Дж моль–1 K–1 | Dсубл/испHom (298.15 K), кДж моль–1 | Dсубл/испSom (298.15 K), Дж моль–1 K–1 |
[Cu(cod)(hfac)] cублимация [7] | K | 293–337 (314.6) | 94.8 ± 1.5 | 200.9 ± 3.2 | 95.8 ± 3.1 | 203.5 ± 6.6 |
[Cu(cod)(hfac)] испарение | КР | – | – | – | 67.7 ± 3.5 | 130.1 ± 8.0 |
П | 353–387 (370.2) | 91.7 ±2.0 | 182.7 ± 4.0 | 96.0 ± 2.6 | 196.0 ± 5.0 | |
[Ir(cod)(hfac)] испарение | КР | – | – | – | 81.5 ± 3.1 | 161.0 ± 6.5 |
[Ag(cod)(hfac)]2 сублимация | СС | – | – | – | 122.9± 5.0 | ± 11 |
[Ag(cod)(hfac)] испарение | СС | – | – | – | 72.5 ± 4.8 | ± 10 |
Примечание. К значениям энтальпий и энтропий сублимации приведены расширенные неопределённости (доверительный интервал 95%); K – эффузионный метод Кнудсена с масс-спектрометрической регистрацией состава газовой фазы; П – метод потока; КР – косвенный расчет по уравнениям (1), (2) с использованием экспериментальных значений энтальпий плавления из табл. 1; СС – оценка с использованием корреляций “структура-свойство” (см. текст).
Однако, целевой комплекс серебра является димером [Ag(cod)(hfac)]2 в твердой фазе [6], что, безусловно, должно быть учтено. Поскольку сохранение димерной формы соединения в жидкой фазе маловероятно, и плавление вещества, скорее всего, сопровождается его мономеризацией, целесообразно проводить сравнение термодинамических величин, относящихся к процессу испарения [M(cod)(hfac)] (M=Cu, Ir). С этой целью, используя фундаментальные соотношения 1, 2, мы рассчитали значения стандартных молярных энтальпий, DиспHom(T), и энтропий, DиспSom(T), испарения комплексов [Cu(cod)(hfac)] и [Ir(cod)(hfac)] (табл. 2):
(1)
(2)
Термодинамические характеристики процесса сублимации при 298.15 K (табл. 2) были опубликованы нами ранее [7, 8]. Статистическую обработку экспериментальных данных по давлению насыщенных паров над этими двумя хелатами проводили в соответствии с трехпараметрическим уравнением [14, 15]:
(3)
где a и b – подгоночные параметры, DсублCop,m – разность молярных изобарных теплоемкостей газовой и кристаллической фаз, To – произвольная температура, выбранная нами равной 298.15 K, pref = 1 Па. Стандартная молярная энтальпия, DсублHoT, и энтропия, DсублSoT, сублимации при температуре T получены из уравнения (3) следующим образом:
(4)
(5)
Термодинамические характеристики процесса плавления при температуре плавления были отнесены к 298.15 K с помощью уравнений Кирхгофа:
DплHom(Tпл) – DплHom(298.15 K) = = DсублСop,m [Tпл – 298.15] – – DиспСop,m [Tпл – 298.15], (6)
DплSom(Tпл) – DплSom(298.15 K) = = DсублСop,m ln(Tпл/298.15) – – DиспСop,m ln(Tпл/298.15). (7)
Результаты отнесения приведены в табл. 1.
Необходимые величины DсублCop,m (298.15 K) и DиспCop,m (298.15 K) (разность молярных изобарных теплоемкостей газовой и жидкой фаз) мы оценили с помощью эмпирических уравнений, предложенных в работе Чикоса и Акри [16]:
(8)
(9)
Значения молярных изобарных теплоемкостей кристаллической и жидкой фаз, Cop,m (кр./ж., 298.15 K), мы приняли одинаковыми для всех трех соединений в мономерной форме, равными соответствующим теплоемкостям иридиевого хелата [Ir(cod)(hfac)] – 384.6 Дж моль–1 K–1 и 415.6 Дж моль–1 K–1 [8], поскольку, как уже было показано нами [17], экспериментальные значения теплоемкостей изолигандных β-дикетонатных комплексов металлов мало зависят от типа металла. В случае димера [Ag(cod)(hfac)]2 мы удвоили значение, получив Cop,m (кр., 298.15 K) = 796.2 Дж моль–1 K–1 для [Ag(cod)(hfac)]2. Оцененные с помощью этих значений и эмпирических уравнений (8), (9) величины DсублCop,m (298.15 K) = –58.4 Дж моль–1 K–1 для [M(cod)(hfac)] (M = Cu, Ir), DиспCop,m (298.15 K) = –118.6 Дж моль–1 K–1 для [M(cod)(hfac)] (M = Ag, Cu, Ir) и DсублCop,m (298.15 K) = –116.1 Дж моль–1 K–1 для [Ag(cod)(hfac)]2 использовали при отнесении к стандартной температуре необходимых термодинамических величин, описывающих процессы плавления, испарения и сублимации (табл. 1, 2).
На примере трис-ацетилацетонатов металлов нами было показано, что значения энтальпий и энтропий испарения при 298.15 K связаны линейной зависимостью с молярной массой комплексов [17]. В отсутствии каких-либо данных по парообразованию комплексов серебра, мы предположили, что линейная корреляция сохранится и для обсуждаемых комплексов (I). По линейной зависимости между энтальпиями и энтропиями испарения [Cu(cod)(hfac)] и [Ir(cod)(hfac)] и молярными массами комплексов мы оценили соответствующие величины по целевому [Ag(cod)(hfac)] (табл. 2). С использованием оцененных значений, данных по процессу плавления (табл. 1) и фундаментальных соотношений (1), (2) также были рассчитаны энтальпия и энтропия сублимации димера [Ag(cod)(hfac)]2 (табл. 2). Кроме того, воспользовавшись уравнениями (3)–(5) и полученными в рамках данной работы термодинамическими величинами, путем решения обратной задачи мы получили рабочие уравнения, описывающие температурные зависимости давления паров над кристаллическими и жидкими комплексами [M(cod)(hfac)]n (M = Ag, Cu, Ir):
для кристаллического [Ag(cod)(hfac)]2, (10)
для жидкого [Ag(cod)(hfac)], (11)
для кристаллического [Cu(cod)(hfac)] [7], (12)
для жидкого [Cu(cod)(hfac)], (13)
для кристаллического [Ir(cod)(hfac)] [7], (14)
для жидкого [Ir(cod)(hfac)]. (15)
Таким образом, предложен подход к оценке термодинамических параметров парообразования, которые могут использоваться при проведении прецизионных газофазных процессов осаждения покрытий из комплексов состава [M(cod)(hfac)]n. Результаты исследования термодинамических свойств комплексов меди (I) и иридия (I) позволили оценить термодинамические параметры процессов парообразования [Ag(cod)(hfac)]n, который является одним из немногих эффективных прекурсоров для осаждения Ag наночастиц и пленочных структур. Алгоритм может быть усовершенствован посредством проведения дополнительных термодинамических экспериментов, обработки имеющихся данных по M(I)-содержащим комплексам, а также бис-комплексам других металлов.
Авторы благодарят Министерство науки и высшего образования РФ за возможность получения первичных калориметрических и спектроскопических данных.
Работа выполнена при финансовой поддержке РНФ (грант № 20-15-00222-П).
Авторы заявляют об отсутствии конфликта интересов.
Об авторах
К. В. Жерикова
Институт неорганической химии им. А. В. Николаева СО РАН
Автор, ответственный за переписку.
Email: ksenia@niic.nsc.ru
Россия, Новосибирск, 630090
Е. С. Викулова
Институт неорганической химии им. А. В. Николаева СО РАН
Email: ksenia@niic.nsc.ru
Россия, Новосибирск, 630090
Д. П. Пищур
Институт неорганической химии им. А. В. Николаева СО РАН
Email: ksenia@niic.nsc.ru
Россия, Новосибирск, 630090
Н. Б. Морозова
Институт неорганической химии им. А. В. Николаева СО РАН
Email: ksenia@niic.nsc.ru
Россия, Новосибирск, 630090
Список литературы
- Golrokhi Z., Chalker S., Sutcliffe Ch.J., Potter R.J. // Appl. Surf. Sci. 2016. V. 364. P. 789. doi: 10.1016/j.apsusc.2015.12.127.
- Piszczek P., Radtke A. // Noble and Precious Metals – Properties, Nanoscale Effects and Applications / Eds. Seehra M.S., Bristow A.D. London: IntechOpen, 2018. P. 187. doi: 10.5772/intechopen.71571
- Baum Th.H., Larson C.E., Reynolds S.K. Ligand Stabilized +1 Metal Beta-diketonate Coordination Complexes and Their Use in Chemical Vapor Deposition of Metal Thin Films: Patent US-5096737-A. Publication Date: 1992–03–16. Assignee: International Business Machines Corp.
- Gao L., Härter P., Linsmeier Ch., et al. // Microelectron. Eng. 2005. V. 82. № 3–4. P. 296. doi: 10.1016/j.mee.2005.07.078.
- Sergeevichev D.S., Dorovskikh S.I., Vikulova E.S., et al. // Int. J. Mol. Sci. 2024. V. 25. № 2. P. 1100. doi: 10.3390/ijms25021100.
- Bailey A., Corbitt T.S., Hampden-Smith M.J., et al. // Polyhedron. 1993. V. 12. № 14. P. 1785. doi: 10.1016/S0277-5387(00)84613-6.
- Жерикова К.В., Трубин С.В., Пищур Д.П., Морозова Н.Б. // Журн. физ. химии. 2024. T. 98. № 1. С. 57. (Zherikova K.V., Trubin S.V., Pishchur D.P., Morozova N.B. // Russ. J. Phys. Chem. A. 2024. V. 98. № 1. P. 57. doi: 10.1134/S0036024424010321).
- Vikulova E.S., Karakovskaya K.I., Ilyin I.Y., et al. // Phys. Chem. Chem. Phys. 2021. V. 23. № 16. P. 9889 doi: 10.1039/D1CP00464F
- Фадеева В.П., Тихова В.Д., Дерябина Ю.М., Никуличева О.Н. // ЖСХ. 2014. Т. 55. № 5. С. 1017 (Fadeeva V.P., Tikhova V.D., Deryabina Y.M. et al. // J. Struct. Chem. 2014. V. 55. № 5. P. 972. doi: 10.1134/S0022476614050278).
- Тихова В.Д., Фадеева В.П., Никуличева О.Н., и др. // Химия в интересах устойчивого развития. 2022. Т. 30. С. 660. (Tikhova V.D., Fadeeva V.P., Nikulicheva O.N., et al. // Chem. Sustain Dev. 2022. V. 30. P. 640. doi: 10.15372/CSD2022427).
- Vikulova, E.S., Ilyin, I.Y., Karakovskaya, K.I., et al. // J. Coord. Chem. 2016. V. 69. № 15. P. 2281. doi: 10.1080/00958972.2016.1198955.
- Макаренко А.М., Куратьева Н.В., Пищур Д.П., Жерикова К.В. // ЖНХ. 2023. Т. 68. № 2. С. 221. (Makarenko A.M., Kuratieva N.V., Pischur D.P. Zherikova K.V. // Russ. J. Inorg. Chem. 2023. V. 68. № 2. P. 183. doi: 10.1134/S0036023622602215).
- Gobble C., Chickos J., Verevkin S.P. // J. Chem. Eng. Data. 2014. V. 59. № 4. P. 1353. doi: 10.1021/je500110d
- Kulikov D., Verevkin S.P., Heintz A. // Ibid. 2001. V. 46. № 6. P. 1593. doi: 10.1021/je010187p
- Kulikov D., Verevkin S.P., Heintz A. // Fluid Phase Equilib. 2001. V. 192. № 1–2. P. 187. doi: 10.1016/S0378-3812(01)00633-1
- Acree W., Chickos J.S. // J. Phys. Chem. Ref. Data. 2016. V. 45. № 3. P. 033101. doi: 10.1063/1.4948363.
- Makarenko A.M., Trubin S.V., Zherikova K.V. // Coatings. 2023. V. 13. № . 8. P. С. 1458. doi: 10.3390/coatings13081458.
Дополнительные файлы





