Влияние химической структуры тетрапиррольных макроциклических соединений на энергию формирования плавающих слоев и их гистерезис на границе раздела воздух/вода
- Авторы: Никитин К.С.1, Мальцева О.В.1, Мамардашвили Н.Ж.1, Марченкова М.А.2, Усольцева Н.В.3
-
Учреждения:
- Институт химии растворов им. Г. А. Крестова Российской академии наук
- НИЦ “Курчатовский институт”
- НИИ наноматериалов, Ивановский государственный университет
- Выпуск: Том 98, № 8 (2024)
- Страницы: 114-120
- Раздел: СТРОЕНИЕ ВЕЩЕСТВА И КВАНТОВАЯ ХИМИЯ
- Статья получена: 22.01.2025
- Статья одобрена: 22.01.2025
- Статья опубликована: 22.08.2024
- URL: https://ogarev-online.ru/0044-4537/article/view/277707
- DOI: https://doi.org/10.31857/S0044453724080168
- EDN: https://elibrary.ru/PJAZMQ
- ID: 277707
Цитировать
Полный текст
Аннотация
Изучено влияние химического строения порфиринов на энергию формирования плавающих слоев и их стабильность в циклах сжатия-растяжения. Получены и проанализированы особенности изотерм сжатия 5,10,15,20-тетрафенилпорфирина (I), 2-аза-21-карба-5,10,15,20-тетрафенилпорфирина (II) и 5,15-бис(2,6-бис(додецилокси)фенил)порфирина (III), в том числе в трех последовательных циклах сжатия-растяжения. Показано, что модификация химической структуры у изучаемых хромофоров, приводящая к увеличению дипольного момента макроцикла, может существенно влиять на энергию формирования плавающих слоев, что проявляется в многократной разнице данной величины и сжимаемости у соединения II по сравнению с соединениями I и III. Установлено, что порфирины I и II, где в качестве заместителей выступают фенильные кольца, агрегируют до начала сжатия плавающего слоя, тогда как наличие в фенильных фрагментах длинных алифатических заместителей (соединения III) препятствует процессам агрегации.
Полный текст
В настоящее время порфирины в виде тонкопленочных материалов широко используются для сорбционных процессов [1–3], создания мембран [4–6], ионоселективных электродов [4–6], солнечных элементов [7–9] и органических сенсоров [10–16]. Расширить возможности использования тонкопленочных материалов на основе порфиринов позволяют ленгмюровские технологии, поскольку они способны тонко контролировать надмолекулярную организацию плавающего слоя. Стоит отметить, что порфирины не являются классическими амфифилами, которые исследовал Ленгмюр со своими коллегами в плавающих слоях [17–18]. Формируемые на основе порфиринов плавающие слои на границе раздела воздух/вода значительно отличаются от плавающих слоев классических амфифилов своей гетероструктурированостью, поскольку данные макрогетероциклические соединения обладают склонностью к агрегации [19–25]. Для минимизации процессов агрегирования и создания новых порфирин-содержащих полифункциональных тонкопленочных материалов с широким спектром свойств, исследования проводятся по двум направлениям. Первое направление – оптимизация технологий получения самоорганизованных тонких пленок путем изучения влияния факторов внешней среды [22–24]. Второе – направленный дизайн новых структур порфиринов с заданными физико-химическими свойствами, которые способствуют уменьшению агрегационных процессов в плавающих слоях [21–23]. Поэтому изучение влияния строения молекул порфиринов на процессы агрегации на границе раздела воздух/вода является актуальной задачей, а понимание данных процессов позволит найти пути создания малодефектных тонкопленочных материалов. В данной области с использованием ленгмюровских методов активно работают как отечественные [26–30], так и зарубежные исследователи [31–34]. В их работах представлены примеры систем, в том числе порфиринов, формирующих при использовании ленгмюровских методов ультратонкие организованные пленки. Авторы [27] характеризуют эти примеры как “современный этап взаимосвязи смежных областей науки (коллоидной и супромолекулярной химии, нанотехнологий, сенсорики и т. д.)”.
Важным подходом в рамках ленгмюровских методов является изучение влияния особенностей структуры молекул на процессы гистерезиса их плавающих слоев. Многие авторы обращаются к данному эксперименту для получения новой информации о формировании плавающего слоя, его реорганизации, стабильности и агрегации молекул [24, 35–40]. Появление петли гистерезиса объясняется сильными межмолекулярными взаимодействиями во время сжатия плавающего слоя [24–25, 35–40]. Кроме того, наличие петли гистерезиса (рис. 1) указывает на то, что плавающий слой сохраняет свою структуру при растяжении [41]. Это возможно только для слоя с высокоупорядоченной структурой. Отсутствие петли гистерезиса означает, что-либо образуется стабильное аморфное состояние, либо исходная структура плавающего слоя восстанавливается [41].
Рис. 1. Схематичное изображение цикла сжатия-растяжения плавающего слоя.
В ряде работ изучение гистерезиса использовалось для качественной оценки агрегации молекул и стабильности плавающих слоев [24, 36–39], однако количественная оценка этих процессов не проводилась. Только после того, как в работе [35] была представлена физическая интерпретация петли гистерезиса: площадь петли пропорциональна энергии, затраченной на создание данной надмолекулярной структуры, – стали возможны количественные оценки.
Целью нашего исследования является изучение влияния особенностей химической структуры порфиринов на энергию формирования плавающих слоев, в том числе на их реорганизацию и стабильность в циклах сжатия-растяжения, на поверхности раздела воздух/вода.
Экспериментальная часть
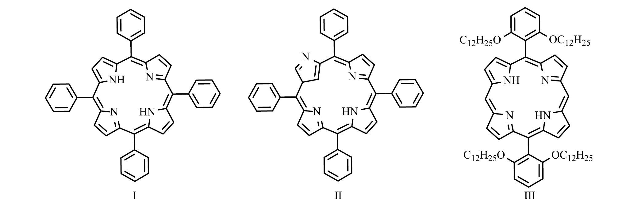
Материалы. Использовали коммерчески доступные порфирины 5,10,15,20-тетрафенилпорфирин (I) и 5,15-бис(2,6-бис(додецилокси)фенил)порфирин (III) фирмы Sigma-Aldrich (рис. 2). Соединение 2-аза-21-карба-5,10,15,20-тетрафенилпорфирин (II) (рис. 2) было синтезировано в соответствии с ранее описанными методами [42, 43]. Хлороформ 99% был стабилизирован амиленом (Sigma-Aldrich).
Рис. 2. Химические структуры порфиринов I, II и III.
Формирование плавающих слоев. Плавающие слои порфиринов получали из раствора в хлороформе (С = 1×10–4 М) на ванне KSV 5000 фирмы KSV Instruments (Финляндия). Раствор исследуемого соединения наносили на поверхность ультра чистой воды (18 МОм см) при температуре 20 ± 1 °C. Через 15 мин после нанесения раствора слой сжимали со скоростью 55 см2/мин. Поверхностное давление измерялось при помощи весов Вильгельми с точностью 0.01 мН∙м–1. Исходная степень покрытия поверхности воды молекулами порфирина (cface) составляла 69%.
Для определения значения объема исследуемого раствора порфирина, которое необходимо нанести на поверхность субфазы со степенью покрытия cface = 69%, были рассчитаны модели молекул с использованием метода DFT в программе Gaussian 09 [44] (рис. 3).
Рис. 3. Модели порфиринов I (а), II (б) и III (в), рассчитанные при помощи метода DFT в различных проекциях.
Характеристики плавающего слоя: начальная степень покрытия поверхности (cface), средняя площадь на молекулу в слое (Amol) и сжимаемость слоя (C) были рассчитаны по методу, описанному в работах [45, 46].
Исследование процесса гистерезиса плавающего слоя.Экспериментальные данные, полученные в циклах сжатия-растяжения, регистрировались на ванне KSV 5000 фирмы KSV Instruments (Финляндия) при постоянной скорости сжатия/растяжения 55 см2/мин. Начальная степень покрытия поверхности и концентрация растворов порфиринов в хлороформе составляли 69% и 10–4 М, соответственно, как и для π–А-изотерм.
Обсуждение результатов
Плавающие слои порфиринов. Для исследования процесса формирования плавающего слоя при помощи программы ChemCraft были определены площади проекций индивидуальных молекул порфиринов. Площадь, занимаемая молекулой на поверхности субфазы, была оценена на основе представленных геометрических моделей в положениях face-on (Аproj(face)) и edge-on (Аproj(edge)). Свободная площадь, не занятая молекулой, была вычтена из площади описанного прямоугольника (табл. 1). Значения площадей на молекулу в плотноупакованном плавающем слое в face-on (Apack(face)) и edge-on (Apack(edge)) ориентациях относительно поверхности раздела воздух/вода, определяли с использованием подходов, опубликованных в работах [7, 47, 48]. Данные значения площадей для соединений I–III приведены в табл. 1. Ориентация молекул в плавающих слоях относительно поверхности раздела воздух/вода была определена путем сравнения вычисленных значений Apack(face) и Apack(edge) с полученными экспериментально данными.
Таблица 1. Геометрические характеристики порфиринов I–III и их плотноупакованных плавающих слоев
Порфирин | Aproj(face), нм2 | Aproj(edge-I), нм2 | Aproj(edge-II), нм2 | Apack(face), нм2/мол | Apack(edge-I), нм2/мол | Apack(edge-II), нм2/мол |
I | 1.36 | 0.51 | 1.96 | 0.70 | – | |
II | 1.40 | 0.51 | – | 1.96 | 0.70 | – |
III | 2.73 | 1.89 | 1.30 | 4.49 | 1.10 | 0.45 |
На рис. 4 приведены π–А-изотермы плавающих слоев порфиринов I–III. Как следует из сравнения Apack(face) и Apack(edge) с Amol, формируются плавающие слои порфиринов I–III с edge-on ориентацией, где молекулы в слое наклонены к поверхности воды.
Рис. 4. π–А-изотермы сжатия плавающих слоев порфиринов I–III.
Общим для порфиринов I и III является резкое увеличение поверхностного давления, начиная с малых значений средней площади на молекулу в слое (рис. 4), что указывает на изменение состояния их плавающих слоев [25, 49]. Сопоставляя ход изотерм сжатия с классическими представлениями о типах поведения плавающих слоев классических амфифилов [25], им можно приписать формирование при 0.6–0.7 нм2/мол жидко-конденсированного состояния, затем переходящего в конденсированное [25, 49].
Для порфирина II изотерма сжатия носит более сложный характер и имеет три ярко выраженных точки перегиба, что указывает на изменение состояния плавающего слоя на границе раздела воздух/вода. Первый из них происходит при значительно большей средней площади на молекулу в слое (1.2 нм2/мол), чем для порфиринов I и III. Основываясь на [25] мы можем охарактеризовать его как переход в жидко-расширенное состояние. Перегиб при среднем значении 0.8 нм2/мол (рис. 4) и резкое увеличение поверхностного давления могут свидетельствовать об образовании жидко-конденсированного состояния [25, 49]. При значениях средней площади на молекулу в слое от 0.60 нм2/мол до 0.33 нм2/мол наблюдается плато при πconst = 33.1 мН/м, что указывает на образование конденсированного состояния, вероятно в качестве бислоя. На это указывает сравнение рассчитанного значения Apack(edge) соединения II со значениями средних площадей на молекулу, при которых наблюдается плато.
Цикл сжатия-растяжения плавающих слоев порфиринов. Для получения информации о процессе формирования и стабильности плавающих слоев порфиринов I–III, а также энергии их формирования, были реализованы три последовательных цикла сжатия-растяжения для каждого порфирина и проанализированы петли гистерезиса (рис. 5).
Рис. 5. Серия циклов сжатия-растяжения порфиринов: I (а), II (б) и III (в).
Проявление процесса гистерезиса является общим для исследованных порфиринов и указывает на стабильность их плавающих слоев [22]. Помимо этого, с каждым циклом происходит снижение сжимаемости плавающих слоев (табл. 2), что может указывать на их необратимые изменения в надмолекулярной организации. Однако, площади данных петель гистерезиса в первом цикле существенно зависят от структуры порфиринов I–III. При этом средние значения площадей на молекулу в слое (табл. 2) в последующих циклах остаются практически неизменными. Сдвиг изотерм сжатия порфиринов I и II в сторону меньших значений средних площадей на молекулу может быть объяснен склонностью данных молекул к агрегации еще до начала сжатия плавающего слоя [37, 39], что может происходить в процессе испарения растворителя с поверхности субфазы.
Таблица 2. Характеристики плавающего слоя в цикле сжатия-растяжения
Порфирин | Цикл | cface, % | Ai–Af, нм2/мол | πi–πf, мН/м | Amol, нм2/мол | Ahyst, 10–21, Дж | C, м/Н |
CHCl3, C = 1×10–4 M, r = 55 см2/мин, Т = 294 К | |||||||
I | 1 | 69 | 0.5–0.3 | 0.1–1.4 | 0.3 | 0.15 | 230 |
2 | 0.5–0.3 | 0.1–1.5 | 0.04 | 190 | |||
3 | 0.5–0.3 | 0.1–2.3 | 0.02 | 128 | |||
II | 1 | 69 | 1.3–1.1 | 0.1–2.4 | 1.1 | 13.47 | 68 |
2 | 1.3–1.1 | 0.1–2.5 | 4.63 | 64 | |||
3 | 1.3–1.1 | 0.1–2.7 | 4.03 | 44 | |||
III | 1 | 69 | 0.5–0.4 | 0.1–0.8 | 0.5 | 0.09 | 285 |
2 | 0.6–0.4 | 0.1–1.0 | 0.14 | 221 | |||
3 | 0.6–0.5 | 0.1–1.3 | 0.16 | 166 | |||
Обозначения: cface – степень покрытия поверхности молекулами, πi–πf – значение поверхностного давления на линейном участке πА–π -изотермы, Amol – значение средней площади на молекулу в плавающем слое, C – сжимаемость плавающего слоя, Ahyst. – площадь петли гистерезиса. Значения погрешностей для величин Amol, C и Ahyst были рассчитаны по методу, описанному в работах [44, 45].
Как следует из данных литературы [35], площадь петли гистерезиса пропорциональна затраченной энергии на создание новой надмолекулярной структуры. Поэтому при сравнении значений площадей петель гистерезиса в первом цикле сжатия-растяжения установлено, что для создания надмолекулярной организации плавающего слоя порфирина II необходимо затратить значительно больше энергии, чем для I и III (табл. 2). Такое явление можно объяснить тем, что, как мы отмечали выше, порфирин II при первом цикле сжатия-растяжения образует бислой в конденсированной фазе. Механизм его образования, согласно [19, 35, 49], связан с достаточно сильным сжатием плавающего слоя, чтобы он сначала образовал складчатые структуры [25+Дефлер] и затем произошло формирование бислоя, который сохраняет свою надмолекулярную организацию в процессе растяжения и в последующих циклах. В случае порфиринов I и III затрачивается намного меньше энергии ~100 раз. Как мы предполагаем, такое сильное различие связано с величиной дипольных моментов: у порфирина II она составляет 2.62 D, что значительно больше, чем у порфирина I (0.27 D) и III (1.64 D). Значения дипольных моментов порфиринов были рассчитаны нами в программе Gaussian 09.
Как следует из экспериментальных данных, во втором и третьем цикле сжатия-растяжения химическое строение порфиринов оказывает существенное влияние на площади петель гистерезиса (Ahyst). Для соединений I последовательные три цикла сжатия-растяжения демонстрируют их уменьшение (табл. 2). В случае порфирина II происходит уменьшение площади петли гистерезиса во втором цикле по сравнению с первым, а далее изменения данной величины в третьем цикле по сравнению со вторым практически не происходят (табл. 2). Вероятно, у соединения II существенный вклад в характеристики процесса гистерезиса по сравнению с соединением I вносит модификация макроцикла, приводящая к усилению межмолекулярных взаимодействий.
В противоположность порфиринам I и II, у порфирина III последовательные три цикла сжатия-растяжения демонстрируют смещение изотерм сжатия в сторону больших значений средней площади на молекулу (рис. 5) и увеличение площадей петель гистерезиса ∼1.8 раза (табл. 2). Такое существенное отличие процессов гистерезиса порфирина III обусловлено модификацией двух фенильных заместителей четырьмя алкоксильными группами. При этом значения энергии формирования плавающего слоя в циклах сжатия-растяжения возрастают по сравнению с соединением I. Стоит отметить, что сжимаемость плавающего слоя соединения III выше, чем у соединения I (табл. 2). Мы предполагаем, что такое отличие связано с препятствием агрегации молекул порфирина III алифатическими заместителями.
Таким образом на основании изучения процессов гистерезиса в циклах сжатия-растяжения соединений 5,10,15,20-тетрафенилпорфирина (I), 2-аза-21-карба-5,10,15,20-тетрафенилпорфирина (II) и 5,15-бис(2,6-бис(додецилокси)фенил)порфирина (III) рассчитаны значения энергии формирования их плавающих слоев на границе раздела воздух/вода. Установлено, что модификация структуры макроцикла (порфирин II), по сравнению с не модифицированным тетрафенилпорфирином (порфирин I), увеличивает значение энергии формирования плавающего слоя, а введение алкоксильных заместителей на периферию молекулы (порфирин III) – снижает. Полученные значения по связи энергии формирования плавающих слоев со структурой порфиринов могут быть ключом к пониманию процессов самоорганизации неклассических амфифилов на поверхности раздела воздух/вода. Результаты работы могут быть востребованы для направленного дизайна структур порфиринов с заданными свойствами при разработке функциональных тонкопленочных материалов (рецепторов, детекторов, сенсоров и др.).
Работа поддержана Министерством науки и высшего образования Российской Федерации в рамках государственного задания Институту химии растворов им. Г. А. Крестова Российской академии наук (№ 122040500043-7), Научно-исследовательского института наноматериалов Ивановского государственного университета (№ FZZM-2023-0009) и проведена в рамках выполнения государственного задания НИЦ “Курчатовский институт” в части получения и исследования упругих свойств плавающих монослоев коммерчески доступных порфиринов.
Об авторах
К. С. Никитин
Институт химии растворов им. Г. А. Крестова Российской академии наук
Автор, ответственный за переписку.
Email: nks@isc-ras.ru
Россия, Иваново
О. В. Мальцева
Институт химии растворов им. Г. А. Крестова Российской академии наук
Email: nks@isc-ras.ru
Россия, Иваново
Н. Ж. Мамардашвили
Институт химии растворов им. Г. А. Крестова Российской академии наук
Email: nks@isc-ras.ru
Россия, Иваново
М. А. Марченкова
НИЦ “Курчатовский институт”
Email: nks@isc-ras.ru
Россия, Москва
Н. В. Усольцева
НИИ наноматериалов, Ивановский государственный университет
Email: nks@isc-ras.ru
Россия, Иваново
Список литературы
- Jin W.-L., Li W., Wang H.-X., et al. // J. Environ. Chem. Eng. 2022. V. 10. № 3. P. 107662. https://doi.org/10.1016/j.jece.2022.107662
- Ding R., Liu J., Wang T., Zhang X. // Chem. Eng. J. 2022. V. 449. P. 137758. https://doi.org/10.1016/j.cej.2022.137758
- Hibbard H.A.J., Burnley M.J., Rubin H.N., et al. // Inorg. Chem. Commun. 2020. V. 115. P. 107861. https://doi.org/10.1016/j.inoche.2020.107861
- Joon N.K., Barnsley J.E., Ding R., et al. // Sens. Actuators B Chem. 2020. V. 305. P. 127311. https://doi.org/10.1016/j.snb.2019.127311
- Siwiec K., Górski Ł. // J. Electroanal. Chem. 2019. V. 833. P. 498. https://doi.org/10.1016/j.jelechem.2018.12.024
- Dusiło K., Wojcieszek J., Pepłowski A., et al. // // Microchem. J. 2022. V. 183. P. 108129. https://doi.org/10.1016/j.microc.2022.108129
- Gao K., Kan Y., Chen X., et al. // Adv. Mater. 2020. V. 32. № 32. P. 1906129. https://doi.org/10.1002/adma.201906129
- Mai C.-L., Xiong Q., Li X., et al. // Angew. Chem. Int. Ed. 2022. V. 61. № 39. P. e202209365. https://doi.org/10.1002/anie.202209365
- Bichan N.G., Ovchenkova E.N., Mozgova V.A., et al. // Polyhedron. 2021. V. 203. P. 115223. https://doi.org/10.1016/j.poly.2021.115223
- Ren H., Liu C., Yang W., Jiang J. // Dyes and Pigments. 2022. V. 200. P. 110117. https://doi.org/10.1016/j.dyepig.2022.110117
- Du P., Niu Q., Chen J., et al. // Anal. Chem. 2020. V. 92. № 11. P. 7980. https://doi.org/10.1021/acs.analchem.0c01651
- Burger T., Winkler C., Dalfen I., et al. // J. Mater. Chem. C. 2021. V. 9. P. 17099. https://doi.org/10.1039/D1TC03735H
- Chizhova N.V., Mal’tseva O.V., Kumeev R.S., Mamardashvili N.Z. // Russ. J. Inorg. Chem. 2018. V. 63. N5. P. 682. https://doi.org/10.1134/S0036023618050200
- Chizhova N.V., Maltceva O.V., Zvezdina S.V., et al. // Russ. J. Gen. Chem. 2018. V. 88. N5. P. 978.
- https://doi.org/10.1134/S1070363218050249
- Zvezdina S.V., Chizhova N.V., Mamardashvili N.Z. // Ibid. 2021. V. 91. № 8. P. 1526. https://doi.org/10.1134/S1070363221080144
- Maltceva O.V., Nikitin K.S., Kazak A.V., et al. // Liq. Cryst. and their Appl. 2023. V. 23. № 2. P. 29. https://doi.org/10.18083/LCAppl.2023.2.29
- Blodgett K.B., Langmuir I. // Phys. Rev. 1937. V.51. № 11. P. 964. https://doi.org/10.1103/PhysRev.51.964
- Langmuir I., Schaefer V.J. // J. Am. Chem. Soc. 1938. V. 60. № 6. P. 1351. https://doi.org/10.1021/ja01273a023
- Blinov L.M. // Sov. Phys. Usp. 1988. V. 31. № 7. P. 623. https://doi.org/10.1070/PU1988v031n07ABEH003573
- Hussain S.-A., Bhattacharjee D. // Modern Physics Letters B. 2009. V. 23. № 29. P. 3437. https://doi.org/10.1142/S0217984909021508
- Shepeleva I.I., Shokurov A.V., Konovalova N.V. et al.// Rus. Chem. Bulletin. 2018. V. 67. P. 2159. https://doi.org/10.1007/s11172-018-2348-4
- Begletsova N.N., Mironyuk V.N., Ezhov A.V., et al.// J. Phys. Conf. Ser. 2020. P. 012118. https://doi.org/10.1088/1742-6596/1697/1/012118
- Begletsova N.N., Mironyuk V.N., Santer S., et al. // Ibid. 2020. P. 012112. https://doi.org/10.1088/1742-6596/1697/1/012112
- Rubinger C.P.L., Moreira R.L., Cury L.A., et al.// Applied Surface Science. 2006. V. 253. P. 543. https://doi.org/10.1016/j.apsusc.2005.12.096
- Адамсон, А. Физическая химия поверхностей / Пер. с англ. И.Г. Абидора. Под ред. З.М. Зорина, В.М. Муллера. М.: Мир, 1979. 568 с.
- Arslanov V.V., Ermakova E.V., Kutsybala D.S., et al. // Colloid Journal. 2022. V. 84. P. 581. https://doi.org/10.1134/S1061933X22700065
- Ermakova E.V., Shokurov A.V., Menon C., et al. // Dyes and Pigments. 2021. V. 186. P. 108967. https://doi.org/10.1016/j.dyepig.2020.108967
- Shokurov A.V., Meshkov I.N., Bulach V., et al. // New J. Chem. 2019. V. 43. P. 11419. https://doi.org/10.1039/C9NJ01807G
- Maiorova L.A., Kobayashi N., Salnikov D., et al. // Langmuir. 2023. V. 39. P. 3246. https://doi.org/10.1021/acs.langmuir.2c02964
- Karlyuk M.V., Krygin Y.Y., Maiorova-Valkova L.A., et al. // Rus. Chemical Bulletin. 2013. V. 62. P. 471. https://doi.org/ 10.1007/s11172-013-0066-5
- Bettini S., Grover N., Ottolini M., et al. // Langmuir. 2021. V. 37. P. 13882. https://doi.org/ 10.1021/acs.langmuir.1c02377
- Bettini S., Pagano R., Borovkov V., et al. // J. of Colloid and Interface Science. 2019. V. 533. P. 762. https://doi.org/10.1016/j.jcis.2018.08.116
- Milano F., Guascito M.R., Semeraro P., et al. // Polymers. 2021. V. 13. P. 243. https://doi.org/10.3390/polym13020243
- Deya B., Chakraborty S., Chakraborty S., et al. // Organic Electronics. 2018. V. 55. P. 50. https://doi.org/ 10.1016/j.orgel.2017.12.038
- Petty M.C. Langmuir–Blodgett Films: An Introduction. Cambridge Univ. Press, Cambridge. 1996, ch. 2,3.
- Gonçalves da Silva A.M., Viseu M.I., Malathi A., et al. // Langmuir. 2000. V. 16. N3. P. 1196. https://doi.org/10.1021/la990802b
- Goncalves da Silva A.M., Viseu M.I., Romao R.I.S., Costa S.M.B. // Phys. Chem. Chem. Phys. 2002. V. 4. P. 4754. https://doi.org/10.1039/B202743G
- Lobato M.D., Gámez F., Lago S., Pedrosa J.M. // Fuel. 2017. V. 200. P. 162. https://doi.org/10.1016/j.fuel.2017.03.059
- Pavinatto F.J., Gameiro Jr. A.F., Hidalgo A.A., et al. // Applied Surface Science. 2008. V. 254. № 18. P. 5946. https://doi.org/10.1016/j.apsusc.2008.03.162
- El-Nahass M.M., Zeyada H.M., Aziz M.S., Makhlouf M.M. // Optics & Laser Technology. 2007. V. 39. P. 347. https://doi.org/10.1016/j.optlastec.2005.07.004
- Kuropatov V.A., Nikitin K.S., Pakhomov G.L., et al. // Surfaces and Interfaces. 2023. V. 36. P. 102539. https://doi.org/10.1016/j.surfin.2022.102539
- Furuta H., Asano T., Ogawa T. // J. Am. Chem. Soc. American Chemical Society. 1994. V. 116. P. 767. https://doi.org/10.1021/ja00081a047
- Chmielewski P.J., Latos-Grażyński L., Rachlewicz K., Glowiak T. // Angew. Chemie Int. Ed. English. John Wiley & Sons. 1994.V. 33. P. 779. https://doi.org/10.1002/anie.199407791
- Peterson K.A. // J. Chem. Phys. 2003. V.119. P. 11113. https://doi.org/10.1063/1.1622924
- Berezina N.M., Vu T.T., Kharitonova N.V., et al. // Macroheterocycles. 2019. V. 12. N3. P. 282. https://doi.org/10.6060/mhc190127b
- Kharitonova N.V., Maiorova L.A., Koifman O.I. // J. Porphyrins Phthalocyanines. 2018. V. 22. P. 509. https://doi.org/10.1142/S1088424618500505
- Shokurov A.V., Kutsybala D.S., Kroitor A.P., et al. // Molecules. 2021. V. 26. N14. P. 4155. https://doi.org/10.3390/molecules26144155
- Hassani S.S., Kim Y.-G., Borguet E. // Langmuir. 2011. V. 27. № 24. P. 14828. https://doi.org/10.1021/la201308g
- Dörfler H.-D. Grenzflächen und Kolloidchemie. VCH VerlagsgesellschaftmbH, Weinheim 1994, 600 Seiten. ISBN3-527-29256-x
Дополнительные файлы







